Leveraging on Advanced Remote Sensing- and Artificial Intelligence-Based Technologies to Manage Palm Oil Plantation for Current Global Scenario: A Review
Abstract
1. Introduction
- Deforestation: The large-scale conversion of forests to palm oil plantations has resulted in significant deforestation and the loss of biodiversity. This has raised concerns about the impacts on wildlife and ecosystem services, such as carbon sequestration and water regulation.
- Human rights: There have been numerous reports of human rights abuses in palm oil production, including forced labor, child labor, and land grabs.
- Environmental impacts: The use of chemicals and fertilizers in palm oil production can lead to water pollution and soil degradation, while the burning of forests to clear land for plantations can contribute to air pollution and climate change.
- Sustainability: There is a growing demand for sustainably sourced palm oil but certifying palm oil as sustainable can be challenging due to conflicting interests and a lack of standardization in certification programs.
2. Remote Sensing Techniques for Palm Oil Plantation Management
Land Cover Mapping
3. Role of Artificial Intelligence in Palm Tree Identification
3.1. CNN Training and Parameter Optimization
- Data preparation: The first step in training a CNN for palm oil tree detection is to prepare a large dataset of labeled images that are representative of the target application. This dataset is to be used to train the CNN and to evaluate its performance.
- Network design: The next step is to design the CNN architecture. This involves selecting the number and type of layers, the size and type of filters, and the activation functions. The design of the CNN is to be optimized for the specific task of palm oil tree detection.
- Loss function selection: The loss function is a measure of the error between the predicted output and the actual output. The loss function is used to guide the optimization of the network parameters. Common loss functions used for image classification tasks include cross-entropy loss and mean squared error.
- Parameter optimization: During network training, the parameters of the network are optimized to minimize the loss function. This is typically done using an optimization algorithm, such as stochastic gradient descent, which adjusts the parameters based on the gradient of the loss function.
- Back-propagation: The back-propagation process is to be used to compute the gradient of the loss function with respect to the network parameters. This gradient is then used to update the parameters in the direction that minimizes the loss function.
3.2. Label Prediction
3.3. Sample Merging
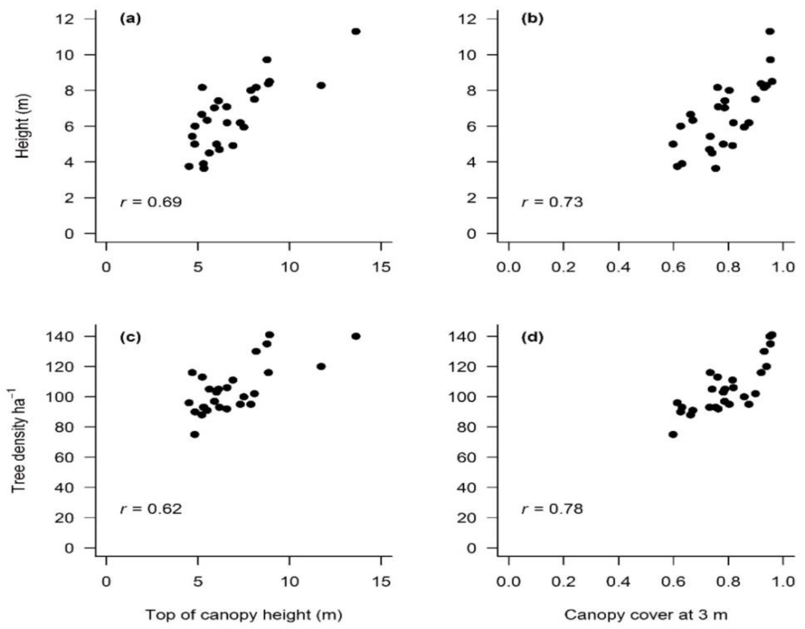
4. Assessment of Palm Tree Health Mapping and Height
Determination of Tree Height
5. Role of Image Processing in Disease Assessment
5.1. Analysis of Leaf Blight in Palm Leaf-Case Study
| Algorithm 1. Requirements: Bundled input images |
| 1. Input image JPG format |
| 2. Resize the image to 500 × 500//resize(img, image, size) |
| 3. Apply filter (Bilateral Blur)//Bilateral Filter(image, dst,15,80,80) |
| 4. Convert RGB colorspace to HSV colorspace//cvtColor(dst, HSV, CV_BGR2HSV) |
| 5. Apply Threshold adjustments by adjusting the HSV trackbars |
| 6. SegmentThresholded pixels//(0[Black],255[White] Pixels) |
| 7. Draw contours |
| 8. Store segmented pixels//white/black pixels |
| 9. Emit segmented pixels variable//write(new IntWritable(1),newIntWritable (ROI pixels)); |
6. Approach towards Healthy and Sustainable Production
6.1. Yield Monitoring Using UAV
6.2. Prediction Formulation
6.3. Mechanized Fertilization
6.4. Analyzing Fresh Fruit Bunch
6.5. Web Monitoring and Virtual Plantation
7. Conclusions
- Yield prediction: AI algorithms can be used to predict yield based on factors such as tree size, age, and weather patterns, allowing for better planning and the optimization of production.
- Pest and disease management: AI algorithms can be used to detect and predict pest and disease outbreaks, enabling early intervention and reducing crop losses.
- Irrigation management: AI algorithms can be used to optimize irrigation systems by predicting water requirements based on soil moisture levels, weather patterns, and crop growth stages.
- Harvest optimization: AI algorithms can be used to optimize the timing and process of harvesting, reducing costs and increasing efficiency.
- Sustainability assessment: AI algorithms can be used to assess the sustainability of palm oil production, taking into account factors such as land use, water use, and carbon emissions, and providing recommendations for improvement.
