Sign in to use this feature.

Years

Between: -

Subjects

remove_circle_outline
remove_circle_outline
remove_circle_outline
remove_circle_outline
remove_circle_outline
remove_circle_outline
remove_circle_outline
remove_circle_outline
remove_circle_outline

Journals

remove_circle_outline
remove_circle_outline
remove_circle_outline
remove_circle_outline
remove_circle_outline
remove_circle_outline
remove_circle_outline
remove_circle_outline
remove_circle_outline
remove_circle_outline
remove_circle_outline
remove_circle_outline
remove_circle_outline

Article Types

Countries / Regions

remove_circle_outline
remove_circle_outline
remove_circle_outline
remove_circle_outline
remove_circle_outline
remove_circle_outline
remove_circle_outline
remove_circle_outline
remove_circle_outline

Search Results (6,115)

Search Parameters:
Keywords = nitrogen fertilization

Order results
Result details
Results per page
Select all
Export citation of selected articles as:
29 pages, 6500 KB  
Article
Long-Term Effects of the Combined Application of Organic and Inorganic Fertilizers on Soil Fertility, Structural Stability, and Rice Productivity in Cool Rice-Growing Regions of Northeast China
by Yuwei Xin, Benqi Yue, Xin Zhao, Shanlong Li, Tao Li, Jian Ren, Yutong Li, Yutong Yang, Wenze Li, Kokyo Oh, Tiehua Cao and Xuanhe Liang
Plants 2026, 15(7), 993; https://doi.org/10.3390/plants15070993 (registering DOI) - 24 Mar 2026
Abstract
To investigate the long-term effects of combined organic and inorganic fertilizer application on the structural stability and fertility of soil in paddy fields located in the cool northeastern region of China, a long-term fixed-site experiment was initiated in 2017. The experiments included the [...] Read more.
To investigate the long-term effects of combined organic and inorganic fertilizer application on the structural stability and fertility of soil in paddy fields located in the cool northeastern region of China, a long-term fixed-site experiment was initiated in 2017. The experiments included the following five treatments: 100% conventional chemical fertilizer NPK (CK), conventional PK fertilizer without N fertilizer (T1), 30% organic N and 70% chemical N fertilizers with conventional PK fertilizer (T2), 50% organic N and 50% chemical N fertilizers with conventional PK fertilizer (T3), and 100% organic N fertilizer (T4). Notably, the total amount of fertilizer applied remained consistent across treatment groups. The results revealed that the combination of organic and inorganic fertilizers significantly increased rice yields and nitrogen use efficiency, with the T3 treatment performing the best. Compared with CK, T3 resulted in a 24.26% greater rice yield, and it increased the nitrogen agronomic efficiency by 71.05%. There were no significant differences among the treatment groups in terms of the proportions of soil aggregates larger than 2 mm or smaller than 0.053 mm. Nitrogen fertilizer application reduced the proportion of 0.053–0.25 mm aggregates and promoted the formation of predominantly 0.25–2 mm aggregates. However, the different organic–inorganic combinations did not cause significant differences in soil aggregate structure or stability. Compared with the CK treatment, the application of both organic and inorganic fertilizers increased soil organic matter content, decreased N2O emissions, and increased soil catalase activity. In summary, the application of 50% organic N and 50% chemical N fertilizers with conventional PK fertilizer (T3) was determined to be the optimal combination for achieving high and stable rice yields in the cool northeastern region of China while increasing the structural stability and fertility of the soil. Full article
(This article belongs to the Special Issue Chemical Properties of Soils and its Impact on Plant Growth)
Show Figures

Figure 1

17 pages, 1470 KB  
Article
Olive Tree (Olea europaea) Biochar Differentially Affects N2O and CO2 Emissions in Neutral and Alkaline Olive Orchard Soils
by Georgios Giannopoulos, Ioannis Anastopoulos, Vasileios A. Tzanakakis, Eduardo Vázquez, Pantelis E. Barouchas, Anne Boos, Dimitrios Kalderis, Fotis Sgouridis, Vassilis Aschonitis and George Arampatzis
Nitrogen 2026, 7(2), 35; https://doi.org/10.3390/nitrogen7020035 - 24 Mar 2026
Abstract
Despite a growing interest in biochar for olive orchard fertility management, little is known about its effects on nitrogen (N) dynamics and greenhouse gas (GHG) emissions in Mediterranean soils, particularly when comparing neutral (pH 6.7) and alkaline (pH 8.2) soils using farmer-accessible flame-curtain [...] Read more.
Despite a growing interest in biochar for olive orchard fertility management, little is known about its effects on nitrogen (N) dynamics and greenhouse gas (GHG) emissions in Mediterranean soils, particularly when comparing neutral (pH 6.7) and alkaline (pH 8.2) soils using farmer-accessible flame-curtain pyrolysis biochar. In this 60-day soil mesocosm study, we hypothesized that biochar amendments in fertilized soils would enhance soil N availability and potentially reduce N2O emissions, with effects modulated by soil pH. Treatments included: control, urea fertilizer, and urea plus biochar (5% w/w). Urea fertilization significantly increased soil ammonium (NH4+) and total oxidized nitrogen (NO3 + NO2) in both soils, and co-application of biochar further increased these pools, particularly in the neutral soil (NH4+: + 91% and + 62% in neutral and alkaline soil, respectively). Biochar addition consistently reduced cumulative carbon dioxide (CO2) emissions in both soils, supporting its role in stabilizing soil organic carbon. However, impacts on nitrous oxide (N2O) emissions were soil-pH-dependent: biochar slightly reduced N2O emissions in neutral soil, though nearly doubled N2O emissions in alkaline soil, highlighting that biochar’s efficacy for GHG mitigation is context-specific. These findings underscore biochar’s potential to improve soil N availability and reduce carbon losses but reveal clear limitations for N2O mitigation in alkaline soils, necessitating site-specific application strategies that explicitly consider soil pH when targeting climate benefits in Mediterranean olive production. Full article
Show Figures

