Increasing the Biodiversity of the Dendroflora of Sparsely Wooded Regions by Adapted Representatives of the Genus Robinia L.
Abstract
1. Introduction
2. Materials and Methods
2.1. Plant Resources
2.2. Location of the Experimental Site and Conditions
2.3. Maintaining the Prototype, Records and Observations
2.4. Statistical Analysis
3. Results
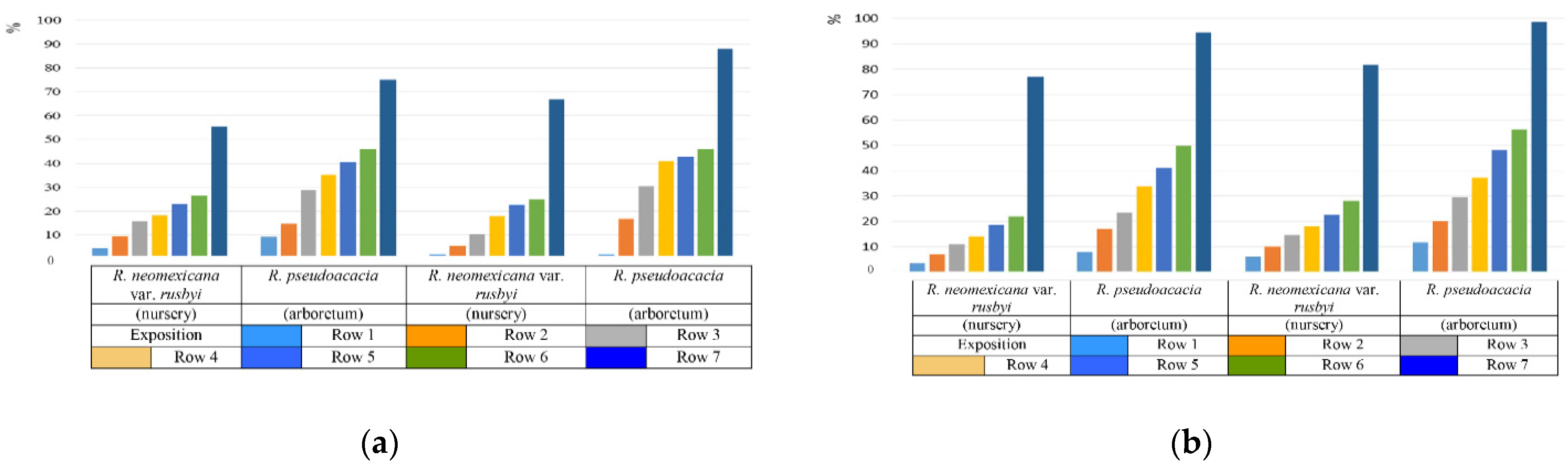
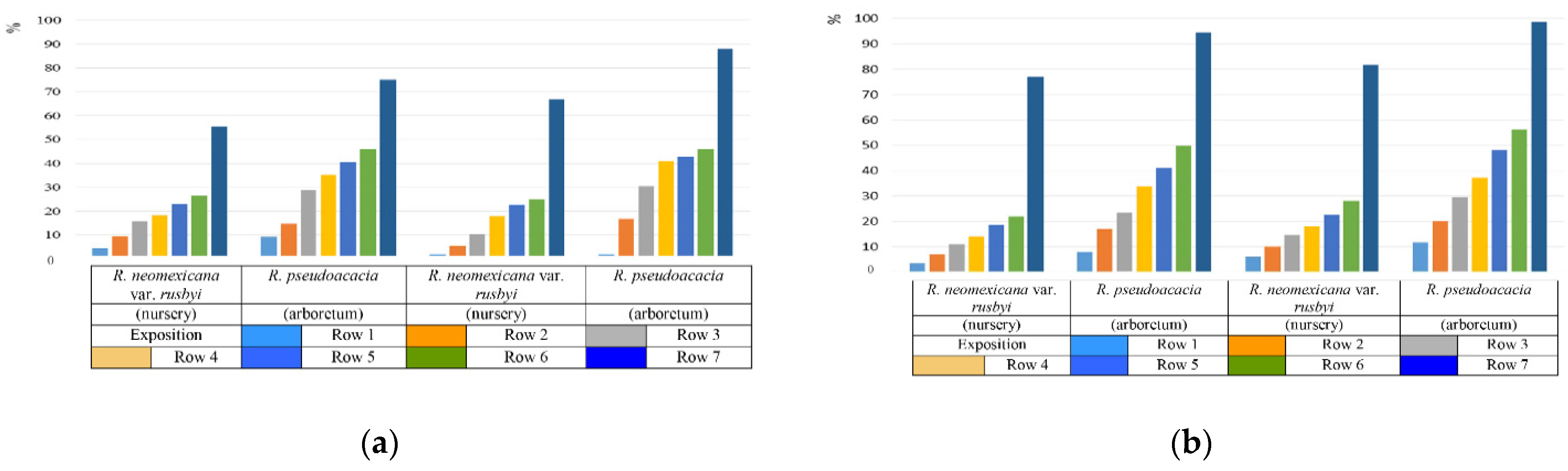
- rhythmic nictinastic movements of the leaflets on a complex leaf—this mechanism is active and is not associated with the general loss of leaf turgor during exposure to high temperatures (Figure 6);
- summer leaf fall is a decrease in the number of leaves without reducing the overall vitality of the plant [49]. Leaf fall in R. neomexicana and its forms is observed in the second–third decade of July; in R. pseudoacacia, this occurs during the third decade of July through the first decade of August.
4. Discussion
- physiological and biochemical phylogenetic adaptations. R. pseudoacacia is able not only to easily tolerate prolonged droughts, reducing transpiration and photosynthesis intensity, but also to recover quickly, compensating for growth processes after exposure to adverse environmental factors [52,53];
- phenotypic ontogenetic adaptations, including changes in life form (tree–shrub, single-stemmed tree–multi-stemmed tree), slowing down the growth rate, reducing the overall size of plants, reducing the size of leaf blades, etc.;
- ecological and phytocenotic phylogenetic adaptations—adaptations that ensure the ability of plants to occupy ecological niches in the biocenosis—the ability to settle and enter plants into the natural ecosystems of the point of introduction (naturalization).
- genotypic adaptations are a comparative characteristic of the winter hardiness of varieties of R. pseudoacacia, whose reproduction occurs exclusively by vegetative methods, with typical representatives of this species, whose reproduction occurs mainly by the generative method. The absence of genetic heterogeneity in maple plantations excludes the