Abstract
Phosphorus (P) is one of the essential macronutrients for plant growth, being a highly required resource to improve the productive performance of several crops, especially in highly weathered soils. However, a large part of the nutrients applied in the form of fertilizers becomes “inert” in the medium term and cannot be assimilated by plants. Rationalizing the use of phosphorus is a matter of extreme importance for environmental sustainability and socioeconomic development. Therefore, alternatives to the management of this nutrient are needed, and the use of P-solubilizing microorganisms is an option to optimize its use by crops, allowing the exploration of less available fractions of the nutrient in soils and reducing the demand for phosphate fertilizers. The objective of this study is to discuss the importance of phosphorus and how microorganisms can intermediate its sustainable use in agriculture. In this review study, we present several studies about the role of microorganisms as phosphorus mobilizers in the soil. We describe the importance of the nutrient for the plants and the main problems related to the unsustainable exploitation of its natural reserves and the use of chemical fertilizers. Mainly we highlight how microorganisms constitute a fundamental resource for the release of the inert portion of the nutrient, where we describe several mechanisms of solubilization and mineralization. We also discussed the benefits that the inoculation of P-solubilizing microorganisms provides to crops as well as practices of using them as bioinoculants. The use of microorganisms as inoculants is a viable resource for the future of sustainable agriculture, mainly because its application can significantly reduce the application of P and, consequently, reduce the exploitation of phosphorus and its reserves. In addition, new research must be conducted for the development of new technologies, prospecting new biological products, and improvement of management practices that allow for higher efficiency in the use of phosphorus in agriculture.
1. Introduction
Agriculture is fundamental to human beings and the constitution of society [1]. This activity is responsible for the livelihood of about 40% of the global population and one-third of the earth’s surface is dedicated to agriculture (excluding frozen areas), which demonstrates the impact and representativeness of this practice globally [2,3].
However, agricultural production depends on resources, one of which is phosphorus (P). This nutrient is essential for plant growth and is a limiting factor for crop yields [4,5]. The use of high-concentration phosphate fertilizers has become a continuous practice that threatens natural resources, especially the natural reserves of high-level phosphate, which are not renewable resources. After the harvest, the phosphorus removed from the soil and retained in agro-industrial residues is unlikely to return to the soil, mainly due to the global aspect of the production chains and the disruption of small local chains, which could facilitate the return and incorporation of this residue to the soil, returning part of the phosphorus applied in the form of mineral fertilizer [6]. In addition, most of the fertilizers applied to the soil become unavailable for assimilation by plants and can even lead to biological imbalances in soil and water [7,8]. In this way, more sustainable alternatives for agriculture should be proposed, considering the problems of modern agricultural systems based on monocultures, the demand for safe food with better socio-environmental quality, and the need to preserve environmental resources for future generations [9].
Many microorganisms have the potential of increasing phosphorus availability in soil. Bacteria, fungi, cyanobacteria, mycorrhizal fungi, and actinobacteria have several mechanisms that allow the mineralization of organic P and the solubilization of part of the inorganic P unavailable to plants [10,11,12]. Additionally, these microorganisms can promote plant growth by fixing nitrogen, producing phytohormones, supporting nutrient assimilation, and promoting resistance to stress and pathogens. Therefore, they are an interesting alternative to the P supplied in agriculture, as they reduce the demand for phosphate fertilizers while promoting plant growth and productivity [13,14].
This study addresses the importance of phosphorus and its main sources in agriculture, the threats related to phosphorus fertilizers production and application, and the impact of soil microbes on phosphorus availability and related microbial mechanisms. Emphasis is given to how microorganisms can intermediate sustainable alternatives in agriculture, considering the different mechanisms that make possible the bioavailability of the insoluble part of phosphorus, previously not accessible to plants, and their role in promoting the growth of various vegetables. In this way, this study presents a bibliographic review that gathers research about the use of P and the mechanisms and use of phosphate-solubilizing microorganisms.
2. Phosphorus and Phosphate Fertilizers
P is an indispensable nutritional requirement for plants. Although it is not the nutrient most demanded by plants, the amount supplied to crops is high, especially in highly weathered soils, owing to the intensity of the specific adsorption processes of P in abundant soil minerals such as goethite, hematite, and gibbsite. In the plant, P is a constituent of certain sugars, nucleic acids, lipids, and other compounds. In metabolism, it is a mediator of carbohydrate synthesis and acts in the activation and inactivation of enzymes. It also stimulates germination, root growth, flowering, and seed formation [15,16]. It is even involved in energy transfer processes such as photosynthesis and is also a component of molecules such as ATP and GTP [17].
P is described as a limiting factor in plant growth in several studies, where its deprivation triggers cellular and physiological changes [5,18,19]. Meng et al. [20] show that P availability affected the growth of sour pummelo (Citrus grandis). Its deficiency limits the accumulation of dry matter in leaves and branches. In addition, the results of this study show that low P also inhibits plant growth, affecting the absorption of other nutrients, decreasing photosynthetic performance, and increasing the production of reactive oxygen species. Therefore, the availability of this nutrient in the soil directly influences crop productivity [21].
In general, P is found in the soil in two forms. The first is the organic form, where its atom is covalently bonded to a carbon, either directly or via phosphodiester bonds [22]. However, it is predominantly found in inorganic forms, including orthophosphate anions in solution, bound in minerals, or adsorbed on mineral surfaces and organic matter [22,23].
As a result of the immobilization of P in different complexes and adsorbents, only approximately 0.1% of it is available for assimilation by plants in the soil [24,25]. Phosphorus dynamics is related to the balance between its organic and inorganic forms in the soil, in addition to the balance of insoluble organic phosphorus and its adsorbed and/or precipitated forms [26]. Several factors can influence this process, such as soil type, management practices, and climate [26]. Globally, two-thirds of soils have limited phosphorus availability, where the low rate of P diffusion in solution and the high rates of specific adsorption in oxidic minerals are the main factors that make phosphorus less accessible to plants and lead to low yield in field conditions [4,23].
According to Sims and Pierzynski [27], several factors of the P cycle affect its solubility and concentration in soil. Among these factors are (1) the sorption–desorption ratio (interaction between P and solid surfaces); (2) mineralization–immobilization (biological conversion of P between organic and inorganic forms), and (3) dissolution–precipitation (related to the mineral balance) [28]. Thus, the P found in soluble form in the soil quickly precipitates with metals, forming insoluble complexes with calcium in alkaline soils, with iron, silicate, and aluminum in acidic soils, or also adsorbing on clay [29,30,31].
The P demand of crops is often met using fertilizers with relatively elevated levels of P, which may be organic or inorganic. However, the majority of phosphate fertilizers are applied in their inorganic form, that is, approximately 70–80% of the P found in agricultural areas is from this source [32]. Among the various inorganic fertilizers, rock phosphate, nitric phosphates, phosphoric acid, ammonium phosphates, ammonium polyphosphate, and calcium orthophosphates can be mentioned [33].
When applied, the P in the fertilizer is converted into water-soluble forms such as the orthophosphate ions HPO42− and H2PO4−, which are readily assimilable [34,35]. However, a large part of the P once available can be lost due to the speed of the specific adsorption processes, which in the case of phosphorus, have limited reversibility, and can also be lost due to surface runoff and leaching processes [36]. Another process that leads to nutrient loss is erosion, where P bound in organic matter, in mineral particles, or precipitated in poorly soluble salts is lost along with the eroded soil [12,37,38].
In this context, the use of P by crops has an average efficiency between 20% and 25% of the total amount of phosphate fertilizers applied [39,40] and may reach values below 10% in some vegetables under intensive management. Therefore, an excessive amount of P fertilizers is required to increase the phosphorus available and thus increase crop productivity. In terms of comparison, the annual use of phosphate fertilizers increased from 4.6 million tons in 1961 to approximately 21 million in 2015 [41]. This indiscriminate use has adverse effects on the soil, altering its biological, chemical, and physical properties, impacting its quality, and potentially compromising the future of agricultural production [8,19].
The effects of long-term fertilization at high doses were also discussed. Chen et al. [42] studied the effects of excessive phosphorus fertilization on pomelo orchards. The concentrations and relationships between total soil P, quantifiable P, and its fractions (such as organic P, soluble P, and adsorbed P) were examined and the authors observed that in non-cultivated areas the most common form of P is organic, corresponding to 57% in superficial horizons (0–20 cm deep) and 57% in deep horizons (20–40 cm deep). In orchards with cultivation time longer than 10 years, it was noted that there was a P input of 947 kg P2O5 ha−1 yr−1, an output of 132 kg P2O5 ha−1 yr−1, and a surplus of 774 kg P2O5 ha−1 yr−1. The highest proportions of P in surface soils corresponded to Al-P: 39% and Fe–P: 20%, while P-organic represented 19%. In deep horizons, this proportion was Al–P: 43%, Fe–P: 23%, and P–organic 15%. The authors warn about the excessive use of P in agriculture, especially in the conversion of its forms in the soil, since there is a greater loss of this essential nutrient in soils with higher proportions of inorganic forms.
The effect of excess fertilizer on the physical and biological properties of the soil was described by Beauregard et al. [43]. They observed that phosphate fertilization for 8 years in alfalfa (Medicago sativa) mono-crop increased the flux and amount of soluble P in the environment, but reduced microbial activity and soil moisture.
Another concern is the exploitation of phosphate rocks, which are raw materials for fertilizer manufacture. According to USGS [44], the world has about 71 billion metric tons (bmt) of phosphate rocks. The phosphate in these rocks can be provided in the form of carbonate apatite [3Ca3(PO4)2·CaCO3], hydroxyapatite [Ca10(PO4)6(OH)2], fluorapatite [Ca10(PO4)6F2], and sulpho-apatite [3Ca3(PO4)2·CaSO4] [45]. The countries with the largest reserves of this resource are Morocco and Western Sahara (50 bmt), China (3.2 bmt), Egypt (2.8 bmt), Algeria (2.2 bmt), and Brazil (1.6 bmt). In addition, IFASTAT [46] indicates that in 2020 the regions that consumed the most phosphate were: East Asia with 15,112 thousand tons of P2O5 (kt P2O5), South Asia (11,011 kt P2O5), Latin America (8 541 kt P2O5), North America (5256 kt P2O5), and Western and Central Europe (2992 kt P2O5). In 2020, globally there was a consumption of around 48,975 kt P2O5.
These numbers point to a very worrying trend regarding the conservation of the natural reserves of phosphate rocks, a non-renewable resource [28,41]. Several studies indicate that we are facing a crisis regarding phosphate sustainability [47,48,49,50]. Furthermore, some authors suggest that at this current frequency of consumption, phosphate rock reserves will deplete in the next two centuries. Appalling projections indicate that the end of this resource could even happen in the next 50 years [51,52]; especially, these projections are based on known mines. The remaining potential reserves are of lower quality, with higher exploration costs and less accessibility [53]. Other authors indicate that phosphate reserves will persist into the future, where 40–60% of known resources will still be exploited by 2100 [54,55]. However, amid these contrasting views, there is a certainty that currently the value of phosphate fertilizer commodities is increasing, being consistent with greater economic competitiveness and greater environmental exploitation [56,57,58].
The accumulation of toxic metals in the environment may be associated with the inadequate application of phosphate fertilizers, as these metals may be present in their source rocks. Li et al. [59] look at the cadmium input in Chinese provinces where in 2016 there was a deposition of 10.52 t. In Brazil, according to estimates by Vieira da Silva et al. [60], 24–30 t of cadmium is deposited annually from phosphate fertilizers. Previous studies also indicated the accumulation of toxic metals in the environment, such as the accumulation of arsenic in groundwater in the state of São Paulo (Brazil) [61].
Therefore, this scenario raises awareness regarding the rational use of phosphate rocks and their impact mitigation in natural and anthropic environments. At the same time, new strategies, methods, and technologies are needed to increase the efficiency of the use and application of fertilizers in crops, taking advantage of every fraction of the nutrient and increasing its assimilation by plants. In this context, phosphate-solubilizing microorganisms are fundamental vectors for the sustainability of modern agriculture.
3. Phosphate-Solubilizing Microorganisms
Phosphate solubilizing microorganisms (PSM) are a group of organisms composed of actinobacteria, bacteria, fungi, arbuscular mycorrhizae, and cyanobacteria capable of hydrolyzing organic and inorganic phosphorus into soluble forms, thus making it bioavailable to plants [12,62]. They are quite abundant in the soil, and commonly associated with the rhizosphere of plants [63]. Djuuna et al. [64] performed a sampling of these microorganisms in Indonesia. Agricultural soils with a relevant history of growing vegetables, cereals, and legumes from different regions were collected. The results showed a population of solubilizing bacteria ranging between 25 × 103 and 550 × 103 CFU g–1 of soil and solubilizing fungi between 2.0 × 103 and 5.0 × 103 CFU g–1 of soil in all areas examined.
There is also great diversity in PSM. Bacteria have several representatives of the genera Azospirillum, Bacillus, Pseudomonas, Nitrosomonas, Erwinia, Serratia, Rhizobium, Xanthomonas, Enterobacter, and Pantoea [12,63]. Among the non-mycorrhizal fungi are the genera Penicillium, Fusarium, Aspergillus, Alternaria, Helminthosporium, Arthrobotrys, and Trichoderma, [62,65]. Examples of mycorrhizal fungi are Rhizophagus irregularis, Glomus mossea, G. fasciculatum, and Entrophospora colombiana [28,66].
