Growth and Quality of Leaf and Romaine Lettuce Grown on a Vertical Farm in an Aquaponics System: Results of Farm Research
Abstract
1. Introduction
2. Materials and Methods
2.1. Plants and Fish Used in this Study
2.2. Aquaculture
2.3. Mineral Composition of Water in an Aquaponic System
2.4. Yield and Biometric Parameters
2.5. Chlorophyll, Flavonol, and Nitrogen Balance Indices
2.6. Macro- and Micronutrients in Plants
2.7. Phytochemical Content
2.7.1. Chlorophyll and Carotenoids
2.7.2. L-Ascorbic, Citric, and Malic Acid
2.7.3. Flavonoids
2.7.4. Total Polyphenolic Content (TPC)
2.8. Statistical Analysis
3. Results
3.1. Mineral Composition of Water in an Aquaponic System
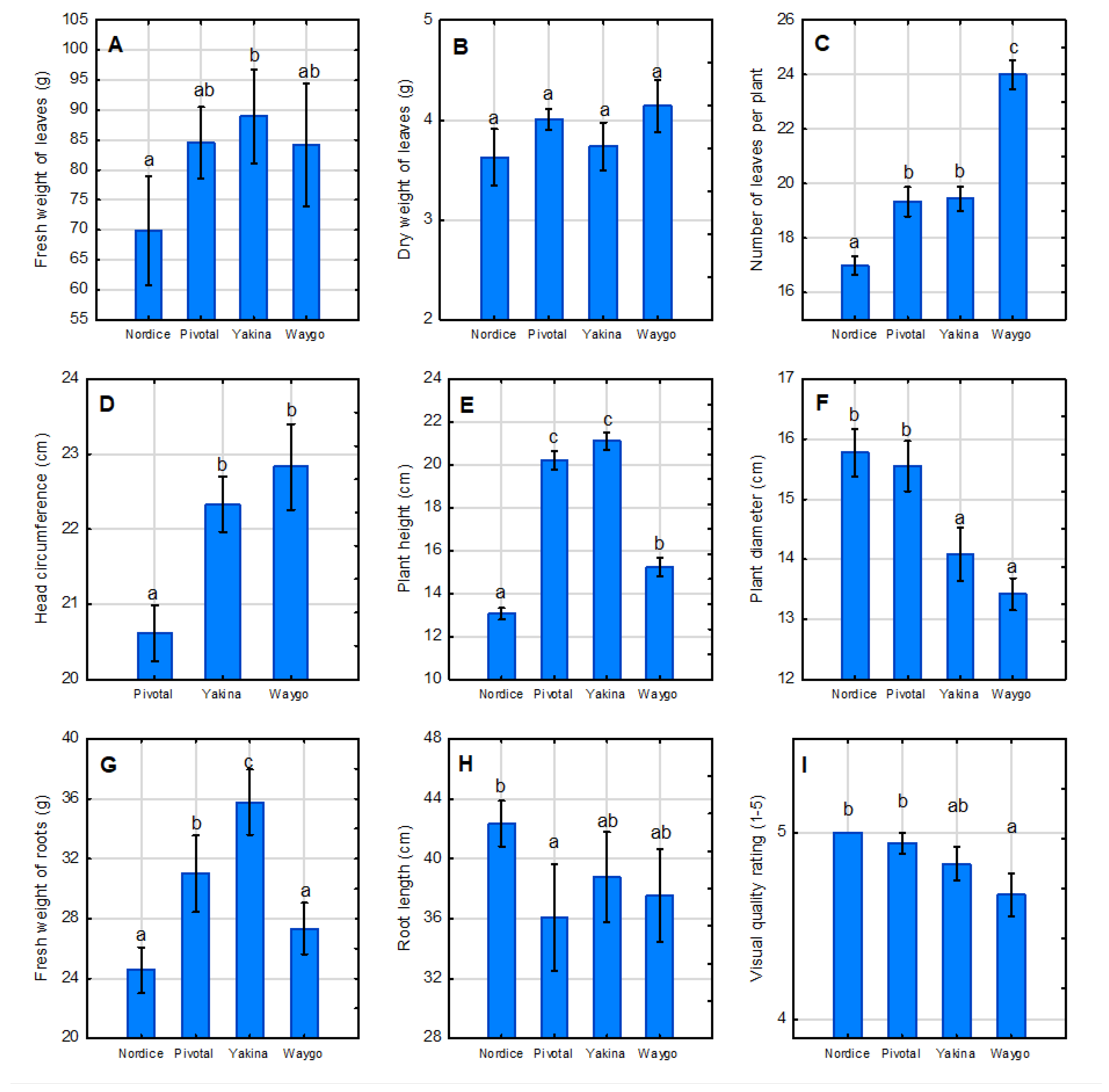
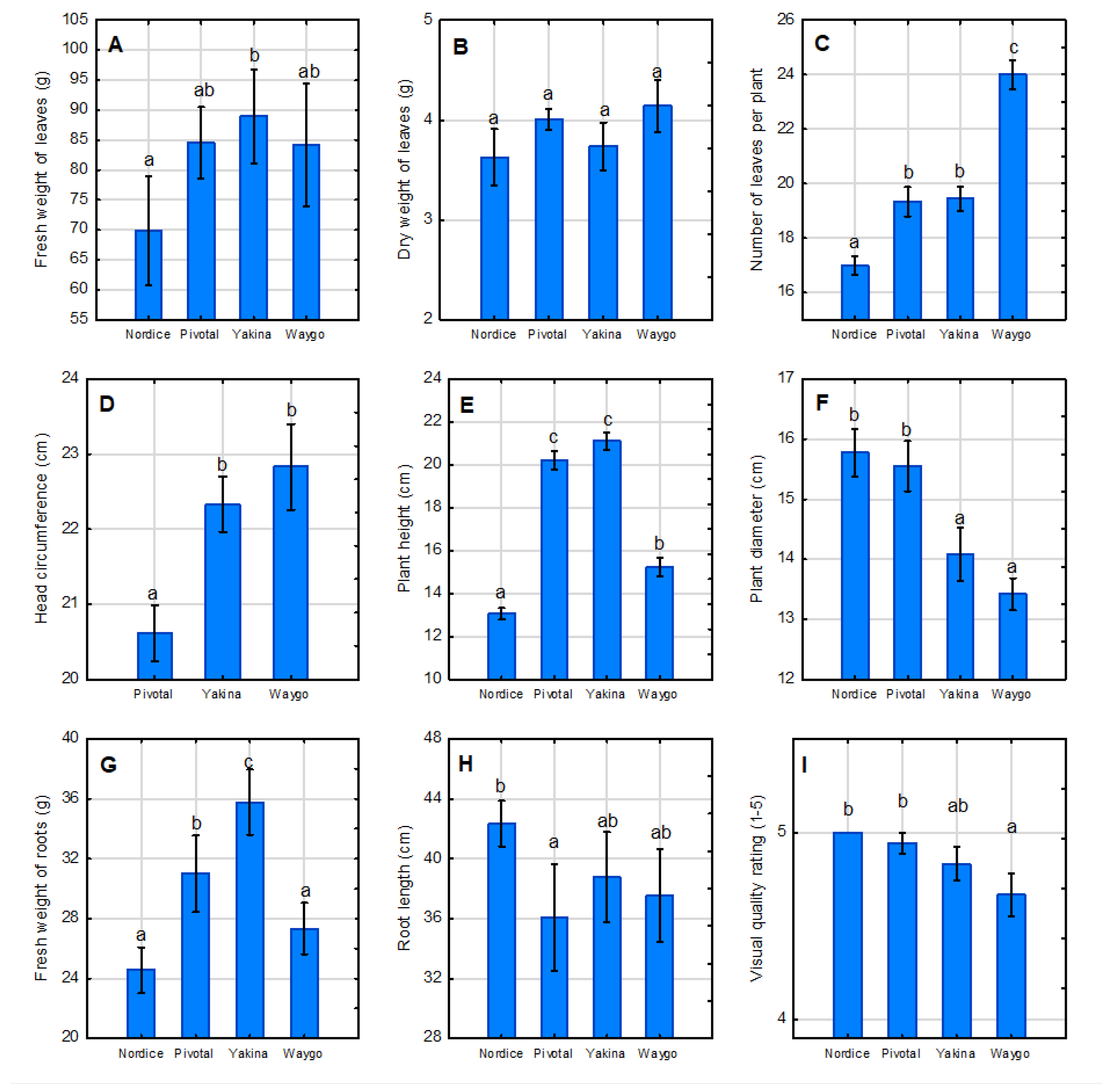
3.2. Yield and Biometric Parameters
3.3. Chlorophyll, Flavonol, and Nitrogen Balance Indices
3.4. Macro- and Micronutrients in Plants
3.5. Phytochemical Content
4. Discussion
4.1. Mineral Composition of Water in an Aquaponic System
4.2. Yield and Biometric Parameters
4.3. Chlorophyll, Flavonol, and Nitrogen Balance Indices
4.4. Macro- and Micronutrients in Plants
4.5. Phytochemical Content
5. Conclusions
Author Contributions
Funding
Institutional Review Board Statement
Data Availability Statement
Conflicts of Interest
References
- Kozai, T. Plant Factories with Artificial Lighting (PFALs): Benefits, Problems, and Challenges. In Smart Plant Factory. The Next Generation Indoor Vertical Farms, 1st ed.; Kozai, T., Ed.; Springer: Singapore, 2018; pp. 15–29. [Google Scholar] [CrossRef]
- Carotti, L.; Graamans, L.; Puksic, F.; Butturini, M.; Meinen, E.; Heuvelink, E.; Stanghellini, C. Plant Factories Are Heating Up: Hunting for the Best Combination of Light Intensity, Air Temperature and Root-Zone Temperature in Lettuce Production. Front. Plant Sci. 2021, 11, 592171. [Google Scholar] [CrossRef] [PubMed]