possibility of natural or artificial selection and the formation of new genotypic adaptations in changing growing conditions. That is why generative reproduction and generational change are a prerequisite for the adaptation of plants in the process of introduction. The most thermophilic species is R. viscosa, and the most hardy is R. neomexicana (R. luxurians). The latter was used in breeding, in order to increase the winter hardiness of R. pseudoacacia by hybridization [16]. As our research has shown, at present the difference in winter hardiness of Robinia glutinosa, R. pseudoacacia and R. neomexicana has significantly decreased. Over the last century, in the process of natural and artificial selection, these species have developed a number of genotypic adaptations to low negative temperatures.
5. Conclusions
Author Contributions
Funding
Institutional Review Board Statement
Data Availability Statement
Acknowledgments
Conflicts of Interest
References
- FAO. Global Forest Resources Assessment 2020—Main Report; FAO: Rome, Italy, 2021. [Google Scholar] [CrossRef]
- Grigoriev, A.Y.; Laletin, A.P.; Pakhorukova, K.A.; Zabelin, S.I. Forests of Russia and climate change. RSoES 2021, 42. Available online: https://www.airclim.org/sites/default/files/documents/forests-of-russia-and-climate-change.pdf (accessed on 21 December 2022).
- FAO. The state of the world’s land and water resources for food production and agriculture. Systems are at the limit. In Summary Report 2021; FAO: Rome, Italy, 2021; Available online: https://www.fao.org/3/cb7654ru/online/cb7654ru.html (accessed on 21 December 2022).
- Lipka, O.N.; Korzukhin, M.D.; Zamolodchikov, D.G.; Dobrolyubov, N.Y.; Krylenko, S.V.; Bogdanovich, A.Y.; Semenov, S.M. The role of forests in the adaptation of natural systems to climate change. Forestry 2021, 5, 531–546. [Google Scholar] [CrossRef]
- The Forestry Structure of the Volgograd Region Has Turned 85 Years Old. 2021. Available online: http://oblkompriroda.volgograd.ru/current-activity/cooperation/news/377753/?sphrase_id=805382 (accessed on 21 December 2022).