Among actinobacteria, the genera Streptomyces, Thermobifida and Micrococcus are examples of PSM [67,68,69,70], and cyanobacteria, Calothrix braunii, Westiellopsis prolifica, Anabaena variabilis, and Scytonema sp. [12,63].
4. Phosphate Solubilization Mechanisms
Phosphate-solubilizing microorganisms have several mechanisms to increase the availability of this element in the soil. Figure 1 brings together the mechanisms and processes involved in the nutrient dynamics in the soil and the various interactions with the microbiota. The main roles of microorganisms in P solubilization include (1) the release of extracellular enzymes (biochemical mineralization), (2) the release of P during substrate degradation (biological mineralization), and (3) the secretion of mineral-dissolving complexes or compounds (siderophores, protons, hydroxyl ions, organic acids) [28,71].
Figure 1.
Phosphorus cycle and nutrient mobilization. The numbers and symbols at the base of the arrows are related to the P mobilization process described in the heading of the figure. The numbers related to the mechanisms correspond to the topics in which they are explained. NSAPs (4.1.1), phytases (4.1.2), phosphonatases (4.1.3), C–P lyases (4.1.4), organic acids (4.2.1), inorganic acids (4.2.2), enzymes or enzymolysis (4.2.3), siderophores (4.2.4), exopolysaccharides (4.2.5), proton release (4.2.6), H2S production (4.2.7), and direct oxidation (4.2.8).
Microorganisms interact in diverse ways in terms of the bioavailability of nutrients in plants. Mycorrhizal fungi, for example, can provide an increase in the root surface from the proliferation of their mycelium, helping in the exploitation of nutrients in the soil, thus accessing soil portions, such as microaggregates, previously not accessible to the plant only by root exploration [72,73].
In addition, PSM presents several mechanisms to make phosphate available in its soluble form. When the substrate is organic, the processes are described as mineralization, which is a step in the decomposition process of organic matter, while inorganic substrates undergo solubilization processes [12,28,74].
4.1. Organic Phosphate
Organic phosphate corresponds to 20–30% of the total amount found in the soil [28]. Its main source of entry into the environment is biomass, being present in animal and plant debris, and in microbial cell membranes, that is, they constitute biomolecules such as phosphides, nucleotides, phosphoproteins, co-enzymes, sugar phosphates, phosphonates and can be immobilized in the form of humus [75,76,77]. Figure 2 shows some organic molecules that contain phosphorus in their composition.
Figure 2.
Organic phosphate compounds in the soil. (A) phytic acid, (B) adenine nucleotide, (C) galactose 1-phosphate, (D) phosphatidyl inositol 3,4,5-triphosphate, (E) phospholipid, (F) adenosine 3-phosphate, (G) teichoic acid, (H) lipoteichoic acid.
4.1.1. Non-Specific Acid Phosphatases (NSAPs)
NSAPs are a class of enzymes bound to the lipoprotein membranes of microorganisms or secreted extracellularly [78,79]. Also known as phosphomonoesterases, they act according to the optimal pH of the environment, and can therefore be acidic or alkaline [80,81]. These enzymes can dephosphorylate a wide variety of phosphoesters (RO–PO3), solubilizing around 90% of organic phosphate in soils [82,83]. Figure 3 shows how the catalytic reaction of NSAFs occurs.
Figure 3.
Acid phosphatase catalytic reactions.
The proportion of phosphatases is relative to the abundance of P in the soil and consequently influences the availability of this nutrient to plants. Fraser et al. [84] indicated that in soybean (Glycine max) fields labile P in bulk soil was negatively correlated with phoC and phoD genes abundance (acid and alkaline phosphatase encoders, respectively) and phosphatase activity. According to the authors, the activity of NSAPs is greater in the rhizosphere than in other soil portions. A positive correlation was also observed between phosphatase activity, P uptake by plants, and nodule weight.
4.1.2. Phytases
Phytic acid is the major form of organic P present in the soil and is a component of seeds and pollen [12,85,86]. However, because they form complexes with cations or are adsorbed on various soil organic components, they are not readily available for plant assimilation [12]. Phytase enzymes are phosphatases produced by soil microorganisms. They are capable of hydrolyzing phytic acid by acting on the phosphomonoester bonds present in the compound, originating two subgroups, myo-inositol hexaphosphate or phytate (salt form). This process means that, in addition to P, other nutrients associated with it also become available, such as zinc and iron [87,88]. Figure 4 shows the catalysis of phytases.
Figure 4.
Phytase catalytic reaction.
Wang et al. [89] investigated the effect of mycorrhizal hyphae-mediated phytase activity. Maize (Zea mays) cultivars inoculated and non-inoculated with the arbuscular mycorrhizal fungi Glomus mosseae or Claroideoglomus etunicatum were evaluated, and the plants were separated into two compartments, one with only roots and the other with hyphae of the tested fungi supplemented with different concentrations of calcium phytate. The effect of phytase and acid phosphatase on phytate mineralization was analyzed. The authors observed that at higher phytate addition, the rate decreased, and lower phytate addition caused an increased hyphal length density; phytate addition increased phytase and acid phosphatase activity resulting in greater P uptake and plant biomass. It was concluded that the observed increases in P uptake were primarily due to phytase activity rather than phosphatase activity.
4.1.3. Phosphonatases
Phosphonates are organic phosphoric compounds rich in hydrolytically stable C–P bonds that are chemically inert and resistant to thermal and photolytic decomposition [90,91]. The enzymes that promote the breaking of this bond are known as phosphatases (phosphonate hydrolases) and act by catalyzing this reaction from a group β-carbonyl electron scavenger that allows heterologous cleavage between nutrients [91]. Phosphonatases act on several substrates, including phosphoenolpyruvate, phosphonoacetate, and phosphoenol-acetaldehyde. Figure 5 shows the mechanisms of phosphonatases.
Figure 5.
The catalytic reaction of phosphonatases. PaldH: phosphonoacetaldehyde hydrolase, PAH: phosphonoacetate hydrolase.
Furthermore, organophosphoric compounds are the active components of many pesticides, as they interfere with the catalytic activity of key enzymes in the target organism (such as acetylcholinesterase and phosphate synthases) [92,93]. However, studies indicate that these compounds are very persistent in the environment and may harm the quality of soil, water, and even the germination of non-target plants [94,95,96]. Soil microorganisms act on the bioremediation of these xenobiotics, using them as a source of P [97], thus contributing to the reduction of toxicity in the soil while converting the inert P of the phosphonate into a nutrient assimilable to plants.
Chávez-Ortiz et al. [98] studied the effects of glyphosate and commercial formulation (CH) on soil nutrient dynamics and microbial enzymatic activity. Two plots were used: one with a 5-year history of glyphosate application (NP) and the other with a history of agricultural management without glyphosate application (AP). The authors found that the application of CH in the AP soil favored the specific activity of the phosphonatase. The study shows how the application of the herbicide shapes the microbial community, and how it adapts to metabolize the xenobiotic.
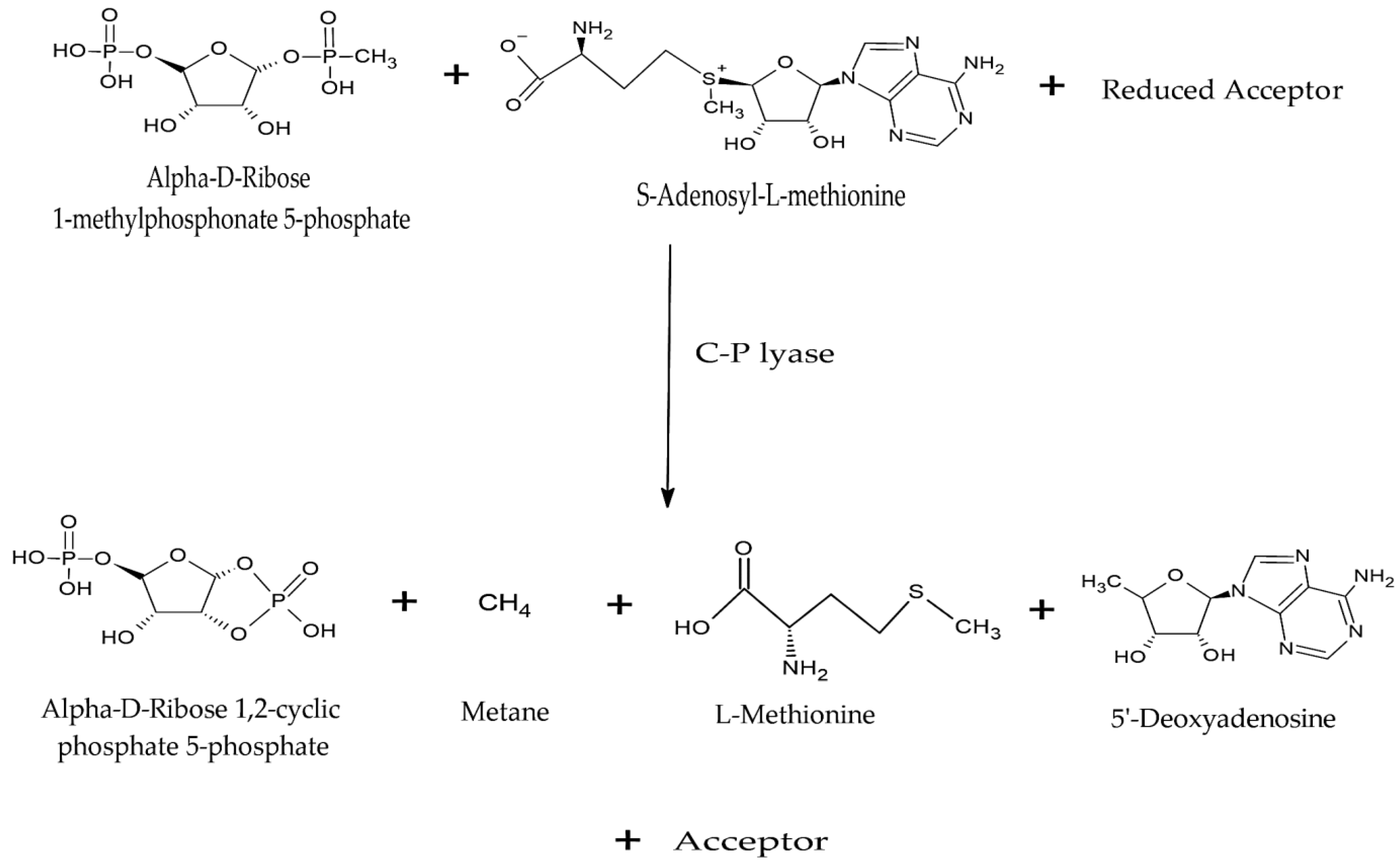
4.1.4. Carbon–Phosphorus Lyases
Carbon–phosphorus lyases are a complex of membrane enzymes that also allow the release of P, cleaving the C–P bonds of several classes of phosphonates (i.e., alkyl, amino-alkyl, and aryl phosphonates), producing hydrocarbons and inorganic phosphate [99,100]. This complex is the main mechanism for the use of phosphonates by microorganisms [101].
The enzymes and proteins of C–P lyases are complex and specific to their substrates. In Escherichia coli, they are all encoded by the 14-cistron operon (Phn CDEFGHIJKLMNOP), which is activated under conditions of phosphate deficit allowing the use of phosphonates [102]. Figure 6 shows the reaction of a C–P lyase.
Figure 6.
The catalytic reaction of α-D-ribose-1-methyl phosphonate-5-phosphate C–P lyase (methane-forming).
Kryuchkova et al. [97] analyzed the effect of several growth-promoting bacteria on glyphosate degradation. Among the bacteria analyzed, Enterobacter cloacae K7 proved to be both resistant to a 10 mM concentration of the herbicide and enabled its degradation in vitro (40% of the initial 5 mM content). The authors also analyzed the intermediate metabolites involved in the degradation and verified, using thin-layer chromatography, the activity of C–P lyase in the conversion of glyphosate to sarcosine, and later oxidation to glycine.
4.2. Inorganic Phosphate
In turn, inorganic P is the most abundant conformation of phosphorus found in soil, 70–80% of its total [12]. In soil, it can be a constituent of primary or secondary minerals or adsorbed on metallic oxides and clay, as shown in Figure 7 [103,104].
Figure 7.
Inorganic phosphorus in soil. (A) Apatite (Image author: Parent Géry, Source: Wikimedia Commons, Public domain), (B) Strengite, cacoxenite (Image by: Modris Baum, Source: Wikimedia Commons, Public domain), (C) Variscite (Image author: Jstuby at Wikipedia, Source: Wikimedia Commons, Public domain), (D) Lazulite (Image author: Marie-Lan Taÿ Pamart, Source: Wikimedia Commons, Reprinted/adapted with permission from the author. 2020, © Marie-Lan Taÿ Pamart, Own work, License and link: Creative Commons Attribution 4.0 International CC BY 4.0), (E) Turquoise (Image author: Parent Géry, Source: Wikimedia Commons, Public domain). All photographs of rocks have had their brightness increased. (F) Conformation of a soil metal oxide and P adsorption mechanisms, (G) Conformation of soil clay and P adsorption mechanism [105,106].
