A Korean Cattle Weight Prediction Approach Using 3D Segmentation-Based Feature Extraction and Regression Machine Learning from Incomplete 3D Shapes Acquired from Real Farm Environments
Abstract
:1. Introduction
- We introduce an effective approach for predicting Korean cattle weight using vision-based techniques.
- We present a straightforward method for extracting cattle body dimensions through 3D segmentation.
- We explore multiple regression machine learning algorithms for Korean cattle weight prediction.
- Our approach not only predicts Korean cattle weight but also automatically measures three essential body dimensions of the cattle, facilitating further analysis.
2. Materials and Methods
2.1. Data Acquisition
2.2. Proposed Pipeline Overview
2.3. Three-Dimensional Segmentation-Based Feature Extraction
2.3.1. Definition of Korean Cattle Body Dimensions
2.3.2. Three-Dimensional Segmentation-Based Feature Extraction
2.4. Regression Machine Learning
2.4.1. CatBoost Regression
2.4.2. Light Gradient Boosting Machine
2.4.3. Polynomial Regression
2.4.4. Random Forest Regression
2.4.5. Extreme Gradient Boost Regression
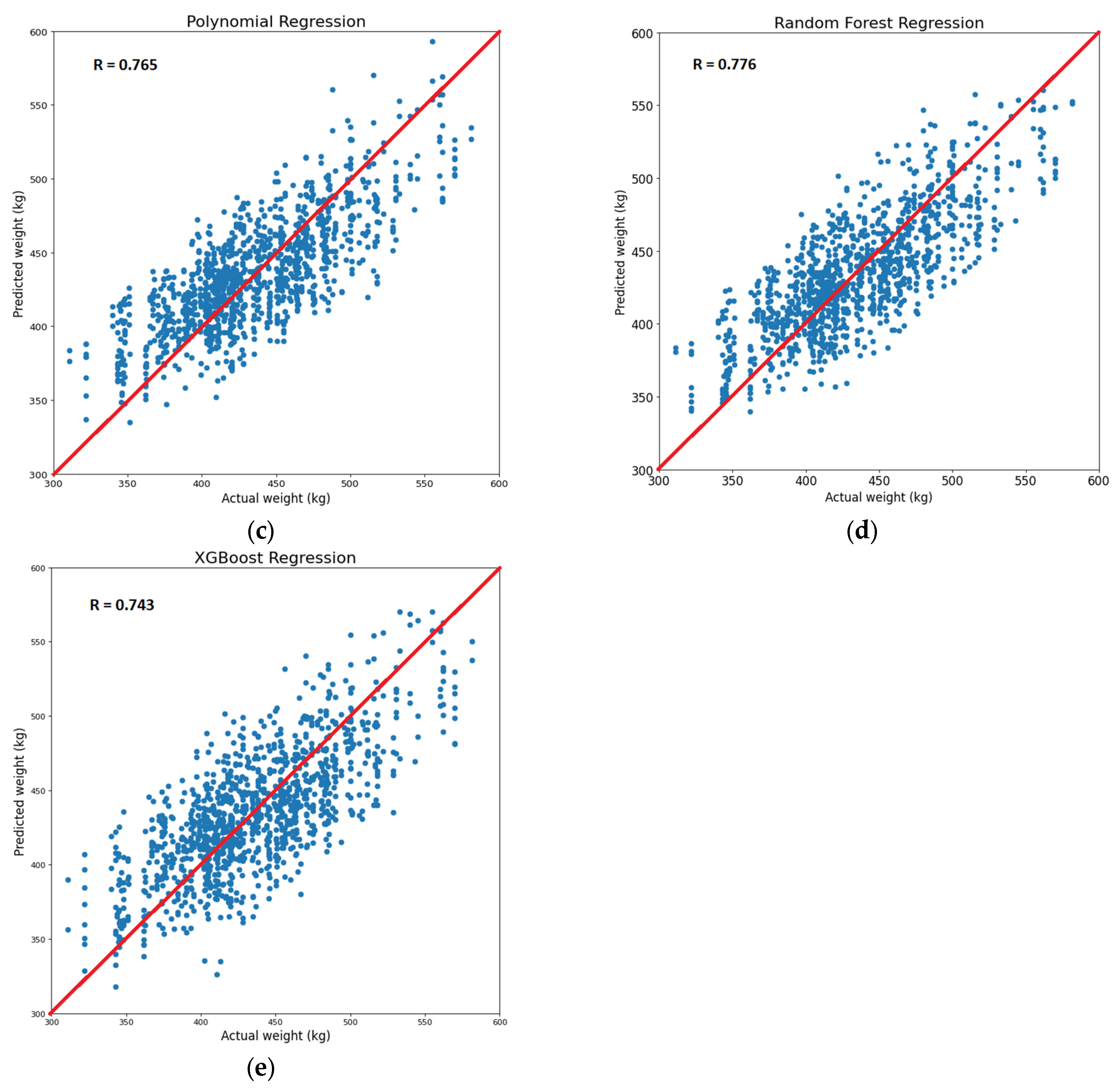
3. Results
3.1. Segmentation
3.1.1. Cross-Sampling Augmentation
3.1.2. Feature Extraction
3.2. Weight Prediction
3.2.1. K-Fold Cross-Validation
3.2.2. Evaluation Metrics
3.2.3. Results and Discussion
4. Conclusions
Author Contributions
Funding
Institutional Review Board Statement
Data Availability Statement
Conflicts of Interest
Abbreviations
| 2D | Two Dimensional |
| 3D | Three Dimensional |
| AI | Artificial Intelligence |
| ANN | Artificial Neural Network |
| MAE | Mean Absolute Error |
| MAPE | Mean Absolute Percentage Error |
| MLP | Multiple Layer Perceptron |
| LIDAR | Light Detection and Ranging |
| PCA | Principal Component Analysis |
| RGB-D | Red Green Blue Depth |
| LightGBM | Light Gradient Boosting Machine |
| XGBoost | Extreme Gradient Boost |
References
- Tasdemir, S.; Ozkan, I.A. ANN approach for estimation of cow weight depending on photogrammetric body dimensions. Int. J. Eng. Geosci. 2019, 4, 36–44. [Google Scholar] [CrossRef]
- Anifah, L.; Haryanto. Decision Support System Two-Dimensional Cattle Weight Estimation using Fuzzy Rule Based System. In Proceedings of the 2021 3rd East Indonesia Conference on Computer and Information Technology (EIConCIT), Surabaya, Indonesia, 9–11 April 2021.
- Sant’ana, D.A.; Pache, M.C.B.; Martins, J.; Soares, W.P.; de Melo, S.L.N.; Garcia, V.; Weber, V.A.d.M.; Heimbach, N.d.S.; Mateus, R.G.; Pistori, H. Weighing live sheep using computer vision techniques and regression machine learning. Mach. Learn. Appl. 2021, 5, 100076. [Google Scholar] [CrossRef]
