Loss of Traditional Orchards and Its Impact on the Occurrence of Threatened Tree-Dwelling Bird Species
Abstract
:1. Introduction
2. Materials and Methods
2.1. Studied Area
2.2. Woodpecker Inventory
2.3. Statistical Analyses
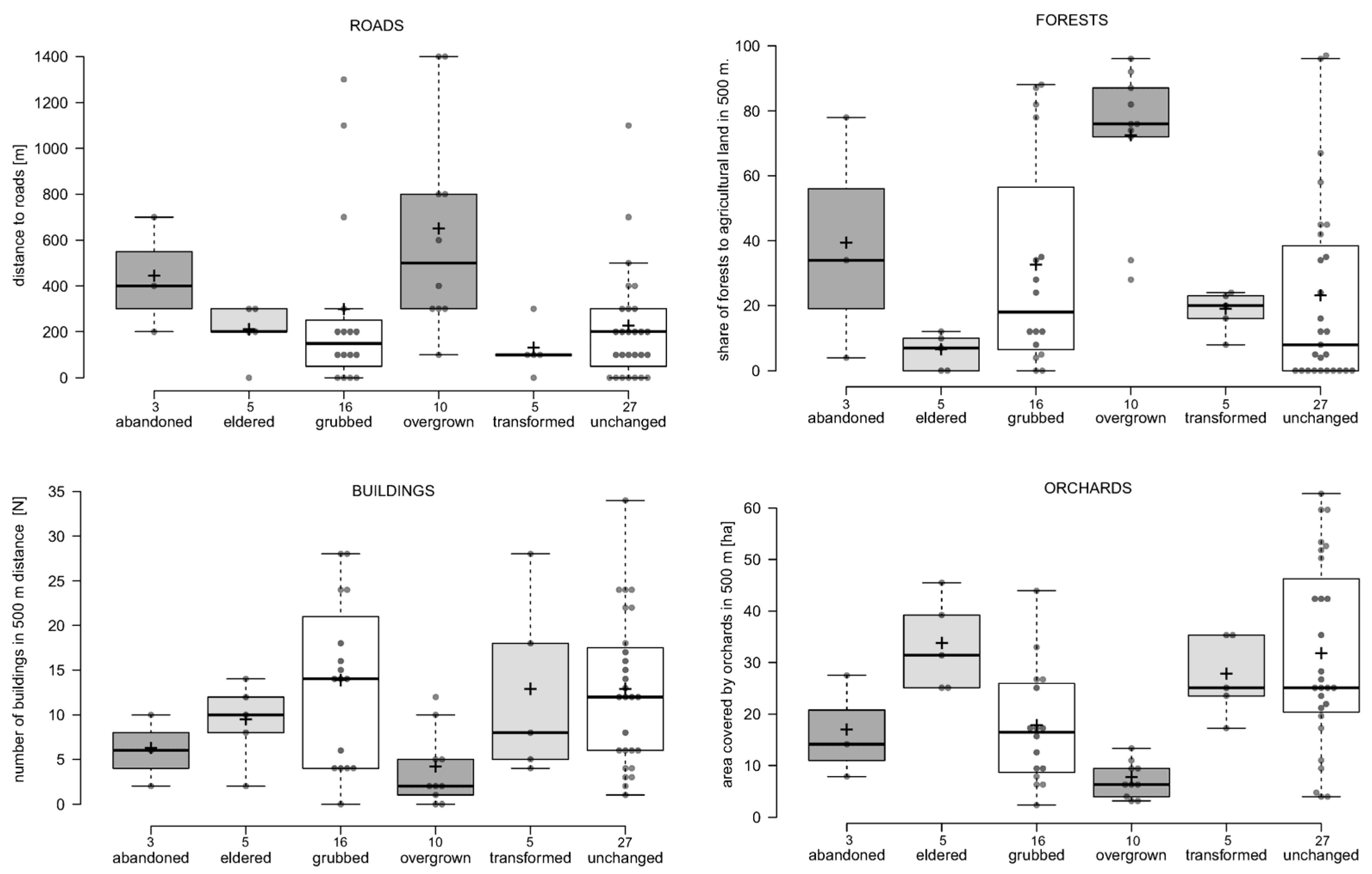
3. Results
3.1. Orchards
3.2. Woodpeckers
4. Discussion
5. Conclusions
Supplementary Materials
Funding
Institutional Review Board Statement
Data Availability Statement
Acknowledgments
Conflicts of Interest
References
- Donald, P.E.; Sanderson, F.J.; Burfield, I.J.; van Bommel, F.P.J. Further evidence of continent-wide impacts of agricultural intensification on European farmland birds, 1990–2000. Agric. Ecosyst. Environ. 2006, 116, 189–196. [Google Scholar] [CrossRef]
- Bergmeier, E.; Petermann, J.; Schröder, E. Geobotanical survey of wood-pasture habitats in Europe: Diversity, threats and conservation. Biodivers. Conserv. 2010, 19, 2995–3014. [Google Scholar] [CrossRef]
- Steffan-Dewenter, I.; Leschke, K. Effects of habitat management on vegetation and above-ground nesting bees and wasps of orchard meadows in Central Europe. Biodivers. Conserv. 2003, 12, 1953–1968. [Google Scholar] [CrossRef]
- Horak, J. Fragmented habitats of traditional fruit orchards are important for dead wood-dependent beetles associated with open canopy deciduous woodlands. Naturwissenschaften 2014, 101, 499–504. [Google Scholar] [CrossRef] [PubMed]
- Žarnovičan, H.; Kanka, R.; Kollár, J.; Vyskupová, M.; Sivecká, A.; Tichá, A.; Fašungová, S.; Kršiaková, D. Traditional orchard Management in the Western Carpathians (Slovakia): Evolution between 1955 and 2015. Biologia 2020, 75, 535–546. [Google Scholar] [CrossRef]
- Lieskovský, J.; Bezák, P.; Špulerová, J.; Lieskovský, T.; Koleda, P.; Dobrovodská, M.; Bürgi, M.; Gimmi, U. The abandonment of traditional agricultural landscape in Slovakia—Analysis of extent and driving forces. J. Rural Stud. 2015, 37, 75–84. [Google Scholar] [CrossRef]
- Terres, J.M.; Scacchiafichi, L.N.; Wania, A.; Ambar, M.; Anguiano, E.; Buckwell, A.; Coppola, A.; Gocht, A.; Källström, H.N.; Pointereau, P.; et al. Farmland abandonment in Europe: Identification of drivers and indicators, and development of a composite indicator of risk. Land Use Policy 2015, 49, 20–34. [Google Scholar] [CrossRef]