4.2.1. Organic Acids
Organic acids are low-molecular-weight compounds secreted by PSM and produced in oxidative metabolic pathways [34]. They are described as the main mechanism for inorganic phosphate solubilization [107]. The main organic acids produced are gluconic and 2-keto gluconic [62,108]. In addition, the release of oxalic, acetic, fumaric, malic, succinic, and tartaric acid, among others, may also occur [109,110].
In general, when released, organic acids acidify the rhizosphere, which causes a drop in pH, and the cations linked to phosphorus are chelated from their hydroxyl and carbonyl groups [111,112]. In addition, these acids can compete with P-adsorption sites and form complexes with P-bound metal ions [12,113,114].
Mendes et al. [115] analyzed the effectiveness of organic acids commonly associated with P solubilization by microorganisms for the solubilization of phosphate rocks with different degrees of reactivity. Increasing concentrations of oxalic, gluconic, citric, malic, and itaconic acids were used in vitro, and their effectiveness in solubilization was compared with that of sulfuric acid. The authors saw that oxalic acid was the most effective for the solubilization of rocks composed of apatite and was superior to sulfuric acid. On average, each mmol of oxalic acid released 21 mg of P, while sulfuric acid solubilized 14 mg of P mmol−1.
Patel et al. [116] analyzed the ability of Citrobacter sp. DHRSS for solubilization of phosphate rocks. The researchers used different carbon sources to produce the organic acids responsible for solubilization. It was seen that on sucrose and fructose, the bacteria released 170 and 100 μM of phosphate and secreted 49 mM (2.94 g/L) and 35 mM (2.1 g/L) of acetic acid, respectively. With glucose and maltose, Citrobacter sp. DHRSS produced approximately 20 mM (4.36 g/L) of gluconic acid, and the released phosphate was 520 and 570 μM, respectively. This study shows the role of different carbon sources and different organic acids in phosphate solubilization.
4.2.2. Inorganic Acids
In general, inorganic acids act in an equivalent way as organic acids, lowering the pH of the environment and acting as chelators; however, they are less effective in the same pH range [12,117]. Examples of these acids include sulfuric, nitric, carbonic, and hydrochloric [118,119].
Cantin et al. [120] conducted a series of experiments to figure out the effectiveness of the combination of a mixture containing commercial elemental sulfur + sewage sludge inoculated with different combinations of bacteria of the genus Thiobacillus in the solubilization of apatite P. The combinations used were (1) T. thioparus ATCC 23645, (2) T. thioparus C5 + T. thioparus ATCC 8085, and (3) T. thioparus ATCC 23645 + T. thiooxidans ATCC 55128. The phosphate solubilization capacity was verified in apatite–sulfur culture medium (ASM) with 1, 10, or 20% (P/V) of apatite. The results showed that T. thioparus ATCC 23645 alone lead to a decrease in pH in vitro (from 6.8 apatite 1; or 7.8 apatite 2 to 3.9), confirming that the bacterium is capable of oxidizing sulfur into sulfuric acid. Furthermore, the researchers saw that the consortia of combinations 2 and 3 were more effective for phosphate solubilization than the inoculum with isolated bacteria. In addition, researchers evaluated the release of P from the inoculum when applied to municipal wastewater sludge and incubated with concentrations of 1, 10, or 20% (P/V) of apatite for 33 days. It was seen that 28% of the initial P concentration was solubilized when the apatite–sulfur-sewage-sludge contained 20% apatite, this proportion increased to 86% when the mixture consisted of 1% apatite. The authors suggest that combinations such as pellet form of sulfur, apatite, and stabilized sewage sludge as a source of thiobacilli for agricultural use, would provide an effective P fertilizer source.
4.2.3. Enzymes or Enzymolysis
The ability of microorganisms to solubilize phosphate via this mechanism is briefly described in the literature [34].
Zhu et al. [121] evaluated the ability of the bacterium Kushneria sp. YCWA18 in the solubilization of P in two culture media, where the first contained calcium phosphate Ca3(PO4)2 as the only source of P and the second lecithin as the exclusive source of P. The results showed that for the medium containing Ca3(PO4)2 in 11 days of cultivation, there was the release of 283.16 μg/mL of P, and the pH varied from 7.21 to 4.24 in about 4 days. As for the medium containing lecithin, there was solubilization of 47.52 μg/mL of P in 8 days; however, the pH remained stable at approximately 7.0, a value similar to that of the control. Thus, the authors suggest that enzymolysis is the mechanism responsible for the solubilization of P from lecithin because compared to the culture medium containing Ca3(PO4)2 (where the solubilization possibly occurred through the release of organic acids), the acidity of the medium does not change. Thus, P is released through catalysis performed by enzymes that convert the substrate to choline.
4.2.4. Siderophores
Siderophores are low-molecular-weight secondary metabolites produced by PSM that have a high affinity for inorganic iron and function as metal chelators [122,123]. They have three functional groups, hydroxamates, catecholates, and carboxylates, and catalyze the reduction of Fe3+ to Fe2+ [124]. They act at neutral to alkaline pH; however, the mechanisms of this reaction are still not fully understood [125]. Microorganisms use siderophores to obtain the iron used in their cell, and so, during the breakage of its bond, they can release the P bound of the metal, making it assimilable to plants [12,124].
As discussed earlier, in acidic soils, much of the P is fixed in metals such as iron. Cui et al. [126] evaluated the ability of Streptomyces sp. CoT10 endophytic activity of Camellia oleifera on P mobilization in acidic and deficient soils. The authors saw a release of 72.49 mg/L for FePO4, which was prominent in the production of different siderophores. Moreover, the application of Streptomyces sp. aided in Fe-P mobilization improving P availability by 15% in the soil. The authors conclude that the production of siderophores leads to the observed results, including the promotion of plant growth.
4.2.5. Exopolysaccharides
Exopolysaccharides are compounds with high molecular weights that act indirectly on the solubilization of P in soil [127]. They are secreted by microorganisms under stress conditions. In bacteria, they form biofilms, which have a great affinity for binding with metallic ions in the soil, thus competing with free P, providing its availability [128,129]. It is seen that different exopolysaccharides have varying binding affinities with different metals, and there are also different binding strengths between the metals themselves [130,131].
Yi et al. [127] evaluated that Enterobacter sp. EnHy-401, Arthrobacter sp. ArHy-505, Azotobacter sp. AzHy-510 producing exopolysaccharides (EPS) have a higher tricalcium-phosphate solubilization capacity than Enterobacter sp. EnHy-402 which does not produce EPS. The authors analyzed that under the same conditions, Enterobacter sp. EnHy-402 solubilized 112 mg/L of P, the medium pH ranged from 7.0 to 4.5, had an organic acid production of 258 mg/L, and did not produce EPS. Meanwhile Enterobacter sp. EnHy-401 solubilized 623 mg/L of P, the medium pH varied from 7.0 to 4.3, had an organic acid production of 2092 mg/L, and produced 4 g/L of EPS. The authors suggest that EPS potentiates phosphate solubilization mainly by benefiting the production and activity of organic acids.
4.2.6. Proton Release
The release of protons is another mechanism that promotes rhizosphere acidification. Soil microorganisms use various sources of nitrogen to form amino acids, one of which is ammonium (NH4+) which, when metabolized, generates ammonia (NH3) [132,133]. At the end of the reaction, the excess H+ protons generated are released into the soil, allowing the desorption of P immobilized in metals [134].
Studies have shown different ways in which proton extrusion favors phosphate solubilization. Öğüt et al. [135] reported an increase in proton extrusion in maize roots after being inoculated with Bacillus sp. 189 causing acidification of nutrient solution supplemented with ammonium. The bacteria contributed to the increase in evaluable P by 8.0 mg/Kg, while in the control the concentration of evaluable P was 6.3 mg/Kg. The authors suggest that the increase in proton release was due to (1) stimulation of plasmalemma ATPase of plant roots, (2) proton release by the PSM associated with the release of organic acid anions, and (3) proton release by the PSM in response to NH4 uptake.
Habte and Osorio [136] verified the influence of various sources of nitrogen on the solubilization of phosphate rocks by Mortierella sp. The results showed that in the presence of NH4Cl and NH4N3, the pH of the solution decreased from first value of 7.6 to 3.4 and 3.7, respectively. When the N source was KNO3, the pH decreased to 6.7. As for P solubilization, it was seen that supplementation with NH4Cl was responsible for the release of 130 mg/L of P, with NH4N3 it was 110 mg/L of P, and with KNO3 only 0.08 mg/L of P. The authors also indicated that excess NH4+ negatively affected fungal growth. However, this may have promoted a greater pumping of H+ that significantly decreased the pH of the solution and consequently favored the solubilization of P.
4.2.7. H2S Production
Hydrogen sulfide is a compound produced by sulfur-oxidizing and acidophilic bacteria. It is released from metabolic pathways such as sulfate reduction and organic matter decomposition [12,137]. This compound interacts with minerals that have phosphate, releasing it into the soil solution [128]. An example is ferric phosphate, which forms ferrous sulfate with the release of immobilized phosphorus in the soil [138,139].
Phosphate solubilization mediated exclusively by the production of H2S does not have many practical examples in the literature. However, some studies have analyzed the synthesis of compounds by bacteria [140,141,142].
4.2.8. Direct Oxidation of Glucose
The direct oxidation of glucose is another strategy used by PSM to make P bioavailable. In bacteria, this mechanism begins with the oxidation of glucose in the periplasmic space by the enzyme glucose dehydrogenase, generating gluconic acid, which is eventually converted to 2-keto gluconic by the enzyme gluconate dehydrogenase [28,143]. Subsequently, the release of these acids to the outside of the cell occurs, acidifying the medium. As seen previously, these acids function as ferric ion chelators, releasing the P from its bond [144].
Phosphate solubilization by the direct oxidation pathway is a mechanism that is extremely restricted by the effectiveness of glucose dehydrogenase. Therefore, studies seek to identify the enzyme in microorganisms using molecular methods, as was the case with the work by Mei et al. [145] who identified the enzyme in the bacteria Pantoea vagans IALR611, Pseudomonas psychrotolerans IALR632, Bacillus subtilis IALR1033, Bacillus safensis IALR1035 and Pantoea agglomerans IALR1325.
In addition, studies have also highlighted the importance of gluconic acid in plant growth. Rasul et al. [146], showed that Acinetobacter sp. (MR5) and Pseudomonas sp. (MR7) producing gluconic acid were responsible for promoting rice growth, increasing grain yield (up to 55%), plant-associated P (up to 67%), and soil available P (up to 67%), with 20% reduced fertilization. The authors confirmed the activity of the enzyme based on the construction of new primers designed to amplify the gcd, pqqE, and pqqC genes responsible for glucose dehydrogenase-mediated phosphate solubilization.
Other studies have pointed out the reasons for the failure or reduction of phosphate solubilization from the inhibition of glucose dehydrogenase catalysis. The work by Bharwad and Rajkumar [147] and Iyer and Rajkumar [148] describe how succinate inhibits enzyme activity in Acinetobacter sp. and Rhizobium sp. respectively.
5. Applications of Phosphate-Solubilizing Microorganisms as Plant Growth Promoters
In addition to making P available, microorganisms can also promote plant growth in complementary ways. They have direct and indirect mechanisms of action for plant growth promotion, including biological nitrogen fixation [149] and phytohormone production [150,151].
They can stimulate tolerance to environmental stresses such as drought [152] and low soil fertility [153]. They can also induce host plant defense from the production of antibiotics and secondary metabolites [154,155], and biosurfactant compounds [156,157].
In addition, the application of isolated microorganisms or consortia can modulate the physiological response of plants and aid their growth and development. Thus, the inoculation of microorganisms plays a notable role in reducing the time required for the acclimatization of seedlings [158], improving foliar gas exchange [159], and the accumulation of fresh and dry matter, as well as increasing plant root growth [160].
Thus, the use of microorganisms and their versatility in growth promotion mechanisms constitute a notable resource to produce bioinoculants, and consequently, for sustainable agricultural production. Table 1 summarizes studies in which the microorganisms used can solubilize and make phosphate available. They were inoculated into different crops and their effects were described.
Table 1.
Applications of growth-promoting microorganisms capable of phosphorus solubilization in cultures.
The examples cited in Table 1 show the versatility of PSMs as growth promoters. In general, it is possible to observe that the inoculation of microorganisms favors plant development at all stages of the plant, favoring germination, accumulation of biomass in roots and shoots, increasing the concentration of chlorophylls, increasing crop productivity, reducing biotic and abiotic stress, and increasing the availability and assimilation of nutrients.
Furthermore, studies have strongly shown the use of PSMs as bioinoculants, either in isolated formulations or in consortia. The activity of microorganisms makes it possible to reduce the use of chemical fertilizers, both when applied together and when applied together with phosphate rocks. Microorganisms also benefit from improving soil quality, benefiting the dynamics of the rhizosphere of plants, enabling the solubilization of phosphate in acidic and alkaline soils, and degrading xenobiotic compounds.
Figure 8 shows the information presented in topic 4 “Phosphate-solubilizing microorganisms” and Table 1. A total of 55 articles were reviewed.
Figure 8.