- Weber, V.A.M.; Weber, F.d.L.; Oliveira, A.d.S.; Astolfi, G.; Menezes, G.V.; Porto, J.V.d.A.; Rezende, F.P.C.; de Moraes, P.H.; Matsubara, E.T.; Mateus, R.G.; et al. Cattle weight estimation using active contour models and regression trees Bagging. Comput. Electron. Agric. 2020, 179, 105804. [Google Scholar] [CrossRef]
- Jang, D.H.; Kim, C.; Ko, Y.-G.; Kim, Y.H. Estimation of Body Weight for Korean Cattle Using Three-Dimensional Image. J. Biosyst. Eng. 2020, 45, 36–44. [Google Scholar] [CrossRef]
- Na, M.H.; Cho, W.H.; Kim, S.K.; Na, I.S. Automatic Weight Prediction System for Korean Cattle Using Bayesian Ride Algorithm on RGB-D Image. Electronics 2022, 11, 1663. [Google Scholar] [CrossRef]
- Kwon, K.; Park, A.; Lee, H.; Mun, D. Deep learning-based weight estimation using a fast-reconstructed mesh model from point cloud of a pig. Comput. Electron. Agric. 2023, 210, 107903. [Google Scholar] [CrossRef]
- Hou, L.; Huang, L.; Zhang, Q.; Miao, Y. Body weight estimation of beef cattle with 3D deep learning model: PointNet++. Comput. Electron. Agric. 2023, 213, 108184. [Google Scholar] [CrossRef]
- Qi, C.R.; Yi, L.; Su, H.; Guibas, L.J. PointNet++: Deep Hierarchical Feature Learning on Point Sets in a Metric Space. arXiv 2017, arXiv:1706.02413. [Google Scholar]
- Ruchay, A.; Kober, V.; Dorofeev, K.; Gladkov, A.; Guo, H. Live Weight Prediction of Cattle Based on Deep Regression of RGB-D Images. Agriculture 2022, 12, 1794. [Google Scholar] [CrossRef]
- Na, M.H.; Cho, W.H.; Kim, S.K.; Na, I.S. The Development of a Weight Prediction System for Pigs Using Raspberry Pi. Agriculture 2023, 13, 2027. [Google Scholar] [CrossRef]
- Le Cozler, Y.; Allain, C.; Xavier, C.; Depuille, L.; Caillot, A.; Delouard, J.; Delattre, L.; Luginbuhl, T.; Faverdin, P. Volume and surface area of Holstein dairy cows calculated from complete 3D shapes acquired using high-precision scanning system: Interest for body weight estimation. Comput. Electron. Agric. 2019, 165, 104977. [Google Scholar] [CrossRef]
- Cominotte, A.; Fernandes, A.; Dorea, J.; Rosa, G.; Baldassini, W.; Neto, O.M. Automated computer vision system to predict body weight and average daily gain in beef cattle during growing and finishing phases. Livest. Sci. 2020, 232, 103904. [Google Scholar] [CrossRef]
- Martins, B.; Mendes, A.; Silva, L.; Moreira, T.; Costa, J.; Rotta, P.; Chizzotti, M.; Marcondes, M. Estimating body weight, body condition score, and type traits in dairy cows using three dimensional cameras and manual body measurements. Livest. Sci. 2020, 236, 104054. [Google Scholar] [CrossRef]
- Dang, C.; Choi, T.; Lee, S.; Lee, S.; Alam, M.; Park, M.; Han, S.; Lee, J.; Hoang, D. Machine Learning-Based Live Weight Estimation for Hanwoo Cow. Sustainability 2022, 14, 12661. [Google Scholar] [CrossRef]