- Blom, T.; Jenkins, A.; Pulselli, R.M.; Van den Dobbelsteen, A.A.J.F. The embodied carbon emission of lettuce production in vertical farming, greenhouse horticulture, and open-field farming in the Netherlands. J. Clean. Prod. 2022, 377, 134443. [Google Scholar] [CrossRef]
- Van Gerrewey, T.; Boon, N.; Geelen, D. Vertical Farming: The Only Way Is Up? Agronomy 2022, 12, 2. [Google Scholar] [CrossRef]
- Monsees, H.; Suhl, J.; Paul, M.; Kloas, W.; Dannehl, D.; Würtz, S. Lettuce (Lactuca sativa, variety Salanova) production in decoupled aquaponic systems: Same yield and similar quality as in conventional hydroponic systems but drastically reduced greenhouse gas emissions by saving inorganic fertilizer. PLoS ONE 2019, 20, e0218368. [Google Scholar] [CrossRef] [PubMed]
- Baganz, G.F.M.; Junge, R.; Portella, M.C.; Goddek, S.; Keesman, K.J.; Baganz, D.; Staaks, G.; Shaw, C.; Lohrberg, F.; Kloas, W. The aquaponic principle—It is all about coupling. Rev. Aquac. 2021, 14, 252–264. [Google Scholar] [CrossRef]
- Arakkal Thaiparambil, N.; Radhakrishnan, V. Challenges in achieving an economically sustainable aquaponic system: A review. Aquacult. Int. 2022, 30, 3035–3066. [Google Scholar] [CrossRef]
- Delaide, B.; Goddek, S.; Gott, J.; Soyeurt, H.; Jijakli, M.H. Lettuce (Lactuca sativa L. var. Sucrine) growth performance in complemented aquaponic solution outperforms hydroponics. Water 2016, 8, 467. [Google Scholar] [CrossRef]
- Endo, M. Aquaponics in Plant Factory. In Plant Factory Using Artificial Light. Adapting to Environmental Disruption and Clues to Agricultural Innovation; Anpo, M., Fukuda, H., Wada, T., Eds.; Elsevier: Amsterdam, The Netherlands, 2019; pp. 339–352. [Google Scholar] [CrossRef]