8. Future Work
Author Contributions
Funding
Institutional Review Board Statement
Informed Consent Statement
Data Availability Statement
Acknowledgments
Conflicts of Interest
References
- Ibrahim, I.; Awang, A.H.; Hashim, K.; Ramli, Z.; Lyndon, N.; Azian, F.U.M.; Hamid, M.H.A. Independent Oil Palm Smallholder Participation and Technology Transfer Selected Topics on Archaeology, History and Culture in the Malay World; Springer: Berlin/Heidelberg, Germany, 2018; pp. 217–224. [Google Scholar]
- Oettli, P.; Behera, S.K.; Yamagata, T. Climate Based Predictability of Oil Palm Tree Yield in Malaysia. Sci. Rep. 2018, 8, 2271. [Google Scholar] [CrossRef] [PubMed]
- Umar, M.S.; Urmee, T.; Jennings, P. A policy framework and industry roadmap model for sustainable oil palm biomass electricity generation in Malaysia. Renew. Energy 2018, 128, 275–284. [Google Scholar] [CrossRef]
- Rizeei, H.M.; Shafri, H.Z.M.; Mohamoud, M.A.; Pradhan, B.; Kalantar, B. Oil Palm Counting and Age Estimation from WorldView-3 Imagery and LiDAR Data Using an Integrated OBIA Height Model and Regression Analysis. J. Sens. 2018, 2018, 2536327. [Google Scholar] [CrossRef]
- Moreno-Peñaranda, R.; Gasparatos, A.; Stromberg, P.; Suwa, A.; de Oliveira, J.A.P. Stakeholder Perceptions of the Eco-system Services and Human Well-Being Impacts of Palm Oil Biofuels in Indonesia and Malaysia Biofuels and Sustainability; Springer: Berlin/Heidelberg, Germany, 2018; pp. 133–173. [Google Scholar]
- Cheng, Y.; Yu, L.; Xu, Y.; Liu, X.; Lu, H.; Cracknell, A.P.; Kanniah, K.; Gong, P. Towards global oil palm plantation mapping using remote-sensing data. Int. J. Remote Sens. 2018, 39, 5891–5906. [Google Scholar] [CrossRef]
- Najib, N.E.M.; Kanniah, K.D. Optical and radar remote sensing data for forest cover mapping in Peninsular Malaysia. Singap. J. Trop. Geogr. 2018, 40, 272–290. [Google Scholar] [CrossRef]
- Wang, Y.; Zhu, X.; Wu, B. Automatic detection of individual oil palm trees from UAV images using HOG features and an SVM classifier. Int. J. Remote Sens. 2018, 40, 7356–7370. [Google Scholar] [CrossRef]
- Daliman, S.; Kamal, N.S.M.; Ahmad, S. Development of GUI For Automated Oil Palm Tree Counting Based on Remote Sensing Imagery. In Proceedings of the 2018 International Conference on Smart Computing and Electronic Enterprise (ICSCEE), Shah Alam, Malaysia, 11–12 July 2018. [Google Scholar]
- Vargas, L.; Willemen, L.; Hein, L. Assessing the Capacity of Ecosystems to Supply Ecosystem Services Using Remote Sensing and An Ecosystem Accounting Approach. Environ. Manag. 2018, 63, 1–15. [Google Scholar] [CrossRef]
- Ahmed, G.B.; Shariff, A.; Balasundram, S.; Abdullah, A. Estimation of soil loss in Seremban, Malaysia using GIS and remote sensing technique. In Proceedings of the Paper presented at the IOP Conference Series: Earth and Environmental Science, Kuala Lumpur, Malaysia, 24–25 April 2018. [Google Scholar]
- Kee, Y.; Shariff, A.; Sood, A.; Nordin, L. Application of SAR data for oil palm tree discrimination. In Proceedings of the Conference Series: Earth and Environmental Science, Kuala Lumpur, Malaysia, 24–25 April 2018. [Google Scholar]
- Estes, L.; Chen, P.; Debats, S.; Evans, T.; Ferreira, S.; Kuemmerle, T.; Wood, E. A large-area, spatially continuous as-sessment of land cover map error and its impact on downstream analyses. Glob. Chang. Biol. 2018, 24, 322–337. [Google Scholar] [CrossRef]
- Matysek, M.; Evers, S.; Samuel, M.K.; Sjogersten, S. High heterotrophic CO 2 emissions from a Malaysian oil palm plan-tations during dry-season. Wetl. Ecol. Manag. 2018, 26, 415–424. [Google Scholar] [CrossRef]
- Hasmadi, M.; Pakhriazad, H.; Shahrin, M. Evaluating supervised and unsupervised techniques for land cover mapping using remote sensing data. Geogr. Malays. J. Soc. Space 2017, 5, 1–10. [Google Scholar]
- Ayele, G.T.; Tebeje, A.K.; Demissie, S.S.; Belete, M.A.; Jemberrie, M.; Teshome, W.M.; Mengistu, D.T.; Teshale, E.Z. Time Series Land Cover Mapping and Change Detection Analysis Using Geographic Information System and Remote Sensing, Northern Ethiopia. Air Soil Water Res. 2018, 11, 1178–6221. [Google Scholar] [CrossRef]
- Sun, Z.; Di, L.; Fang, H. Using long short-term memory recurrent neural network in land cover classification on Landsat and Cropland data layer time series. Int. J. Remote Sens. 2018, 40, 593–614. [Google Scholar] [CrossRef]
- Singh, S.K.; Laari, P.B.; Mustak, S.; Srivastava, P.K.; Szabó, S. Modelling of land use land cover change using earth ob-servation data-sets of Tons River Basin, Madhya Pradesh, India. Geocarto Int. 2018, 33, 1202–1222. [Google Scholar] [CrossRef]
- Lv, Z.; Liu, T.; Wan, Y.; Benediktsson, J.A.; Zhang, X. Post-Processing Approach for Refining Raw Land Cover Change Detection of Very High-Resolution Remote Sensing Images. Remote Sens. 2018, 10, 472. [Google Scholar] [CrossRef]
- Li, X.; Ling, F.; Foody, G.M.; Ge, Y.; Zhang, Y.; Du, Y. Generating a series of fine spatial and temporal resolution land cover maps by fusing coarse spatial resolution remotely sensed images and fine spatial resolution land cover maps. Remote Sens. Environ. 2017, 196, 293–311. [Google Scholar] [CrossRef]
- Cheng, Y.; Yu, L.; Cracknell, A.P.; Gong, P. Oil palm mapping using Landsat and PALSAR: A case study in Malaysia. Int. J. Remote Sens. 2016, 37, 5431–5442. [Google Scholar] [CrossRef]
- Alonzo, M.; Bookhagen, B.; Roberts, D.A. Urban tree species mapping using hyperspectral and lidar data fusion. Remote Sens. Environ. 2014, 148, 70–83. [Google Scholar] [CrossRef]