Figure 1

17 pages, 3478 KB  
Article
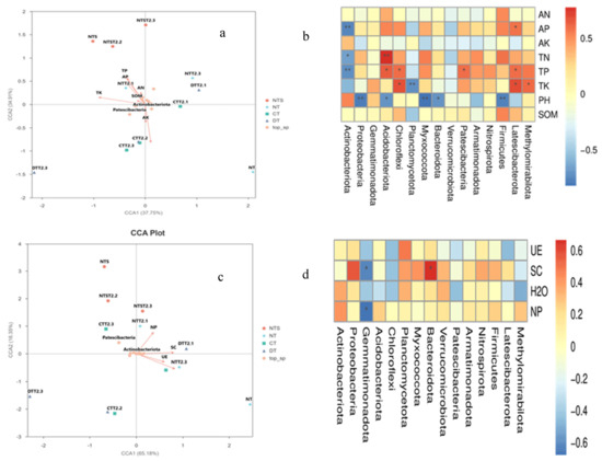
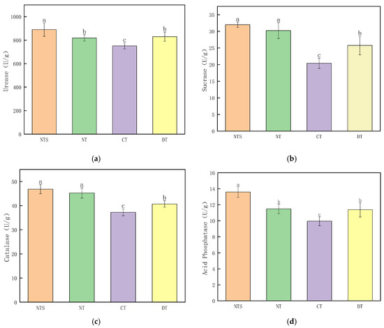
Effects of Corn Straw Returning Patterns on Soil Bacterial Community Structure in Soybean Under a Corn-Soybean Rotation System
by Xiaohui Wang, Demin Rao, Debin Yu, Tong Cheng, Jing Zhao, Minghao Zhang, Fangang Meng and Wei Zhang
Plants 2026, 15(7), 990; https://doi.org/10.3390/plants15070990 (registering DOI) - 24 Mar 2026
Abstract
Straw returning is an effective means of improving soil structure and increasing soil organic matter content. However, few studies have been conducted on the effects of corn straw returning on the soil microorganism community in soybean crops. In this paper, taking conventional combined [...] Read more.
Straw returning is an effective means of improving soil structure and increasing soil organic matter content. However, few studies have been conducted on the effects of corn straw returning on the soil microorganism community in soybean crops. In this paper, taking conventional combined tillage (CT) as a control, the effects of no-tillage with straw mulching (NTS), no-tillage with stubble retention (NT), and deep plowing with straw incorporation (DT) on soil bacterial community under a corn–soybean rotation system were studied. The results showed that the contents of soil total nitrogen, total phosphorus, available phosphorus, the activities of soil urease and acid phosphatase, and soil bacterial richness and diversity in the NTS treatment were significantly higher than those in other treatments. Moreover, the NTS treatment increased the abundance of Acidobacteriota and MND1 (unclassified bacterial genus) in the soil. The number of unique OTUs in the NTS treatment was the greatest (26.67%), with that of the CT treatment being the smallest (7.22%). Redundancy analysis (RDA) revealed that soil total nitrogen, total phosphorus, and available phosphorus are the key driving changes in bacterial community. Consequently, NTS treatment was the optimal approach for both soil fertility improvement and bacterial community optimization. This approach combines straw mulching and no-tillage, which not only exerts the nutrient supply effect of straw but also reduces the impact of soil disturbance on microbial habitats. Full article
(This article belongs to the Special Issue Plant Organ Development and Stress Response)
Show Figures