- Radović, A.; Nikolov, S.C.; Tepić, N.; Mikulić, K.; Jelaska, S.D.; Budinski, I. The influence of land abandonment on farmland bird communities: A case study from a floodplain landscape in Continental Croatia. Folia Zool 2013, 62, 269–281. [Google Scholar] [CrossRef]
- Kajtoch, Ł. The importance of traditional orchards for breeding birds: The preliminary study on Central European example. Acta Oecol. 2017, 78, 53–60. [Google Scholar] [CrossRef]
- Schönhart, M.; Schauppenlehner, T.; Schmid, E.; Muhar, A. Analysing the maintenance and establishment of orchard meadows at farm and landscape levels applying a spatially explicit integrated modelling approach. J. Environ. Plan. Manag. 2011, 54, 115–143. [Google Scholar] [CrossRef]
- Žarnovičan, H.; Kollár, J.; Škodová, I. Grassland communities of traditional orchards in the Western Carpathians (Slovakia). Acta Soc. Bot. Pol. 2017, 86, 3552. [Google Scholar] [CrossRef]
- Brambilla, M.; Assandri, G.; Martino, G.; Bogliani, G.; Pedrini, P. The importance of residual habitats and crop management for the conservation of birds breeding in intensive orchards. Ecol. Res. 2015, 30, 597–604. [Google Scholar] [CrossRef]
- Michalczuk, J.; Michalczuk, M. Habitat preferences of Picidae woodpeckers in the agricultural landscape of SE Poland: Is the Syrian Woodpecker Dendrocopos syriacus colonizing a vacant ecological niche? North-West. J. Zool. 2016, 12, 14–21. [Google Scholar]
- Figarski, T.; Kajtoch, Ł. Differences in habitat requirements between two sister Dendrocopos woodpeckers in urban environments: Implication for the conservation of Syrian Woodpecker. Acta Ornithol. 2018, 53, 23–36. [Google Scholar] [CrossRef]
- Michalczuk, J. Expansion of the Syrian Woodpecker Dendrocopos syriacus in Europe and Western Asia. Ornis Pol. 2014, 55, 149–161. [Google Scholar]
- Michalczuk, J.; Michalczuk, M. Spadek liczebności dzięcioła białoszyjego Dendrocopos syriacus w krajobrazie rolniczym południowo-wschodniej Polski w latach 2004–2012. Ornis Pol. 2015, 2, 67–75. [Google Scholar]