- Yang, X.; Gil, M.I.; Yang, Q.; Tomás-Barberán, F.A. Bioactive compounds in lettuce: Highlighting the benefits to human health and impacts of preharvest and postharvest practices. Compr. Rev. Food. Sci. Food. Saf. 2022, 21, 4–45. [Google Scholar] [CrossRef]
- Shi, M.; Gu, J.; Wu, H.; Rauf, A.; Emran, T.B.; Khan, Z.; Mitra, S.; Aljohani, A.S.M.; Alhumaydhi, F.A.; Al-Awthan, Y.S.; et al. Phytochemicals, Nutrition, Metabolism, Bioavailability, and Health Benefits in Lettuce—A Comprehensive Review. Antioxidants 2022, 1, 1158. [Google Scholar] [CrossRef]
- Grzegorzewska, M.; Badełek, E.; Matysiak, B.; Kaniszewski, S.; Dyśko, J.; Kowalczyk, W.; Wrzodak, A.; Szwejda-Grzybowska, J. Assessment of romaine lettuce cultivars grown in a vertical hydroponic system at two levels of LED light intensity. Sci. Hortic. 2023, 313, 111913. [Google Scholar] [CrossRef]
- Boo, H.O.; Heo, B.G.; Gorinstein, S.; Chon, S.U. Positive effects of temperature and growth conditions on enzymatic and antioxidant status in lettuce plants. Plant Sci. 2011, 181, 479–484. [Google Scholar] [CrossRef] [PubMed]
- Lee, M.J.; Son, J.E.; Oh, M.M. Growth and phenolic compounds of Lactuca sativa L. grown in a closed-type plant production system with UV-A, -B, or -C lamp. J. Sci. Food Agric. 2014, 94, 197–204. [Google Scholar] [CrossRef] [PubMed]
- Li, Q.; Kubota, C. Effects of supplemental light quality on growth and phytochemicals of baby leaf lettuce. Environ. Exp. Bot. 2009, 67, 59–64. [Google Scholar] [CrossRef]
- Samuoliene, G.; Sirtautas, R.; Brazaityte, A.; Duchovskis, P. LED lighting and seasonality effects antioxidant properties of baby leaf lettuce. Food Chem. 2012, 134, 1494–1499. [Google Scholar] [CrossRef] [PubMed]
- Pérez-López, U.; Sgherri, C.; Miranda-Apodaca, J.; Micaelli, F.; Lacuesta, M.; Mena-Petite, A.; Quartacci, M.F.; Muñoz-Rueda, A. Concentration of phenolic compounds is increased in lettuce grown under high light intensity and elevated CO2. Plant Physiol. Biochem. 2018, 123, 233–241. [Google Scholar] [CrossRef]