Figure 1

12 pages, 2310 KB  
Article
Does Drought Regulate DMPP Effectiveness in Alleviating Maize Manganese and Phosphorus Deficiencies in High-pH Soils?
by Mathew Edung Etabo, Pablo Lacerda Ribeiro, Britta Pitann and Karl Hermann Mühling
Nitrogen 2026, 7(2), 34; https://doi.org/10.3390/nitrogen7020034 - 24 Mar 2026
Abstract
Drought will likely become more frequent and intense in Europe due to climate change, which may worsen Mn2+ and P deficiencies found in high pH soils. In this context, research investigating the effectiveness of ammonium-based nitrogen fertilizers treated with nitrification inhibitors (NIs) [...] Read more.
Drought will likely become more frequent and intense in Europe due to climate change, which may worsen Mn2+ and P deficiencies found in high pH soils. In this context, research investigating the effectiveness of ammonium-based nitrogen fertilizers treated with nitrification inhibitors (NIs) in alleviating Mn2+ and P deficiencies in such soils has been done. However, studies considering the impact of drought periods and soil texture on this topic are lacking. Therefore, we carried out a study addressing this research gap. Maize plants were grown in a greenhouse experiment, and the experimental setup comprised three factors consisting of soil texture (sand and silt loam), soil moisture (sufficient and drought), and DMPP application (with and without DMPP). The measured variables were bulk and rhizosphere soil pH, Mn2+ availability, maize biomass yield, and shoot concentration of selected macro- and micronutrients. DMPP increased shoot biomass production by 60% in silt loam under drought but not in sand soil texture. In addition, DMPP increased Mn2+ and P shoot concentrations by 38% and 21%, respectively, in the silt loam soil texture under drought. In contrast, DMPP did not alleviate the negative impact of drought on plant biomass production, Mn2+ and P shoot concentration in the sand soil texture. In conclusion, DMPP application is effective in alleviating Mn2+ and P deprivation in high pH soil subjected to drought. However, this effect was soil texture-dependent and observed in the silt loam rather than in the sand soil texture. Full article
Show Figures

Figure 1

29 pages, 6654 KB  
Article
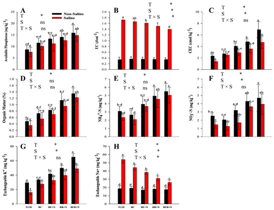
Improving Rice Root Development and Soil Health in Saline Soils: A Biochar and Microbial-Inoculated Biochar with Nitrogen Approach
by Hafiz Muhammad Mazhar Abbas, Song Li, Wentao Zhou, Haider Sultan, Mohammad Nauman Khan, Asad Shah, Ashar Tahir, Hamza Iltaf, Yixue Mu and Lixiao Nie
Plants 2026, 15(6), 986; https://doi.org/10.3390/plants15060986 - 23 Mar 2026
Abstract
This study investigated the combined effects of microbial-inoculated biochar and nitrogen (N) on rice growth and soil properties under saline conditions. A randomized complete block design with three replications was employed to evaluate three factors: (i) salinity level (non-saline, S0; saline, 0.4% NaCl, [...] Read more.
This study investigated the combined effects of microbial-inoculated biochar and nitrogen (N) on rice growth and soil properties under saline conditions. A randomized complete block design with three replications was employed to evaluate three factors: (i) salinity level (non-saline, S0; saline, 0.4% NaCl, S1), (ii) biochar type (20 t/ha BC, BF, BB, and BFB), and (iii) nitrogen application rate (60 and 120 kg ha−1). Soil physicochemical and biological properties, along with rice root development, were assessed. Salinity significantly reduced soil organic matter (OM) by 9%, nitrate nitrogen (NO3-N) by 16%, ammonium nitrogen (NH4+-N) by 8.18%, and available phosphorus (AP) by 6.81%. Soil enzyme activities, including catalase (CAT), acid phosphatase (ACP), polyphenol oxidase (POX), and β-D-glucosidase (BG), decreased by 32.69%, 29%, 39.18%, and 19.44%, respectively, resulting in suppressed root growth compared with non-saline conditions. The combined treatment of microbial biochar (BFB) and N at 120 kg ha−1 (BFB + N120) markedly improved saline soil quality and rice root performance by maintaining a favorable K+/Na+ balance in roots. Specifically, BFB+N120 increased OM by 145% and 120% compared with N120 and BC alone, respectively, and enhanced NO3-N, NH4+-N, and soil enzyme activities (CAT, ACP, POX, and BG). These improvements were strongly associated with enhanced root development. Under saline conditions, BFB+N120 increased root dry mass by 429% and 1185.71%, and root length by 63% and 83%, compared with N120 and BC alone, respectively, in the cultivar Jing Liang You 534. Overall, the results demonstrate that microbial-modified biochar combined with nitrogen fertilizer mitigates salt-induced soil degradation by improving physicochemical and biological properties, thereby enhancing nutrient availability, ionic homeostasis, and root growth. This study provides mechanistic insights into the combined role of microbial biochar and nitrogen in the remediation of saline soils. Full article
(This article belongs to the Special Issue Fertilizer Management for Crop Resilience Under Abiotic Stress)
Show Figures