(A) Primary cultures were inoculated with phosphate-solubilizing microorganisms. (B) The main microbial genera studied for phosphate solubilization. To compress the graph, only the genres that were present in more than one work were selected.
We gathered 48 studies that used plants to verify the ability of PSM to promote growth. Among them, 26 different crops were studied, of which maize (n = 8), soybean (n = 6), and wheat (n = 4) were the main research focuses (Figure 8A).
Among these microorganisms, 41 different genera were studied. Among these, the genera Bacillus (n = 22), Pseudomonas (n = 10), and Enterobacter (n = 9) were the most studied, and possibly those that demonstrated the best potential for the development of bioinoculants (Figure 8B).
6. Market and Agricultural Practices with Phosphate-Solubilizing Microorganisms
Production of biological inoculants is the main way to explore the potential of PSM in agriculture. Forecasts say that the biofertilizer market will register a compound annual growth rate of almost 14% until 2023. In 2016, the global market size of biofertilizers reached USD 1106.4 million and is projected to grow at the rate of 14% to reach USD 3124.5 million by the end of 2024 [194].
In general, for a microorganism to be selected as a bioinoculant, it must be multifunctional, present several mechanisms of growth promotion, and be a generalist, interacting with several cultures [195]. The work by Owen et al. [196] and Mącik et al. [197] lists several commercial bioinoculants, the microorganisms that compose them, and their modes of action.
Bioinoculants can be used in several ways. As seen throughout the text, the main method of using it is directly in the soil, favoring the release of the P part that is inaccessible to plants. Moreover, the inoculants can be applied together with phosphate rocks [21,45], in the treatment of wastewater [198], and in fermenting animal detritus [199], these being external sources of P.
As shown in Table 1, the potential for some microorganisms to release P from the soil and promote plant growth is unequivocal. However, unlike what occurs with some N-fixing symbionts, such as those from the genera Rhizobium and Bradyrhizobium, the amount of P made available by PSM does not seem to be well regulated by plants. As a consequence, and allied to the fact that P is not in the air as N, PSM does not supply P in amounts corresponding to high levels of productivity of crops. For this reason, often capitalized farmers choose to apply high doses of phosphate fertilizers instead of applying or managing PSM in the soil. After all, using only PSM these farmers will not be able to reach yields comparable to the use of synthetic fertilizers, and by applying high doses of phosphate fertilizers the action of PSM tends to be minimized, as is the case with arbuscular mycorrhizal fungi. Thus, if the prices of synthetic phosphate fertilizers are not counterproductive at the current level of use, or there is a wide rupture in the productivity paradigm, with a greater appreciation of sustainability over productivity, inoculation with PSM will remain a market niche.
7. Conclusions
In this study, we examined how microorganisms make up a highly viable resource for improving soil and plant nutrition, especially phosphate solubilization. Constant global awareness of the perpetuity of natural resources and their rationalization for future generations is necessary.
Additionally, it is essential to conduct research on the development of innovative technologies for phosphate-solubilizing microorganisms. It is necessary to further understand the nutrient availability mechanisms, and how the process can be perfected under different soils and abiotic conditions. Likewise, the development of innovative technologies can help in the identification, isolation, and prospecting of new microorganisms.
Finally, the use of microorganisms as biological inoculants is a viable, sustainable, and promising alternative for the agriculture of the future, agriculture with greater socio-biodiversity and less use of non-renewable resources external to farmers’ properties. The formulation of new bioinoculants, if they are accessible and appropriated by farmers, will help both in agriculture and in socio-economic development.
Author Contributions
Conceptualization, methodology, investigation, data curation, project administration, writing—review and editing, L.I.d.S.; investigation, data curation, writing—review and editing, M.C.P.; investigation, data curation, writing—review and editing, A.M.X.d.C.; investigation, data curation, writing—review and editing, V.H.B.; supervision, M.P.; supervision, J.D. All authors have read and agreed to the published version of the manuscript.
Funding
This study was financed in part by the Higher Education Personnel Improvement Coordination, Brazil (CAPES)—Finance Code 001.
Institutional Review Board Statement
Not applicable.
Informed Consent Statement
Not applicable.
Data Availability Statement
Not applicable.
Acknowledgments
The authors would like to thank CAPES, CNPq, and FAPEMIG for the financial resources and scholarship payments to the team members. The authors are grateful for the support offered by the Federal University of Viçosa and the Federal University of Lavras, the Graduate Program in Agricultural Microbiology.
Conflicts of Interest
The authors declare no conflict of interest.
References
- Kavanagh, P.H.; Vilela, B.; Haynie, H.J. Hindcasting global population densities reveal forces enabling the origin of agriculture. Nat. Hum. Behav. 2018, 2, 478–484. [Google Scholar] [CrossRef] [PubMed]
- Ramankutty, N.; Evan, A.T.; Monfreda, C.; Foley, J.A. Farming the planet: 1. Geographic distribution of global agricultural lands in the year 2000. Glob. Biogeochem. Cycles 2008, 22, GB1003. [Google Scholar] [CrossRef]
- Ramankutty, N.; Mehrabi, Z.; Waha, K.; Jarvis, L.; Kremen, C.; Herrero, M.; Rieserberg, L. Trends in Global Agricultural Land Use: Implications for Environmental Health and Food Security. Annu. Rev. Plant Biol. 2018, 69, 789–815. [Google Scholar] [CrossRef] [PubMed]
- Bilal, S.; Hazafa, A.; Ashraf, I.; Alamri, S.; Siddiqui, M.H.; Ramzan, A.; Qamar, N.; Sher, F.; Naeem, M. Comparative Effect of Inoculation of Phosphorus-Solubilizing Bacteria and Phosphorus as Sustainable Fertilizer on Yield and Quality of Mung Bean (Vigna radiata L.). Plants 2021, 10, 2079. [Google Scholar] [CrossRef] [PubMed]
- Dokwal, D.; Romsdahl, T.B.; Kunz, D.A.; Alonso, A.P.; Dickstein, R. Phosphorus deprivation affects composition and spatial distribution of membrane lipids in legume nodules. Plant Physiol. 2021, 185, 1847–1859. [Google Scholar] [CrossRef]
- Elser, J.; Bennett, E. Phosphorus cycle: A broken biogeochemical cycle. Nature 2011, 478, 29–31. [Google Scholar] [CrossRef]
- Silva, F.B.V.; Nascimento, C.W.A.; Alvarez, A.M.; Araújo, P.R.M. Inputs of rare earth elements in Brazilian agricultural soils via P-containing fertilizers and soil correctives. J. Environ. Manag. 2019, 232, 90–96. [Google Scholar] [CrossRef]
- Blanco-Vargas, A.; Rodríguez-Gacha, L.M.; Sánchez-Castro, N.; Garzón-Jaramillo, R.; Pedroza-Camacho, L.D.; Poutou-Piñales, R.A.; Pedroza-Rodríguez, A.M. Phosphate-solubilizing Pseudomonas sp., and Serratia sp., co-culture for Allium cepa L. growth promotion. Heliyon 2020, 6, e05218. [Google Scholar] [CrossRef]
- Ajar, N.Y.; Priyanka, V.; Bhanumati, S.; Vinay, S.C.; Archna, S.; Anil, K.S. Plant Growth Promoting Bacteria: Biodiversity and Multifunctional Attributes for Sustainable Agriculture. Adv. Biotechnol. Microbiol. 2017, 5, 1–6. [Google Scholar] [CrossRef]
- Cardoso, I.M.; Kuyper, T. Mycorrhizas and tropical soil fertility. Agric. Ecosyst. Environ. 2006, 116, 72–84. [Google Scholar] [CrossRef]
- Doilom, M.; Guo, J.W.; Phookamsak, R.; Mortimer, P.E.; Karunarathna, S.C.; Dong, W.; Liao, C.F.; Yan, K.; Pem, D.; Suwannarach, N.; et al. Screening of Phosphate-Solubilizing Fungi From Air and Soil in Yunnan, China: Four Novel Species in Aspergillus, Gongronella, Penicillium, and Talaromyces. Front. Microbiol. 2020, 11, 585215. [Google Scholar] [CrossRef]
- Rawat, P.; Das, S.; Shankhdhar, D.; Shankhdhar, S.C. Phosphate-Solubilizing Microorganisms: Mechanism and Their Role in Phosphate Solubilization and Uptake. J. Soil Sci. Plant Nutr. 2021, 21, 49–68. [Google Scholar] [CrossRef]
- Din, M.; Nelofer, R.; Salman, M.; Abdullah; Khan, F.H.; Khan, A.; Khan, M. Production of nitrogen fixing Azotobacter (SR-4) and phosphorus solubilizing Aspergillus niger and their evaluation on Lagenaria siceraria and Abelmoschus esculentus. Biotechnol. Rep. 2019, 22, e00323. [Google Scholar] [CrossRef]
- Wang, K.; Hou, J.; Zhang, S.; Hu, W.; Yi, G.; Chen, W.; Cheng, L.; Zhang, Q. Preparation of a new biochar-based microbial fertilizer: Nutrient release patterns and synergistic mechanisms to improve soil fertility. Sci. Total Environ. 2023, 860, 160478. [Google Scholar] [CrossRef]
- Day, A.D.; Ludeke, K.L. Plant Nutrients in Desert Environments. Adaptations of Desert Organisms; Springer: Berlin/Heidelberg, Germany, 1993. [Google Scholar] [CrossRef]
- Malhotra, H.; Vandana; Sharma, S.; Pandey, R. Phosphorus Nutrition: Plant Growth in Response to Deficiency and Excess. Plant Nutrients and Abiotic Stress Tolerance. In Plant Nutrients and Abiotic Stress Tolerance; Hasanuzzaman, M., Fujita, M., Oku, H., Nahar, K., Hawrylak-Nowak, B., Eds.; Springer: Singapore, 2018; pp. 171–190. [Google Scholar] [CrossRef]
- Bisson, C.; Adams, N.B.P.; Stevenson, B.; Brindley, A.A.; Polyviou, D.; Bibby, T.S.; Baker, P.J.; Hunter, C.N.; Hitchcock, A. The molecular basis of phosphite and hypophosphite recognition by ABC-transporters. Nat. Commun. 2017, 8. [Google Scholar] [CrossRef]
- Xing, D.; Wu, Y. Effect of phosphorus deficiency on photosynthetic inorganic carbon assimilation of three climber plant species. Bot. Stud. 2014, 55, 60. [Google Scholar] [CrossRef]
- Tiziani, R.; Pii, Y.; Celletti, S.; Cesco, S.; Mimmo, T. Phosphorus deficiency changes carbon isotope fractionation and triggers exudate reacquisition in tomato plants. Sci. Rep. 2020, 10, 15970. [Google Scholar] [CrossRef]
- Meng, X.; Chen, W.W.; Wang, Y.Y.; Huang, Z.R.; Ye, X.; Chen, L.S. Effects of phosphorus deficiency on the absorption of mineral nutrients, photosynthetic system performance and antioxidant metabolism in Citrus grandis. PLoS ONE 2021, 16, e0246944. [Google Scholar] [CrossRef] [PubMed]
- Silva, U.C.; Cuadros-Orellana, S.; Silva, D.R.C.; Freitas-Júnior, L.F.; Fernandes, A.C.; Leite, L.R.; Oliveira, C.A.; dos Santos, V.L. Genomic and Phenotypic Insights Into the Potential of Rock Phosphate Solubilizing Bacteria to Promote Millet Growth in vivo. Front. Microbiol. 2021, 11, 574550. [Google Scholar] [CrossRef] [PubMed]
- McLaren, T.I.; Smernik, R.J.; McLaughlin, M.J.; Doolette, A.L.; Richardson, A.E.; Frossard, E. The chemical nature of soil organic phosphorus: A critical review and global compilation of quantitative data. Adv. Agron. 2019, 160, 51–124. [Google Scholar] [CrossRef]
- Richardson, A.E.; Simpson, R.J. Soil Microorganisms Mediating Phosphorus Availability Update on Microbial Phosphorus. Plant Physiol. 2011, 156, 989–996. [Google Scholar] [CrossRef] [PubMed]
- Zou, X.; Binkley, D.; Doxtader, K.G. A new method for estimating gross phosphorus mineralization and immobilization rates in soils. Plant Soil 1992, 147, 243–250. [Google Scholar] [CrossRef]
- Li, Y.; Li, Q.; Guan, G.; Chen, S. Phosphate solubilizing bacteria stimulate wheat rhizosphere and endosphere biological nitrogen fixation by improving phosphorus content. PeerJ 2020, 4, e9062. [Google Scholar] [CrossRef] [PubMed]
- Nunes, R.S.; de Sousa, D.M.G.; Goedert, W.J.; de Oliveira, L.E.Z.; Pavinato, P.S.; Pinheiro, T.D. Distribution of Soil Phosphorus Fractions as a Function of Long-Term Soil Tillage and Phosphate Fertilization Management. Front. Earth Sci. 2020, 8, 350. [Google Scholar] [CrossRef]
- Sims, J.T.; Pierzynski, G.M. Chemistry of phosphorus in soil. In Chemical Processes in Soil; Tabatabai, M.A., Sparks, D.L., Eds.; SSSA: Madison, WI, USA, 2005; Volume 8, pp. 151–192. [Google Scholar] [CrossRef]
- Sharma, S.B.; Sayyed, R.Z.; Trivedi, M.H.; Gobi, T.A. Phosphate solubilizing microbes: Sustainable approach for managing phosphorus deficiency in agricultural soils. Springerplus 2013, 2, 587. [Google Scholar] [CrossRef]
- Novais, R.F.; Smyth, T.J. Fósforo em Solo e Planta em Condições Tropicais; Universidade Federal de Viçosa: Viçosa, MG, Brazil, 1999. [Google Scholar]
- Paul, E.A. Soil Microbiology, Ecology, and Biochemistry, 3rd ed.; Academic Press: Cambridge, MA, USA, 2007; pp. 389–432. [Google Scholar] [CrossRef]
- Devau, N.; Le Cadre, E.; Hinsinger, P.; Jaillard, B.; Gérard, F. Soil pH controls the environmental availability of phosphorus: Experimental and mechanistic modelling approaches. Appl. Geochem. 2009, 24, 2163–2174. [Google Scholar] [CrossRef]
- Foth, H.D. Fundamentals of Soil Science, 8th ed.; Wiley: New York, NY, USA, 1990. [Google Scholar]
- Samreen, S.; Kausar, S. Phosphorus Fertilizer: The Original and Commercial Sources. In Phosphorus Recovery and Recycling; Zhang, T., Ed.; IntechOpen: London, UK, 2019. [Google Scholar] [CrossRef]
- Alori, E.T.; Glick, B.R.; Babalola, O.O. Microbial Phosphorus Solubilization and Its Potential for Use in Sustainable Agriculture. Front. Microbiol. 2017, 8, 971. [Google Scholar] [CrossRef]
- Bhattacharya, A. Changing Environmental Condition and Phosphorus-Use Efficiency in Plants; Academic Press: Cambridge, MA, USA, 2019; pp. 241–305. [Google Scholar] [CrossRef]
- Alabama Extension. Phosphorus Basics: Understanding Pathways of Soil Phosphorus Loss. Available online: https://www.aces.edu/blog/topics/crop-production/understanding-soil-phosphorus-loss/#:~:text=Water%20is%20the%20primary%20driver,soil%20is%20dissolved%20in%20water (accessed on 28 November 2022).