- Vítková, M.; Tonika, J.; Müllerová, J. Black locust-Successful invader of a wide range of soil conditions. Sci. Total Environ. 2015, 505, 315–328. [Google Scholar] [CrossRef] [PubMed]
- Rédei, K.; Keseru, Z.; Rásó, J. Early evaluation of micropropagated black locust (Robinia pseudoacacia L.) clones in Hungary. For. Sci. Pract. 2013, 15, 81–84. [Google Scholar]
- Pepe, M.; Gratani, L.; Crescente, M.F.; Puglielli, G.; Varone, L. Daily Temperature Effect on Seedling Growth Dynamic of Three Invasive Alien Species. Front. Plant Sci. 2022, 13, 837449. [Google Scholar] [CrossRef]
- Zhang, K.Q.; Yang, X.C.; Shen, Z.; Ma, L.Y.; Duan, J.; Li, Y. Properties and Distribution of Seed Banks in a Black Locust (Robinia pseudoacacia) Plantation in Central China. Nat. Environ. Pollut. Technol. 2022, 21, 367–376. [Google Scholar] [CrossRef]
- Wang, N.; Bi, H.; Cui, Y.; Zhao, D.; Hou, G.; Huiya, Y.U.N.; Liu, Z.; Lan, D.; Jin, C. Optimization of stand structure in Robinia pseudoacacia Linn. based on soil and water conservation improvement function. Ecol. Indic. 2022, 136, 108671. [Google Scholar] [CrossRef]
- Rusňák, T.; Halabuk, A.; Halada, L.; Hilbert, H.; Gerhátová, K. Detection of Invasive Black Locust (Robinia pseudoacacia) in Small Woody Features Using Spatiotemporal Compositing of Sentinel-2 Data. Remote Sens. 2022, 14, 971. [Google Scholar] [CrossRef]
- Lazarev, S.E.; Semenyutina, A.V. The prospects of species and forms of the genus Robinial For forest protection and landscaping plantings. Successes Mod. Nat. Sci. 2020, 8, 11–17. [Google Scholar] [CrossRef]
- Vítková, M.; Müllerová, J.; Sádlo, J.; Pergl, J.; Pyšek, P. Black locust (Robinia pseudoacacia) beloved and despised: A story of an invasive tree in Central Europe. For. Ecol. Manag. 2017, 384, 287–302. [Google Scholar] [CrossRef]
- Cierjacks, A.; Kowarik, I.; Joshi, J.; Hempel, S.; Ristow, M.; von der Lippe, M.; Weber, E. Biological Flora of the British Isles: Robinia pseudoacacia. J. Ecol. 2013, 101, 1623–1640. [Google Scholar] [CrossRef]
- Giuliani, C.; Lazzaro, L.; Calamassi, R.; Fico, G.; Foggi, B.; Mariotti Lippi, M. Induced water stress affects seed germination response and root anatomy in Robinia pseudoacacia (Fabaceae). Trees 2019, 33, 1627–1638. [Google Scholar] [CrossRef]
- Morozova, E.V.; Iozus, A.P.; Kryuchkov, S.N. The main results of the breeding of robinia false acacia in the Lower Volga region. Successes Mod. Nat. Sci. 2018, 12, 290–295. [Google Scholar]
- Guo, Q.; Cao, S.; Dong, L.; Li, X.; Zhang, J.; Zhang, Y.; Zhang, Z.; Sun, Y.; Long, C.; Fan, Y.; et al. Genetic diversity and population structure of Robinia pseudoacacia from six improved variety bases in China as revealed by simple sequence repeat markers. J. For. Res. 2022, 33, 611–621. [Google Scholar] [CrossRef]
- Peabody, F.J. Revision of the Genus Robinia (Leguminosae: Papilionoideae). Ph.D. Thesis, Iowa State University, Ames, IA, USA, 1984; 174p. [Google Scholar] [CrossRef]
- U.S. Climate Data [Electronic Resource]. Available online: https://www.usclimatedata.com (accessed on 17 February 2022).