- Zhou, W.; Liang, X.; Dai, P.; Chen, Y.; Zhang, Y.; Zhang, M.; Lin, X. Alteration of phenolic composition in lettuce (Lactuca sativa L.) by reducing nitrogen supply enhances its anti-proliferative effects on colorectal cancer cells. Int. J. Mol. Sci. 2019, 20, 4205. [Google Scholar] [CrossRef]
- Zhou, W.; Liang, X.; Li, K.; Dai, P.; Li, J.; Liang, B.; Sun, C.; Lin, X. Metabolomics analysis reveals potential mechanisms of phenolic accumulation in lettuce (Lactuca sativa L.) induced by low nitrogen supply. Plant Physiol. Biochem. 2021, 158, 446–451. [Google Scholar] [CrossRef]
- Fopp-Bayat, D.; Ciemniewski, T.; Cejko, B.I. Embryonic Development and Survival of Siberian Sturgeon × Russian Sturgeon (Acipenser baerii × Acipenser gueldenstaedtii) Hybrids Cultured in a RAS System. Animals 2023, 13, 42. [Google Scholar] [CrossRef]
- Matysiak, B.; Kaniszewski, S.; Dyśko, J.; Kowalczyk, W.; Kowalski, A.; Grzegorzewska, M. The Impact of LED Light Spectrum on the Growth, Morphological Traits, and Nutritional Status of ‘Elizium’ Romaine Lettuce Grown in an Indoor Controlled Environment. Agriculture 2021, 11, 1133. [Google Scholar] [CrossRef]
- Latimer, G. Official Methods of Analysis, 19th ed.; AOAC International: Gaithersburg, MD, USA, 2012; ISBN 978-0-935584-83-7. Available online: https://www.worldcat.org/title/official-methods-of-analysis-of-aoac-international/oclc/817542290 (accessed on 16 February 2023).
- Boss, C.B.; Fredeen, K.J. Concepts, Instrumentation, and Techniques in Inductively Coupled Plasma Optical Emission Spectrometry, 3rd ed.; Perkin Elmer: Shelton, CT, USA, 2004; Available online: https://resources.perkinelmer.com/lab-solutions/resources/docs/gde_concepts-of-icp-oes-booklet.pdf (accessed on 16 February 2023).