Graphical abstract

20 pages, 8457 KB  
Article
An Integrated Assessment of Legume Species Diversity and Soil Characteristics in Upper Amazonian Protected Forests
by Winston Franz Ríos-Ruiz, Marvin Barrera-Lozano, Juan Carlos Guerrero-Abad, Lily O. Rodríguez, Roger Cabrera-Carranza, Llimi Mori-Sánchez and Marco Antonio Nogueira
Forests 2026, 17(3), 393; https://doi.org/10.3390/f17030393 - 23 Mar 2026
Abstract
Legumes (Fabaceae) are key functional components of tropical forests due to their role in nitrogen fixation and nutrient cycling. This study provides an integrated assessment of forest legume diversity and its relationship with soil physicochemical properties across three protected areas in the Peruvian [...] Read more.
Legumes (Fabaceae) are key functional components of tropical forests due to their role in nitrogen fixation and nutrient cycling. This study provides an integrated assessment of forest legume diversity and its relationship with soil physicochemical properties across three protected areas in the Peruvian upper Amazon: the Alto Mayo Protected Forest (BPAM), the Cordillera Escalera Regional Conservation Area (ACR-CE), and the Shunté and Mishollo Forests Regional Conservation Area (ACR-BOSHUMI). Floristic studies were conducted in nine sectors ranging from 618 to 1729 m a.s.l. Soil samples were analyzed, and vegetation cover was quantified using high-resolution drone imagery with four vegetation indices derived from RGB data. We recorded eleven legume species from eight genera within the sampling plots, identifying Inga as the most frequent genus. Species diversity was highest in the ACR-CE, whereas BPAM showed lower richness and abundance. Multivariate analyses revealed that legume diversity was positively associated with higher soil pH, cation concentrations, and cation exchange capacity, but negatively associated with elevated Al3+ and Fe3+ levels. Vegetation indices effectively distinguished between vegetated and degraded areas, indicating higher legume occurrence in sites with greater canopy cover. These findings emphasize that soil fertility and vegetation structure are key drivers of legume diversity, with significant implications for conservation in the upper Amazon. Full article
(This article belongs to the Special Issue Exploring Biodiversity and Its Relationship with Forests)
Show Figures

Figure 1

16 pages, 1437 KB  
Review
Environmental Regulation of 2-Acetyl-1-pyrroline Biosynthesis in Fragrant Rice: From Metabolic Pathways to Sustainable Quality Management
by Junjun Guo, Junyi Miao, Jin Chen, Deqian Huang, Chuyi Wang and Jiancheng Wen
Genes 2026, 17(3), 349; https://doi.org/10.3390/genes17030349 (registering DOI) - 22 Mar 2026
Viewed by 164
Abstract
The market value of fragrant rice is largely defined by the presence and intensity of its aroma, which is primarily attributed to volatile compound 2-acetyl-1-pyrroline (2-AP). The biosynthesis of 2-AP is chiefly governed by recessive alleles of the badh2 gene. Nevertheless, 2-AP accumulation [...] Read more.
The market value of fragrant rice is largely defined by the presence and intensity of its aroma, which is primarily attributed to volatile compound 2-acetyl-1-pyrroline (2-AP). The biosynthesis of 2-AP is chiefly governed by recessive alleles of the badh2 gene. Nevertheless, 2-AP accumulation is also profoundly shaped by environmental factors and agronomic management. Field practices—such as balanced nitrogen and potassium fertilization, supplementation with trace elements, and application of plant growth regulators like methyl jasmonate—promote 2-AP synthesis by increasing precursor availability and enhancing the activity of key enzymes. Additionally, tillage systems, alternate wetting and drying irrigation, optimal planting density, and harvest timing significantly affect aroma quality. Abiotic stresses, including moderate drought, salinity, optimal temperatures around 25 °C, and low light during grain filling, can also stimulate 2-AP accumulation, often through shifts in proline metabolism and activation of stress-responsive pathways involving GABA and methylglyoxal. Despite the promise of these strategies, several challenges persist, such as the common trade-off between yield and aroma intensity, complex genotype-by-environment interactions, and incomplete elucidation of the molecular mechanisms involved. Moving forward, integrating multi-omics analyses with smart agriculture technologies will be essential to unravel the regulatory networks underlying aroma formation and to advance the breeding of high-yielding fragrant rice varieties with stable aroma traits under changing climate scenarios. Full article
(This article belongs to the Section Genes & Environments)
Show Figures