- Li, J.; Wang, P.; Xiong, P.; Cai, T.; Yan, Z.; Yang, L.; Liu, J.; Fan, H.; Liu, S. Practical Stereo Matching via Cascaded Recurrent Network with Adaptive Correlation. arXiv 2022, arXiv:2203.11483. [Google Scholar]
- Kazhdan, M.; Bolitho, M.; Hoppe, H. Poisson Surface Reconstruction. In Proceedings of the Fouth Eurographics Symposium on Geometry Processing (SGP 2006), Cagliari, Italy, 26–28 June 2006; Volume 7. Available online: https://api.semanticscholar.org/CorpusID:14224 (accessed on 3 November 2023).
- Qi, C.R.; Su, H.; Mo, K.; Guibas, L.J. PointNet: Deep Learning on Point Sets for 3D Classification and Segmentation. In Proceedings of the IEEE Conference on Computer Vision and Pattern Recognition (CVPR), Honolulu, HI, USA, 21–26 July 2017; pp. 77–85. [Google Scholar]
- Prokhorenkova, L.; Gusev, G.; Vorobev, A.; Dorogush, A.V.; Gulin, A. CatBoost: Unbiased boosting with categorical features. arXiv 2018, arXiv:1706.09516. [Google Scholar]
- Ke, G.; Meng, Q. LightGBM: A Highly Efficient Gradient Boosting Decision Tree. In Proceedings of the 31st International Conference on Neural Information Processing Systems, Long Beach, CA, USA, 4–9 December 2017; pp. 3146–3154. [Google Scholar]
- Hastie, T.; Tibshirani, R.; Friedman, J. The Elements of Statistical Learning, 2nd ed.; Springer: New York, NY, USA, 2009. [Google Scholar]
- Breiman, L. Random Forests. Mach. Learn. 2001, 45, 5–32. [Google Scholar]
- Chen, T.; Guestrin, C. XGBoost: A Scalable Tree Boosting System. arXiv 2016, arXiv:1603.02754. [Google Scholar]
- Shin, Y.-H.; Son, K.-W.; Lee, D.-C. Sematic Segmentation and Building Extraction from Airborne LiDAR Data with Multiple Return Using PointNet++. Appl. Sci. 2022, 12, 1975. [Google Scholar]
- Abadi, M.; Barham, P.; Chen, J.; Chen, Z.; Davis, A.; Dean, J.; Devin, M.; Ghemawat, S.; Irving, G.; Isard, M.; et al. TensorFlow: A System for Large-Scale Machine Learning. In Proceedings of the 12th USENIX Symposium on Operating Systems Design and Implementation (OSDI 16), Savannah, GA, USA, 2–4 November 2016; pp. 265–283. [Google Scholar]
- Jolliffe, I.T. Principal Component Analysis. J. Stat. Plan. Inference 2002, 31, 331–336. [Google Scholar]
- Benesty, J.; Chen, J.; Huang, Y.; Cohen, I. Pearson correlation coefficient. In Noise Reduction in Speech Processing; Springer: Berlin/Heidelberg, Germany, 2009; pp. 1–4. [Google Scholar]
- Yamamoto, Y.; Ohkawa, T.; Ohata, C.; Oyama, K.; Nishide, R. Depth Image Selection Based on Posture for Calf Body Weight Estimation. Eng. Proc. 2021, 9, 20. [Google Scholar] [CrossRef]
- Nishide, R.; Yamashita, A.; Takaki, Y.; Ohta, C.; Oyama, K.; Ohkawa, T. Calf Robust Weight Estimation Using 3D Contiguous Cylindrical Model and Directional Orientation from Stereo Images. In Proceedings of the 9th International Symposium on Information and Communication Technology, Danang City, Vietnam, 6–7 December 2018; pp. 208–215. [Google Scholar]