- Lichtenthaler, H.; Wellburn, A. Determinations of total carotenoids and chlorophylls a and b of leaf extracts in different solvents. Biochem. Soc. Trans. 1983, 11, 591–592. [Google Scholar] [CrossRef]
- Zhishen, J.; Mengcheng, T.; Jianming, W. The determination of flavonoid contents in mulberry and their scavenging effects on superoxide radicals. Food Chem. 1999, 64, 555–559. [Google Scholar] [CrossRef]
- Eberhardt, M.V.; Lee, C.Y.; Liu, R.H. Antioxidant activity of fresh apple. Nature 2000, 405, 903–904. [Google Scholar] [CrossRef] [PubMed]
- Tsao, R.; Yang, R. Optimization of a new mobile phase to know the complex and real polyphenolic composition: Towards a total phenolic index using high-performance liquid chromatography. J. Chromatogr. 2003, 1018, 29–40. [Google Scholar] [CrossRef] [PubMed]
- Fimbres-Acedo, Y.E.; Traversari, S.; Cacini, S.; Costamagna, G.; Ginepro, M.; Massa, D. Testing the Effect of High pH and Low Nutrient Concentration on Four Leafy Vegetables in Hydroponics. Agronomy 2023, 13, 41. [Google Scholar] [CrossRef]
- Anderson, T.S.; Martini, M.R.; de Villiers, D.; Timmons, M.B. Growth and Tissue Elemental Composition Response of Butterhead Lettuce (Lactuca sativa, cv. Flandria) to Hydroponic Conditions at Different pH and Alkalinity. Horticulturae 2017, 3, 41. [Google Scholar] [CrossRef]
- Mims, S.D.; Lazur, A.; Shelton, W.L.; Gomelsky, B.; Chapman, F. Species Profile Production of Sturgeon, Southern Regional Aquaculture Center. 2002. Available online: http://agrilife.org/fisheries2/files/2013/09/SRAC-Publication-No.-7200-Species-Profile-Production-of-Sturgeon.pdf (accessed on 16 February 2023).
- Suhl, J.; Dannehl, D.; Kloas, W.; Baganz, D.; Jobs, S.; Schiebe, G.; Schmidt, U. Advanced Aquaponics: Evaluation of intensive tomato production in aquaponics vs conventional hydroponics. Agric. Water. Manag. 2016, 178, 335–344. [Google Scholar] [CrossRef]
- Graber, A.; Junge, R. Aquaponic systems: Nutrient recycling from fish wastewater by vegetable production. Desalination 2009, 246, 147–156. [Google Scholar] [CrossRef]
- Kasozi, N.; Abraham, B.; Kaiser, H.; Wilhelmi, B. The complex microbiome in aquaponics: Significance of the bacterial ecosystem. Ann. Microbiol. 2021, 71, 1–13. [Google Scholar] [CrossRef]
- Moon, T.; Choi, W.-J.; Jang, S.-H.; Choi, D.-S.; Oh, M.-M. Growth Analysis of Plant Factory-Grown Lettuce by Deep Neural Networks Based on Automated Feature Extraction. Horticulturae 2022, 8, 1124. [Google Scholar] [CrossRef]
- Matysiak, B.; Ropelewska, E.; Wrzodak, A.; Kowalski, A.; Kaniszewski, S. Yield and quality of romaine lettuce at different daily light integral in an indoor controlled environment. Agronomy 2022, 12, 1026. [Google Scholar] [CrossRef]
- Hamidon, M.H.; Ahamed, T. Detection of Tip-Burn Stress on Lettuce Grown in an Indoor Environment Using Deep Learning Algorithms. Sensors 2022, 22, 7251. [Google Scholar] [CrossRef] [PubMed]
- Pantanella, E.; Cardarelli, M.; Colla, G.; Rea, E.; Marcucci, A. Aquaponics vs. Hydroponics: Production and quality of lettuce crop. Acta Hort. 2012, 927, 887–893. [Google Scholar] [CrossRef]