Figure 1

30 pages, 4233 KB  
Article
Development of a Multifunctional Phosphate-Solubilizing Bacterial Consortium for the Improvement of Saline–Alkali Soils
by Linghui Wang, Fenglin Zhang, Haikun Wang, Xingmin Zhao, Hongbin Wang, Nan Wang, Xiulan Ma, Xinyue Ji and Ning Huang
Agronomy 2026, 16(6), 666; https://doi.org/10.3390/agronomy16060666 - 21 Mar 2026
Viewed by 22
Abstract
Saline–alkali soils suffer from severe deficiencies in available phosphorus, and externally added phosphorus is readily immobilized by metal ions in the soil. Therefore, activating inorganic phosphorus in the soil represents a significant challenge. In this study, 35 salt–alkali-tolerant bacteria were isolated from rhizosphere [...] Read more.
Saline–alkali soils suffer from severe deficiencies in available phosphorus, and externally added phosphorus is readily immobilized by metal ions in the soil. Therefore, activating inorganic phosphorus in the soil represents a significant challenge. In this study, 35 salt–alkali-tolerant bacteria were isolated from rhizosphere soils (pH 9.20–9.68). Three phosphate-solubilizing strains (HA2, HPA5, and KA1) capable of growing under severe saline–alkali stress conditions (pH 10, 5% NaCl) and possessing multiple plant growth-promoting traits (nitrogen fixation, potassium solubilization, siderophore production, and IAA secretion) were screened and co-cultured to form the microbial consortium HHK. It was hypothesized that this consortium might exhibit synergistic effects, resulting in significantly higher phosphorus solubilization capacity compared to individual strains. The results showed that under saline–alkali stress, the phosphate solubilization capacity of HHK (484.59 ± 15.79 mg/L) was significantly higher than that of any single strain (285.59 ± 12.60 mg/L). Non-targeted metabolomics and enzyme assays indicated that HHK solubilizes P via organic acids (e.g., citric, L-malic acid) and synergistically modulates core metabolic pathways, including ABC transport, TCA cycle, and glycolysis, alleviating oxidative damage and maintaining cellular homeostasis. Short-term soil incubation confirmed that HHK significantly increased available phosphorus (53.67%) and soil fertility, indicating its potential as a biofertilizer. Full article
(This article belongs to the Section Soil and Plant Nutrition)
Show Figures

Figure 1

18 pages, 1184 KB  
Article
Dynamics of Soil Organic Carbon and Nitrogen Fractions in Dryland Wheat Fields as Affected by Tillage Practices on the Loess Plateau of China
by Longxing Wang, Hao Li, Tianjing Xu, Xinfang Yang, Fei Dong, Shuangdui Yan and Qiuyan Yan
Agronomy 2026, 16(6), 660; https://doi.org/10.3390/agronomy16060660 - 20 Mar 2026
Viewed by 33
Abstract
Soil organic carbon (SOC) and total nitrogen (TN) are key indicators of soil fertility; however, the dynamics of carbon (C) and nitrogen (N) fractions during winter wheat growth under different tillage systems remain poorly understood. This study examined the effects of three tillage [...] Read more.
Soil organic carbon (SOC) and total nitrogen (TN) are key indicators of soil fertility; however, the dynamics of carbon (C) and nitrogen (N) fractions during winter wheat growth under different tillage systems remain poorly understood. This study examined the effects of three tillage practices: no tillage (NT), subsoiling tillage (SS), and deep tillage (DT) on four soil organic carbon fractions (SOC, soil organic carbon; EOC, easily oxidized organic carbon; DOC, dissolved organic carbon; POC, particulate organic carbon) and four nitrogen fractions (TN, total nitrogen; NO3-N, nitrate nitrogen; NH4+-N, ammonium nitrogen; DON, dissolved organic nitrogen) across five winter wheat growth stages (sowing, overwintering, jointing, filling and harvest) in the 0–50 cm soil profile. The results showed that SOC, its labile fractions, and TN all decreased with increasing soil depth, with tillage effects mainly confined to the 0–20 cm layer. SS achieved the highest SOC and TN contents in the topsoil, while NT and SS significantly enhanced the surface enrichment of C and N. In contrast, DT promoted more uniform nutrient distribution into the 30–50 cm subsoil. DON continuously accumulated throughout the growing season with faster accumulation rates under SS and NT; DOC peaked at the jointing stage, while EOC and NH4+-N followed a consistent “decline–recovery–decline” seasonal pattern. SS yielded the highest total SOC stock (166.20 t ha−1) in the 0–50 cm profile, particularly in the 0–30 cm layer. Correlation analysis showed that the coupling relationships among C and N indicators varied with soil depth, with the strongest positive correlation between SOC and EOC in the topsoil. Both SS and DT maintained higher soil water content (SWC) than NT in the 20–50 cm layers throughout the experimental period. In conclusion, SS emerges as the optimal balanced tillage strategy for dryland wheat fields on the Loess Plateau, simultaneously improving topsoil fertility, water retention, and C sequestration; meanwhile, DT is more effective for enhancing subsoil water and nutrient conditions. These findings provide a scientific basis for targeted tillage management to sustain soil fertility and productivity in rainfed dryland farming systems. Full article
Show Figures