- Alewell, C.; Ringeval, B.; Ballabio, C.; Robinson, D.A.; Panagos, P.; Borrelli, P. Global phosphorus shortage will be aggravated by soil erosion. Nat. Commun. 2020, 11, 4546. [Google Scholar] [CrossRef]
- Yang, X.; Chen, X.; Yang, X. Effect of organic matter on phosphorus adsorption and desorption in a black soil from Northeast China. Soil Tillage Res. 2019, 87, 85–91. [Google Scholar] [CrossRef]
- Etesami, H. Enhanced Phosphorus Fertilizer Use Efficiency with Microorganisms. In Nutrient Dynamics for Sustainable Crop Production; Springer: Singapore, 2020; pp. 215–245. [Google Scholar] [CrossRef]
- Yu, X.; Keitel, C.; Dijkstra, F.A. Global analysis of phosphorus fertilizer use efficiency in cereal crops. Glob. Food Sec. 2021, 29, 100545. [Google Scholar] [CrossRef]
- Bindraban, P.S.; Dimkpa, C.O.; Pandey, R. Exploring phosphorus fertilizers and fertilization strategies for improved human and environmental health. Biol. Fertil. Soils 2020, 56, 299–317. [Google Scholar] [CrossRef]
- Chen, X.; Yan, X.; Wang, M.; Cai, Y.; Weng, X.; Su, D. Long-term Excessive Phosphorus Fertilization Alters Soil Phosphorus Fractions in the Acidic Soil of Pomelo Orchards. Soil. Tillage Res. 2022, 215, 105214. [Google Scholar] [CrossRef]
- Beauregard, M.S.; Hamel, C.; Atul-Nayyar; St-Arnaud, M. Long-Term Phosphorus Fertilization Impacts Soil Fungal and Bacterial Diversity but not AM Fungal Community in Alfalfa. Microb. Ecol. 2010, 59, 379–389. [Google Scholar] [CrossRef]
- U.S. Geological Survey. Phsophate Rock. Available online: https://pubs.usgs.gov/periodicals/mcs2021/mcs2021-phosphate.pdf (accessed on 24 January 2023).
- Abdelgalil, S.A.; Kaddah, M.M.Y.; Duab, M.E.A. A sustainable and effective bioprocessing approach for improvement of acid phosphatase production and rock phosphate solubilization by Bacillus haynesii strain ACP1. Sci. Rep. 2022, 12. [Google Scholar] [CrossRef]
- International Fertilizer Association. Fertilizer Consumption—Historical Trends by Country or Region. Available online: https://www.ifastat.org/databases/graph/1_1 (accessed on 24 January 2023).
- Roy-Bolduc, A.; Hijri, M. The Use of Mycorrhizae to Enhance Phosphorus Uptake: A Way Out the Phosphorus Crisis. J. Biofertil. Biopestic. 2011, 2, 1000104. [Google Scholar] [CrossRef]
- Sattari, S.Z.; Bouwman, A.F.; Giller, K.E.; van Ittersum, M.K. Residual soil phosphorus as the missing piece in the global phosphorus crisis puzzle. Proc. Natl. Acad. Sci. USA 2012, 109, 6348–6353. [Google Scholar] [CrossRef] [PubMed]
- Daneshgarm, S.; Callegari, A.; Capodaglio, A.G.; Vaccari, D. The Potential Phosphorus Crisis: Resource Conservation and Possible Escape Technologies: A Review. Resources 2018, 7, 37. [Google Scholar] [CrossRef]
- Wijaya, B.A.; Hidayat, W.; Riniarti, M.; Prasetia, H.; Niswati, A.; Hasanudin, U.; Banuwa, I.S.; Kim, S.; Lee, S.; Yoo, J. Meranti (Shorea sp.) Biochar Application Method on the Growth of Sengon (Falcataria moluccana) as a Solution of Phosphorus Crisis. Energies 2022, 15, 2110. [Google Scholar] [CrossRef]
- Fang, L.; Wang, Q.; Li, J.; Poon, C.S.; Cheeseman, C.R.; Donatello, S.; Tsang, D.C.W. Feasibility of wet extraction of phosphorus from incinerated sewage sludge ash (ISSA) for phosphate fertilizer production: A critical review. Crit. Rev. Environ. Sci. Technol. 2020, 51, 939–971. [Google Scholar] [CrossRef]
- Ibáñez, A.; Diez-Galán, A.; Cobos, R.; Calvo-Peña, C.; Barreiro, C.; Medina-Turienzo, J.; Coque, J.J.R. Using Rhizosphere Phosphate Solubilizing Bacteria to Improve Barley (Hordeum vulgare) Plant Productivity. Microorganisms 2021, 9, 1619. [Google Scholar] [CrossRef]
- Cordell, D.; Drangert, J.O.; White, S. The story of phosphorus: Global food security and food for thought. Glob. Environ. Chang. 2009, 19, 292–305. [Google Scholar] [CrossRef]
- Van Vuuren, D.P.; Bouwman, A.F.; Beusen, A.H.W. Phosphorus demand for the 1970–2100 period: A scenario analysis of resource depletion. Glob. Environ. Chang. 2010, 20, 428–439. [Google Scholar] [CrossRef]
- Van Kauwenbergh, S.J. World Phosphate Rock Reserves and Resources; International Fertilizer Development Center (IFDC): Alabama, USA, 2010. [Google Scholar]
- Olagunju, K.O.; Feng, S.; Patton, M. Dynamic relationships among phosphate rock, fertilizers and agricultural commodity markets: Evidence from a vector error correction model and Directed Acyclic Graphs. Resour. Policy 2021, 74, 102301. [Google Scholar] [CrossRef]
- Neset, T.S.S.; Cordell, D. Global phosphorus scarcity: Identifying synergies for a sustainable future. J. Sci. Food Agric. 2011, 92, 2–6. [Google Scholar] [CrossRef]
- Cooper, J.; Lombardi, R.; Boardman, D.; Carliell-Marquet, C. The future distribution and production of global phosphate rock reserves. Resour. Conserv. Recycl. 2011, 57, 78–86. [Google Scholar] [CrossRef]
- Li, H.; Yang, Z.; Dai, M.; Diao, X.; Dai, S.; Fang, T.; Dong, X. Input of Cd from agriculture phosphate fertilizer application in China during 2006–2016. Sci. Total Environ. 2019, 698, 134–149. [Google Scholar] [CrossRef]
- Vieira da Silva, F.B.; Araújo, N.C.W.; Muniz, A.P.R. Environmental risk of trace elements in P-containing fertilizers marketed in Brazil. J. Soil Sci. Plant Nutr. 2017, 17, 635–647. [Google Scholar] [CrossRef]
- Campos, V. Arsenic in groundwater affected by phosphate fertilizers at São Paulo, Brazil. Environ. Geol. 2002, 42, 83–87. [Google Scholar] [CrossRef]
- Kalayu, G. Phosphate Solubilizing Microorganisms: Promising Approach as Biofertilizers. Int. J. Agron. 2019, 2019, 4917256. [Google Scholar] [CrossRef]
- Shrivastava, M.; Srivastava, P.C.; D’Souza, S.F. Phosphate-Solubilizing Microbes: Diversity and Phosphates Solubilization Mechanism. In Rhizospheric Microbes in Soil; Meena, V., Ed.; Springer: Singapore, 2018; pp. 137–165. [Google Scholar] [CrossRef]
- Djuuna, I.A.F.; Prabawardani, S.; Massora, M. Population Distribution of Phosphate-solubilizing Microorganisms in Agricultural Soil. Microbes Environ. 2022, 37, ME21041. [Google Scholar] [CrossRef]
- Behera, B.C.; Singdevsachan, S.K.; Mishra, R.R.; Dutta, S.K.; Thatoi, H.N. Diversity, mechanism and biotechnology of phosphate solubilizing microorganism in mangrove—A review. Biocatal. Agric. Biotechnol. 2014, 3, 97–110. [Google Scholar] [CrossRef]
- Zhang, L.; Feng, G.; Declerck, S. Signal beyond nutrient, fructose, exuded by an arbuscular mycorrhizal fungus triggers phytate mineralization by a phosphate solubilizing bacterium. ISME J. 2018, 12, 2339–2351. [Google Scholar] [CrossRef] [PubMed]
- Dastager, S.G.; Deepa, C.K.; Pandey, A. Isolation and characterization of novel plant growth promoting Micrococcus sp. NII-0909 and its interaction with cowpea. Plant Physiol. Biochem. 2010, 48, 987–992. [Google Scholar] [CrossRef] [PubMed]
- Franco-Correa, M.; Quintana, A.; Duque, C.; Suarez, C.; Rodríguez, M.X.; Barea, J.M. Evaluation of actinomycete strains for key traits related with plant growth promotion and mycorrhiza helping activities. Appl. Soil Ecol. 2010, 45, 209–217. [Google Scholar] [CrossRef]
- Madhaiyan, M.; Poonguzhali, S.; Lee, J.S.; Lee, K.C.; Saravanan, V.S.; Santhanakrishnan, P. Microbacterium azadirachtae sp. nov., a plant-growth-promoting actinobacterium isolated from the rhizoplane of neem seedlings. Int. J. Syst. Evol. Microbiol. 2010, 60, 1687–1692. [Google Scholar] [CrossRef]
- Saif, S.; Khan, M.S.; Zaidi, A.; Ahmad, E. Role of Phosphate-Solubilizing Actinomycetes in Plant Growth Promotion: Current Perspective. In Phosphate Solubilizing Microorganisms; Khan, M., Zaidi, A., Musarrat, J., Eds.; Springer: Cham, Switzerland, 2014; pp. 137–156. [Google Scholar] [CrossRef]
- McGill, W.B.; Cole, C.V. Comparative aspects of cycling of organic C, N, S and P through soil organic matter. Geoderma 1981, 26, 267–268. [Google Scholar] [CrossRef]
- Schnepf, A.; Jones, D.; Roose, T. Modelling nutrient uptake by individual hyphae of arbuscular mycorrhizal fungi: Temporal and spatial scales for an experimental design. Bull. Math. Biol. 2011, 73, 2175–2200. [Google Scholar] [CrossRef]
- Begum, N.; Qin, C.; Ahanger, M.A.; Raza, S.; Khan, M.I.; Ashraf, M.; Zhang, L. Role of Arbuscular Mycorrhizal Fungi in Plant Growth Regulation: Implications in Abiotic Stress Tolerance. Front. Plant Sci. 2019, 10, 1068. [Google Scholar] [CrossRef]
- Bünemann, E.K. Assessment of gross and net mineralization rates of soil organic phosphorus—A review. Soil Biol. Biochem. 2015, 89, 82–98. [Google Scholar] [CrossRef]
- Tate, K.R. The biological transformation of P in soil. Plant Soil 1984, 76, 245–256. [Google Scholar] [CrossRef]
- Tamburini, F.; Pfahler, V.; Bunemann, E.K.; Guelland, K.; Bernasconi, S.M.; Frossard, E. Oxygen isotopes unravel the role of microorganisms in phosphate cycling in soils. Environ. Sci. Technol. 2012, 46, 5956–5962. [Google Scholar] [CrossRef] [PubMed]
- Tian, J.; Ge, F.; Zhang, D.; Deng, S.; Liu, X. Roles of Phosphate Solubilizing Microorganisms from Managing Soil Phosphorus Deficiency to Mediating Biogeochemical P Cycle. Biology 2021, 10, 158. [Google Scholar] [CrossRef] [PubMed]
- Nygren, C.M.R.; Rosling, A. Localisation of phosphomonoesterase activity in ectomycorrhizal fungi grown on different phosphorus sources. Mycorrhiza 2009, 19, 197–204. [Google Scholar] [CrossRef] [PubMed]
- Gandhi, N.U.; Chandra, S.B. A comparative analysis of three classes of bacterial non-specific Acid phosphatases and archaeal phosphoesterases: Evolutionary perspective. Acta Inform. Med. 2012, 20, 167–173. [Google Scholar] [CrossRef] [PubMed]
- Rejsek, K.; Vranova, V.; Formanek, P. Determination of the Proportion of Total Soil Extracellular Acid Phosphomonoesterase (E.C. 3.1.3.2) Activity Represented by Roots in the Soil of Different Forest Ecosystems. Sci. World J. 2012, 2012, 250805. [Google Scholar] [CrossRef]
- Liang, Y.; Li, M.; Pan, F.; Ma, J.; Yang, Z.; Ling, T.; Song, Z. Alkaline Phosphomonoesterase-Harboring Microorganisms Mediate Soil Phosphorus Transformation With Stand Age in Chinese Pinus massoniana Plantations. Front. Microbiol. 2020, 11, 67–76. [Google Scholar] [CrossRef] [PubMed]
