Next Article in Journal
Salinity Threshold of Tall Wheatgrass for Cultivation in Coastal Saline and Alkaline Land
Previous Article in Journal
The Effect of Using Augmented Reality Technology in Takeaway Food Packaging to Improve Young Consumers’ Negative Evaluations
 
 
Font Type:
Arial Georgia Verdana
Font Size:
Aa Aa Aa
Line Spacing:
Column Width:
Background:
Article

Biomass Fuel Production through Cultivation of Microalgae Coccomyxa dispar and Scenedesmus parvus in Palm Oil Mill Effluent and Simultaneous Phycoremediation

Bioprocess Technology Division, School of Industrial Technology, Universiti Sains Malaysia, Penang 11800, Malaysia
*
Author to whom correspondence should be addressed.
Agriculture 2023, 13(2), 336; https://doi.org/10.3390/agriculture13020336
Submission received: 28 December 2022 / Revised: 25 January 2023 / Accepted: 27 January 2023 / Published: 30 January 2023
(This article belongs to the Section Ecosystem, Environment and Climate Change in Agriculture)

Abstract

Palm oil mill effluent (POME) is a potential alternative sources of biomass fuel upon phycoremediation treatment using microorganisms. In this study, Coccomyxa dispar and Scenedesmus parvus, as acidophilic microalgae, were used to investigate growth and the production of biomass fuel from the cultivation of POME, as well the effectiveness of removing contaminants from POME. Individual cultivation was conducted at 26 ± 3 °C for 14 days under three growth modes (mixotrophic, heterotrophic, and autotrophic). To elucidate the potential phycoremediation properties, the characteristics of treated POME were compared, such as optical density (OD), cell dry weight (CDW), calorific energy values (CEV), chemical oxygen demand (COD), biochemical oxygen demand (BOD), carbon, hydrogen, and nitrogen (CHN) elemental analysis, including oil and grease content. S. parvus exhibits an outstanding growth profile for all growth modes compared to C. dispar, with measurements of 228.8, 37.08, and 118.2 mg/L observed at day 14 of cultivation. The highest CEV is 32.30 MJ/kg, which was obtained from S. parvus in the mixotrophic mode. Maximum removal efficiency for COD and BOD was 81% and 19% in the mixotrophic growth mode with S. parvus. These results pinpoint that S. parvus has the potential to be utilized for biomass fuel production with high CEV and effective POME phycoremediation.

1. Introduction

Malaysia is among the world’s primary agricultural producers of palm oil with annual exports worth USD 7.5 billion [1]. Palm oil is widely used in Malaysia, and the by-product of agriculture biomass that is generated has the potential to be valorized into value-added products such as renewable energy and biofeedstocks. Malaysia generates an average of 53 million m3 of POME yearly [1]. Palm oil mill effluent (POME) exists as an acidic substance with an unpleasant odor and high values of chemical oxygen demand (COD) (15,000–100,000 mg/L), biochemical oxygen demand (BOD) (10,250–43,750 mg/L), and total suspended solids (TSS) (5000–54,000). Other elements have also been reported, such as C 51.0%, O 35.3%, Na 0.0632%, Mg 1.09%, Al 0.215%, Si 0.552%, P 0.429%, S 0.553%, Cl 2.75%, K 6.77%, Ca 1.09%, Mn 0.0243%, Fe 0.141%, and Rb 0.0286% [2]. Moreover, POME exists as a form of brownish liquid sludge that contains mostly water and a trace percentage of oils and suspended solids from the sources of fruit debris [3]. Since POME contains a high concentration of nutrients, it will pose a eutrophication risk. Hence, the direct discharge of POME into the river will cause an unpleasant smell, water depletion, and aquatic pollution. Direct discharge on the land will cause clogging and inhibition of vegetation upon contact, thus necessitating sustainable and innovative POME treatment methods.
More than 85% of palm oil mills operating in Malaysia use ponding systems or a combination of digestive tanks and ponding systems for the treatment of POME [4,5]. However, this system produces approximately 28 m3 of biogas per ton of POME, comprising approximately 64% methane (CH4), 36% carbon dioxide (CO2), and 670−2500 ppm hydrogen sulphide (H2S) [6]. The large uncontrolled proportion of CH4 results from agricultural practices and the decay of organic wastes in waste landfills, and CO2 contributes to the emission of greenhouse gases (GHGs). Therefore, the palm oil mill industries have the responsibility to reduce GHG emission. Additionally, the ponding process requires a long hydraulic retention time (HRT) of approximately 66–115 days and large land areas and thus needs to be further optimized through the use of other chemical or physicochemical methods [7,8]. Therefore, the aim of this study is to emphasize the use of biological treatment methods in order to increase the efficiency of contaminant removal using microalgae.
Microalgae cultivation is preferred by many researchers owing to its photosynthetic metabolism and effective ability to capture CO2 approximately 10–50 times better than other terrestrial plants [9,10]. Thus, due to the remarkable ability to remove and assimilate contaminants, microalgae could possibly improve POME treatment and shorten HRT in conventional ponding treatment systems. Microalgae cultivation using POME to produce biomass and perform phycoremediation has been investigated and addressed in the past few years [11]. Previous research studies have reported isolated microalgae species, namely Chlamydomonas sp. UKM6 achieved a high specific growth rate of 1.353/day when grown in a medium of 12.5% (v/v) POME from the anaerobic pond, whereas the removal efficiency of total nitrogen (TN), ammoniacal nitrogen, and total phosphorus (TP) was 73%, 100%, and 64%, respectively [11]. A few papers have reported CO2 fixation rates via simulation [12].
Due to the depletion of petroleum reserves and pollution from the emitted gases caused by fossil diesel use, lipid-rich biological materials have gained significant attention recently as they have the potential to produce biomass and biodiesel. Microalgae bring a lot of advantages to POME treatment due to their unique characteristics and show multifaceted roles in wastewater treatment [13]. Many microalgae characteristics are suitable for the treatment of wastewater such as POME due to their high biomass yield and smaller land area requirements [14]. Furthermore, the ability of microalgae to utilize emitted CO2 for photosynthesis will offer a carbon neutral biofuel [15]. In this context, POME has an extremely high content of degradable organic matter due to the presence of palm oil residue and other nutrients. Thus, it is able to support the growth of microbial organisms such as microalgae.
Microalgae can undergo photosynthesis with the nutrients and phosphorous in POME, thus contributing to renewable and sustainable fuel production in the form of gas, liquids, and solids. This approach can fix the problem of a high amount of CO2 in the system by decreasing the CO2 level in the system through a photosynthesis process involving the microalgae [16]. For example, successful production of biomethane, biohydrogen, and bioethanol can be obtained via POME treatment using microalgae [17]. Recently, POME treatment using microalgae to produce biofuel appears to be a highly competitive tool due to global energy security issues [13]. Moreover, the high value of biofuel and bioactive compounds produced can be beneficial for the pharmaceutical and energy industries. However, the biomass content, lipid productivity, and fatty acid compositions of microalgae can affect the quality of biodiesel produced. Chlorella is the most common microalgae that has been applied to the treatment of POME, which is of major interest for the production of biodiesel feedstock due to its ability to accumulate large amount of lipids or oil under stress [18].
In this study, the biological treatment of POME with the use of microalgae not only aims to reduce contaminants, but also aims to achieve a high calorific energy value (CEV) biomass fuel, which is indicated by high carbon and hydrogen content [19]. Current commercially available biomass fuel has a considerably low CEV of 15–20 MJ/kg in comparison to coal, with the gross CEV of coal being approximately 32 MJ/kg [19]. Thus, in this study, it was expected that high CEVs would be achieved upon the utilization of POME as a biofeedstock during the cultivation process. Biological treatment of POME using various microalgae has demonstrated its effectiveness in terms of COD, BOD, and elemental reduction through the capability of microalgae to survive in acidic POME. Moreover, this biological treatment method provides a cost effective and sustainable solution, especially in terms of POME treatment. Unfortunately, there has been limited research on the two microalgae species of Coccomyxa dispar and Scenedesmus parvus concerning the production of biomass fuel through the phycoremediation of POME. Throughout this study, analysis was carried out to compare the effectiveness of both microalgae in terms of their utilization of POME and the potential production of biomass fuel as a sustainable and renewable energy source.