Figure 1

17 pages, 2730 KB  
Article
Regulatory Effects of “Straw-Nitrogen Fertilizer” on Maize Yield Enhancement
by Yuchen Zhang, Mingxue Ye, Jinman Mei, Qiulai Song, Xiaochen Lyu and Chunmei Ma
Plants 2026, 15(6), 962; https://doi.org/10.3390/plants15060962 - 20 Mar 2026
Viewed by 42
Abstract
To elucidate the regulatory mechanisms underlying the interaction between straw return and nitrogen (N) fertilization on yield formation, nutrient uptake, and soil N cycling in a continuous maize cropping system, a two-year positioning experiment was conducted. The study established two straw treatments (S0: [...] Read more.
To elucidate the regulatory mechanisms underlying the interaction between straw return and nitrogen (N) fertilization on yield formation, nutrient uptake, and soil N cycling in a continuous maize cropping system, a two-year positioning experiment was conducted. The study established two straw treatments (S0: 0 g/box; S1: 84 g/box) combined with three N levels (N0: 0 g/box; N1: 1.24 g/box; N2: 2.47 g/box). (The box refers to the cylinder used for planting maize.) The responses of maize yield, plant nutrient accumulation and partitioning, fertilizer-derived N ratio, nitrogen fertilizer use efficiency (NUE), and soil microenvironment were analyzed. Results indicated that under N1 conditions, straw return had a negligible effect on crop growth and yield formation. Conversely, under N2 conditions, straw return significantly enhanced maize yield and promoted the accumulation of N, phosphorus (P), and potassium (K) in plant tissues. 15N isotope tracing revealed a novel mechanism: rather than significantly altering direct fertilizer nitrogen use efficiency, straw return improved crop yield primarily by elevating indigenous soil N content and boosting the activities of N-transforming enzymes, thereby beneficially altering the ultimate environmental fate of the fertilizer N. Furthermore, straw return significantly boosted the activities of enzymes involved in N transformation and optimized the soil microenvironment. Collectively, straw return coupled with increased N application (specifically the S1N2 treatment) significantly maximizes maize yield, providing a theoretical basis for rational straw utilization and N management. Full article
(This article belongs to the Section Crop Physiology and Crop Production)
Show Figures

Figure 1

14 pages, 268 KB  
Article
Priestia megaterium Thr45 Reduces Nitrogen and Potassium Fertilizer Inputs While Enhancing Soil Fertility and Baby Maize Yield
by Phan Tran Hai Dang and Nguyen Van Chuong
Nitrogen 2026, 7(1), 32; https://doi.org/10.3390/nitrogen7010032 - 20 Mar 2026
Viewed by 14
Abstract
Baby maize (Zea mays L.) is a high-value horticultural crop widely cultivated due to its short growth cycle and strong market demand. However, intensive production systems often rely heavily on chemical fertilizers, leading to reduced nutrient use efficiency and potential soil degradation. [...] Read more.
Baby maize (Zea mays L.) is a high-value horticultural crop widely cultivated due to its short growth cycle and strong market demand. However, intensive production systems often rely heavily on chemical fertilizers, leading to reduced nutrient use efficiency and potential soil degradation. The present study investigated the potential of the Priestia megaterium Thr45 to enhance soil fertility, improve crop performance, and optimize fertilizer management in baby maize cultivation. A field experiment was conducted using a three-factor factorial design consisting of bacterial inoculation, different urea application rates, and different KCl rates. Soil chemical properties, plant growth parameters, yield components, and nutrient composition of edible cobs were evaluated. The results showed that inoculation with P. megaterium Thr45 significantly increased available phosphorus and exchangeable potassium in soil compared with the non-inoculated control. Inoculated plants exhibited higher chlorophyll content, greater leaf development, and increased plant height during early growth stages. Bacterial inoculation also significantly improved yield components, including ear number, ear yield, edible cob yield, and plant biomass. Furthermore, the nutritional quality of baby corn was enhanced, as reflected by increased protein and mineral (N, P, and K) concentrations in edible cobs. Significant interactions between bacterial inoculation and fertilizer treatments indicated that the beneficial effects of P. megaterium Thr45 were closely associated with nutrient management practices. Notably, comparable yield and nutritional quality were achieved under reduced nitrogen and potassium fertilizer inputs when combined with bacterial inoculation. These findings highlight the novel potential of P. megaterium Thr45 as an effective biofertilizer for improving nutrient availability, maintaining high productivity, and supporting sustainable baby maize production with reduced chemical fertilizer inputs Full article
(This article belongs to the Special Issue Optimizing Nitrogen Fertilizer Use in Crop Production)
11 pages, 1879 KB  
Article
Impact of Fertilizer Restriction Period on Bermudagrass Traffic Tolerance and Recovery
by Alex J. Lindsey, Jaspal Singh, Natasha Restuccia and Victor Abarca
Agronomy 2026, 16(6), 655; https://doi.org/10.3390/agronomy16060655 - 20 Mar 2026
Viewed by 33
Abstract
Seasonal fertilizer restriction periods (blackouts) are commonly implemented in Florida to reduce potential nutrient losses during the summer rainy season; however, their effects on sports turf performance under traffic stress are not well documented. A two-year field study (2022–2023) was conducted in Citra, [...] Read more.
Seasonal fertilizer restriction periods (blackouts) are commonly implemented in Florida to reduce potential nutrient losses during the summer rainy season; however, their effects on sports turf performance under traffic stress are not well documented. A two-year field study (2022–2023) was conducted in Citra, FL, to evaluate the influence of nitrogen (N) fertilization timing and frequency on ‘Bimini’ bermudagrass (Cynodon dactylon L. Pers.) traffic tolerance and post-traffic recovery. Treatments included bi-weekly (24.4 kg N ha−1) and monthly (48.8 kg N ha−1) N applications, a pre-blackout (97.6 kg N ha−1) N application, and a non-treated control. Simulated traffic was applied using a modified Baldree traffic simulator for a total of 60 traffic events each year. Turfgrass performance during traffic and recovery was assessed using percent green cover (PGC), dark green color index (DGCI), soil moisture, surface hardness, and rotational resistance. In both years, bi-weekly and monthly N applications consistently resulted in greater PGC and DGCI during traffic and recovery compared to the pre-blackout and non-treated treatments. The pre-blackout treatment provided limited and inconsistent benefits, particularly under prolonged traffic stress. Fertilizer effects on soil moisture and surface hardness varied between years, while rotational resistance was unaffected by treatment. These results indicate that reliance on pre-blackout fertilization alone may be insufficient to maintain bermudagrass traffic tolerance and recovery during periods of sustained traffic stress. Under sustained traffic pressure, applying a single fertilizer treatment just before the restriction period was less effective and produced inconsistent improvements in turfgrass coverage and color compared with staged fertilization during the growing season, reinforcing that routine N fertilization is necessary when turfgrass experiences sustained traffic. Full article
(This article belongs to the Section Grassland and Pasture Science)
Show Figures