- Rosenbaum, D.; Leitloff, J.; Kurz, F.; Meynberg, O.; Reize, T. Real-time image processing for road traffic data extraction from aerial images. In Proceedings of the ISPRS Technical Commission VII Symposium 2010, Vienna, Austria, 5–7 July 2010. [Google Scholar]
- Roessner, S.; Segl, K.; Heiden, U.; Kaufmann, H. Automated differentiation of urban surfaces based on airborne hyper-spectral imagery. IEEE Trans. Geosci. Remote Sens. 2001, 39, 1525–1532. [Google Scholar] [CrossRef]
- Puissant, A.; Rougier, S.; Stumpf, A. Object-oriented mapping of urban trees using Random Forest classifiers. Int. J. Appl. Earth Obs. Geoinf. 2014, 26, 235–245. [Google Scholar] [CrossRef]
- Wania, A.; Weber, C. Hyperspectral imagery and urban green observation. In Proceedings of the 2007 Urban Remote Sensing Joint Event, Paris, France, 11–13 April 2007. [Google Scholar]
- Kneissl, T.; van Gasselt, S.; Neukum, G. Map-projection-independent crater size-frequency determination in GIS envi-ronments—New software tool for ArcGIS. Planet. Space Sci. 2011, 59, 1243–1254. [Google Scholar] [CrossRef]
- Cigna, F.; Osmanoğlu, B.; Cabral-Cano, E.; Dixon, T.H.; Ávila-Olivera, J.A.; Garduño-Monroy, V.H.; DeMets, C.; Wdowinski, S. Monitoring land subsidence and its induced geological hazard with Synthetic Aperture Radar Interferometry: A case study in Morelia, Mexico. Remote Sens. Environ. 2012, 117, 146–161. [Google Scholar] [CrossRef]
- Huang, H.; Chen, Y.; Clinton, N.; Wang, J.; Wang, X.; Liu, C.; Gong, P.; Yang, J.; Bai, Y.; Zheng, Y.; et al. Mapping major land cover dynamics in Beijing using all Landsat images in Google Earth Engine. Remote Sens. Environ. 2017, 202, 166–176. [Google Scholar] [CrossRef]
- Glinskis, E.A.; Gutiérrez-Vélez, V.H. Quantifying and understanding land cover changes by large and small oil palm expansion regimes in the Peruvian Amazon. Land Use Policy 2018, 80, 95–106. [Google Scholar] [CrossRef]
- Wai, K.; Wang, X.; Lin, T.; Wong, M.; Zeng, S.; He, N.; Wang, D. Observational evidence of a long-term increase in pre-cipitation due to urbanization effects and its implications for sustainable urban living. Sci. Total Environ. 2017, 599, 647–654. [Google Scholar] [CrossRef]
- Frohn, R.C.; Lopez, R.D. Remote Sensing for Landscape Ecology: New Metric Indicators: Monitoring, Modeling, and Assessment of Ecosystems; CRC Press: Boca Raton, FL, USA, 2017. [Google Scholar]
- Pettorelli, N.; Wegmann, M.; Skidmore, A.; Mücher, S.; Dawson, T.P.; Fernandez, M.; Lucas, R.; Schaepman, M.E.; Wang, T.; O’Connor, B.; et al. Framing the concept of satellite remote sensing essential biodiversity variables: Challenges and future directions. Remote Sens. Ecol. Conserv. 2016, 2, 122–131. [Google Scholar] [CrossRef]
- Vu, T.-T.; Thy, P.T.M.; Nguyen, L. Multiscale remote sensing of urbanization in Ho Chi Minh city, Vietnam—A focused study of the south. Appl. Geogr. 2018, 92, 168–181. [Google Scholar] [CrossRef]
- Liu, H.; An, H. Analysis of the importance of five new spectral indices from WorldView-2 in tree species classifica-tion. J. Spat. Sci. 2018, 65, 455–466. [Google Scholar] [CrossRef]
- Huang, B.; Zhao, B.; Song, Y. Urban land-use mapping using a deep convolutional neural network with high spatial res-olution multispectral remote sensing imagery. Remote Sens. Environ. 2018, 214, 73–86. [Google Scholar] [CrossRef]
- Li, W.; Fu, H.; Yu, L.; Cracknell, A. Deep Learning Based Oil Palm Tree Detection and Counting for High-Resolution Remote Sensing Images. Remote Sens. 2016, 9, 22. [Google Scholar] [CrossRef]
- Chen, Q.; Lu, D.; Keller, M.; Dos-Santos, M.N.; Bolfe, E.L.; Feng, Y.; Wang, C. Modeling and Mapping Agroforestry Aboveground Biomass in the Brazilian Amazon Using Airborne Lidar Data. Remote Sens. 2015, 8, 21. [Google Scholar] [CrossRef]
- Upgupta, S.; Singh, S.; Tiwari, P.S. Estimation of Aboveground Phytomass of Plantations Using Digital Photogrammetry and High Resolution Remote Sensing Data. J. Indian Soc. Remote Sens. 2014, 43, 311–323. [Google Scholar] [CrossRef]
- Lakshmi, K.D.; Vaithiyanathan, V. Image Registration Techniques Based on the Scale Invariant Feature Transform. IETE Tech. Rev. 2016, 34, 22–29. [Google Scholar] [CrossRef]
- Plowright, A.A.; Coops, N.C.; Chance, C.M.; Sheppard, S.R.; Aven, N.W. Multi-scale analysis of relationship between imperviousness and urban tree height using airborne remote sensing. Remote Sens. Environ. 2017, 194, 391–400. [Google Scholar] [CrossRef]
- Srestasathiern, P.; Siripon, S.; Wasuhiranyrith, R.; Kooha, P.; Moukomla, S. Estimating above ground biomass for eucalyptus plantation using data from unmanned aerial vehicle imagery. Remote Sens. Agric. Ecosyst. Hydrol. 2018, 10783, 1078308. [Google Scholar] [CrossRef]
- Shaharum, N.S.N.; Shafri, H.Z.M.; Ghani, W.A.W.A.K.; Samsatli, S.; Yusuf, B.; Al-Habshi, M.M.A.; Prince, H.M. Image classification for mapping oil palm distribution via support vector machine using scikit-learn module. ISPRS Int. Arch. Photogramm. Remote Sens. Spat. Inf. Sci. 2018, XLII-4/W9, 133–137. [Google Scholar] [CrossRef]
- Csillik, O.; Cherbini, J.; Johnson, R.; Lyons, A.; Kelly, M. Identification of Citrus Trees from Unmanned Aerial Vehicle Imagery Using Convolutional Neural Networks. Drones 2018, 2, 39. [Google Scholar] [CrossRef]
- Zhu, J.; Sun, K.; Jia, S.; Li, Q.; Hou, X.; Lin, W.; Liu, B.; Qiu, G. Urban Traffic Density Estimation Based on Ultrahigh-Resolution UAV Video and Deep Neural Network. IEEE J. Sel. Top. Appl. Earth Obs. Remote Sens. 2018, 11, 4968–4981. [Google Scholar] [CrossRef]