- Sazhin, A.N.; Kulik, K.N.; Vasiliev, Y.I. Weather and Climate of the Volgograd Region; FRCARAS: Volgograd, Russia, 2010; 306p. [Google Scholar]
- Weather and Climate//Chronicle of Weather in Volgograd [Electronic Resource]. Available online: http://www.pogodaiklimat.ru/history/34560.htm (accessed on 17 February 2022).
- Semenyutina, A.V.; Dolgikh, A.A.; Khuzhakhmetova, A.S.; Zelenyak, A.K.; Danilina, D.V.; Kostyukov, S.M.; Bogdanov, A.V.; Solomentseva, A.S. Methodological Guidelines on Seed Science of Tree Introducers in Arid Zone Conditions; Agricultural Academy: Moscow, Russia, 2010; 56p. [Google Scholar]
- Khizhnyak, N.I.; Semenyutina, A.V. Trees and Shrubs of the Volgograd Arboretum All-Russian Research Institute of Agroforestry; Federal State Budgetary Scientific Institution “All-Russian Scientific Research Agroforestry Reclamation Institute”: Volgograd, Russia, 1984; p. 49. [Google Scholar]
- Vinogradova, Y.K.; Mayorov, S.R.; Bochkin, V.D. The influence of alien plant species on the dynamics of the flora of the territory of the Main Botanical Garden of the Russian Academy of Sciences. Russ. J. Biol. Invasions 2015, 4, 22–40. [Google Scholar]
- Vítková, M.; Sádlo, J.; Pergl, J.; Pyšek, P. Towards site-specific management of invasive alien trees based on the assessment of their impacts: The case of Robinia pseudoacacia. NeoBiota 2017, 35, 1–34. [Google Scholar] [CrossRef]
- Zaitsev, G.N. Mathematical Statistics in Experimental Botany; Nauka: Moscow, Russia, 1984; 424p. [Google Scholar]
- Sedykh, S.A.; Baboshko, O.I. The use of false activation robinia in protective afforestation of the Rostov region. Int. Stud. Sci. Bull. 2015, 2–3, 373–374. [Google Scholar]
- Nicolescu, V.-N.; Rédei, K.; Mason, W.L.; Vor, T.; Pöetzelsberger, E.; Bastien, J.-C.; Brus, R.; Benčať, T.; Đodan, M.; Cvjetkovic, B.; et al. Ecology, growth and management of black locust (Robinia pseudoacacia L.), a non-native species integrated into European forests. J. For. Res. 2020, 31, 1081–1101. [Google Scholar] [CrossRef]
- Wojda, T.; Klisz, M.; Jastrzębowski, S.; Mionskowski, M.; Szyp-Borowska, I.; Szczygieł, K. The Geographical Distribution of the Black Locust (Robinia Pseudoacacia L.) in Poland and Its Role on Non-Forest Land. Pap. Glob. Chang. IGBP 2015, 22, 101–113. [Google Scholar] [CrossRef]
- Nicolescu, V.-N.; Hernea, C.; Bakti, B.; Keserű, Z.; Antal, B.; Rédei, K. Black locust (Robinia pseudoacacia L.) as a multi-purpose tree species in Hungary and Romania: A review. J. For. Res. 2018, 29, 1449–1463. [Google Scholar] [CrossRef]
- Kim, Y.K.; Kim, M.S.; Nam, J.I.; Song, J.H.; Kim, S.H. Analysis on floral nectar characteristics among the selected black locust (Robinia spp.) individuals. J. Apic. Res. 2021, 1–9. [Google Scholar] [CrossRef]
- Lazarev, S.E.; Semenyutina, A.V. Scientific principles of reconstruction of gardening robinia plantings. Sci. Thought Electron. Period. J. 2021, 12, 102–121. [Google Scholar] [CrossRef]
- Ivanova, N.V.; Sedoy, R.G.; Babeshko, O.I.; Kurinskaya, L.V. Features of the growth of pseudoactation robinia in the conditions of the steppe zone. For. Sci. 2021, 3, 240–249. [Google Scholar] [CrossRef]
- Agapov, A.I.; Shakina, T.N. The use of North American introducents for green construction in 3–4 winter hardiness zones. Sci. Work. Cheboksary Branch N.V. Tsitsin Main Bot. Gard. Russ. Acad. Sci. 2019, 12, 96–99. [Google Scholar]
- Karpun, Y.N. Subtropical Decorative Dendrology: Handbook; Publishing House “VVM”: St. Petersburg, Russia, 2010; p. 580. [Google Scholar]
- Lazarev, S.E. Form diversity and decorative properties of representatives of the genus Robinia in the conditions of the dry steppe. Sci. Agron. J. 2020, 2, 42–50. [Google Scholar] [CrossRef]
- Koniakin, S.N.; Burda, R.I. The non-native woody species of the flora of Ukraine: Introduction, naturalization and invasion. Biosyst. Divers. 2019, 27, 276–290. [Google Scholar] [CrossRef]
- Andronova, M.M. Winter hardiness and frost resistance of tree species in the anthropogenic environment of the European north of Russia. Successes Mod. Nat. Sci. 2018, 5, 26–32. [Google Scholar]
- Winter Hardiness and Frost Resistance of Wood Species in the Anthropogenic Environment of European North of Russia. Available online: https://natural-sciences.ru/ru/article/view?id=36750 (accessed on 10 August 2022).