| Device | Specifications |
|---|---|
| Depth Camera (Intel Realsense D435i) | Use environment: Indoor/Outdoor Baseline [mm]: 50 Resolution: Frame rate: 30 fps Sensor FOV 1 User environment: Indoor/Outdoor Connection: USB-C 3.1 |
| Body Dimensions | Symbol | Definition |
|---|---|---|
| Body length | BL | Horizontal length of the body |
| Chest girth | CG | Perimeter of the vertical body axis at the chest |
| Chest width | CW | Maximum width of chest |
| Case | Training Accuracy | Validation Accuracy |
|---|---|---|
| Torso segmentation | 99.04% | 97.55% |
| Center body segmentation | 99.01% | 97.21% |
| Fold Number | Evaluation Metrics | |
|---|---|---|
| MAE (kg) | MAPE (%) | |
| Fold 1 | 27.800 | 6.529 |
| Fold 2 | 27.116 | 6.320 |
| Fold 3 | 27.767 | 6.380 |
| Fold 4 | 25.776 | 6.014 |
| Fold 5 | 26.432 | 6.371 |
| Fold 6 | 26.164 | 6.031 |
| Fold 7 | 25.775 | 5.980 |
| Fold 8 | 26.572 | 6.175 |
| Fold 9 | 29.491 | 6.924 |
| Fold 10 | 25.296 | 5.880 |
| Average | 26.819 | 6.260 |
| Fold Number | Evaluation Metrics | |
|---|---|---|
| MAE (kg) | MAPE (%) | |
| Fold 1 | 26.268 | 6.124 |
| Fold 2 | 24.656 | 5.712 |
| Fold 3 | 26.193 | 6.094 |
| Fold 4 | 24.284 | 5.731 |
| Fold 5 | 25.383 | 6.033 |
| Fold 6 | 26.272 | 6.045 |
| Fold 7 | 24.096 | 5.537 |
| Fold 8 | 25.042 | 5.844 |
| Fold 9 | 26.560 | 6.191 |
| Fold 10 | 26.760 | 6.173 |
| Average | 25.551 | 5.948 |
| Fold Number | Evaluation Metrics | |
|---|---|---|
| MAE (kg) | MAPE (%) | |
| Fold 1 | 25.302 | 5.903 |
| Fold 2 | 26.085 | 6.078 |
| Fold 3 | 26.187 | 6.066 |
| Fold 4 | 24.871 | 5.805 |
| Fold 5 | 25.594 | 6.116 |
| Fold 6 | 23.714 | 5.433 |
| Fold 7 | 25.017 | 5.790 |
| Fold 8 | 25.301 | 5.858 |
| Fold 9 | 27.933 | 6.527 |
| Fold 10 | 26.233 | 6.080 |
| Average | 25.624 | 5.966 |
| Fold Number | Evaluation Metrics | |
|---|---|---|
| MAE (kg) | MAPE (%) | |
| Fold 1 | 25.256 | 5.903 |
| Fold 2 | 24.293 | 5.649 |
| Fold 3 | 26.749 | 6.181 |
| Fold 4 | 25.786 | 5.994 |
| Fold 5 | 24.264 | 5.755 |
| Fold 6 | 24.318 | 5.559 |
| Fold 7 | 24.955 | 5.682 |
| Fold 8 | 25.294 | 5.890 |
| Fold 9 | 26.856 | 6.282 |
| Fold 10 | 24.269 | 5.622 |
| Average | 25.204 | 5.852 |
| Fold Number | Evaluation Metrics | |
|---|---|---|
| MAE (kg) | MAPE (%) | |
| Fold 1 | 27.257 | 6.393 |
| Fold 2 | 27.150 | 6.285 |
| Fold 3 | 27.359 | 6.277 |
| Fold 4 | 27.252 | 6.370 |
| Fold 5 | 26.066 | 6.188 |
| Fold 6 | 27.299 | 6.296 |
| Fold 7 | 25.569 | 5.830 |
| Fold 8 | 27.052 | 6.274 |
| Fold 9 | 28.070 | 6.538 |
| Fold 10 | 26.401 | 6.108 |
| Average | 26.948 | 6.256 |
| Model | Evaluation Metrics | |
|---|---|---|
| Average of MAE (kg) | Average of MAPE (%) | |
| CatBoost regression | 26.819 | 6.260 |
| LightGBM regression | 25.551 | 5.948 |