- Djerriri, K.; Ghabi, M.; Karoui, M.S.; Adjoudj, R. Palm Trees Counting in Remote Sensing Imagery Using Regression Convolutional Neural Network. In Proceedings of the IGARSS 2018–2018 IEEE International Geoscience and Remote Sensing Symposi-um, Valencia, Spain, 1 July 2018. [Google Scholar]
- Cheang, E.K.; Cheang, T.K.; Tay, Y.H. Using Convolutional Neural Networks to Count Palm Trees in Satellite Images. arXiv 2017, arXiv:1701.06462. [Google Scholar]
- Nogueira, K.; Penatti, O.A.; dos Santos, J.A. Towards better exploiting convolutional neural networks for remote sensing scene classification. Pattern Recognit. 2017, 61, 539–556. [Google Scholar] [CrossRef]
- Robinson, J.P.; Fu, Y. Pre-trained D-CNN models for detecting complex events in unconstrained videos. Sens. Anal. Technol. Biomed. Cogn. Appl. 2016, 9871, 191–199. [Google Scholar]
- Zhou, Z.; Wang, H.; Shang, W.; Zhang, L. Image Segmentation Algorithms Based on Convolutional Neural Networks. In Proceedings of the 2018 IEEE/ACIS 17th International Conference on Computer and Information Science (ICIS), Singapore, 6–8 June 2018. [Google Scholar]
- Bertrand, S.; Cerutti, G.; Tougne, L. Visualization of Leaf Botanical Features Extracted from AlexNet Convolutional Layers. In Proceedings of the the IAMPS-International Workshop on Image Analysis Methods for the Plant Sciences, Nottingham, UK, 22–23 January 2018. [Google Scholar]
- Castelluccio, M.; Poggi, G.; Sansone, C.; Verdoliva, L. Training convolutional neural networks for semantic classification of remote sensing imagery. In Proceedings of the 2017 Joint Urban Remote Sensing Event (JURSE), Dubai, United Arab Emirates, 6–8 March 2017. [Google Scholar] [CrossRef]
- Cheng, G.; Li, Z.; Yao, X.; Guo, L.; Wei, Z. Remote Sensing Image Scene Classification Using Bag of Convolutional Features. IEEE Geosci. Remote Sens. Lett. 2017, 14, 1735–1739. [Google Scholar] [CrossRef]
- Madry, S.; Martinez, P.; Laufer, R. Smallsats for Remote Sensing–The Swarm Is Here! Innovative Design, Manufacturing and Testing of Small Satellites; Springer: Berlin/Heidelberg, Germany, 2018; pp. 31–42. [Google Scholar]
- Souri, A.H.; Choi, Y.; Jeon, W.; Woo, J.H.; Zhang, Q.; Kurokawa, J.I. Remote sensing evidence of decadal changes in major tropospheric ozone precursors over East Asia. J. Geophys. Res. Atmos. 2017, 122, 2474–2492. [Google Scholar] [CrossRef]
- Schweiger, A.K.; Schütz, M.; Risch, A.C.; Kneubühler, M.; Haller, R.; Schaepman, M.E. How to predict plant functional types using imaging spectroscopy: Linking vegetation community traits, plant functional types and spectral response. Methods Ecol. Evol. 2017, 8, 86–95. [Google Scholar] [CrossRef]
- Nevalainen, O.; Honkavaara, E.; Tuominen, S.; Viljanen, N.; Hakala, T.; Yu, X.; Hyyppä, J.; Saari, H.; Pölönen, I.; Imai, N.N.; et al. Individual Tree Detection and Classification with UAV-Based Photogrammetric Point Clouds and Hyperspectral Imaging. Remote Sens. 2017, 9, 185. [Google Scholar] [CrossRef]
- Wang, L.; Zhang, J.; Liu, P.; Choo, K.-K.R.; Huang, F. Spectral–spatial multi-feature-based deep learning for hyperspectral remote sensing image classification. Soft Comput. 2016, 21, 213–221. [Google Scholar] [CrossRef]
- Yuan, H.; Yang, G.; Li, C.; Wang, Y.; Liu, J.; Yu, H.; Feng, H.; Xu, B.; Zhao, X.; Yang, X. Retrieving Soybean Leaf Area Index from Unmanned Aerial Vehicle Hyperspectral Remote Sensing: Analysis of RF, ANN, and SVM Regression Models. Remote Sens. 2017, 9, 309. [Google Scholar] [CrossRef]
- Poland, T.M.; Rassati, D. Improved biosecurity surveillance of non-native forest insects: A review of current methods. J. Pest Sci. 2018, 92, 37–49. [Google Scholar] [CrossRef]
- Gouveia, C.; Trigo, R.; Beguería, S.; Vicente-Serrano, S. Drought impacts on vegetation activity in the Mediterranean region: An assessment using remote sensing data and multi-scale drought indicators. Glob. Planet. Chang. 2017, 151, 15–27. [Google Scholar] [CrossRef]
- Andreu-Hayles, L.; Gaglioti, B.V.; D’Arrigo, R.; Anchukaitis, K.J.; Goetz, S. Shrub Sensitivity to Recent Warming across Arctic Alaska from Dendrochronological and Remote Sensing Records; EGU General Assembly Conference Abstracts: Vienna, Austria, 2017. [Google Scholar]
- Mariano, D.A.; dos Santos, C.A.; Wardlow, B.D.; Anderson, M.C.; Schiltmeyer, A.V.; Tadesse, T.; Svoboda, M.D. Use of remote sensing indicators to assess effects of drought and human-induced land degradation on ecosystem health in Northeastern Brazil. Remote Sens. Environ. 2018, 213, 129–143. [Google Scholar] [CrossRef]
- Campos, I.; González-Gómez, L.; Villodre, J.; González-Piqueras, J.; Suyker, A.E.; Calera, A. Remote sensing-based crop biomass with water or light-driven crop growth models in wheat commercial fields. Field Crop. Res. 2018, 216, 175–188. [Google Scholar] [CrossRef]
- Valderrama-Landeros, L.; Flores-De-Santiago, F.; Kovacs, J.M.; Flores-Verdugo, F. An assessment of commonly employed satellite-based remote sensors for mapping mangrove species in Mexico using an NDVI-based classification scheme. Environ. Monit. Assess. 2017, 190, 23. [Google Scholar] [CrossRef]
- Hakkenberg, C.; Zhu, K.; Peet, R.; Song, C. Mapping multi-scale vascular plant richness in a forest landscape with inte-grated LiDAR and hyperspectral remote-sensing. Ecology 2018, 99, 474–487. [Google Scholar] [CrossRef]
- Al Shidi, R.; Kumar, L.; Al-Khatri, S.; Albahri, M.; Alaufi, M. Relationship of date palm tree density to Dubas bug Om-matissus lybicus infestation in Omani orchards. Agriculture 2018, 8, 64. [Google Scholar] [CrossRef]
- Savelli, A.; Atieno, M.O.; Giles, J.; Santos, J.; Leyte, J.; Nguyen, N.V.B.; Grosjean, G. Climate-Smart Agriculture in Indonesia. In CSA Country Profiles for Asia Series; The World Bank Group: Washington, DC, USA, 2021. [Google Scholar]