- Alcarraz, E.; Flores, M.; Tapia, M.L.; Bustamante, A.; Wacyk, J.; Escalona, V. Quality of lettuce (Lactuca sativa L.) grown in aquaponic and hydroponic systems. Acta Hortic. 2018, 1194, 31–38. [Google Scholar] [CrossRef]
- Yang, T.; Kim, H.J. Nutrient management regime affects water quality, crop growth, and nitrogen use efficiency of aquaponic systems. Sci. Hortic. 2019, 256, 108619. [Google Scholar] [CrossRef]
- Yang, T.; Kim, H.J. Effects of hydraulic loading rate on spatial and temporal water quality characteristics and crop growth and yield in aquaponic systems. Horticulturae 2020, 6, 9. [Google Scholar] [CrossRef]
- Kumar, P.; Eriksen, R.L.; Simko, I.; Shi, A.; Mou, B. Insights into nitrogen metabolism in the wild and cultivated lettuce as revealed by transcriptome and weighted gene co-expression network analysis. Sci. Rep. 2022, 12, 9852. [Google Scholar] [CrossRef]
- Becker, C.; Urlić, B.; Jukić Špika, M.; Kläring, H.P.; Krumbein, A.; Baldermann, S.; Goreta Ban, S.; Perica, S.; Schwarz, D. Nitrogen Limited Red and Green Leaf Lettuce Accumulate Flavonoid Glycosides, Caffeic Acid Derivatives, and Sucrose while Losing Chlorophylls, Β-Carotene and Xanthophylls. PLoS ONE 2015, 10, e0142867. [Google Scholar] [CrossRef]
- Deng, B.; Li, Y.; Xu, D.; Qingqing, Y.; Guihua, L. Nitrogen availability alters flavonoid accumulation in Cyclocarya paliurus via the effects on the internal carbon/nitrogen balance. Sci. Rep. 2019, 9, 2370. [Google Scholar] [CrossRef]
- Iammarino, M.; Taranto, A.; Cristino, M. Monitoring of nitrites and nitrates levels in leafy vegetables (spinach and lettuce): A contribution to risk assessment. J. Sci. Food Agric. 2014, 94, 773–778. [Google Scholar] [CrossRef]
- European Commission. European Commission Regulation EC No. 1881/2006 of 19 December 2006 setting maximum levels for certain contaminants in foodstuffs. Off. J. Eur. Union 2006, 364, 5–24. [Google Scholar]
- Maynard, D.N.; Hochmuth, G.J. Knott’s Handbook for Vegetable Growers, 5th ed.; John Wiley and Sons: Hoboken, NJ, USA, 2013; p. 642. ISBN 978-1-118-68610-2. [Google Scholar]
- Goddek, S.; Schmautz, Z.; Scott, B.; Delaide, B.; Keesman, K.; Wuertz, S.; Junge, R. The effect of anaerobic and aerobic fish sludge supernatant on hydroponic lettuce. Agronomy 2016, 6, 37. [Google Scholar] [CrossRef]
- Goddek, S.; Joyce, A.; Wuertz, S.; Körner, O.; Bläser, I.; Reuter, M.; Keesman, K.J. Decoupled Aquaponics Systems. In Aquaponics Food Production Systems; Goddek, S., Joyce, A., Kotzen, B., Burnell, G.M., Eds.; Springer: Cham, Switzerland, 2019; pp. 201–229. [Google Scholar] [CrossRef]
- Palm, H.W.; Knaus, U.; Appelbaum, S.; Strauch, S.M.; Kotzen, B. Coupled Aquaponics Systems. In Aquaponics Food Production Systems; Goddek, S., Joyce, A., Kotzen, B., Burnell, G.M., Eds.; Springer: Cham, Switzerland, 2019; pp. 163–199. [Google Scholar] [CrossRef]