2. Materials and Methods

2.1. Palm Oil Mill Effluent Sampling

The POME utilized in this study derived from effluent before it had entered the treatment pond and was collected from a palm oil mill located in Pulau Pinang, Malaysia (geographical coordinates: 5°09′22.3″ N and 100°30′32.3″ E).

2.2. Microalgae Cultivation

In this study, two acidophilic species of microalgae (Coccomyxa dispar and Scenedesmus parvus) were used to investigate growth and the potential production of high-quality biomass fuel from the cultivation of POME, as well their effectiveness in terms of reducing contaminants associated BOD and COD. Both microalgae were cultivated separately in POME as biofeedstocks and subcultured to obtain a sufficient amount of stock solution for analysis at a larger working volume. To obtain a sufficient amount of microalgae stock solution for batch fermentation, activation for both species of microalgae was performed in Bold Basal Medium (BBM) with an approximate starting volume of 30 mL in each cell culture flask. The BBM consisted of 25 g/L sodium nitrate (NaNO3), 7.5 g/L magnesium sulphate heptahydrate (MgSO4.7H2O), 2.5 g/L sodium chloride (NaCl), 7.5 g/L dipotassium hydrogen phosphate (K2HPO4), 17.5 g/L potassium dihydrogen phosphate (KH2PO4), 2.5 g/L calcium chloride (CaCl2.2H2O), 8.82 g/L zinc sulphate (ZnSO4.7H2O), 1.44 g/L manganese chloride (MnCl2.4H2O), 0.71 g/L molybdenum trioxide (MoO3), 1.57 g/L copper sulphate pentahydrate (CuSO4.5H2O), 0.49 g/L cobalt (II) nitrate hexahydrate (Co(NO3)2.6H2O), 11.42 g/L boric acid (H3BO3), 50 g/L ethylenediaminetetraacetic acid (EDTA), 31 g/L potassium hydroxide (KOH), and 4.98 g/L iron (II) sulphate heptahydrate (FeSO4.7H2O). Both cultures were maintained in BBM in a controlled culture room at 30 ± 2 °C for 10–14 days before subsequent experiment and illuminated with light of a photon intensity of 20.99 μmol m−1 s−1, which was provided by a cool daylight tube that was operated using a photoperiod cycle of 12 h (12 h light: dark). During the first stage, a total volume of 200 mL of each microalgae species was utilized to study their growth profile. In the second stage, a total volume of 600 mL of each microalgae species was required for various forms of analysis. At each stage, the microalgae were standardized at an optical density (OD) of 680 nm at 1.0 with a spectrophotometer prior to 14 days of analysis, while the blank used consisted of BBM only. The microalgae were centrifuged at 4000 rpm for 10 min using 50 mL centrifuge tubes to increase cell concentration, and dilution with BBM was performed to decrease cell concentration.

2.3. Batch Fermentation of POME as a Biofeedstock

POME was used as the biofeedstock in batch cultivation using Schott bottles. For the first stage of the experiment, cultivation was performed under 20%, 40%, 60%, and 80% (v/v) concentrations of each species separately in a 100 mL solution containing POME, microalgae, BBM, and distilled water. For example, to prepare the 20% microalgae concentration, 20 mL of microalgae was inoculated into 20 mL of POME and 60 mL of distilled water. Batch cultivation was carried out at 26 ± 3 °C at a pH of 4.0 to 5.5 under fluorescent light of 6500 K (heterotrophic mode excluded) for 14 days. The optimum initial cell concentration that produced the highest microalgae growth was utilized in the next batch cultivation experiment under various autotrophic, heterotrophic, and mixotrophic conditions and was then subjected to subsequent analysis to determine biochemical oxygen demand (BOD), chemical oxygen demand (COD), calorific energy value (CEV), optical density (OD), and cell dry weight (CDW), as well as carbon, hydrogen, and nitrogen content. The autotrophic cultivation mode was provided through external light sources without the addition of POME and the heterotrophic mode required POME as a substrate without the need for external light sources, whereas the mixotrophic mode required both external light sources and POME to grow. Further investigation was conducted by increasing the working volume of the batch fermentation with the optimum cell concentration, and results were subjected to the above-mentioned analysis.

2.4. Determination of Optical Density for Growth Monitoring

Optical density (OD), also known as absorbance or turbidity, is frequently used as a rapid and non-destructive measurement of biomass in cultures of bacteria and other unicellular microorganisms. The amount of light absorbed by a suspension of cells can be directly related to cell mass or cell number [20]. The blank used in analysis was prepared prior to the start of batch fermentation and consisted of BBM, POME, and distilled water. The OD (680 nm) of each different cell concentration of microalgae in the Schott bottles was analyzed at 24-h intervals for 14 consecutive days. The analysis was performed in triplicate for each concentration.

2.5. Determination of Cell Dry Weight

Cell dry weight (CDW) is the weight of the microalgae suspension after water removal. To determine the CDW of both microalgae species, standard curves were constructed based on the different volume ratios of microalgae and distilled water. The final volume of each solution was set to 10 mL. Each of the solutions was subjected to oven drying (Binder World FD056UL, Binder GmbH, Tuttlingen, Germany) to obtain the CDW after being analyzed with a spectrophotometer. The standard curve’s equation was used to determine the CDW of the microalgae in the batch cultivation using the obtained OD value. In this context, the OD value of microalgae obtained from direct measurement of the cultivated sample was subtracted from the OD value of the blank, and the resultant value was used for CDW calculation.

2.6. Determination of Calorific Energy Value

Calorific energy value (CEV) was determined using a bomb calorimeter (ParrTM 6200, Fisher Scientific International Inc., Pittsburgh, PA, USA) at a constant pressure under normal conditions [21]. CEV is an indicator of the efficiency of fuel, whereby a high CEV represents high-quality fuel. In the study of microalgae cultivation using POME as the biofeedstock, the CEV was determined on the initial day and final day of the experiment.
Approximately 100 mL of cultivated product was collected from conical flasks with different autotrophic, heterotrophic, and mixotrophic growth modes and transferred into a glass petri dish. The sample was dried inside a drying oven at 100 ± 1 °C overnight until a constant weight was observed. The samples were cooled to room temperature, sieved, packed, and sealed inside a small transparent plastic bag prior to CEV analysis. Approximately 0.5 g of dried sample was placed in the combustion vessel, which was then filled with 99.95% pure oxygen until the pressure reached 450 psig (3.0 ± 0.2 MPa). The combustion vessel was inserted into the combustion vessel bucket and ignited under the following conditions: pre-fire, 3 min; post-fire, 5 min; fuse wire length, 10 cm; bucket and jacket temperature between 13 and 33 °C.