- Cheng, Y.; Yu, L.; Xu, Y.; Lu, H.; Cracknell, A.P.; Kanniah, K.; Gong, P. Mapping oil palm extent in Malaysia using ALOS-2 PALSAR-2 data. Int. J. Remote Sens. 2017, 39, 432–452. [Google Scholar] [CrossRef]
- Yarak, K.; Witayangkurn, A.; Kritiyutanont, K.; Arunplod, C.; Shibasaki, R. Oil Palm Tree Detection and Health Classification on High-Resolution Imagery Using Deep Learning. Agriculture 2021, 11, 183. [Google Scholar] [CrossRef]
- Wibowo, H.; Sitanggang, I.S.; Mushthofa, M.; Adrianto, H.A. Large-Scale Oil Palm Trees Detection from High-Resolution Remote Sensing Images Using Deep Learning. Big Data Cogn. Comput. 2022, 6, 89. [Google Scholar] [CrossRef]
- Ong, J.H.; Ong, P.; Woon, K.L. Image-Based Oil Palm Leaves Disease Detection Using Convolutional Neural Network. J. Inf. Commun. Technol. 2022, 21, 383–410. [Google Scholar] [CrossRef]
- Réjou-Méchain, M.; Tanguy, A.; Piponiot, C.; Chave, J.; Hérault, B. biomass: An r package for estimating above-ground biomass and its uncertainty in tropical forests. Methods Ecol. Evol. 2017, 8, 1163–1167. [Google Scholar] [CrossRef]
- Asari, N.; Suratman, M.N.; Jaafar, J. Modelling and mapping of above ground biomass (AGB) of oil palm plantations in Malaysia using remotely-sensed data. Int. J. Remote Sens. 2017, 38, 4741–4764. [Google Scholar] [CrossRef]
- He, A.; McDermid, G.J.; Rahman, M.M.; Strack, M.; Saraswati, S.; Xu, B. Developing Allometric Equations for Estimating Shrub Biomass in a Boreal Fen. Forests 2018, 9, 569. [Google Scholar] [CrossRef]
- Huff, S.; Ritchie, M.; Temesgen, H. Allometric equations for estimating aboveground biomass for common shrubs in northeastern California. For. Ecol. Manag. 2017, 398, 48–63. [Google Scholar] [CrossRef]
- Basuki, I.; Kauffman, J.B.; Peterson, J.; Anshari, G.; Murdiyarso, D. Land cover changes reduce net primary production in tropical coastal peatlands of West Kalimantan, Indonesia. Mitig. Adapt. Strateg. Glob. Chang. 2019, 24, 557–573. [Google Scholar] [CrossRef]
- Gibbs, J.A.; Pound, M.; French, A.P.; Wells, D.M.; Murchie, E.; Pridmore, T. Approaches to three-dimensional recon-struction of plant shoot topology and geometry. Funct. Plant Biol. 2017, 44, 62–75. [Google Scholar] [CrossRef] [PubMed]
- Alexander, C.; Korstjens, A.H.; Hill, R.A. Influence of micro-topography and crown characteristics on tree height esti-mations in tropical forests based on LiDAR canopy height models. Int. J. Appl. Earth Obs. Geoinf. 2018, 65, 105–113. [Google Scholar]
- Mielcarek, M.; Stereńczak, K.; Khosravipour, A. Testing and evaluating different LiDAR-derived canopy height model generation methods for tree height estimation. Int. J. Appl. Earth Obs. Geoinf. 2018, 71, 132–143. [Google Scholar] [CrossRef]
- Budei, B.C.; St-Onge, B. Variability of Multispectral Lidar 3D and Intensity Features with Individual Tree Height and Its Influence on Needleleaf Tree Species Identification. Can. J. Remote Sens. 2018, 44, 263–286. [Google Scholar] [CrossRef]
- Wanik, D.; Parent, J.; Anagnostou, E.; Hartman, B. Using vegetation management and LiDAR-derived tree height data to improve outage predictions for electric utilities. Electr. Power Syst. Res. 2017, 146, 236–245. [Google Scholar] [CrossRef]
- Su, Y.; Ma, Q.; Guo, Q. Fine-resolution forest tree height estimation across the Sierra Nevada through the integration of spaceborne LiDAR, airborne LiDAR, and optical imagery. Int. J. Digit. Earth 2015, 10, 307–323. [Google Scholar] [CrossRef]
- Nunes, M.H.; Ewers, R.M.; Turner, E.C.; Coomes, D.A. Mapping aboveground carbon in oil palm plantations using LiDAR: A comparison of tree-centric versus area-based approaches. Remote Sens. 2017, 9, 816. [Google Scholar] [CrossRef]
- Coops, N.C.; Tompalski, P.; Goodbody, T.R.; Queinnec, M.; Luther, J.E.; Bolton, D.K.; White, J.C.; Wulder, M.A.; van Lier, O.R.; Hermosilla, T. Modelling lidar-derived estimates of forest attributes over space and time: A review of approaches and future trends. Remote Sens. Environ. 2021, 260, 112477. [Google Scholar] [CrossRef]
- Gao, L.; Shi, W.; Zhu, J.; Shao, P.; Sun, S.; Li, Y.; Wang, F.; Gao, F. Novel Framework for 3D Road Extraction Based on Airborne LiDAR and High-Resolution Remote Sensing Imagery. Remote Sens. 2021, 13, 4766. [Google Scholar] [CrossRef]
- Coops, N.C.; Tompalski, P.; Goodbody, T.R.H.; Achim, A.; Mulverhill, C. Framework for near real-time forest inventory using multi source remote sensing data. For. Int. J. For. Res. 2022, 96, 1–19. [Google Scholar] [CrossRef]
- Perez, R.P.; Costes, E.; Théveny, F.; Griffon, S.; Caliman, J.-P.; Dauzat, J. 3D plant model assessed by terrestrial LiDAR and hemispherical photographs: A useful tool for comparing light interception among oil palm progenies. Agric. For. Meteorol. 2018, 249, 250–263. [Google Scholar] [CrossRef]
- Burton, M.E.H.; Poulsen, J.R.; Lee, M.E.; Medjibe, V.P.; Stewart, C.G.; Venkataraman, A.; White, L.J.T. Reducing Carbon Emissions from Forest Conversion for Oil Palm Agriculture in Gabon. Conserv. Lett. 2016, 10, 297–307. [Google Scholar] [CrossRef]
- Sinha, S.; Jeganathan, C.; Sharma, L.; Nathawat, M. A review of radar remote sensing for biomass estimation. Int. J. Environ. Sci. Technol. 2015, 12, 1779–1792. [Google Scholar] [CrossRef]
- Schepaschenko, D.; Moltchanova, E.; Shvidenko, A.; Blyshchyk, V.; Dmitriev, E.; Martynenko, O.; See, L.; Kraxner, F. Improved Estimates of Biomass Expansion Factors for Russian Forests. Forests 2018, 9, 312. [Google Scholar] [CrossRef]