- Llorach, R.; Martıínez-Sánchez, A.; Tomás-Barberán, F.A.; Gil, M.I.; Ferreres, R. Characterisation of polyphenols and antioxidant properties of five lettuce varieties and escarole. Food Chem. 2008, 108, 1028–1038. [Google Scholar] [CrossRef] [PubMed]
- Lopez, A.; Javier, G.A.; Fenoll, J.; Hellína, P.; Flores, P. Chemical composition and antioxidant capacity of lettuce: Comparative study of regular-sized Romaine) and baby-sized (Little Gem and Mini Romaine) types. J. Food Compos. Anal. 2014, 33, 39–48. [Google Scholar] [CrossRef]
- Zhan, L.; Hu, J.; Zhilu, A.; Pang, L.; Li, Y.; Zhu, M. Light exposure during storage preserving soluble sugar and L-ascorbic acid content of minimally processed romaine lettuce (Lactuca sativa L. var. longifolia). Food Chem. 2013, 136, 273–278. [Google Scholar] [CrossRef]
- Kim, M.J.; Moon, Y.; Koppsell, D.A.; Park, S.; Tou, J.C.; Waterland, N.L. Nutritional value of crisp head ‘iceberg’ and Romaine lettuces (Lactuca sativa L.). J. Agric. Sci. 2016, 8, 11. [Google Scholar] [CrossRef]
- Sofoa, A.; Lundegårdh, B.; Mårtensson, A.; Manfrac, M.; Peped, G.; Sommellad, E.; De Niscoe, M.; Tenoref, G.C.; Campigliad, P.; Scopa, A. Different agronomic and fertilization systems affect polyphenolic profile, antioxidant capacity and mineral composition of lettuce. Sci. Hortic. 2016, 204, 106–115. [Google Scholar] [CrossRef]
- Heimler, D.; Vignolini, P.; Arfaioli, P.; Isolani, L.; Romani, A. Conventional, organic and biodynamic farming: Differences in polyphenol content andantioxidant activity of Batavia lettuce. J. Sci. Food Agric. 2012, 92, 551–556. [Google Scholar] [CrossRef]
- Oh, M.-M.; Carey, E.E.; Rajashekar, C.B. Environmental stresses induce health-promoting phytochemicals in lettuce. Plant Physiol. Biochem. 2009, 4, 578–583. [Google Scholar] [CrossRef]



| Assessment Date | EC (mS/cm) | pH | N-NO3− mg/L | N-NH4+ (mg/L) | P (mg/L) | K (mg/L) | Ca (mg/L) | Mg (mg/L) |
|---|---|---|---|---|---|---|---|---|
| 19 September | 0.90 a | 7.40 a | 45.9 a | 2.8 a | 2.60 a | 20.0 a | 142.0 a | 27.6 a |
| 26 September | 0.87 a | 7.35 a | 46.0 a | 2.3 a | 3.67 a | 18.2 a | 136.5 a | 26.1 a |
| 3 October | 0.87 a | 7.20 a | 47.6 a | 4.1 a | 3.28 a | 17.6 a | 142.0 a | 27.0 a |
| 11 October | 0.93 a | 7.25 a | 44.4 a | 2.8 a | 2.70 a | 19.0 a | 143.0 a | 27.5 a |
| Cultivar | NO3 (mg kg−1 FW) | N (%) | P (mg kg−1 DW) | K (mg kg−1 DW) | Ca (mg kg−1 DW) | Mg (mg kg−1 DW) |
|---|---|---|---|---|---|---|
| Nordice | 885 ± 142 a | 2.33 ± 0.10 a | 2557 ± 203 a | 27033 ± 2001 a | 27133 ± 1241 c | 885 ± 142 a |
| Pivotal | 1967 ± 126 b | 3.11 ± 0.11 b | 5130 ± 179 c | 73000 ± 2409 c | 20500 ± 1021 b | 1967 ± 126 b |
| Yakina | 2221 ± 357 b | 3.45 ± 0.04 b | 5520 ± 246 c | 74467 ± 2577 c | 18500 ± 265 b | 2221 ± 357 b |
| Waygo | 1699 ± 221 ab | 3.17 ± 0.11 b | 4100 ± 240 b | 40167 ± 2134 b | 14233 ± 338 a | 1699 ± 221 ab |
| Cultivar | Fe (mg kg−1 DW) | Mn (mg kg−1 DW) | Cu (mg kg−1 DW) | Zn (mg kg−1 DW) | B (mg kg−1 DW) |
|---|---|---|---|---|---|
| Nordice | 75.97 ± 4.49 a | 23.27 ± 1.51 a | 2.81 ± 0.24 a | 110.33 ± 2.73 a | 23.9 ± 1.27 a |