2.7. Determination of Chemical Oxygen Demand

The chemical oxygen demand (COD) reagent was prepared by mixing two different solutions in a volumetric flask. The first solution was prepared by dissolving 18 g of silver sulphate in 800 mL of concentrated sulphuric acid in a 1 L volumetric flask. The second solution was prepared by dissolving 14.8 g of potassium dichromate in 100 mL of distilled water. The second solution was then poured slowly into the first solution. The flask was submerged in ice to prevent increases in temperature due to exothermic reactions. The mixture was then cooled to room temperature and stabilized for two days prior to use.
A total volume of 0.1 mL of treated POME sample from each growth mode was transferred into a small beaker under sterile conditions. Each sample was diluted with 9.9 mL of sterile deionized water. Subsequently, 2 mL of the diluted sample was filtered into the COD digestion test tubes containing 3 mL of COD reagent using a 0.22 µm nylon membrane filter. The sample was then placed inside a block heater (that had been preheated for 15 min to reach a temperature of 150 °C) for 2 h. The digestion test tubes were then cooled to room temperature prior to the measurement of COD values. COD values are expressed as mg/L and were measured using a spectrophotometer (HACH DR 2800TM, Loveland, CO, USA). COD was measured for its removal efficiency (%) by use of the following equation [22]:
COD   removal   ( % ) = COD i   COD f   COD i   ×   100
whereby CODi is the initial COD value and CODf is the final COD value.

2.8. Determination of Biochemical Oxygen Demand

The level of dissolved oxygen (DO) was measured throughout the 14 days of cultivation. A total of 5 mL of sample from each growth mode was diluted with 495 mL of bubbled deionized water to make a total volume of 500 mL. The initial dissolved oxygen concentration (mg/L) was measured using a DO meter (HANNA HI 198193, Hanna Instruments, Woonsocket, RI, USA) prior to being transferred into BOD bottles. All bottles were placed inside a dark incubator at 24 ± 1 °C for five days before the final DO concentration (mg/L) was measured. To obtain removal efficiency for the BOD measurement, the final DO reading was subtracted from the initial DO reading. The equation below shows the formula used to calculate removal efficiency for BOD values.
BOD   ( mg mL ) = Final   DO   reading     Initial   DO   reading   Total   volume   of   flask   ×   dilution   factor

2.9. Carbon, Hydrogen, and Nitrogen Analysis

Carbon, hydrogen, and nitrogen analysis was carried out to quantify elemental composition in the treated POME samples from heterotrophic and mixotrophic growth modes at day 1 and day 14. The analysis was conducted using a CHN Elemental Analyzer (Perkin Elmer 2400 Series II, Waltham, MA, USA). Approximately 1.5 mg of the dried sample was placed inside the instrument, with helium gas pressure set at 20 psi, oxygen pressure set at 20 psi, and compressed air set at 60 psi. Acetanilide was used as the standard sample in this experiment [22,23].

2.10. Oil Residue Extraction

The standard soxhlet extraction method was used to analyze oil content. Oil extraction of the dried sample was conducted to determine the amount of oil residue remaining on the initial and final day of cultivation. The1 g dried samples were weighed and transferred into a cellulose thimble with dimensions of 22 × 80 mm. The process of oil extraction requires approximately 2–3 h and the use of n-hexane as an extraction solvent, which was performed at a boiling point of 60 °C. The sample was then dried in an oven at 115 °C to completely evaporate the solvent until a constant weight was obtained. Upon drying, the extracted oil inside the round bottom flask was put inside a desiccator and cooled at room temperature. The percentage of oil recovered from the dried samples was calculated by the following equation:
Percentage   of   oil   residue   recovered = Weight   of   oil   extracted   g Weight   of   dried   sample   used   g × 100

2.11. Statistical Analysis

Statistical analysis was performed using SPSS version 27. One-way ANOVA was performed to determine the statistically significant difference between the mean values for CDW, COD, and BOD for the three growth modes. The threshold for statistically significant results was p < 0.05.