- Corbane, C.; Lang, S.; Pipkins, K.; Alleaume, S.; Deshayes, M.; Millán, V.E.G.; Strasser, T.; Borre, J.V.; Toon, S.; Michael, F. Remote sensing for mapping natural habitats and their conservation status—New opportunities and challenges. Int. J. Appl. Earth Obs. Geoinf. 2015, 37, 7–16. [Google Scholar] [CrossRef]
- Ma, J.; Du, K.; Zheng, F.; Zhang, L.; Gong, Z.; Sun, Z. A recognition method for cucumber diseases using leaf symptom images based on deep convolutional neural network. Comput. Electron. Agric. 2018, 154, 18–24. [Google Scholar] [CrossRef]
- Pohl, C.; Chong, K.; van Genderen, J. Multisensor Approach to Oil Palm Plantation Monitoring Using Data Fusion and GIS. In Proceedings of the 36th Asian Conference on Remote Sensing ‘Fostering Resiient Growth in Asia’, Manila, Philippines, 24–28 October 2015. [Google Scholar]
- Villard, L.; Le Toan, T.; Minh, D.H.T.; Mermoz, S.; Bouvet, A. Forest Biomass from Radar Remote Sensing Land Surface Remote Sensing in Agriculture and Forest; Elsevier: Amsterdam, The Netherlands, 2017; pp. 363–425. [Google Scholar]
- Popescu, S.; Zhou, T.; Nelson, R.; Neuenschwander, A.; Sheridan, R.; Narine, L.; Walsh, K. Photon counting LiDAR: An adaptive ground and canopy height retrieval algorithm for ICESat-2 data. Remote Sens. Environ. 2018, 208, 154–170. [Google Scholar] [CrossRef]
- James, M.; Robson, S.; D’Oleire-Oltmanns, S.; Niethammer, U. Optimising UAV topographic surveys processed with structure-from-motion: Ground control quality, quantity and bundle adjustment. Geomorphology 2017, 280, 51–66. [Google Scholar] [CrossRef]
- Kalacska, M.; Chmura, G.L.; Lucanus, O.; Bérubé, D.; Arroyo-Mora, J.P. Structure from motion will revolutionize analyses of tidal wetland landscapes. Remote Sens. Environ. 2017, 199, 14–24. [Google Scholar] [CrossRef]
- Panagiotidis, D.; Abdollahnejad, A.; Surový, P.; Chiteculo, V. Determining tree height and crown diameter from high-resolution UAV imagery. Int. J. Remote Sens. 2016, 38, 2392–2410. [Google Scholar] [CrossRef]
- Torres, G.; Sarria, G.; Martinez, G.; Varon, F.; Drenth, A.; Guest, D. Bud rot caused by Phytophthora palmivora: A de-structive emerging disease of oil palm. Phytopathology 2016, 106, 320–329. [Google Scholar] [CrossRef] [PubMed]
- Costa, O.Y.D.A.; Tupinambá, D.D.; Bergmann, J.C.; Barreto, C.C.; Quirino, B.F. Fungal diversity in oil palm leaves showing symptoms of Fatal Yellowing disease. PLoS ONE 2018, 13, e0191884. [Google Scholar] [CrossRef]
- Azlan, A.M.N.; Ahmad, Z.A.M.; Idris, A.S.; Vadamalai, G. Assessment of Leaf Spot and Anthracnose Diseases in Nurseries and It Relationship with Oil Palm Seedling Ages. Int. J. Adv. Multidiscip. Res. 2018, 5, 19–26. [Google Scholar]
- Khaled, A.Y.; Abd Aziz, S.; Bejo, S.K.; Nawi, N.M.; Abu Seman, I. Spectral features selection and classification of oil palm leaves infected by Basal stem rot (BSR) disease using dielectric spectroscopy. Comput. Electron. Agric. 2018, 144, 297–309. [Google Scholar] [CrossRef]
- Nurdiansyah, F.; Clough, Y.; Wiegand, K.; Tscharntke, T. Local and Landscape Management Effects on Pests, Diseases, Weeds and Biocontrol in Oil Palm Plantations-A Review. Local and Landscape Management of Biological Pest Control in Oil Palm Plantations. Ph.D. Thesis, Georg-August University, Germany, Göttingen, 2016. [Google Scholar]
- Suwannarach, N.; Kumla, J.; Lumyong, S. First report of Alternaria leaf blight disease on oil palm caused by Alternaria longipes in Thailand. Phytoparasitica 2014, 43, 57–59. [Google Scholar] [CrossRef]
- Izzuddin, M.; Nisfariza, M.; Ezzati, B.; Idris, A.; Steven, M.; Boyd, D. Analysis of Airborne Hyperspectral Image Using Vegetation Indices, Red Edge Position and Continuum Removal for Detection of Ganoderma Disease in Oil Palm. J. Oil Palm Res. 2018, 30, 416–428. [Google Scholar]
- Ahmad, N.; Hasan, Z.A.A.; Muhamad, H.; Bilal, S.H.; Yusof, N.Z.; Idris, Z. Determination of Total Phenol, Flavonoid, Antioxidant Activity of Oil Palm Leaves Extracts and Their Application in Trans-Parent Soap. J. Oil Palm Res. 2018, 30, 315–325. [Google Scholar]
- Olafisoye, O.B.; Oguntibeju, O.O.; Osibote, O.A. Trace elements and radionuclides in palm oil, soil, water, and leaves from oil palm plantations: A review. Crit. Rev. Food Sci. Nutr. 2017, 57, 1295–1315. [Google Scholar] [CrossRef]
- Smith, T.E.L.; Evers, S.; Yule, C.M.; Gan, J.Y. In Situ Tropical Peatland Fire Emission Factors and Their Variability, as Determined by Field Measurements in Peninsula Malaysia. Glob. Biogeochem. Cycles 2018, 32, 18–31. [Google Scholar] [CrossRef]
- Tong, Y.-S. Vertical specialisation or linkage development for agro-commodity value chain upgrading? The case of Malaysian palm oil. Land Use Policy 2017, 68, 585–596. [Google Scholar] [CrossRef]
- Oviasogie, P.; Ikuenobe, C.; Ugbah, M.; Imogie, A.; Ekhator, F.; Oko-Oboh, E.; Edokpayi, A. A Review of Study on Ferti-lizer Response by the Oil Palm (Elaeis guineensis) in Nigeria Improving the Profitability, Sustainability and Efficiency of Nutrients through Site Specific Fertilizer Recommendations in West Africa Agro-Ecosystems; Springer: Berlin/Heidelberg, Germany, 2018; pp. 301–323. [Google Scholar]
- Woittiez, L.S.; van Wijk, M.T.; Slingerland, M.; van Noordwijk, M.; Giller, K.E. Yield gaps in oil palm: A quantitative review of contributing factors. Eur. J. Agron. 2017, 83, 57–77. [Google Scholar] [CrossRef]
- Singh, V.; Misra, A. Detection of plant leaf diseases using image segmentation and soft computing techniques. Inf. Process. Agric. 2017, 4, 41–49. [Google Scholar] [CrossRef]