- Gaiero, J.R.; Bent, E.; Fraser, T.D. Validating novel oligonucleotide primers targeting three classes of bacterial non-specific acid phosphatase genes in grassland soils. Plant Soil 2018, 427, 39–51. [Google Scholar] [CrossRef]
- Neal, A.L.; Blackwell, M.; Akkari, E. Phylogenetic distribution, biogeography and the effects of land management upon bacterial non-specific Acid phosphatase Gene diversity and abundance. Plant Soil 2018, 427, 175–189. [Google Scholar] [CrossRef]
- Fraser, T.D.; Lynch, D.H.; Gaiero, J.; Khosla, K.; Dunfield, K.E. Quantification of bacterial non-specific acid (phoC) and alkaline (phoD) phosphatase genes in bulk and rhizosphere soil from organically managed soybean fields. Appl. Soil Ecol. 2017, 111, 48–56. [Google Scholar] [CrossRef]
- Singh, B.; Satyanarayana, T. Microbial phytases in phosphorus acquisition and plant growth promotion. Physiol. Mol. Biol. Plants 2011, 17, 93–103. [Google Scholar] [CrossRef] [PubMed]
- Azeem, M.; Riaz, A.; Chaudhary, A.N.; Hayat, R.; Hussain, Q.; Tahir, M.I.; Imran, M. Microbial phytase activity and their role in organic P mineralization. Arch. Agron. Soil Sci. 2014, 61, 751–766. [Google Scholar] [CrossRef]
- Kour, D.; Kaur, T.; Yadav, N.; Rastegari, A.A.; Singh, B.; Kumar, V.; Yadav, A.N. Chapter 10—Phytases from microbes in phosphorus acquisition for plant growth promotion and soil health. In New and Future Developments in Microbial Biotechnology and Bioengineering; Rastegari, A.A., Yadav, A.N., Yadav, N., Eds.; Elsevier: Amsterdam, The Netherlands, 2020; pp. 157–176. [Google Scholar] [CrossRef]
- Sadaf, N.; Muhammad, Z.H.; Naeem, I.; Muyassar, H.A.; Aishah, A. Harnessing the Phytase Production Potential of Soil-Borne Fungi from Wastewater Irrigated Fields Based on Eco-Cultural Optimization under Shake Flask Method. Agriculture 2022, 12, 103. [Google Scholar] [CrossRef]
- Wang, X.X.; Hoffland, E.; Feng, G.; Kuyper, T.W. Phosphate Uptake from Phytate Due to Hyphae-Mediated Phytase Activity by Arbuscular Mycorrhizal Maize. Front. Plant Sci. 2017, 8, 684. [Google Scholar] [CrossRef] [PubMed]
- Kamat, S.S.; Raushel, F.M. The enzymatic conversion of phosphonates to phosphate by bacteria. Curr. Opin. Chem. Biol. 2013, 17, 589–596. [Google Scholar] [CrossRef] [PubMed]
- Kafarski, P. Phosphonates: Their Natural Occurrence and Physiological Role. In Contemporary Topics about Phosphorus in Biology and Materials; Churchill, D.G., Sikirić, M.D., Čolović, B., Milhofer, H.F., Eds.; IntechOpen: London, UK, 2020. [Google Scholar] [CrossRef]
- Horsak, R.D.; Bedient, P.B.; Hamilton, M.C.; Thomas, F.B. Pesticides. Environ. Forensics 1964, 143–165. [Google Scholar] [CrossRef]
- Singh, B.K.; Walker, A. Microbial degradation of organophosphorus compounds. FEMS Microbiol. Rev. 2006, 30, 428–471. [Google Scholar] [CrossRef]
- Kanissery, R.; Gairhe, B.; Kadyampakeni, D.; Batuman, O.; Alferez, F. Glyphosate: Its Environmental Persistence and Impact on Crop Health and Nutrition. Plants 2019, 8, 499. [Google Scholar] [CrossRef] [PubMed]
- Hagner, M.; Mikola, J.; Saloniemi, I. Effects of a glyphosate-based herbicide on soil animal trophic groups and associated ecosystem functioning in a northern agricultural field. Sci. Rep. 2019, 9, 8540. [Google Scholar] [CrossRef]
- Helander, M.; Pauna, A.; Saikkonen, K. Glyphosate residues in soil affect crop plant germination and growth. Sci. Rep. 2019, 9, 19653. [Google Scholar] [CrossRef]
- Kryuchkova, Y.V.; Burygin, G.L.; Gogoleva, N.E.; Gogolev, Y.V.; Chernyshova, M.P.; Makarov, O.E.; Turkovskaya, O.V. Isolation and characterization of a glyphosate-degrading rhizosphere strain, Enterobacter cloacae K7. Microbiol. Res. 2014, 169, 99–105. [Google Scholar] [CrossRef]
- Chávez-Ortiz, P.; Tapia-Torres, Y.; Larsen, J.; García-Oliva, F. Glyphosate-based herbicides alter soil carbon and phosphorus dynamics and microbial activity. Appl. Soil Ecol. 2022, 169, 104256. [Google Scholar] [CrossRef]
- Stosiek, N.; Talma, M.; Klimek-Ochab, M. Carbon-Phosphorus Lyase—The State of the Art. Appl. Biochem. Biotechnol. 2020, 190, 1525–1552. [Google Scholar] [CrossRef] [PubMed]
- Seweryn, P.; Van, L.B.; Kjeldgaard, M.; Russo, C.J.; Passmore, L.A.; Hove-Jensen, B.; Jochimsen, B.; Brodersen, D.E. Structural insights into the bacterial carbon-phosphorus lyase machinery. Nature 2015, 525, 68–72. [Google Scholar] [CrossRef] [PubMed]
- Villarreal-Chiu, J.F. The genes and enzymes of phosphonate metabolism by bacteria, and their distribution in the marine environment. Front. Microbiol. 2012, 3, 19. [Google Scholar] [CrossRef] [PubMed]
- Manav, M.C.; Sofos, N.; Hove-Jensen, B.; Brodersen, D.E. The Abc of Phosphonate Breakdown: A Mechanism for Bacterial Survival. BioEssays 2018, 40, 800091. [Google Scholar] [CrossRef]
- Smeck, N.E. Phosphorus dynamics in soils and landscapes. Geoderma 1985, 36, 185–199. [Google Scholar] [CrossRef]
- Kome, G.; Enang, R.; Tabi, F.; Yerima, B. Influence of Clay Minerals on Some Soil Fertility Attributes: A Review. Open J. Soil Sci. 2019, 9, 155–188. [Google Scholar] [CrossRef]
- Brady, N.C.; Weil, R.R. The Nature and Properties of Soils, 13th ed.; Pearson Education Inc.: Upper Saddle River, NJ, USA, 2002. [Google Scholar]
- Johan, P.D.; Ahmed, O.H.; Omar, L.; Hasbullah, N.A. Phosphorus Transformation in Soils Following Co-Application of Charcoal and Wood Ash. Agronomy 2021, 11, 2010. [Google Scholar] [CrossRef]
- Marra, L.M.; de Oliveira-Longatti, S.M.; Soares, C.R.F.S.; Olivares, F.L.; Moreira, F.M.S. The Amount of Phosphate Solubilization Depends on the Strain, C-Source, Organic Acids and Type of Phosphate. Geomicrobiol. J. 2019, 36, 232–242. [Google Scholar] [CrossRef]
- Duebel, A.; Gransee, A.; Merbach, W. Transformation of organic rhizodeposits by rhizoplane bacteria and its influence on the availability of tertiary calcium phosphate. J. Plant Nutr. Soil Sci. 2000, 163, 387–392. [Google Scholar] [CrossRef]
- Satyaprakash, M.; Nikitha, T.; Reddi, E.U.B.; Sadhana, B.; Vani, S.S. Phosphorous and phosphate solubilising bacteria and their role in plant nutrition. Int. J. Curr. Microbiol. Appl. Sci. 2017, 6, 2133–2144. [Google Scholar] [CrossRef]
- Kumar, A.; Kumar, A.; Patel, H. Role of microbes in phosphorus availability and acquisition by plants. Int. J. Curr. Microbiol. Appl. Sci. 2018, 7, 1344–1347. [Google Scholar] [CrossRef]
- Mander, C.; Wakelin, S.; Young, S.; Condron, L.; O’Callaghan, M. Incidence and diversity of phosphate-solubilising bacteria are linked to phosphorus status in grassland soils. Soil Biol. Biochem. 2012, 44, 93–101. [Google Scholar] [CrossRef]
- Wei, Y.; Zhao, Y.; Shi, M.; Cao, Z.; Lu, Q.; Yang, T.; Wei, Z. Effect of organic acids production and bacterial community on the possible mechanism of phosphorus solubilization during composting with enriched phosphate-solubilizing bacteria inoculation. Bioresour. Technol. 2018, 247, 190–199. [Google Scholar] [CrossRef]
- Kishore, N.; Pindi, P.K.; Reddy, S.R. Phosphate-solubilizing microorganisms: A critical review. In Plant Biology and Biotechnology; Bahadur, B., Venkat Rajam, M., Sahijram, L., Krishnamurthy, K., Eds.; Springer: New Delhi, India, 2015; pp. 307–333. [Google Scholar] [CrossRef]
- Prabhu, N.; Borkar, S.; Garg, S. Phosphate solubilization by microorganisms. Adv. Biol. Res. 2019, 161–176. [Google Scholar] [CrossRef]
- Mendes, G.O.; Murta, H.M.; Valadares, R.V.; Silveira, W.B.; Silva, I.R.; Costa, M.D. Oxalic acid is more efficient than sulfuric acid for rock phosphate solubilization. Miner. Eng. 2020, 155, 106458. [Google Scholar] [CrossRef]
- Patel, D.K.; Archana, G.; Kumar, G.N. Variation in the Nature of Organic Acid Secretion and Mineral Phosphate Solubilization by Citrobacter sp. DHRSS in the Presence of Different Sugars. Curr Microbiol. 2008, 56, 168–174. [Google Scholar] [CrossRef] [PubMed]
- Kim, K.; McDonald, G.; Jordan, D. Solubilization of hydroxyapatite by Enterobacter agglomerans and cloned Escherichia coli in culture medium. Biol. Fertil. Soils 1997, 24, 347–352. [Google Scholar] [CrossRef]
- Khan, M.S.; Zaidi, A.; Wani, P.A. Role of phosphate-solubilizing microorganisms in sustainable agriculture—A review. Agron. Sustain. Dev. 2007, 27, 29–43. [Google Scholar] [CrossRef]
- Siddique, R.; Gul, A.; Ozturk, M.; Altay, V. Phosphate Solubilizing Bacteria for Soil Sustainability. In Handbook of Assisted and Amendment-Enhanced Sustainable Remediation Technology; Prasad, M.N., Ed.; Willey: Telangana, India, 2021; pp. 425–432. [Google Scholar] [CrossRef]
- Cantin, P.; Karam, A.; Guay, R. Solubilization of Phosphorus from Apatite by Sulfuric Acid Produced from the Microbiological Oxidation of Sulfur. In Effect of Mineral-Organic-Microorganism Interactions on Soil and Freshwater Environments; Berthelin, J., Huang, P.M., Bollag, J.M., Andreux, F., Eds.; Springer: Boston, MA, USA, 1999; pp. 247–252. [Google Scholar] [CrossRef]
- Zhu, F.; Qu, L.; Hong, X.; Sun, X. Isolation and Characterization of a Phosphate-Solubilizing Halophilic Bacterium Kushneria sp. YCWA18 from Daqiao Saltern on the Coast of Yellow Sea of China. Evid. Based Complement. Altern. Med. 2011, 2011, 615032. [Google Scholar] [CrossRef]
- Verma, V.; Joshi, K.; Mazumdar, B. Study of Siderophore Formation in Nodule-Forming Bacterial Species. Res. J. Chem. Sci. 2012, 2, 26–29. [Google Scholar]
- Rizvi, A.; Ahmed, B.; Khan, M.S.; Umar, S.; Lee, J. Sorghum-Phosphate Solubilizers Interactions: Crop Nutrition, Biotic Stress Alleviation, and Yield Optimization. Front. Plant Sci. 2021, 12, 746780. [Google Scholar] [CrossRef] [PubMed]
- Cooper, S.R.; McArdle, J.V.; Raymond, K.N. Siderophore electrochemistry: Relation to intracellular iron release mechanism. Proc. Natl. Acad. Sci. USA 1978, 75, 3551–3554. [Google Scholar] [CrossRef]
- Jyothi, V.; Sowmya, H.V.; Thippeswamy, B. Siderophore production by phosphate solubilizing fungi from rhizospheric soil of medicinal plants. Int. J. Biol. Biotechnol. 2020, 17, 599–606. [Google Scholar]