3. Results and Discussion

3.1. Growth Profiles of Coccomyxa dispar and Scenedesmus parvus

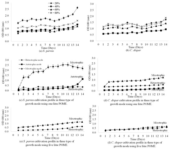
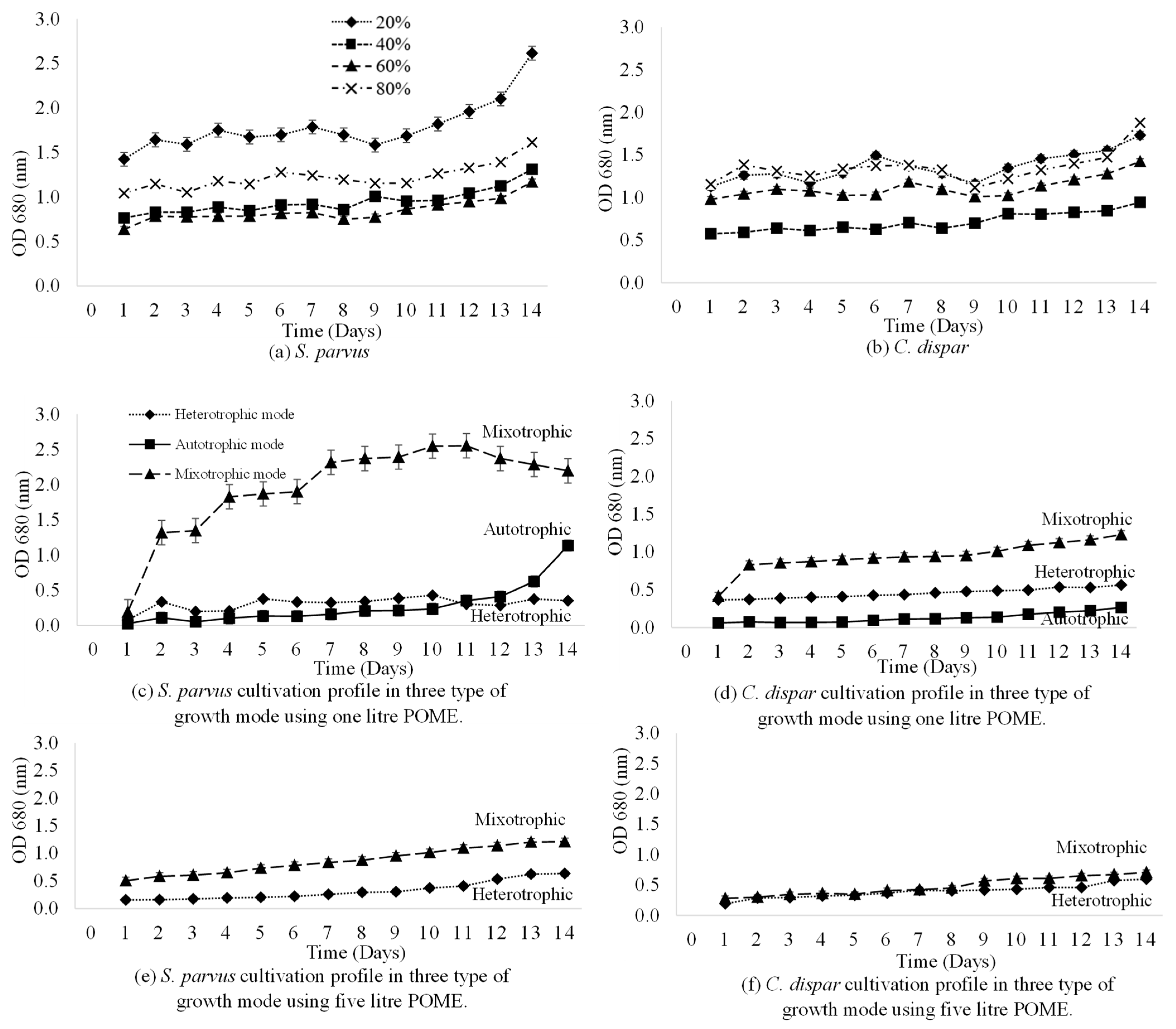
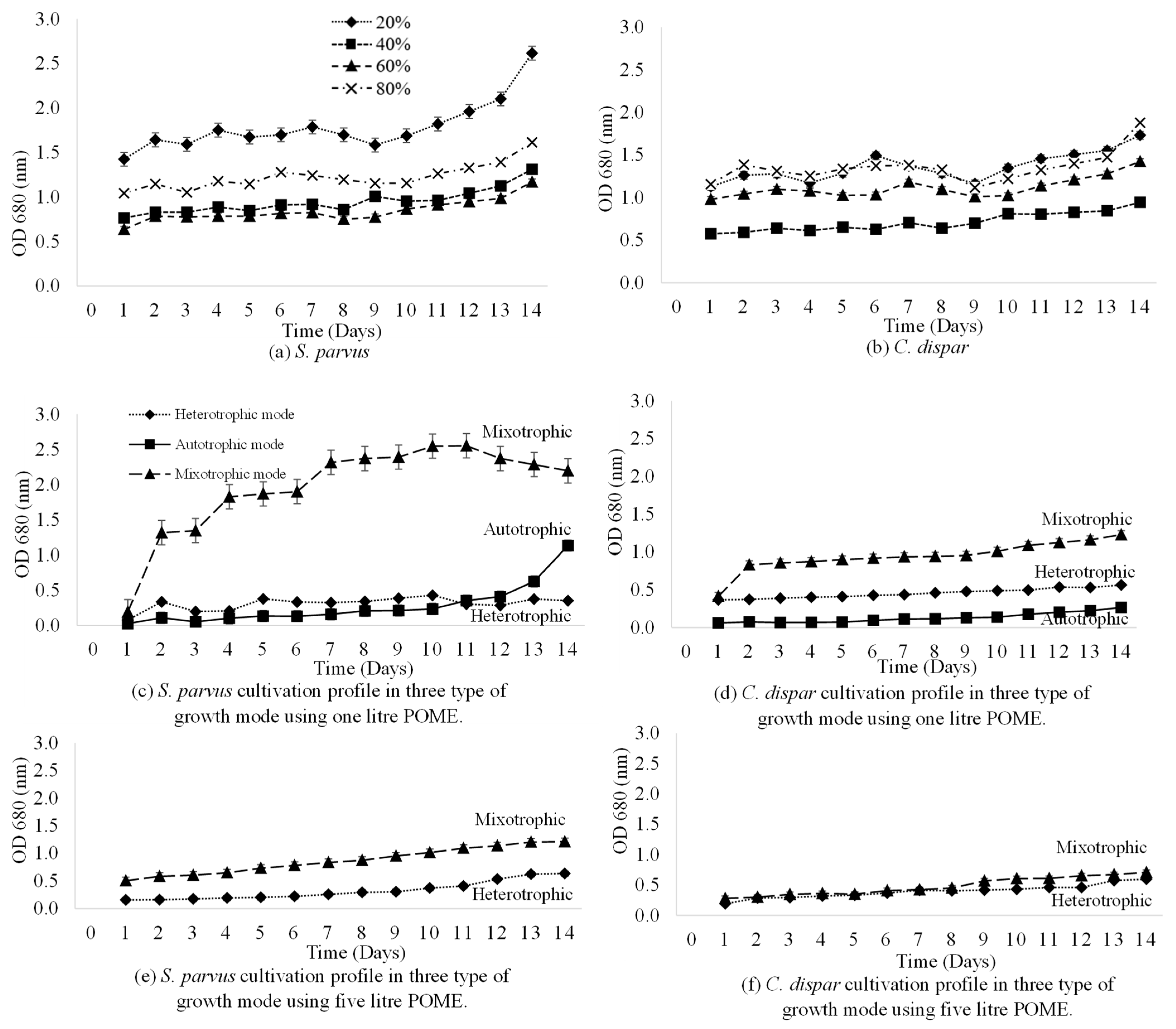
Figure 1 shows the cultivation setup for the autotropic, mixotrophic, and heterotrophic growth modes with a 1 L working volume. Figure 2a,b illustrate the individual growth profiles of S. parvus and C. dispar. For the C. dispar growth profile, the highest OD value was obtained through 80% microalgae concentration, followed by 20%, 60%, and 40% concentration, which recorded OD values of 1.879, 1.731, 1.423, and 0.944, respectively. Meanwhile, in the growth profile of S. parvus, 20% microalgae concentration led to the highest OD value (2.616), followed by 80%, 40%, and 60% concentration, which recorded OD values of 1.614, 1.312, and 1.168, respectively. For cultivation of S. parvus with a 20% concentration of microalgae showed the ability to adapt well with an OD value close to double that of other dilution factors. Based on the growth profile, 20% cell concentration was selected for further analysis under various growth modes. Overall, cultivation of 20% cell concentration with diluted POME can increase biomass production, which is indicated by higher OD values that are obtained due to the reduced dark brownish color of POME and enhanced light penetrability.
Based on Figure 2d, the OD values indicate that the mixotrophic mode for C. dispar achieved the highest growth rate (1.135) compared to other growth modes. Initially, for C. dispar, the OD values for the mixotrophic and heterotrophic modes were almost the same at day 1 compared to the autotrophic mode (0.412, 0.357, and 0.062). However, the mixotrophic mode achieved the highest OD value on the final day, followed by the heterotrophic mode and autotrophic mode (1.228, 0.566, and 0.267). In S. parvus, the OD values for the autotrophic and heterotrophic modes were almost the same at day 1 (0.029 and 0.078) compared to the mixotrophic mode (0.196). The differences started to become visible from day 2 onwards. In the mixotrophic mode, the OD value was almost double that of the autotrophic mode and was more than six times higher than the heterotrophic mode on the final day of cultivation (2.196, 1.135, and 0.356), as portrayed in Figure 2c. Thus, it can be concluded that the mixotrophic mode of growth is the most suitable for S. parvus cultivation in POME and achieves higher OD values than the C. dispar growth profile.
To investigate the survival rate of both microalgae, the working volume was increased to 5 L, as shown in Figure 2e,f. Heterotrophic and mixotrophic modes were used to observe growth during the 14 days of cultivation. Referring to Figure 2e, the OD value of the mixotrophic mode for S. parvus was three times higher than it was for the heterotrophic mode on day 1 (0.505 and 0.156, respectively). A stabilized increasing trend was observed until day 13, where a plateau stage began to be observed. In contrast, the heterotrophic mode was observed to portray a steady increment from day 9 to day 13, before ultimately reaching a plateau stage. Figure 2f illustrates the growth profile of C. dispar over the 14 days of cultivation. In the first 7 days, both growth modes indicated minute increments in terms of their OD value; however, the mixotrophic mode increased to 0.707, while the heterotrophic mode was observed to be slightly lower at 0.597. This observation indicates that C. dispar had a slower growth rate than S. parvus when cultivated in the larger working volume.