- Arya, M.S.; Anjali, K.; Unni, D. Detection of unhealthy plant leaves using image processing and genetic algorithm with Arduino. In Proceedings of the 2018 International Conference on Power, Signals, Control and Computation (EPSCICON), Thrissur, India, 6–10 January 2018. [Google Scholar] [CrossRef]
- Sahoo, R.K.; Panda, R.; Barik, R.C.; Panda, S.N. Automatic Dead Zone Detection in 2-D Leaf Image Using Clustering and Segmentation Technique. Int. J. Image Graph. Signal Process 2018, 10, 11–30. [Google Scholar] [CrossRef]
- Bai, X.; Li, X.; Fu, Z.; Lv, X.; Zhang, L. A fuzzy clustering segmentation method based on neighborhood grayscale in-formation for defining cucumber leaf spot disease images. Comput. Electron. Agric. 2017, 136, 157–165. [Google Scholar] [CrossRef]
- Danisman, T.; Bilasco, I.M.; Martinet, J.; Djeraba, C. Intelligent pixels of interest selection with application to facial ex-pression recognition using multilayer perceptron. Signal Process. 2013, 93, 1547–1556. [Google Scholar] [CrossRef]
- Jolliffe, I.T.; Cadima, J. Principal component analysis: A review and recent developments. Philos. Trans. R. Soc. A Math. Phys. Eng. Sci. 2016, 374, 20150202. [Google Scholar] [CrossRef]
- Demšar, U.; Harris, P.; Brunsdon, C.; Fotheringham, A.S.; McLoone, S. Principal Component Analysis on Spatial Data: An Overview. Ann. Assoc. Am. Geogr. 2013, 103, 106–128. [Google Scholar] [CrossRef]
- Senthilkumaran, N.; Vaithegi, S. Image segmentation by using thresholding techniques for medical images. Comput. Sci. Eng. Int. J. 2016, 6, 1–13. [Google Scholar]
- Firdousi, R.; Parveen, S. Local Thresholding Techniques in Image Binarization. Int. J. Eng. Comput. Sci. 2014, 3, 4062–4065. [Google Scholar]
- Wang, W.; Duan, L.; Wang, Y. Fast Image Segmentation Using Two-Dimensional Otsu Based on Estimation of Distribution Algorithm. J. Electr. Comput. Eng. 2017, 2017, 1735176. [Google Scholar] [CrossRef]
- Ali, M.; Siarry, P.; Pant, M. Multi-level Image Thresholding Based on Hybrid Differential Evolution Algorithm. Application on Medical Images. Metaheuristics Med. Biol. 2017, 704, 23–36. [Google Scholar] [CrossRef]
- Xiao, Y.; Cao, Z.; Yuan, J. Entropic image thresholding based on GLGM histogram. Pattern Recognit. Lett. 2014, 40, 47–55. [Google Scholar] [CrossRef]
- Sweeney, C.; Liu, L.; Arietta, S.; Lawrence, J. HIPI: A Hadoop Image Processing Interface for Image-Based Mapreduce Tasks; University of Virginia: Charlottesville, VA, USA, 2011. [Google Scholar]
- Akhtar, M.N.; Khan, S.A.; Mohamed, M.; Janvekar, A.A. Automated image analysis and improvisations to manage palm oil plantation. IOP Conf. Ser. Mater. Sci. Eng 2020, 1007, 012082. [Google Scholar] [CrossRef]
- Zhao, W.; Xu, M.; Cheng, X.; Zhao, Z. An Insulator in Transmission Lines Recognition and Fault Detection Model Based on Improved Faster RCNN. IEEE Trans. Instrum. Meas. 2021, 70, 5016408. [Google Scholar] [CrossRef]
- Ai, S.; Li, C.; Li, X.; Jiang, T.; Grzegorzek, M.; Sun, C.; Rahaman, M.; Zhang, J.; Yao, Y.; Li, H. A State-of-the-Art Review for Gastric Histopathology Image Analysis Approaches and Future Development. BioMed Res. Int. 2021, 2021, 6671417. [Google Scholar] [CrossRef]
- Singh, A.; Pannu, H.S.; Malhi, A. Explainable information retrieval using deep learning for medical images. Comput. Sci. Inf. Syst. 2022, 19, 277–307. [Google Scholar] [CrossRef]
- Hassan, M.A.; Yang, M.; Rasheed, A.; Yang, G.; Reynolds, M.; Xia, X.; Xiao, Y.; He, Z. A rapid monitoring of NDVI across the wheat growth cycle for grain yield prediction using a multi-spectral UAV platform. Plant Sci. 2018, 282, 95–103. [Google Scholar] [CrossRef]
- Wahab, I.; Hall, O.; Jirström, M. Remote Sensing of Yields: Application of UAV Imagery-Derived NDVI for Estimating Maize Vigor and Yields in Complex Farming Systems in Sub-Saharan Africa. Drones 2018, 2, 28. [Google Scholar] [CrossRef]
- Khan, N.; Kamaruddin, M.A.; Sheikh, U.U.; Yusup, Y.; Bakht, M.P. Oil Palm and Machine Learning: Reviewing One Decade of Ideas, Innovations, Applications, and Gaps. Agriculture 2021, 11, 832. [Google Scholar] [CrossRef]
- da Silva, M.J.; Magalhães, P.S.G. Modeling and design of an injection dosing system for site-specific management using liquid fertilizer. Precis. Agric. 2018, 20, 649–662. [Google Scholar] [CrossRef]
- Xin, F.; Zhao, J.; Zhou, Y.; Wang, G.; Han, X.; Fu, W.; Lan, Y. Effects of Dosage and Spraying Volume on Cotton Defo-liants Efficacy: A Case Study Based on Application of Unmanned Aerial Vehicles. Agronomy 2018, 8, 85. [Google Scholar] [CrossRef]
- Lakshmi, J.; Naresh, G. A Review on Developing Tech-Agriculture using Deep Learning Methods by Applying UAVs. Int. J. Sci. Res. Comput. Sci. Eng. Inf. Technol. 2018, 3, 1858–1863. [Google Scholar]
- Zhang, Y.; Chen, D.; Wang, S.; Tian, L. A promising trend for field information collection: An air-ground multi-sensor monitoring system. Inf. Process. Agric. 2018, 5, 224–233. [Google Scholar] [CrossRef]
- Van Loon, J.; Speratti, A.B.; Gabarra, L.; Govaerts, B. Precision for Smallholder Farmers: A Small-Scale-Tailored Variable Rate Fertilizer Application Kit. Agriculture 2018, 8, 48. [Google Scholar] [CrossRef]
- Ansari, E.; Akhtar, M.N.; Abdullah, M.N.; Othman, W.A.; Bakar, E.A.; Hawary, A.F.; Alhady, S.S. Image Processing of UAV Imagery for River Feature Recognition of Kerian River, Malaysia. Sustainability 2021, 13, 9568. [Google Scholar] [CrossRef]









| Country | Production (Tons) |
|---|---|
| Indonesia | 42,869,429 |
| Malaysia | 19,858,367 |
| Thailand | 3,040,000 |
| Colombia | 1,527,549 |
| Nigeria | 1,220,000 |
| Guatemala | 880,000 |