- Cook, B.I.; Mankin, J.S.; Anchukaitis, K.J. Climate change and drought: From past to future. Curr. Clim. Chang. Rep. 2018, 4, 164–179. [Google Scholar] [CrossRef]
- Li, L.; Song, X.; Zhao, X.; Meng, P.; Feng, D.; Fu, C.; Wang, L.; Jiao, R.; Wei, W.; Li, H. Modeling the impact of climate change and vegetation conversion on water budget: A case study in the Loess Plateau of China. J. Hydrol. Reg. Stud. 2022, 40, 101040. [Google Scholar] [CrossRef]
- Carlón Allende, T.; Mendoza, M.E.; Villanueva Díaz, J.; Li, Y. Climatic response of Pinus cembroides Zucc. radial growth in Sierra del Cubo, Guanajuato, Mexico. Trees 2018, 32, 1387–1399. [Google Scholar] [CrossRef]
- Pepe, M.; Crescente, M.F.; Varone, L. Effect of Water Stress on Physiological and Morphological Leaf Traits: A Comparison among the Three Widely-Spread Invasive Alien Species Ailanthus altissima, Phytolacca americana, and Robinia pseudoacacia. Plants 2022, 11, 899. [Google Scholar] [CrossRef] [PubMed]
- Liang, H.; Xue, Y.; Li, Z.; Wang, S.; Wu, X.; Gao, G.; Liu, G.; Fu, B. Soil moisture decline following the plantation of Robinia pseudoacacia forests: Evidence from the Loess Plateau. For. Ecol. Manag. 2018, 12, 62–69. [Google Scholar] [CrossRef]
- Kou, M.; Garcia-Fayos, P.; Hu, S.; Jiao, J. The effect of Robinia pseudoacacia afforestation on soil and vegetation properties in the Loess Plateau (China): A chronosequence approach. For. Ecol. Manag. 2016, 375, 146–158. [Google Scholar] [CrossRef]
- Wang, L.; Shao, M.A.; Li, Y.Y. Study on relationship between growth of artificial Robinia pseudoscacia plantation and soil desiccation in the Loess Plateau of northern Shannxi Province. Sci. Silvae Sin. 2004, 40, 84–91. [Google Scholar]
- Jiao, L.; An, W.; Li, Z.; Gao, G.; Wang, C. Regional variation in soil water and vegetation characteristics in the Chinese Loess Plateau. Ecol. Indic. 2020, 115, 106399. [Google Scholar] [CrossRef]
- Yang, L.; Wei, W.; Chen, L.; Chen, W.; Wang, J. Response of temporal variation of soil moisture to vegetation restoration in semi-arid Loess Plateau, China. Catena 2014, 115, 123–133. [Google Scholar] [CrossRef]
- Semenyutina, A.V.; Lazarev, S.E.; Melnik, K.A. Evaluation of the reproductive ability of representatives of generic complexes and features of their breeding seed science in dry-steppe conditions. Sci. Thought 2019, 9, 1–23. [Google Scholar]
- Dervishi, V.; Poschenrieder, W.; Rötzer, T.; Moser-Reischl, A.; Pretzsch, H. Effects of Climate and Drought on Stem Diameter Growth of Urban Tree Species. Forests 2022, 13, 641. [Google Scholar] [CrossRef]
- Burescu, L.; Cachiţa, D.; Craciun, C. Anatomical, morphological and cytological comparative study of leaves and cotyledons from forestry species or. II Comparison between the morpho-anatomical and cytological structures of cotyledons and leaves of Robinia pseudoacacia L. Stud. Univ. Vasile Goldis Arad Ser. Stiint. Vietii 2015, 25, 65–71. [Google Scholar]