3.2. Cell Dry Weight of Scenedesmus parvus and Coccomyxa dispar

The equations for the standard curves of cell dry weight (CDW) in both S. parvus and C. dispar are y = 0.0096x and y = 0.0246x, respectively. Both microalgae evinced the ability to grow in the acidic POME since they are acidophilic microalgae. Figure 3 delineates the CDW of both microalgae cultivated in three types of growth modes using one- and five-liter working volumes of POME. Referring to Figure 3a, S. parvus proliferation in the mixotrophic mode shows the highest CDW production. The autotrophic mode achieved higher increments starting from day 11 onwards compared to the heterotrophic mode. This was probably due to light limitation as the microalgae were grown under dark conditions. Thus, no photosynthesis occurred, and microalgae solely relied on the nutrients provided by the POME. When comparing the autotrophic mode to the mixotrophic mode, the mixotrophic mode indicated higher CDW due to the fact that S. parvus was exposed to maximum resources, with access to both light and the nutrients in the POME, compared to the autotrophic mode, which solely had to rely on the light source. Thus, S. parvus exhibited an exponential growth phase starting from day 1.
Instead, referring to Figure 3b, C. dispar can better proliferate with greater efficiency in the mixotrophic mode, followed by the heterotrophic mode and autotrophic mode. Therefore, the effect of light limitation may not have been as prominent in S. parvus. This was probably due to the physicochemical properties of this microalgae species, which utilizes less light than S. parvus when growing and has the ability to efficiently utilize the organic carbon existing in the POME for growth under dark conditions. For the mixotrophic mode, exponential growth was observed for C. dispar between day 1 and day 2, and this growth mode led to the maximum CDW in both microalgae species (4.99 g/L). Overall, microalgae require both light and external sources of organic carbon, such as POME, to achieve maximum biomass yield. Therefore, only two selected growth modes, namely the heterotrophic and mixotrophic modes, were used in the next scaling up experiment involving a 5 L working volume of POME.
Figure 3c,d delineate CDW for both S. parvus and C. dispar cultivated in the 5 L working volume. Referring to Figure 3c, the highest CDW obtained for S. parvus for the mixotrophic and heterotrophic modes was 126.40 g and 65.94 g per 5 L, respectively. These observations evince that the mixotrophic mode had a faster growth rate compared to the heterotrophic mode. Referring to Figure 3d, the same condition was also observed in the cultivation of C. dispar, whereby the mixotrophic mode obtained 28.74 g per 5 L and the heterotrophic mode indicated 24.27 g per 5 L. However, C. dispar had lower sustainability than S. parvus in the larger working volume of cultivation using POME.
Based on the OD values from the three growth modes, the CDW of both microalgae was obtained. The highest CDW of S. parvus and C. dispar was in the range of 0–27 g/L and 0–5 g/L, respectively. Overall, S. parvus yielded more biomass compared to C. dispar. Thus, S. parvus is more applicable to POME treatment than C. dispar.

3.3. Calorific Energy Value

To elucidate the energy released from the combustion of dried biomass fuel obtained through cultivation of microalgae S. parvus and C. dispar at day 1 and day 14 in the heterotrophic and mixotrophic growth modes, these samples were subjected to calorific energy value (CEV) analysis, as portrayed in Table 1. Referring to Table 1, S. parvus cultivation in POME indicated increments in CEV compared to C. dispar. All CEVs obtained in this study are higher than those of commercially available pellets, with values ranging between 15 and 20 MJ/kg [8]. In detail, the CEVs obtained from cultivation of S. parvus in both growing modes showed an increasing trend from day 1 to day 14. In contrast, C. dispar was not effective in producing better quality biomass fuel in terms of CEV measurements, showing a declining trend for both growth modes.
The CEV is affected by the presence of long chains of carbon and alkyl groups in complex molecules, whereby the absence of long carbon chains and fewer alkyl groups attached together in the molecule are highly favored when seeking to attain a high heating value [24]. Thus, the higher the carbon content in the cultivated sample, the higher the CEV that can be detected. However, throughout the period of cultivation, different microalgae portray different requirements for growth. Therefore, C. dispar consumed more carbon sources to perform photosynthesis for growth than it was able to produce in the high carbon content sample, as indicated by the decreased CEV from day 1 to day 14. This was probably due to the low microalgae activity required for degradation of the organic content and, consequently, the low production of carbon in the treated POME that contributed to low CEVs, as indicated in Table 1. Overall, the CEV of the treated POME in S. parvus indicated its potential utilization as a treatment for POME that simultaneously produces biomass fuel possessing enhanced combustible properties.

3.4. Chemical Oxygen Demand

Figure 4a–d depict the chemical oxygen demand (COD) concentration and COD removal efficiency of S. parvus and C. dispar throughout the 14 days of cultivation. COD concentration in the working volume of 1 L of microalgae cultivation shows a decreasing trend. This was attributed to organic degradation by the microalgae, which transformed the organics into their corresponding simplest forms for the purposes of assimilation [8].
Referring to Figure 4a, COD concentration at day 1 with S. parvus in POME in the mixotrophic mode showed a higher COD value than the heterotrophic mode and autotrophic mode, with the values observed being 395, 311, and 180 mg/L, respectively. At day 14, COD values for the mixotrophic, heterotrophic, and autotrophic modes were reduced to 135, 126, and 34 mg/L. The data from Figure 4b were replotted to obtain the COD removal efficiency with the highest value, which was observed in the autotrophic mode (81%), followed by the mixotrophic mode (66%) and heterotrophic mode (59%). The removal efficiency of the autotrophic mode began to increase from day 4 and continued increasing until day 14, which preceded the other two modes of growth. This observation was likely due to the absence of POME, which may have contributed to the continuous growth of the microalgae. This observation demonstrates that the organic matter present in the media can be easily assimilated by S. parvus. For the mixotrophic and heterotrophic modes, there were significant increments in removal efficiency, as indicated by the mixotrophic mode between day 10 and day 14 through the increased biomass production of S. parvus due to light penetrability.
Referring to Figure 4c, at day 14 of fermentation using C. dispar in the presence of POME, the autotrophic mode exhibited the lowest COD concentration, followed by the heterotrophic and mixotrophic modes (26, 137, and 147 mg/L, respectively). Referring to Figure 4d, the highest COD removal efficiency was observed in the autotrophic mode, followed by the mixotrophic mode and heterotrophic mode (78%, 53%, and 46%, respectively). The mixotrophic mode achieved slightly higher COD removal efficiency than the heterotrophic mode from day 4 until day 14. This was also due to the effect of external light sources promoting the faster growth of C. dispar, and the subsequent utilization of organic matter was faster compared to the heterotrophic mode. Higher COD removal efficiency was observed in cultures grown in the autotrophic mode due to the intricate biochemistry mechanisms of both C. dispar and S. parvus, which can assimilate organic constituents in POME for the synthesis of various cellular compounds via various metabolic pathways that lead to the reduction of COD in POME [4,8,11].
Figure 5 portrays the COD concentration and COD removal efficiency of S. parvus and C. dispar throughout the 14 days of cultivation with a 5 L working volume. In this scaled-up batch of experiments, only the heterotrophic and mixotrophic modes were studied under an optimum cell concentration of 20%, which was used to elucidate the phycoremediation effect in the POME.
Referring to Figure 5d, COD removal efficiency in the heterotrophic mode was lower than the mixotrophic mode, with 58% and 68% efficiency, respectively. Growth under heterotrophy in the absence of an external light source impeded and eventually slowed down the growth of the microalgae. Thus, the removal rate of organic matter in the heterotrophic mode was more greatly affected that it was in the mixotrophic mode.
Based on the results obtained in Figure 5c, the COD concentration of the heterotrophic and mixotrophic mode at day 14 is 132 mg/L and 118 mg/L, respectively. Referring to Figure 5d, growth under mixotrophy showed higher COD removal efficiency after 14 days of fermentation in POME (64%) than growth under the heterotrophic mode (55.7%). At day 1, the COD values for both microalgae exhibited only slight differences until day 4, and the difference between both growth modes became larger after day 4 of cultivation. This was due to the faster growth of C. dispar in the mixotrophic mode as the microalgae utilized the external light source to carry out photosynthesis similarly to how it did with the one liter working volume. The high COD removal efficiency depicted by both microalgae utilized in the five-liter working volume evinced their ability to remediate POME under the mixotrophic growth mode.