Figure 1

26 pages, 3204 KB  
Article
Long-Term Differential Fertilization Strategies Enhance Soil Quality and Microbial Metabolic Functions: Evidence from a 45-Year Field Experiment
by Junmei Shi, Zonglin Lu, Tong Lu, Shuxiao Luan, Yanru Yang, Zhengchao Wu, Yan Wang, Jinfeng Yang and Xiaori Han
Agriculture 2026, 16(6), 691; https://doi.org/10.3390/agriculture16060691 - 19 Mar 2026
Viewed by 31
Abstract
Fertilization is a regular management approach that can enhance soil fertility and stimulate the proliferation of beneficial microorganisms. However, the prolonged influence of fertilization practices on soil quality, microbial functional characteristics, and the underlying mechanisms still remain incompletely understood. In this study, we [...] Read more.
Fertilization is a regular management approach that can enhance soil fertility and stimulate the proliferation of beneficial microorganisms. However, the prolonged influence of fertilization practices on soil quality, microbial functional characteristics, and the underlying mechanisms still remain incompletely understood. In this study, we examined the impact of various fertilization strategies on the soil quality index (SQI) and community-level physiological profiles (CLPP) during two crop seasons (maize and soybean, respectively) in a 45-year field trial. Four treatments were implemented: unfertilized control (CK), inorganic nitrogen–phosphorus–potassium fertilizer (NPK), organic fertilizer (M), and organic–inorganic fertilization (MNPK). Results showed that across both seasons, NPK application reduced soil pH and the McIntosh index, whereas organic amendments (M and MNPK) notably enhanced total and available nutrients, SQI, microbial biomass, and enzyme activities. CLPP analysis revealed that organic fertilization significantly enhanced microbial metabolic activity and functional diversity, particularly boosting the utilization of carbohydrates (20–38%) and carboxylic acids (18–36%). Random forest modelling indicated available potassium (AK) as the primary driver of carbon metabolic activity in both seasons, revealing its critical role in regulating microbial functions. Functional metabolic diversity during the maize season was most strongly influenced by microbial entropy (qMB), whereas in the soybean season, it was available nitrogen (AN). Additionally, organic fertilization led to an indirect improvement in SQI during the maize and soybean seasons by increasing microbial biomass. In conclusion, the study underscored the importance of long-term organic fertilization for improving soil quality and provided empirical evidence to maintain the sustainable practices of agriculture in Northeast China. Full article
(This article belongs to the Section Agricultural Soils)
Show Figures