- Nan, G.; Wang, N.; Jiao, L.; Zhu, Y.; Sun, H. A new exploration for accurately quantifying the effect of afforestation on soil moisture: A case study of artificial Robinia pseudoacacia in the Loess Plateau (China). For. Ecol. Manag. 2019, 433, 459–466. [Google Scholar] [CrossRef]
- Morozova, E.V.; Iozus, A.P.; Kryuchkov, S.N. Selective Seed Production of Tree Species in the Southeast of European Russia: Monograph; Volgograd State Technical University: Volgograd, Russia, 2016; 184p. [Google Scholar]







| Representatives | Type of Landings, Number | Age (Years) | Height (m) | Diameter (mm) | Multi-Barrel Index | Crown Projection (m) |
|---|---|---|---|---|---|---|
| Robinia neomexicana var. neomexicana Landscaping plantings of the territory of the VolSU (Volgograd: 48.641656° N 44.431266° E). | multi-row | 20 | 5.93 σ 0.28 | 57.1 σ 18.6 | 2.8 σ 0.84 | 4.04 × 4.72 σ 0.55–0.41 |
| Robinia neomexicana f. light purple Nursery of Woody Plants of the Federal Research Center of Agroecology of the Russian Academy of Sciences (Volgograd, Sovetsky district 48.631616° N 44.423020° E). | group | 20 | 7.51 σ 0.58 | 70.0 σ 27.5 | 2.5 σ 0.52 | 4.54 × 5.48 σ 1.46–1.53 |
| Robinia neomexicana f. light pink Nursery of Woody Plants of the Federal Research Center of Agroecology of the Russian Academy of Sciences (Volgograd, Sovetsky district, 48.631616° N 44.423020° E). | group | 20 | 5.42 σ 0.38 | 55.2 σ 20.5 | 2.4 σ 0.32 | 3.92 × 5.35 σ 0.42–0.71 |
| Robinia neomexicana var. rusbyi Landscaping plantings of limited and general use (Volgograd: 48.657598° N 44.438422° E). | group | 20 | 7.85 σ 0.75 | 75.2 σ 19.4 | 1.9 σ 0.24 | 4.75 × 5.72 σ 0.45–0.63 |
| Robinia pseudoacacia Nursery of Woody Plants of the Federal Research Center of Agroecology of the Russian Academy of Sciences (Volgograd, Sovetsky district, 48.631616° N 44.423020° E). | group | 20 | 10.85 σ 0.69 | 82.9 σ 39.9 | 1.75 σ 1.83 | 5.35 × 6.15 σ 0.53–0.83 |
| Robinia pseudoacacia f. pyramidalis Forest seed collection plantations on the territory of the Kirov forestry of the Volgograd Forestry (Volgograd, Kirovsky district 48.617162° N 44.373890° E). | row | 20 | 9.04 σ 0.72 | 69.0 σ 33.2 | 5.2 σ 1.54 | 2.4 × 2.6 σ 1.09–1.72 |
| Robinia viscosa var. hartwegii Landscaping objects of the Central district of Volgograd, limited-use plantings of residential development (Volgograd, 48.714435° N 44.522379° E) | group | 20 | 5.25 σ 1.13 | 144.0 σ 25.1 | 1 σ 0.00 | 3.52 × 4.28 σ 0.58–0.59 |
| Robinia pseudoacacia x Robinia neomexicana Nursery of Woody Plants of the Federal Research Center of Agroecology of the Russian Academy of Sciences (Volgograd, Sovetsky district, 48.631616° N 44.423020° E). | group | 20 | 9.25 σ 1.15 | 79.1 σ 24.5 | 1.8 σ 1.52 | 5.15 × 6.05 σ 0.83–1.45 |
| Plant | Winter Hardiness 1 | Drought Resistance 2 | Blossom 3 | Fruiting 4 | Vitality 5 |