3.5. Biochemical Oxygen Demand

Figure 6a,b portray the biochemical oxygen demand (BOD) removal efficiency of both S. parvus and C. dispar from day 1 to day 14 with a 1 L working volume of POME. Referring to Figure 6a, the BOD removal efficiency in S. parvus was in descending order of mixotrophic, heterotrophic, and autotrophic mode with the value of 19%, 16%, and 8%, respectively. Figure 6b portrays the BOD removal efficiency for C. dispar cultivated in 1 L of POME. At day 14, the mixotrophic, heterotrophic, autotrophic modes recorded removal efficiency of 14%, 12%, and 4%, respectively. In the autotrophic mode, BOD removal was less efficient than other growth modes due to organic matter being less biodegradable. By comparison, BOD removal efficiency being lower than COD removal efficiency indicates that less organic compounds could be biologically oxidized than chemically oxidized.
Figure 6c,d delineate the BOD removal efficiency of both microalgae when cultivated in a 5 L working volume. Compared to the 1 L working volume, S. parvus cultivation in the mixotrophic and heterotrophic modes showed a significant decrease in BOD removal efficiency, which was observed to be 13% and 11%, respectively. For C. dispar, BOD removal efficiency of the heterotrophic mode was slightly lower (12%), though a higher BOD removal efficiency of 15% was achieved in the mixotrophic mode when cultivated in the 1 L working volume of POME. Comparing both microalgae, S. parvus demonstrated more outstanding properties related to the remediation of POME than C. dispar. Furthermore, the BOD removal efficiency of both microalgae was higher when grown under mixotrophy. Overall performance in terms of final COD and BOD concentration was unable to meet the current discharge effluent standard. Generally, after the biological treatment of POME, a second-stage chemical or physical treatment will be conducted [2]. The BOD and COD concentration after 14 days of POME treatment using both microalgae was approximately 490–540 mg/L and 100 mg/L, respectively. According to the standard discharge limit outlined by the Malaysian Department of Environment, BOD level should be reduced to 100 mg/L.

3.6. Carbon, Hydrogen, and Nitrogen (CHN) Analysis

Table 2 delineates carbon (C), hydrogen (H), and nitrogen (N) content, as well as oil and grease composition, for cultivation samples of both S. parvus and C. dispar in the heterotrophic and mixotrophic modes. The highest C and H content was observed in the mixotrophic mode with S. parvus (63.45% and 11.16%, respectively).
S. parvus cultivated in the mixotrophic mode achieved higher C and H content due to the availability of light for photosynthesis, and thus exhibited the highest CEV. This trend is in agreement with the CEV results and increasingly shows that there is a strong correlation between C and H content and CEV. In addition, researchers have validated that high C content simultaneously leads to a high CEV [25]. Thus, the result shows positive validation of the former studies conducted on energy produced from biomass fuels, whereby high CEVs were obtained with increases in C and H content [26,27]. Only 1.17% nitrogen content was observed in the mixotrophic mode with S. parvus. The low nitrogen content will be beneficial to the formation of POME biomass fuel as low nitrogen content will produce less nitrogen oxide from biomass fuel combustion; thus, this would result in a lower risk of undesirable negative impacts to the environment [27].

3.7. Oil Residue Extraction

In this study, soxhlet extraction was conducted for the S. parvus and C. dispar dried samples at day 1 and 14 of cultivation from the various cell concentrations, as shown in Table 2. As these microalgae were treated as organic pollutant degraders and microorganisms capable of enhancing reductions of oil and grease, the lower oil and grease reduction at the end of cultivation demonstrated effective treatment. According to Figure 2a,b, the higher the growth profile of the microalgae, the higher the oil and grease reduction achieved, which is due to the effect of voluminous microalgae degrading the oil content in POME samples.
Table 2 portrays oil and grease residue together with oil reduction at day 1 and day 14 under the heterotrophic and mixotrophic modes for both S. parvus and C. dispar at the optimum 20% cell concentration. Referring to Table 2, cultivation of S. parvus in POME showed higher oil reduction compared to C. dispar for the mixotrophic and heterotrophic modes, with respective reductions of 26.85% and 6.69% observed. Oil extracted via soxhlet extraction at the initial stage appeared as a black color with high viscosity and turned a solid dark brown after cooling to room temperature. Although there was a reduction in oil percentage at day 14, the corresponding CEVs of the dried samples for S. parvus showed slight increments compared to C. dispar. This indicated that CEV not only depends on oil content, but also other factors, such as carbon, hydrogen, and nitrogen content and the moisture content of dried POME samples.

3.8. Statistical Analysis

One-way ANOVA was carried out for CDW, COD, and BOD analysis, whereby the three different growing modes of autotrophy, heterotrophy, and mixotrophy were statistically compared to determine the significant differences between the means obtained from each different condition. The significance level was tested at α equal to 0.05.
The p-values for CDW and BOD between groups were 0.508 and 0.088, respectively, suggesting that there is not a significant difference in terms of the mode of cultivation concerning COD and BOD removal by both microalgae strains. In conclusion, CDW and BOD analysis for the microalgae cultivated identified few significant differences between each growth mode; however, COD analysis did express significant differences between each of the groups. Overall, various cultivation modes can affect the resultant COD values.
Post hoc tests were used after statistically significant results were obtained and were also used to determine where the differences originated from, which was conducted by testing each possible pair of groups. Under this, Tukey’s honest significant differences test was performed. This comparison provides an estimation of the differences between groups and a confidence interval for the estimate. Based on post hoc tests for multiple comparison, there is a significant difference in growth modes between autotrophy and heterotrophy and mixotrophy, heterotrophy and autotrophy, and mixotrophy and autotrophy since their p-values are below 0.05.

4. Conclusions

S. parvus and C. dispar showed their effectiveness in terms of the treatment of POME and potential simultaneous production of biomass fuel. At the initial stage, the selected optimum dilution factor for cell concentration was 20%. Overall, mixotrophy was the most effective growth mode and positively impacted microalgae biomass growth in POME. Based on the optimum microalgae concentration, the CDW from cultivation of S. parvus in POME was 228.8 mg/L under mixotrophic growth, which demonstrated better performance than the heterotrophic and autotrophic modes. The highest CDW from cultivation of C. dispar in POME was 49.92 mg/L. S. parvus removed a significant amount of BOD, COD, and oil and grease in the mixotrophic mode, with respective values of 19%, 66%, and 27% observed. Meanwhile, C. dispar achieved 14%, 53%, and 13% removal efficiency of BOD, COD, and oil and grease in the mixotrophic mode. The highest C and H content at day 14 was achieved in the mixotrophic mode of cultivation with S. parvus, with respective values of 63.45% and 11.16% observed. The highest CEV was 32.30 MJ/kg, which was observed in S. parvus cultivated in POME. S. parvus performed better than C. dispar in terms of potential biomass fuel production and exhibited a high CEV, even though both microalgae were shown to be capable of helping reduce the amount of organic pollutants in POME. In this context, the mixotrophic mode was shown to be more promising for POME treatment than the heterotrophic and autotrophic modes. As there is still an inadequate amount of information regarding performance when using S. parvus and C. dispar to treat POME, further research is required to evaluate these microalgae in terms of their applicability at a larger industrial scale. The phycoremediation of POME by S. parvus is beneficial and has the potential to partially replace the conventional method of ponding treatment due to its ease of cultivation and the remarkable innovation it may present in the production of biomass fuel.