| Pivotal | 93.87 ± 5.74 ab | 131.00 ± 12.22 b | 5.56 ± 0.11 c | 222.33 ± 20.00 b | 24.43 ± 0.59 a |
| Yakina | 98.57 ± 0.69 b | 115.27 ± 13.8 b | 6.78 ± 0.13 d | 343.33 ± 28.38 c | 24.43 ± 0.27 a |
| Waygo | 89.30 ± 3.89 ab | 22.03 ± 0.61 a | 3.74 ± 0.23 b | 124.00 ± 4.16 a | 26.63 ± 0.37 a |
| Cultivar | Chlorophyll a (mg 100 g−1 FW) | Chlorophyll b (mg 100 g−1 FW) | Chlorophyll a+b (mg 100 g−1 FW) | Carotenoids (mg 100 g−1 FW) | Flavonoids (mg 100 g−1 FW) | TPC (mg 100 g−1 FW) |
|---|---|---|---|---|---|---|
| Nordice | 20.02 ± 0.27 a | 6,63 ± 0.06 a | 26.64 ± 0.36 a | 4.87 ± 0.11 a | 52.56 ± 9.92 a | 50.41 ± 2.07 b |
| Pivotal | 25.75 ± 0.80 b | 9.41 ± 0.34 a | 35.15 ± 1.14 b | 6.79 ± 0.24 b | 41.44 ± 7.96 a | 31.58 ± 2.39 a |
| Yakina | 18.64 ± 0.26 a | 5,62 ± 1.08 a | 24.26 ± 0.85 a | 4.81 ± 0.06 a | 31.19 ± 5.06 a | 30.50 ± 0.73 a |
| Waygo | 24.70 ± 0.71 b | 7.67 ± 1.44 a | 32.37 ± 1.05 b | 6.87 ± 0.11 b | 40.44 ± 6.54 a | 43.07 ± 1.23 b |
| Cultivar | L-Ascorbic Acid (mg 100 g−1 FW) | Malic Acid (mg 100 g−1 FW) | Citric Acid (mg 100 g−1 FW) | Total Acids (mg 100 g−1 FW) |
|---|---|---|---|---|
| Nordice | 5.29 ± 0.82 b | 327 ± 17 b | 40.54 ± 2.34 a | 373 ± 20 b |
| Pivotal | 5.02 ± 0.30 b | 445 ± 11 c | 50.8 ± 2.97 a | 501 ± 13 c |
| Yakina | 1.09 ± 0.04 a | 302 ± 3 ab | 48.99 ± 2.41 a | 352 ± 6 ab |
| Waygo | 5.46 ± 0.31 b | 255 ± 9 a | 41.2 ± 1.21 a | 301 ± 9 a |
Disclaimer/Publisher’s Note: The statements, opinions and data contained in all publications are solely those of the individual author(s) and contributor(s) and not of MDPI and/or the editor(s). MDPI and/or the editor(s) disclaim responsibility for any injury to people or property resulting from any ideas, methods, instructions or products referred to in the content. |
© 2023 by the authors. Licensee MDPI, Basel, Switzerland. This article is an open access article distributed under the terms and conditions of the Creative Commons Attribution (CC BY) license (https://creativecommons.org/licenses/by/4.0/).
Share and Cite
Matysiak, B.; Kaniszewski, S.; Mieszczakowska-Frąc, M. Growth and Quality of Leaf and Romaine Lettuce Grown on a Vertical Farm in an Aquaponics System: Results of Farm Research. Agriculture 2023, 13, 897. https://doi.org/10.3390/agriculture13040897
Matysiak B, Kaniszewski S, Mieszczakowska-Frąc M. Growth and Quality of Leaf and Romaine Lettuce Grown on a Vertical Farm in an Aquaponics System: Results of Farm Research. Agriculture. 2023; 13(4):897. https://doi.org/10.3390/agriculture13040897
Chicago/Turabian StyleMatysiak, Bożena, Stanisław Kaniszewski, and Monika Mieszczakowska-Frąc. 2023. "Growth and Quality of Leaf and Romaine Lettuce Grown on a Vertical Farm in an Aquaponics System: Results of Farm Research" Agriculture 13, no. 4: 897. https://doi.org/10.3390/agriculture13040897
APA StyleMatysiak, B., Kaniszewski, S., & Mieszczakowska-Frąc, M. (2023). Growth and Quality of Leaf and Romaine Lettuce Grown on a Vertical Farm in an Aquaponics System: Results of Farm Research. Agriculture, 13(4), 897. https://doi.org/10.3390/agriculture13040897