- Cui, K.; Xu, T.; Chen, J.; Yang, H.; Liu, X.; Zhuo, R.; Peng, Y.; Tang, W.; Wang, R.; Chen, L. Siderophores, a potential phosphate solubilizer from the endophyte Streptomyces sp. CoT10, improved phosphorus mobilization for host plant growth and rhizosphere modulation. J. Clean. Prod. 2022, 367, 133110. [Google Scholar] [CrossRef]
- Yi, Y.; Huang, W.; Ge, Y. Exopolysaccharide: A novel important factor in the microbial dissolution of tricalcium phosphate. World J. Microbiol. Biotechnol. 2007, 24, 1059–1065. [Google Scholar] [CrossRef]
- Prabhu, N.; Borkar, S.; Garg, S. Phosphate Solubilization Mechanisms in Alkaliphilic Bacterium Bacillus marisflavi FA7. Curr. Sci. 2018, 114, 845–853. [Google Scholar] [CrossRef]
- Kailasam, S.; Arumugam, S.; Balaji, K.; Kanth, S.V. Adsorption of chromium by exopolysaccharides extracted from lignolytic phosphate solubilizing bacteria. Int. J. Biol. Macromol. 2022, 206, 788–798. [Google Scholar] [CrossRef]
- Ochoa-Loza, F.J.; Artiola, J.F.; Maier, R.M. Stability constants for the complexation of various metals with a rhamnolipid biosurfactant. J. Environ. Qual. 2001, 30, 479–485. [Google Scholar] [CrossRef]
- Mohite, B.V.; Koli, S.H.; Narkhede, C.P. Prospective of Microbial Exopolysaccharide for Heavy Metal Exclusion. Appl. Biochem. Biotechnol. 2017, 183, 582–600. [Google Scholar] [CrossRef]
- Gaind, S. Phosphate dissolving fungi: Mechanism and application in alleviation of salt stress in wheat. Microbiol. Res. 2016, 193, 94–102. [Google Scholar] [CrossRef] [PubMed]
- Matos, A.D.M.; Gomes, I.C.P.; Nietsche, S.; Xavier, A.A.; Gomes, W.S.; dos Santos Neto, J.A.; Pereira, M.C.T. Phosphate solubilization by endophytic bacteria isolated from banana trees. An. Acad. Bras. Cienc. 2017, 89, 2945–2954. [Google Scholar] [CrossRef] [PubMed]
- Arcand, M.M.; Schneider, K.D. Plant- and microbial-based mechanisms to improve the agronomic effectiveness of phosphate rock: A review. An. Acad. Bras. Cienc. 2006, 78, 791–807. [Google Scholar] [CrossRef] [PubMed]
- Öğüt, M.; Er, F.; Neumann, G. Increased proton extrusion of wheat roots by inoculation with phosphorus solubilising microorganims. Plant Soil 2011, 339, 285–297. [Google Scholar] [CrossRef]
- Habte, M.; Osorio, N.W. Effect of Nitrogen Form on the Effectiveness of a Phosphate-Solubilizing Fungus to Dissolve Rock Phosphate. J Biofertil. Biopestic. 2012, 3, 127. [Google Scholar] [CrossRef]
- Florentino, A.P.; Weijma, J.; Stams, A.J.; Sanchez-Andrea, I. Ecophysiology and application of acidophilic sulfur-reducing microorganisms. In Biotechnology of Extremophiles: Grand Challenges in Biology and Biotechnology; Rampelotto, P., Ed.; Springer: Cham, Switzerland, 2016; Volume 1, pp. 141–175. [Google Scholar] [CrossRef]
- Sperber, J. Release of Phosphate from Soil Minerals by Hydrogen Sulphide. Nature 1958, 181, 934. [Google Scholar] [CrossRef]
- Wilfert, P.; Meerdink, J.; Degaga, B.; Temmink, H.; Korving, L.; Witkamp, G.J.; van Loosdrecht, M.C.M. Sulfide induced phosphate release from iron phosphates and its potential for phosphate recovery. Water Res. 2020, 171, 115389. [Google Scholar] [CrossRef]
- Chen, J.; Zhao, G.; Wei, Y. Isolation and screening of multifunctional phosphate solubilizing bacteria and its growth-promoting effect on Chinese fir seedlings. Sci Rep. 2021, 11, 9081. [Google Scholar] [CrossRef]
- Zutter, N.; Maarten, A.; Pieter, V.; Verwaeren, J.; Leen, D.G.; Kris, A. Innovative Rhizosphere-Based Enrichment under P-Limitation Selects for Bacterial Isolates with High-Performance P-Solubilizing Traits. Microbiol. Spectr. 2022, 10, e02052-22. [Google Scholar] [CrossRef]
- Singh, T.B.; Sahai, V.; Ali, A.; Prasad, M.; Yadav, A.; Shrivastav, P.; Goyal, D.; Dantu, P.K. Screening and evaluation of PGPR strains having multiple PGP traits from the hilly terrain. J. Appl. Biol. Biotechnol. 2020, 8, 38–44. [Google Scholar] [CrossRef]
- Song, O.R.; Lee, S.J.; Lee, Y.S.; Lee, S.C.; Kim, K.K.; Choi, Y.L. Solubilization of insoluble inorganic phosphate by Burkholderia cepacia DA23 isolated from cultivated soil. Braz. J. Microbiol. 2008, 39, 151–156. [Google Scholar] [CrossRef] [PubMed]
- Sashidhar, B.; Podile, A.R. Mineral phosphate solubilization by rhizosphere bacteria and scope for manipulation of the direct oxidation pathway involving glucose dehydrogenase. J. Appl. Microbiol. 2010, 109, 1–12. [Google Scholar] [CrossRef]
- Mei, C.; Chretien, R.L.; Amaradasa, B.S.; He, Y.; Turner, A.; Lowman, S. Characterization of Phosphate Solubilizing Bacterial Endophytes and Plant Growth Promotion In Vitro and in Greenhouse. Microorganisms 2021, 9, 1935. [Google Scholar] [CrossRef] [PubMed]
- Rasul, M.; Yasmin, S.; Suleman, M.; Zaheer, A.; Reitz, T.; Tarkka, M.T.; Islam, E.; Sajjad, M.M. Glucose dehydrogenase gene containing phosphobacteria for biofortification of Phosphorus with growth promotion of rice. Microbiol. Res. 2019, 223–225, 1–12. [Google Scholar] [CrossRef] [PubMed]
- Bharwad, K.; Rajkumar, S. Modulation of PQQ-dependent glucose dehydrogenase (mGDH and sGDH) activity by succinate in phosphate solubilizing plant growth promoting Acinetobacter sp. SK2. 3 Biotech 2020, 10, 5. [Google Scholar] [CrossRef]
- Iyer, B.; Rajkumar, S. Succinate irrepressible periplasmic glucose dehydrogenase of Rhizobium sp. Td3 and SN1 contributes to its phosphate solubilization ability. Arch. Microbiol. 2019, 201, 649–659. [Google Scholar] [CrossRef]
- Singh, R.K.; Singh, P.; Li, H.B. Diversity of nitrogen-fixing rhizobacteria associated with sugarcane: A comprehensive study of plant-microbe interactions for growth enhancement in Saccharum spp. BMC Plant Biol. 2020, 20, 220. [Google Scholar] [CrossRef]
- Kudoyarova, G.; Arkhipova, T.; Korshunova, T.; Bakaeva, M.; Loginov, O.; Dodd, I.C. Phytohormone Mediation of Interactions Between Plants and Non-Symbiotic Growth Promoting Bacteria Under Edaphic Stresses. Front. Plant Sci. 2019, 10, 1368. [Google Scholar] [CrossRef]
- Nadal, M.C.; Ferreira, G.M.R.; Andrade, G.V.S.; Buttrós, V.H.; Rodrigues, F.A.; Silva, C.M.; Martins, A.D.; Rufato, L.; Luz, J.M.Q.; Dória, J.; et al. Endophytic Bacteria Can Replace the Need for Synthetic Auxin during In Vitro Rooting of Pyrus communis. Agronomy 2022, 12, 1226. [Google Scholar] [CrossRef]
- Marulanda, A.; Barea, J.M.; Azcón, R. Stimulation of Plant Growth and Drought Tolerance by Native Microorganisms (AM Fungi and Bacteria) from Dry Environments: Mechanisms Related to Bacterial. J. Plant Growth Regul. 2009, 28, 115–124. [Google Scholar] [CrossRef]
- Zaheer, A.; Mirza, B.S.; Mclean, J.E.; Yasmin, S.; Shah, T.M.; Malik, K.A.; Mirza, M.S. Association of plant growth-promoting Serratia spp. with the root nodules of chickpea. Res. Microbiol. 2016, 167, 510–520. [Google Scholar] [CrossRef] [PubMed]
- Tyc, O.; Song, C.; Dickschat, J.S.; Vos, M.; Garbeva, P. The Ecological Role of Volatile and Soluble Secondary Metabolites Produced by Soil Bacteria. Trends Microbiol. 2017, 25, 280–292. [Google Scholar] [CrossRef] [PubMed]
- Moura, G.G.D.; Barros, A.V.; Machado, F.; Martins, A.D.; Silva, C.M.; Durango, L.G.C.; Forim, M.; Alves, E.; Pasqual, M.; Dória, J. Endophytic bacteria from strawberry plants control gray mold in fruits via production of antifungal compounds against Botrytis cinerea L. Microbiol. Res. 2021, 251, 126793. [Google Scholar] [CrossRef]
- Rani, M.; Weadge, J.T.; Jabaji, S. Isolation and Characterization of Biosurfactant-Producing Bacteria From Oil Well Batteries With Antimicrobial Activities Against Food-Borne and Plant Pathogens. Front. Microbiol. 2020, 11, 64. [Google Scholar] [CrossRef] [PubMed]
- Buttrós, V.H.; Araújo, N.A.F.; D’Ávila, V.A.; Pereira, M.M.A.; Melo, D.S.; Pasqual, M.; Dória, J. A Little Helper: Beneficial Bacteria with Growth-Promoting Mechanisms Can Reduce Asian Soybean Rust Severity in a Cell-Free Formulation. Agronomy 2022, 12, 2635. [Google Scholar] [CrossRef]
- Araújo, R.C.; Ribeiro, M.S.; Rodrigues, F.A.; Silva, B.S.; Dória, J.; Pasqual, M. Association of growth-promoting bacteria and hydroponic system aiming at reducing the time of production of banana seedlings. Arch. Agron. Soil Sci. 2022, 1–14. [Google Scholar] [CrossRef]
- Silva, L.I.; Oliveira, I.P.; Jesus, E.C.; Pereira, M.C.; Pasqual, M.; Araújo, R.C.; Dória, J. Fertilizer of the Future: Beneficial Bacteria Promote Strawberry Growth and Yield and May Reduce the Need for Chemical Fertilizer. Agronomy 2022, 12, 2465. [Google Scholar] [CrossRef]
- Moura, G.G.D.; Barros, A.V.; Machado, F.; Silva, C.M.; Lienke, C.; Petters-Vandresen, D.A.L.; Alves, E.; Schwan, R.F.; Pasqual, M.; Dória, J. The Friend Within: Endophytic Bacteria as a Tool for Sustainability in Strawberry Crops. Microorganisms 2022, 10, 2341. [Google Scholar] [CrossRef]
- Liu, J.; Liu, X.; Zhang, Q.; Li, S.; Sun, Y.; Lu, W.; Ma, C. Response of alfalfa growth to arbuscular mycorrhizal fungi and phosphate-solubilizing bacteria under different phosphorus application levels. AMB Express 2020, 10, 200. [Google Scholar] [CrossRef]
- Liu, F.P.; Liu, H.Q.; Zhou, H.L.; Dong, Z.G.; Bai, X.H.; Bai, P.; Qiao, J.J. Isolation and characterization of phosphate-solubilizing bacteria from betel nut (Areca catechu) and their effects on plant growth and phosphorus mobilization in tropical soils. Biol. Fertil. Soils 2014, 50, 927–937. [Google Scholar] [CrossRef]
- Abdelmoteleb, A.; Gonzalez-Mendoza, D. Isolation and Identification of Phosphate Solubilizing Bacillus spp. from Tamarix ramosissima Rhizosphere and Their Effect on Growth of Phaseolus vulgaris Under Salinity Stress. Geomicrobiol. J. 2020, 37, 901–908. [Google Scholar] [CrossRef]
- Ahmad, M.; Ahmad, I.; Hilger, T.H.; Nadeem, S.M.; Akhtar, M.F.; Jamil, M. Preliminary study on phosphate solubilizing Bacillus subtilis strain Q3 and Paenibacillus sp. strain Q6 for improving cotton growth under alkaline conditions. PeerJ 2018, 6, e5122. [Google Scholar] [CrossRef] [PubMed]