| Polynomial regression | 25.624 | 5.966 |
| Random forest regression | 25.204 | 5.852 |
| XGBoost regression | 26.948 | 6.256 |
| No. | Work | Cattle Number | Environment | MAPE (%) | MAE (kg) |
|---|---|---|---|---|---|
| 1 | Jang et al. [5] | 209 | Real farm | 19.10 | - |
| 2 | Anifah and Haryanto [2] | 13 | Fence system | 18.76 | - |
| 3 | Yamamoto et al. [28] | 105 | Real farm | 12.45 | - |
| 4 | Ruchay et al. [10] | 275 | In door | 9.60 | 40.10 |
| 5 | Nishide et al. [29] | 184 | Cattle barn | 6.39 | - |
| 6 | Weber et al. [4] | 110 | Feeding fence | - | 13.44 |
| 7 | Proposed approach | 270 | Real farm | 5.85 | 25.20 |
Disclaimer/Publisher’s Note: The statements, opinions and data contained in all publications are solely those of the individual author(s) and contributor(s) and not of MDPI and/or the editor(s). MDPI and/or the editor(s) disclaim responsibility for any injury to people or property resulting from any ideas, methods, instructions or products referred to in the content. |
© 2023 by the authors. Licensee MDPI, Basel, Switzerland. This article is an open access article distributed under the terms and conditions of the Creative Commons Attribution (CC BY) license (https://creativecommons.org/licenses/by/4.0/).
Share and Cite
Dang, C.G.; Lee, S.S.; Alam, M.; Lee, S.M.; Park, M.N.; Seong, H.-S.; Baek, M.K.; Pham, V.T.; Lee, J.G.; Han, S. A Korean Cattle Weight Prediction Approach Using 3D Segmentation-Based Feature Extraction and Regression Machine Learning from Incomplete 3D Shapes Acquired from Real Farm Environments. Agriculture 2023, 13, 2266. https://doi.org/10.3390/agriculture13122266
Dang CG, Lee SS, Alam M, Lee SM, Park MN, Seong H-S, Baek MK, Pham VT, Lee JG, Han S. A Korean Cattle Weight Prediction Approach Using 3D Segmentation-Based Feature Extraction and Regression Machine Learning from Incomplete 3D Shapes Acquired from Real Farm Environments. Agriculture. 2023; 13(12):2266. https://doi.org/10.3390/agriculture13122266
Chicago/Turabian StyleDang, Chang Gwon, Seung Soo Lee, Mahboob Alam, Sang Min Lee, Mi Na Park, Ha-Seung Seong, Min Ki Baek, Van Thuan Pham, Jae Gu Lee, and Seungkyu Han. 2023. "A Korean Cattle Weight Prediction Approach Using 3D Segmentation-Based Feature Extraction and Regression Machine Learning from Incomplete 3D Shapes Acquired from Real Farm Environments" Agriculture 13, no. 12: 2266. https://doi.org/10.3390/agriculture13122266
APA StyleDang, C. G., Lee, S. S., Alam, M., Lee, S. M., Park, M. N., Seong, H.-S., Baek, M. K., Pham, V. T., Lee, J. G., & Han, S. (2023). A Korean Cattle Weight Prediction Approach Using 3D Segmentation-Based Feature Extraction and Regression Machine Learning from Incomplete 3D Shapes Acquired from Real Farm Environments. Agriculture, 13(12), 2266. https://doi.org/10.3390/agriculture13122266