| Honduras | 707,000 |
| Papua New Guinea | 578,000 |
| Ecuador | 420,000 |
| Ghana | 257,280 |
| No. | Country | 2005 (1000 Tons) | 2012 (1000 Tons) | 2013 (1000 Tons) | 2016 (1000 Tons) | 2019 (1000 Tons) |
|---|---|---|---|---|---|---|
| 1 | India | 3309 | 7588 | 8352 | 10,250 | 9732 |
| 2 | European Union | 4368 | 5700 | 6515 | 6600 | 9101 |
| 3 | China | 4340 | 6090 | 6239 | 5150 | 7552 |
| 4 | Pakistan | 1546 | 2040 | 2138 | 3300 | 3165 |
| 5 | Egypt | 591 | 573 | 626 | 1600 | 1105 |
| 6 | Bangladesh | 442 | 846 | 1193 | 1500 | 1335 |
| 7 | United states | 376 | 947 | 1269 | 1250 | 1582 |
| 8 | Myanmar | 308 | 563 | 735 | 900 | 902 |
| 9 | Russia | 264 | 523 | 589 | 800 | 1061 |
| 10 | Vietnam | 198 | 475 | 516 | 780 | 842 |
| Region | Total Palm Oil (ha) | Total Peatland (ha) | Palm Oil on Peatland (ha) | Percentage of Palm Oil on Peatland (%) |
|---|---|---|---|---|
| Peninsular Malaysia | 2,714,254 | 891,700 | 546,480 | 61.3 |
| Sarawak | 1,506,769 | 1,449,440 | 866,110 | 59.7 |
| Sabah | 1,551,714 | 190,890 | 91,940 | 48.2 |
| Total | 5,772,737 | 2,532,030 | 1,504,530 | 59.4 |
| State | State Area (Mha) | Best Area (Mha) | MPOB Palm Oil Area (Mha) | Best Map | |||
|---|---|---|---|---|---|---|---|
| Resolution | Area Difference 1 (Mha) | Area Difference 2 (%) | Area Difference 3 (%) | ||||
| Johor | 1.921 | 0.868 | 0.739 | 25 | 0.129 | 17.46 | 6.72 |
| Kedah | 0.95 | 0.212 | 0.087 | 50 | 0.1250 | 143.68 | 13.16 |
| Kelantan | 1.510 | 0.140 | 0.151 | 100 | −0.0110 | −7.28 | −0.76 |
| Melaka | 0.166 | 0.056 | 0.054 | 25 | 0.0020 | 3.7 | 1.20 |
| Negeri Sembilan | 0.669 | 0.1769 | 0.177 | 25 | −0.0001 | −0.06 | −0.01 |
| Pahang | 3.614 | 0.711 | 0.725 | 100 | −0.0140 | −1.93 | −0.39 |
| Perak | 2.104 | 0.56 | 0.398 | 100 | 0.1620 | 40.70 | 7.70 |
| Perlis | 0.82 | 0.003 | 0.002 | 25 | 0.0010 | 50 | 1.22 |
| Pulau Pinang | 0.105 | 0.013 | 0.014 | 25 | −0.0010 | −7.14 | −0.95 |
| Sabah | 7.363 | 1.495 | 1.544 | 100 | −0.0490 | −3.17 | −0.67 |
| Sarawak | 12.445 | 1.495 | 1.544 | 50 | 0.056 | 3.89 | 0.45 |
| Selangor | 0.810 | 0.140 | 0.137 | 25 | 0.003 | 2.19 | 0.37 |
| Terengganu | 1.304 | 0.207 | 0.172 | 100 | 0.0350 | 20.35 | 2.68 |
| Total | 33.043 | 6.135 | 5.639 | 100 | 0.4960 | 8.80 | 1.50 |
| Models | Accuracy |
|---|---|
| OverfeatL [50] | 90.91% |
| OverfeatS [50] | 90.13% |
| AlexNet [51] | 93% |
| CaffeNet [52] | 93% |
| GoogleNet [53] | 92.80% |
| OverfeatL [50] | 90.91% |
| Techniques | R1 | R2 | R3 |
|---|---|---|---|
| Convolutional Neural Network | 1651 | 1607 | 1683 |
| Artificial Neural Network | 1648 | 1585 | 1679 |
| Template Matching Algorithm | 1429 | 1392 | 1608 |
| Local Maximum Filter | 1493 | 1397 | 1643 |
| Study Sites | RMSE (m) | RMSE (%) | Bias | Bias (%) | MAE (m) | P(T ≤ t) Two-Tail t-Test | t Critical Two-Tail t-Test | t-Stat | p-Value | df |
|---|---|---|---|---|---|---|---|---|---|---|
| Plot 1 | 3.00 | 12.62 | −1.55 | −6.99 | 2.62 | 0.15 | 2.01 | 4.14 | 0.00 | 47 |
| Plot 2 | 3.08 | 11.42 | 2.35 | 8.02 | 2.88 | 0.00 | 2.02 | 7.27 | 0.00 | 38 |
| Study Sites | RMSE (m) | RMSE (%) | Bias | Bias (%) | MAE (m) | P(T ≤ t) Two-Tail t-Test | t Critical Two-Tail t-Test | t-Stat | p-Value | df |
|---|---|---|---|---|---|---|---|---|---|---|
| Plot 1 | 0.82 | 14.29 | 0.43 | 6.92 | 0.73 | 0.00 | 2.01 | 4.17 | 0.00 | 47 |
| Plot 2 | 1.04 | 18.56 | 0.70 | 11.11 | 0.80 | 0.00 | 2.02 | 5.61 | 0.00 | 38 |
| Diseased Samples | No. Of Images (Train Data) | No. Of Images (Test Data) | Detection Accuracy of Proposed Algorithm Using Different Colorspace (%) | ||
|---|---|---|---|---|---|
| HSV | CIELAB | YCbCr | |||
| Palm | 25 | 20 | 100% (count of non-zero pixel: 58,485) | 91%(count of non-zero pixel: 53,221) | 90% (count of non-zero pixel: 52,636) |
Disclaimer/Publisher’s Note: The statements, opinions and data contained in all publications are solely those of the individual author(s) and contributor(s) and not of MDPI and/or the editor(s). MDPI and/or the editor(s) disclaim responsibility for any injury to people or property resulting from any ideas, methods, instructions or products referred to in the content. |
© 2023 by the authors. Licensee MDPI, Basel, Switzerland. This article is an open access article distributed under the terms and conditions of the Creative Commons Attribution (CC BY) license (https://creativecommons.org/licenses/by/4.0/).
Share and Cite
Akhtar, M.N.; Ansari, E.; Alhady, S.S.N.; Abu Bakar, E. Leveraging on Advanced Remote Sensing- and Artificial Intelligence-Based Technologies to Manage Palm Oil Plantation for Current Global Scenario: A Review. Agriculture 2023, 13, 504. https://doi.org/10.3390/agriculture13020504
Akhtar MN, Ansari E, Alhady SSN, Abu Bakar E. Leveraging on Advanced Remote Sensing- and Artificial Intelligence-Based Technologies to Manage Palm Oil Plantation for Current Global Scenario: A Review. Agriculture. 2023; 13(2):504. https://doi.org/10.3390/agriculture13020504
Chicago/Turabian StyleAkhtar, Mohammad Nishat, Emaad Ansari, Syed Sahal Nazli Alhady, and Elmi Abu Bakar. 2023. "Leveraging on Advanced Remote Sensing- and Artificial Intelligence-Based Technologies to Manage Palm Oil Plantation for Current Global Scenario: A Review" Agriculture 13, no. 2: 504. https://doi.org/10.3390/agriculture13020504
APA StyleAkhtar, M. N., Ansari, E., Alhady, S. S. N., & Abu Bakar, E. (2023). Leveraging on Advanced Remote Sensing- and Artificial Intelligence-Based Technologies to Manage Palm Oil Plantation for Current Global Scenario: A Review. Agriculture, 13(2), 504. https://doi.org/10.3390/agriculture13020504