Figure 1

13 pages, 1168 KB  
Article
Diazotrophic Bacteria and Nitrogen Fertilization on ATPase Activity in Micropropagated Pineapple Plantlets During Acclimatization
by Aurilena de Aviz Silva, Almy Junior Cordeiro de Carvalho, Paulo Cesar dos Santos, Rômulo André Beltrame, Marta Simone Mendonça Freitas, Flávia Paiva de Freitas, Roberto Rivelino do Nascimento Barbosa, Alessandro Coutinho Ramos, Fabio Lopes Olivares, Stella Arndt, Leandro Pin Dalvi, Moises Zucoloto, Orlando Carlos Huertas Tavares and Mírian Peixoto Soares da Silva
Horticulturae 2026, 12(3), 374; https://doi.org/10.3390/horticulturae12030374 - 18 Mar 2026
Viewed by 76
Abstract
Micropropagated plantlets, after removal from controlled laboratory conditions, require an acclimatization period. Adaptation to the new environment induces anatomical and physiological changes controlled by cellular processes. This study investigated the involvement of the primary proton transport systems of total membranes in pineapple root [...] Read more.
Micropropagated plantlets, after removal from controlled laboratory conditions, require an acclimatization period. Adaptation to the new environment induces anatomical and physiological changes controlled by cellular processes. This study investigated the involvement of the primary proton transport systems of total membranes in pineapple root colonization by diazotrophic bacteria and in the development of plantlets treated with different nitrogen doses, allowing an understanding of nutrient absorption and accumulation dynamics. The experiment followed a randomized block design (RBD) in a factorial scheme (2 × 3 × 2), with two inocula (a mixture of diazotrophic bacteria containing Burkholderia sp. UENF 114111, Burkholderia silvatlantica UENF 117111, and Herbaspirillum seropedicae HRC 54, and another without bacteria), three urea doses (0, 5, and 10 g L−1), and two evaluation (90 and 150 days) and bacterial counting times (30 and 150 days), with three blocks. Diazotrophic bacterial populations were lower in older plantlets. H+ transport mediated by P H+-ATPases changed with acclimatization time. Inoculation did not induce transport; however, the Fmax of V H+-ATPase was lower without nitrogen fertilization. Nitrogen fertilization affected V H+-ATPase proton transport activity in root membranes. The presence of diazotrophic bacteria did not induce proton transport. On the other hand, nitrogen fertilization and acclimatization time affected the proton transport activity mediated by H+-ATPases isolated from roots of micropropagated pineapple. Full article
Show Figures

Figure 1

23 pages, 1985 KB  
Article
Simultaneous Controlled N, P and K Release Amplifies Economic Viability and Environmental Stewardship in Rice
by Xiaolei Gong, Yishui Luo, Jintao Li, Xiaowei Ma, Di Shao, Guangjie Zhang, Matthew Tom Harrison, Ke Liu and Jun Hou
Agronomy 2026, 16(6), 642; https://doi.org/10.3390/agronomy16060642 - 18 Mar 2026
Viewed by 132
Abstract
Meeting rising global food demand requires reconciling high productivity with environmental sustainability. While controlled-release fertilizers can improve nitrogen use efficiency, their combined N-P-K formulation and system-wide impacts remain poorly quantified. A two-year field experiment was conducted in a rice paddy field under a [...] Read more.
Meeting rising global food demand requires reconciling high productivity with environmental sustainability. While controlled-release fertilizers can improve nitrogen use efficiency, their combined N-P-K formulation and system-wide impacts remain poorly quantified. A two-year field experiment was conducted in a rice paddy field under a subtropical monsoon climate in Central China to evaluate controlled-release NPK fertilizer (CRNPK) across agronomic, environmental, energy, and economic dimensions. Five treatments were compared: no nitrogen (CK), farmer practice (FFP; 270 kg N ha−1), controlled-release nitrogen (CRN; 225 kg N ha−1), CRNPK (225 kg N ha−1), and reduced-rate CRNPK (80%CRNPK; 180 kg N ha−1). Compared to FFP, CRNPK and 80%CRNPK increased rice yield by 8–16% and nitrogen use efficiency by 38–171%, while reducing reactive nitrogen losses and nitrogen footprint by 39–56%, greenhouse gas emissions and carbon footprint by 22–57%, and enhancing ecosystem economic benefit by 86–109%. Notably, the 80%CRNPK treatment achieved the highest overall sustainability score (5) based on a comprehensive assessment normalizing seven key indicators—yield, economic benefit, energy productivity, carbon footprint, nitrogen footprint, ecosystem economic benefit (EEB), and emergy-based nutrient efficiency (UEVNmin), demonstrating that yield gains can be maintained or even enhanced with reduced nitrogen inputs. This study advances controlled-release fertilization from a yield-focused strategy to a quantified, system-level approach for sustainable rice intensification. Full article
Show Figures

Figure 1

Back to TopTop