|---|---|---|---|---|---|
| R. pseudoacacia L. | 1.8 m 6 = 0.043 | 1.1 m = 0.034 | 4.7 m = 0.052 | 4.6 m = 0.056 | 1.2 m = 0.046 |
| R. pseudoacacia f. pyramidalis | 3.7 m = 0.049 | 1.2 m = 0.042 | 0 m = 0 | 0 m = 0 | 2.7 m = 0.082 |
| R. neomexicana var. neomexicana | 1.2 m = 0.048 | 1.5 m = 0.055 | 4.5 m = 0.057 | 4.2 m = 0.046 | 1.3 m = 0.048 |
| R. neomexicana var. rusbyi | 1.3 m = 0.051 | 1.6 m = 0.053 | 4.6 m = 0.056 | 4.3 m = 0.052 | 1.3 m = 0.051 |
| R. neomexicana f. light violet | 1.7 m = 0.049 | 1.3 m = 0.052 | 3.7 m = 0.052 | 3.5 m = 0.055 | 1.4 m = 0.056 |
| R. neomexicana f. light pink | 1.5 m = 0.055 | 1.4 m = 0.054 | 3.9 m = 0.057 | 3.7 m = 0.051 | 1.5 m = 0.060 |
| R. viscosa var. hartwegii | 2.2 m = 0.086 | 1.3 m = 0.051 | 4.9 m = 0.050 | 1.7 m = 0.051 | 1.5 m = 0.062 |
| R.pseudoacacia x R. neomexicana | 1.5 m = 0.055 | 1.1 m = 0.038 | 4.5 m = 0.055 | 4.5 m = 0.057 | 1.2 m = 0.043 |
| Species, Varieties and Forms of the Genus Robinia | Term of Determination | 2019 | 2020 | 2021 | Average | |||
|---|---|---|---|---|---|---|---|---|
| Water-Holding Capacity, % | HTC * | Water-Holding Capacity, % | HTC * | Water-Holding Capacity, % | HTC * | |||
| R. pseudoacacia f. pyramidalis | July | 93.0 | 1.03 | 97.7 | 1.16 | 98.5 | 0.28 | 96.4 σ = 2.97 |
| September | 94.2 | 0.60 | 98.9 | 0.01 | 99.6 | 0.70 | 97.6 y = 2.93 | |
| R. viscosa var. hartwegii | July | 86.2 | 1.03 | 90.6 | 1.16 | 93.7 | 0.28 | 90.2 σ = 3.77 |
| September | 89.2 | 0.60 | 97.1 | 0.01 | 96.0 | 0.70 | 94.1 y = 4.28 | |
| R. pseudoacacia x R. neomexicana | July | 81.6 | 1.03 | 84.7 | 1.16 | 89.8 | 0.28 | 85.4 σ = 4.13 |
| September | 87.0 | 0.60 | 90.5 | 0.01 | 95.7 | 0.70 | 91.1 y = 4.40 | |
| R. pseudoacacia | July | 78.9 | 1.03 | 81.7 | 1.16 | 88.0 | 0.28 | 82.9 σ = 4.68 |
| September | 89.8 | 0.60 | 93.0 | 0.01 | 98.7 | 0.70 | 93.8 y = 4.49 | |
| R. neomexicana f. light violet | July | 67.7 | 1.03 | 71.8 | 1.16 | 75.7 | 0.28 | 71.7 σ = 4.00 |
| September | 78.4 | 0.60 | 83.2 | 0.01 | 87.6 | 0.70 | 83.1 y = 4.58 | |
| R. neomexicana f. light pink | July | 62.3 | 1.03 | 67.6 | 1.16 | 69.0 | 0.28 | 66.3 σ = 3.55 |
| September | 79.4 | 0.60 | 86.1 | 0.01 | 87.8 | 0.70 | 84.5 y = 4.46 | |
| R. neomexicana var. rusbyi | July | 58.6 | 1.03 | 62.9 | 1.16 | 66.8 | 0.28 | 62.8 σ = 4.11 |
| September | 71.6 | 0.60 | 77.2 | 0.01 | 81.7 | 0.70 | 76.8 y = 5.07 | |
| Average by year | July | 77.1 σ = 12.70 | 81.6 σ = 13.04 | 84.6 σ = 12.29 | ||||
| September | 85.2 σ = 7.82 | 90.3 σ = 7.59 | 93.4 σ = 6.74 | |||||
| Indicator | Robinia Form | |||
|---|---|---|---|---|
| R. pseudoacacia (Hatchery) | R. pseudoacacia (Arboretum) | R. neomexicana var. rusbyi (Hatchery) | R. neomexicana var. rusbyi (Arboretum) | |
| Chlorophyll | 39.4 ± 0.7 | 35.5 ± 1.01 | 39.6 ± 0.43 | 34.8 ± 0.99 |
| Flavonoids | 1.85 ± 0.02 | 1.67 ± 0.03 | 1.84 ± 0.02 | 1.53 ± 0.04 |