- Li, H.; Ding, X.; Chen, C.; Zheng, X.; Han, H.; Li, C.; Li, J. Enrichment of phosphate solubilizing bacteria during late developmental stages of eggplant (Solanum melongena L.). FEMS Microbiol. Ecol. 2019, 95, fiz023. [Google Scholar] [CrossRef] [PubMed]
- Adnan, M.; Fahad, S.; Zamin, M.; Shah, S.; Mian, I.A.; Danish, S.; Zafar-ul-Hye, M.; Battaglia, M.L.; Naz, R.M.M.; Saeed, B.; et al. Coupling Phosphate-Solubilizing Bacteria with Phosphorus Supplements Improve Maize Phosphorus Acquisition and Growth under Lime Induced Salinity Stress. Plants 2020, 9, 900. [Google Scholar] [CrossRef]
- Shen, M.; Li, J.; Dong, Y.; Liu, H.; Peng, J.; Hu, Y.; Sun, Y. Profiling of Plant Growth-Promoting Metabolites by Phosphate-Solubilizing Bacteria in Maize Rhizosphere. Plants 2021, 10, 1071. [Google Scholar] [CrossRef]
- Li, H.; Wang, Y.; Fu, J.; Hu, S.; Qu, J. Degradation of acetochlor and beneficial effect of phosphate-solubilizing Bacillus sp. ACD-9 on maize seedlings. 3 Biotech 2020, 10, 67. [Google Scholar] [CrossRef]
- Batista, B.D.; Lacava, P.T.; Ferrari, A.; Teixeira-Silva, N.S.; Bonatelli, M.L.; Tsui, S.; Quecine, M.C. Screening of tropically derived, multi-trait plant growth- promoting rhizobacteria and evaluation of corn and soybean colonization ability. Microbiol. Res. 2018, 206, 33–42. [Google Scholar] [CrossRef]
- Mosela, M.; Andrade, G.; Massucato, L.R. Bacillus velezensisstrain Ag75 as a new multifunctional agent for biocontrol, phosphate solubilization and growth promotion in maize and soybean crops. Sci. Rep. 2022, 12, 15284. [Google Scholar] [CrossRef]
- Lucero, C.T.; Lorda, G.S.; Anzuay, M.S.; Ludueña, L.M.; Taurian, T. Peanut Endophytic Phosphate Solubilizing Bacteria Increase Growth and P Content of Soybean and Maize Plants. Curr. Microbiol. 2021, 78, 1961–1972. [Google Scholar] [CrossRef]
- Qiao, H.; Sun, X.R.; Wu, X.Q.; Li, G.E.; Wang, Z.; Li, D.W. The phosphate-solubilizing ability of Penicillium guanacastense and its effects on the growth of Pinus massoniana in phosphate-limiting conditions. Biol. Open. 2019, 8, bio046797. [Google Scholar] [CrossRef]
- Biswas, J.K.; Banerjee, A.; Rai, M.; Naidu, R.; Biswas, B.; Vithanage, M.; Meers, E. Potential application of selected metal resistant phosphate solubilizing bacteria isolated from the gut of earthworm (Metaphire posthuma) in plant growth promotion. Geoderma 2018, 330, 117–124. [Google Scholar] [CrossRef]
- Tang, A.; Haruna, A.O.; Majid, N.M.A.; Jalloh, M.B. Potential PGPR Properties of Cellulolytic, Nitrogen-Fixing, Phosphate-Solubilizing Bacteria in Rehabilitated Tropical Forest Soil. Microorganisms 2020, 8, 442. [Google Scholar] [CrossRef] [PubMed]
- Jiang, H.; Li, S.; Wang, T.; Chi, X.; Qi, P.; Chen, G. Interaction Between Halotolerant Phosphate-Solubilizing Bacteria (Providencia rettgeri Strain TPM23) and Rock Phosphate Improves Soil Biochemical Properties and Peanut Growth in Saline Soil. Front. Microbiol. 2021, 12, 777351. [Google Scholar] [CrossRef] [PubMed]
- Yañez-Ocampo, G. Isolated Phosphate-Solubilizing Soil Bacteria Promotes In vitro Growth of Solanum tuberosum L. Pol. J. Microbiol. 2020, 69, 357–365. [Google Scholar] [CrossRef] [PubMed]
- Mahdi, I.; Fahsi, N.; Hafidi, M.; Allaoui, A.; Biskri, L. Plant Growth Enhancement using Rhizospheric Halotolerant Phosphate Solubilizing Bacterium Bacillus licheniformis QA1 and Enterobacter asburiae QF11 Isolated from Chenopodium quinoa Willd. Microorganisms 2020, 8, 948. [Google Scholar] [CrossRef] [PubMed]
- Valetti, L.; Iriarte, L.; Fabra, A. Growth promotion of rapeseed (Brassica napus) associated with the inoculation of phosphate solubilizing bacteria. Appl. Soil Ecol. 2018, 132, 1–10. [Google Scholar] [CrossRef]
- Adhikari, A.; Lee, K.E.; Khan, M.A.; Kang, S.M.; Adhikari, B.; Imran, M.; Jan, R.; Kim, K.M.; Lee, I.J. Effect of Silicate and Phosphate Solubilizing Rhizobacterium Enterobacter ludwigii GAK2 on Oryza sativa L. under Cadmium Stress. J. Microbiol. Biotechnol. 2020, 30, 118–126. [Google Scholar] [CrossRef]
- Zhang, T.; Hu, F.; Ma, L. Phosphate-solubilizing Bacteria from Safflower Rhizosphere and their Effect on Seedling Growth. Open Life Sci. 2019, 10, 246–254. [Google Scholar] [CrossRef]
- Bononi, L.; Chiaramonte, J.B.; Pansa, C.C.; Moitinho, M.A.; Melo, I.S. Phosphorus-solubilizing Trichoderma spp. from Amazon soils improve soybean plant growth. Sci. Rep. 2020, 10. [Google Scholar] [CrossRef]
- He, D.; Wan, W. Phosphate-Solubilizing Bacterium Acinetobacter pittii gp-1 Affects Rhizosphere Bacterial Community to Alleviate Soil Phosphorus Limitation for Growth of Soybean (Glycine max). Front. Microbiol. 2021, 12, 737116. [Google Scholar] [CrossRef]
- Nacoon, S.; Jogloy, S.; Riddech, N.; Mongkolthanaruk, W.; Kuyper, T.W.; Boonlue, S. Interaction between Phosphate Solubilizing Bacteria and Arbuscular Mycorrhizal Fungi on Growth Promotion and Tuber Inulin Content of Helianthus tuberosus L. Sci. Rep. 2020, 10, 4916. [Google Scholar] [CrossRef] [PubMed]
- Nacoon, S.; Jogloy, S.; Riddech, N.; Mongkolthanaruk, W.; Ekprasert, J.; Cooper, J. Combination of arbuscular mycorrhizal fungi and phosphate solubilizing bacteria on growth and production of Helianthus tuberosus under field condition. Sci. Rep. 2021, 11, 6501. [Google Scholar] [CrossRef] [PubMed]
- Wu, F.; Li, J.; Chen, Y.; Zhang, L.; Zhang, Y.; Wang, S.; Liang, J. Effects of Phosphate Solubilizing Bacteria on the Growth, Photosynthesis, and Nutrient Uptake of Camellia oleifera Abel. Forests 2019, 10, 348. [Google Scholar] [CrossRef]
- Tchakounté, G.V.T.; Berger, B.; Patz, S.; Becker, M.; Fankem, H.; Taffouo, V.D.; Ruppel, S. Selected Rhizosphere Bacteria Help Tomato Plants Cope with Combined Phosphorus and Salt Stresses. Microorganisms 2020, 8, 844. [Google Scholar] [CrossRef] [PubMed]
- Kim, J.H.; Kim, S.J.; Nam, I.H. Effect of Treating Acid Sulfate Soils with Phosphate Solubilizing Bacteria on Germination and Growth of Tomato (Lycopersicon esculentum L.). Int. J. Environ. Res. Public Health 2021, 18, 8919. [Google Scholar] [CrossRef] [PubMed]
- Sharma, S.; Compant, S.; Ballhausen, M.B.; Ruppel, S.; Franken, P. The interaction between Rhizoglomus irregulare and hyphae attached phosphate solubilizing bacteria increases plant biomass of Solanum lycopersicum. Microbiol. Res. 2020, 240, 126556. [Google Scholar] [CrossRef] [PubMed]
- Kumar, P.; Aeron, A.; Shaw, N.; Singh, A.; Bajpai, V.K.; Pant, S.; Dubey, R.C. Seed bio-priming with tri-species consortia of phosphate solubilizing rhizobacteria (PSR) and its effect on plant growth promotion. Heliyon 2020, 6, e05701. [Google Scholar] [CrossRef]
- Yahya, M.; Islam, E.; Rasul, M.; Farooq, I.; Mahreen, N.; Tawab, A.; Irfan, M.; Rajput, L.; Amin, I.; Yasmin, S. Differential Root Exudation and Architecture for Improved Growth of Wheat Mediated by Phosphate Solubilizing Bacteria. Front. Microbiol. 2021, 12, 744094. [Google Scholar] [CrossRef]
- Tahir, M.; Khalid, U.; Ijaz, M.; Shah, G.M.; Naeem, M.A.; Shahid, M. Combined application of bio-organic phosphate and phosphorus solubilizing bacteria (Bacillus strain MWT 14) improve the performance of bread wheat with low fertilizer input under an arid climate. Braz. J. Microbiol. 2018, 49, 15–24. [Google Scholar] [CrossRef]
- Boubekri, K.; Soumare, A.; Mardad, I.; Lyamlouli, K.; Hafidi, M.; Ouhdouch, Y.; Kouisni, L. The Screening of Potassium- and Phosphate-Solubilizing Actinobacteria and the Assessment of Their Ability to Promote Wheat Growth Parameters. Microorganisms 2021, 9, 470. [Google Scholar] [CrossRef]
- Prakash, J.; Arora, N.K. Phosphate-solubilizing Bacillus sp. enhances growth, phosphorus uptake and oil yield of Mentha arvensis L. 3 Biotech 2019, 9, 126. [Google Scholar] [CrossRef] [PubMed]
- Joshi, S.K.; Guaraha, A.K. Global biofertilizer market: Emerging trends and opportunities. In Developments in Applied Microbiology and Biotechnology, Trends of Applied Microbiology for Sustainable Economy; Soni, R., Suyal, D.P., Yadav, A.N., Goel, R., Eds.; Academic Press: Cambridge, MA, USA, 2022; pp. 689–697. [Google Scholar] [CrossRef]
- Pirttilä, A.M.; Mohammad Parast Tabas, H.; Baruah, N.; Koskimäki, J.J. Biofertilizers and Biocontrol Agents for Agriculture: How to Identify and Develop New Potent Microbial Strains and Traits. Microorganisms 2021, 9, 817. [Google Scholar] [CrossRef] [PubMed]
- Owen, D.; Williams, A.P.; Griffith, G.W.; Withers, P.J.A. Use of commercial bio-inoculants to increase agricultural production through improved phosphrous acquisition. Appl. Soil Ecol. 2015, 86, 41–54. [Google Scholar] [CrossRef]
- Mącik, M.; Agata, G.; Magdalena, F. Biofertilizers in agriculture: An overview on concepts, strategies and effects on soil microorganisms. In Advances in Agronomy; Sparks, D.L., Ed.; Academic Press: Cambridge, MA, USA, 2020; Volume 162, pp. 31–87. [Google Scholar] [CrossRef]
- Jokkaew, S.; Jantharadej, K.; Pokhum, C.; Chawengkijwanich, C.; Suwannasilp, B.B. Free and Encapsulated Phosphate-Solubilizing Bacteria for the Enhanced Dissolution of Swine Wastewater-Derived Struvite—An Attractive Approach for Green Phosphorus Fertilizer. Sustainability 2022, 14, 12627. [Google Scholar] [CrossRef]
- Cheng, Y.; Wan, W. Alkaline phosphomonoesterase-harboring bacteria facilitate phosphorus availability during winter composting with different animal manures. J. Clean. Prod. 2022, 376, 134299. [Google Scholar] [CrossRef]
Disclaimer/Publisher’s Note: The statements, opinions and data contained in all publications are solely those of the individual author(s) and contributor(s) and not of MDPI and/or the editor(s). MDPI and/or the editor(s) disclaim responsibility for any injury to people or property resulting from any ideas, methods, instructions or products referred to in the content. |
© 2023 by the authors. Licensee MDPI, Basel, Switzerland. This article is an open access article distributed under the terms and conditions of the Creative Commons Attribution (CC BY) license (https://creativecommons.org/licenses/by/4.0/).