Author Contributions

Conceptualization, S.B. and M.A.K.; methodology, W.C.O. and D.D.; formal analysis, W.C.O. and D.D.; investigation, W.C.O. and D.D.; resources, S.B. and M.A.K.; writing—original draft preparation, W.C.O.; writing—review and editing, S.B. and M.A.K., visualization, W.C.O., S.B., and M.A.K.; supervision, S.B. and M.A.K.; project administration, S.B. and M.A.K.; funding acquisition, S.B. and M.A.K. All authors have read and agreed to the published version of the manuscript.

Funding

Support provided by the Malaysian Ministry of Higher Education via the Fundamental Research Grant Scheme (FRGS) with a project code of FRGS/1/2021/STG01/USM/02/12.

Institutional Review Board Statement

Not applicable.

Informed Consent Statement

Not applicable.

Data Availability Statement

Not applicable.

Acknowledgments

The authors gratefully acknowledge the main financial support from the Min-558 istry of Higher Education, Malaysia, to the Universiti Sains Malaysia (USM), through the Funda-559 mental Research Grant Scheme (FRGS), with a project code of FRGS/1/2021/STG01/USM/02/12.

Conflicts of Interest

The authors declare no conflict of interest.

References

  1. MPOB. Overview of the Malaysian Oil Palm Industry; Malaysian Palm Oil Board: Selangor, Malaysia, 2021; pp. 1–6. [Google Scholar]
  2. Mohammad, S.; Baidurah, S.; Kobayashi, T.; Ismail, N.; Leh, C. Palm Oil Mill Effluent Treatment Processes—A Review. Processes 2021, 9, 739. [Google Scholar] [CrossRef]
  3. Mohammed, R.R.; Chong, M.F. Treatment and decolorization of biologically treated Palm Oil Mill Effluent (POME) using banana peel as novel biosorbent. J. Environ. Manag. 2014, 132, 237–249. [Google Scholar] [CrossRef] [PubMed]
  4. Dominic, D.; Baidurah, S. Recent Developments in Biological Processing Technology for Palm Oil Mill Effluent Treatment—A Review. Biology 2022, 11, 525. [Google Scholar] [CrossRef] [PubMed]
  5. Zahrim, A.Y.; Rachel, F.; Menaka, S.; Su, S.; Melvin, F.; Chan, E. Decolourisation of Anaerobic Palm Oil Mill Effluent via Activated Sludge-Granular Activated Carbon. World Appl. Sci. J. 2012, 5, 126–129. [Google Scholar]
  6. Quah, S.K.; Gillies, D. Practical Experience in Production and Use of Biogas from Palm Oil Mill Effluent. National Workshop on Oil Palm By-Product Utilization. Session C: Biogas; IPMKSM: Kuala Lumpur, Malaysia, 2012; pp. 14–15. [Google Scholar]
  7. Ma, A.N.; Ong, A.S.H. Pollution control in palm oil mills in Malaysia. J. Am. Oil Chem. Soc. 2013, 62, 261–266. [Google Scholar] [CrossRef]
  8. Mohammad, S.; Baidurah, S.; Kamimura, N.; Matsuda, S.; Abu Bakar, N.A.S.; Muhamad, N.N.I.; Ahmad, A.H.; Dominic, D.; Kobayashi, T. Fermentation of Palm Oil Mill Effluent in the Presence of Lysinibacillus sp. LC 556247 to Produce Alternative Biomass Fuel. Sustainability 2021, 13, 11915. [Google Scholar] [CrossRef]
  9. Cuellar-Bermudez, S.P.; Garcia-Perez, J.S.; Rittmann, B.E.; Parra-Saldivar, R. Photosynthetic bioenergy utilizing CO2: An approach on flue gases utilization for third generation biofuels. J. Clean. Prod. 2014, 98, 53–65. [Google Scholar] [CrossRef]
  10. Tan, K.M.; Ramli, R.N.; Lalung, J.; Lee, C.K.; Kassim, M.A. High carbohydrate polymer biosynthesis and CO2 biofixation by indigenous acidophilic Coccomyxa dispar under elevated conditions system. Agric. Nat. Resour. 2022, 56, 429–440. [Google Scholar] [CrossRef]
  11. Ding, G.T.; Yasin, N.H.M.; Takriff, M.S.; Kamarudin, K.F.; Salihon, J.; Yaakob, Z.; Hakimi, N.I.N.M. Phycoremediation of palm oil mill effluent (POME) and CO2 fixation by locally isolated microalgae: Chlorella sorokiniana UKM2, Coelastrella sp. UKM4 and Chlorella pyrenoidosa UKM7. J. Water Process Eng. 2020, 35, 101–202. [Google Scholar] [CrossRef]
  12. Gonçalves, A.; Simões, M.; Pires, J. The effect of light supply on microalgal growth, CO2 uptake and nutrient removal from wastewater. Energy Convers. Manag. 2014, 85, 530–536. [Google Scholar] [CrossRef]
  13. Chai, W.S.; Cheun, J.Y.; Kumar, P.S.; Mubashir, M.; Majeed, Z.; Banat, F.; Ho, S.-H.; Show, P.L. A review on conventional and novel materials towards heavy metal adsorption in wastewater treatment application. J. Clean. Prod. 2021, 296, 126589. [Google Scholar] [CrossRef]
  14. Benedetti, M.; Vecchi, V.; Barera, S.; Dall’Osto, L. Biomass from microalgae: The potential of domestication towards sustainable biofactories. Microb. Cell Factories 2018, 17, 173. [Google Scholar] [CrossRef] [PubMed]
  15. Chen, C.-Y.; Yeh, K.-L.; Aisyah, R.; Lee, D.-J.; Chang, J.-S. Cultivation, photobioreactor design and harvesting of microalgae for biodiesel production: A critical review. Bioresour. Technol. 2011, 102, 71–81. [Google Scholar] [CrossRef] [PubMed]
  16. Mondal, M.; Goswami, S.; Ghosh, A.; Oinam, G.; Tiwari, O.N.; Das, P.; Gayen, K.; Mandal, M.K.; Halder, G.N. Production of biodiesel from microalgae through biological carbon capture: A review. 3 Biotech 2017, 7, 99. [Google Scholar] [CrossRef]
  17. Ahmad, A.; Buang, A.; Bhat, A. Renewable and sustainable bioenergy production from microalgal co-cultivation with palm oil mill effluent (POME): A review. Renew. Sustain. Energy Rev. 2016, 65, 214–234. [Google Scholar] [CrossRef]
  18. Idris, N.A.; Loh, S.K.; Lau, H.L.N.; Mustafa, E.M.; Vello, V.; Tan, C.Y.; Phang, S.M. Cultivation of microalgae in medium containing palm oil mill effluent and its conversion into biofuel. J. Oil Palm. Res. 2017, 29, 291–299. [Google Scholar] [CrossRef]
  19. Malmgren, A.; Riley, G. Biomass Power Generation ☆. In Reference Module in Earth Systems and Environmental Sciences; Elsevier: Amsterdam, The Netherlands, 2018. [Google Scholar] [CrossRef]
  20. Zhang, L.; Happe, T.; Melis, A. Biochemical and morphological characterization of sulfur-deprived and H 2 -producing Chlamydomonas reinhardtii (green alga). Planta 2014, 214, 552–561. [Google Scholar] [CrossRef]
  21. Richard, G.L.; Thomas, C.R. Coal, Chemical and Physical Properties. Encycl. Energy 2014, 411–423. [Google Scholar] [CrossRef]
  22. Bakar, N.A.S.A.; Khuzaini, N.A.; Baidurah, S. Co-fermentation involving Lysinibacillus sp. and Aspergillus flavus for simultaneous palm oil waste treatment and renewable biomass fuel production. AIMS Microbiol. 2022, 8, 357–371. [Google Scholar] [CrossRef]
  23. Bakar, N.A.S.A.; Baidurah, S. Bio-valorization of palm oil mill effluent waste for the potential production of renewable biomass fuel pellets. Malays. J. Microbiol. 2022, 18, 408–423. [Google Scholar] [CrossRef]
  24. Abdel-Aal, H.K. Oil and Gas Industry Overview. In Economic Analysis of Oil and Gas Engineering Operations; CRC Press: Boca Raton, FL, USA, 2021; pp. 3–8. [Google Scholar] [CrossRef]
  25. Loh, S.K. The potential of the Malaysian oil palm biomass as a renewable energy source. Energy Convers. Manag. 2017, 141, 285–298. [Google Scholar] [CrossRef]
  26. Safana, A.A. The Mixture of Bio-Oil and Biochar Produced from Slow Pyrolysis of Oil Palm Wastes for Briquettes Production and Combustion as Solid Fuels (Issue April). 2018. Available online: papers2://publication/uuid/512EBCE8-D635-4348-A67D-22DD52988F4C (accessed on 1 May 2022).
  27. Hassan, A.; Ariffin, P.M.; Hafiz, M. Pre-treatment of palm oil mill effluent (POME): A comparison study using chitosan and alum. Malaysian J. Civ. Eng 2013, 19, 128–141. [Google Scholar]
Figure 1. Cultivation conditions for microalgae in various modes: (a) autotrophic, (b) mixotrophic, and (c) heterotrophic.
Figure 1. Cultivation conditions for microalgae in various modes: (a) autotrophic, (b) mixotrophic, and (c) heterotrophic.
Agriculture 13 00336 g001
Figure 2. Scenedesmus parvus and Coccomyxa dispar cultivation profiles with (a,b) various concentrations of microalgae (20%, 40%, 60%, 80%) and (cf) POME working volumes of 1 and 5 L.
Figure 2. Scenedesmus parvus and Coccomyxa dispar cultivation profiles with (a,b) various concentrations of microalgae (20%, 40%, 60%, 80%) and (cf) POME working volumes of 1 and 5 L.
Agriculture 13 00336 g002
Figure 3. The CDW of Scenedesmus parvus and Coccomyxa dispar cultivated in three types of growth mode using working volumes of (a,b) 1 L of POME and (c,d) 5 L of POME.
Figure 3. The CDW of Scenedesmus parvus and Coccomyxa dispar cultivated in three types of growth mode using working volumes of (a,b) 1 L of POME and (c,d) 5 L of POME.
Agriculture 13 00336 g003
Figure 4. COD concentration and removal efficiency of (a,b) S. parvus and (c,d) C. dispar throughout the 14-day period of cultivation with 1 L of POME.
Figure 4. COD concentration and removal efficiency of (a,b) S. parvus and (c,d) C. dispar throughout the 14-day period of cultivation with 1 L of POME.
Agriculture 13 00336 g004
Figure 5. COD concentration and removal efficiency of (a,b) S. parvus and (c,d) C. dispar throughout the 14-day period of cultivation with 5 L of POME.
Figure 5. COD concentration and removal efficiency of (a,b) S. parvus and (c,d) C. dispar throughout the 14-day period of cultivation with 5 L of POME.
Agriculture 13 00336 g005
Figure 6. BOD removal efficiency throughout the 14-day period of cultivation in 1 L of POME for (a) S. parvus and (b) C. dispar, together with removal efficiency in 5 L of POME for (c) S. parvus and (d) C. dispar.
Figure 6. BOD removal efficiency throughout the 14-day period of cultivation in 1 L of POME for (a) S. parvus and (b) C. dispar, together with removal efficiency in 5 L of POME for (c) S. parvus and (d) C. dispar.
Agriculture 13 00336 g006
Table 1. CEVs for S. parvus and C. dispar at day 1 and day 14 in the heterotrophic and mixotrophic growth modes.
Table 1. CEVs for S. parvus and C. dispar at day 1 and day 14 in the heterotrophic and mixotrophic growth modes.
CEV (MJ/kg)S. parvusC. dispar
HeterotrophicMixotrophicHeterotrophicMixotrophic
Day 129.9031.1630.4032.81
Day 1430.7032.3028.7028.21
Table 2. Oil and grease residue together with oil reduction at day 1 and day 14 under the heterotrophic and mixotrophic modes for both S. parvus and C. dispar with the optimum 20% cell concentration.
Table 2. Oil and grease residue together with oil reduction at day 1 and day 14 under the heterotrophic and mixotrophic modes for both S. parvus and C. dispar with the optimum 20% cell concentration.
CompositionsS. parvusC. dispar
HeterothropicMixotrophicHeterothropicMixotrophic
Elemental analysis at day 14 (wt%)
Carbon, C57.0463.4557.5955.04
Hydrogen, H8.4911.169.908.68
Nitrogen, N2.721.171.762.08
Oil and grease residue (wt%)
Day 166.2861.1358.0361.47
Day 1461.8544.7256.8553.37
Reduction 6.6926.852.0213.18
Disclaimer/Publisher’s Note: The statements, opinions and data contained in all publications are solely those of the individual author(s) and contributor(s) and not of MDPI and/or the editor(s). MDPI and/or the editor(s) disclaim responsibility for any injury to people or property resulting from any ideas, methods, instructions or products referred to in the content.