| Anthocyanins | 0.047 ± 0.002 | 0.050 ± 0.003 | 0.042 ± 0.002 | 0.053 ± 0.003 |
| NBI, units | 21.4 ± 0.4 | 24.8 ± 2.0 | 21.5 ± 0.3 | 24.9 ± 1.5 |
| Taxon | Volga-Ural Semi-Desert | Volga-Don Steppe | Volga-Ural Dry Steppe | Ergeninsko-Sarpinsky Semi-Desert | Volga-Don Dry Steppe | Status of Invasive Activity * |
|---|---|---|---|---|---|---|
| R. pseudoacacia | L/A | A | A | L | L/A | 2.0 |
| R. pseudoacacia f. pyramidalis | N/LIM | N | N | A | N/LIM | 0 |
| R. neomexicana | L | L | L | L | L | 3.0 |
| R. neomexicana f. light purple | A | A | A | A | A | 4.0 |
| R. neomexicana f. light pink | A | A | A | A | A | 4.0 |
| R. viscosa var. hartwegii | A/LIM | LIM | LIM | A | LIM/A | 4.0 |
| R.pseudoacacia x R. neomexicana | A | A | A | A | A | 3.0 |
| Name of the Plant | Protective Forest Plantations | Landscaping | ||||
|---|---|---|---|---|---|---|
| Protective | Gully-Girders | Arrays | Groups | Solitaire | Alleys | |
| R. pseudoacacia | ۷ | ۷ | ۷ | ۷ | ۷ | |
| R. pseudoacacia f. pyramidalis | ۷ | |||||
| R. neomexicana var. neomexicana | ۷ | ۷ | ۷ | |||
| R. neomexicana var. rusbyi | ۷ | ۷ | ۷ | |||
| R. neomexicana f. light purple | ۷ | |||||
| R. neomexicana f. light pink | ۷ | |||||
| R. viscosa var. hartwegii | ۷ | ۷ | ||||
| R.pseudoacacia x R. neomexicana | ۷ | ۷ | ۷ | |||
Disclaimer/Publisher’s Note: The statements, opinions and data contained in all publications are solely those of the individual author(s) and contributor(s) and not of MDPI and/or the editor(s). MDPI and/or the editor(s) disclaim responsibility for any injury to people or property resulting from any ideas, methods, instructions or products referred to in the content. |
© 2023 by the authors. Licensee MDPI, Basel, Switzerland. This article is an open access article distributed under the terms and conditions of the Creative Commons Attribution (CC BY) license (https://creativecommons.org/licenses/by/4.0/).
Share and Cite
Kalmykova, E.; Lazarev, S. Increasing the Biodiversity of the Dendroflora of Sparsely Wooded Regions by Adapted Representatives of the Genus Robinia L. Agriculture 2023, 13, 695. https://doi.org/10.3390/agriculture13030695
Kalmykova E, Lazarev S. Increasing the Biodiversity of the Dendroflora of Sparsely Wooded Regions by Adapted Representatives of the Genus Robinia L. Agriculture. 2023; 13(3):695. https://doi.org/10.3390/agriculture13030695
Chicago/Turabian StyleKalmykova, Elena, and Sergei Lazarev. 2023. "Increasing the Biodiversity of the Dendroflora of Sparsely Wooded Regions by Adapted Representatives of the Genus Robinia L." Agriculture 13, no. 3: 695. https://doi.org/10.3390/agriculture13030695
APA StyleKalmykova, E., & Lazarev, S. (2023). Increasing the Biodiversity of the Dendroflora of Sparsely Wooded Regions by Adapted Representatives of the Genus Robinia L. Agriculture, 13(3), 695. https://doi.org/10.3390/agriculture13030695