Share and Cite

MDPI and ACS Style

Ooi, W.C.; Dominic, D.; Kassim, M.A.; Baidurah, S. Biomass Fuel Production through Cultivation of Microalgae Coccomyxa dispar and Scenedesmus parvus in Palm Oil Mill Effluent and Simultaneous Phycoremediation. Agriculture 2023, 13, 336. https://doi.org/10.3390/agriculture13020336

AMA Style

Ooi WC, Dominic D, Kassim MA, Baidurah S. Biomass Fuel Production through Cultivation of Microalgae Coccomyxa dispar and Scenedesmus parvus in Palm Oil Mill Effluent and Simultaneous Phycoremediation. Agriculture. 2023; 13(2):336. https://doi.org/10.3390/agriculture13020336

Chicago/Turabian Style

Ooi, Wen Ching, Debbie Dominic, Mohd Asyraf Kassim, and Siti Baidurah. 2023. "Biomass Fuel Production through Cultivation of Microalgae Coccomyxa dispar and Scenedesmus parvus in Palm Oil Mill Effluent and Simultaneous Phycoremediation" Agriculture 13, no. 2: 336. https://doi.org/10.3390/agriculture13020336

APA Style

Ooi, W. C., Dominic, D., Kassim, M. A., & Baidurah, S. (2023). Biomass Fuel Production through Cultivation of Microalgae Coccomyxa dispar and Scenedesmus parvus in Palm Oil Mill Effluent and Simultaneous Phycoremediation. Agriculture, 13(2), 336. https://doi.org/10.3390/agriculture13020336

Note that from the first issue of 2016, this journal uses article numbers instead of page numbers. See further details here.

Article Metrics

Back to TopTop