- Kajtoch, Ł.; Michalczuk, J. Dzięcioł białoszyi—Bliskowschodni emigrant wymagający uwagi i ochrony. Chrońmy Przyr. Ojczystą 2023, 79, 53–71. [Google Scholar]
- Michalczuk, J.; Michalczuk, M. Nesting preferences of Syrian Woodpeckers Dendrocopos syriacus in the agricultural landscape of SE Poland. Acta Ornithol. 2016, 51, 71–81. [Google Scholar]
- Kajtoch, Ł.; Figarski, T. Comparative distribution of Syrian and great spotted woodpeckers in different landscapes of Poland. Folia Zool. 2017, 66, 29–36. [Google Scholar] [CrossRef]
- Kulikowski, R. Ogrodnictwo w Polsce. Rozmieszczenie, struktura upraw i rola w produkcji rolniczej. Przegląd Geogr. 2007, 79, 79–98. [Google Scholar]
- Michalczuk, J.; Michalczuk, M. Reaction on playback and density estimations of Syrian Woodpecker Dendrocopos syriacus in agricultural areas of SE Poland. Acta Ornithol. 2006, 41, 33–39. [Google Scholar] [CrossRef]
- Figarski, T.; Kajtoch, Ł. Hybrids and mixed pairs of Syrian and great-spotted woodpeckers in urban populations. J. Ornithol. 2018, 159, 311–314. [Google Scholar] [CrossRef]
- Burnham, K.P.; Anderson, D.R. Model Selection and Multimodel Inference: A Practical Information-Theoretic Approach, 2nd ed.; Springer: New York, NY, USA, 2002. [Google Scholar]
- Zarabska, D.; Gutová, A.; Christofolini, F.; Giordiani, P.; Lackovičová, A. Epiphytic lichens of apple orchards in Poland, Slovakia, and Italy. Acta Mycol. 2013, 44, 151–163. [Google Scholar] [CrossRef]
- Pezzi, G.; Gambini, S.; Buldrini, F.; Ferretti, F.; Muzzi, E.; Maresi, G.; Nascimbene, J. Contrasting patterns of tree features, lichen, and plant diversity in managed and abandoned old-growth chestnut orchards of the northern Apennines (Italy). For. Ecol. Manag. 2020, 470, 118207. [Google Scholar] [CrossRef]
- Chodkiewicz, T.; Kuczyński, L.; Sikora, A.; Chylarecki, P.; Neubauer, G.; Ławicki, Ł.; Stawarczyk, T. Oceny liczebności ptaków lęgowych w Polsce w latach 2008–2012. Ornis Pol. 2015, 56, 149–189. [Google Scholar]
- Michalczuk, J. The importance of non-forest tree stand features for protection of the Syrian Woodpecker Dendrocopos syriacus in agricultural landscape: A case study from South-Eastern Poland. Agroforest Syst. 2020, 94, 1825–1835. [Google Scholar] [CrossRef]
- Kronenberg, J.; Łaszkiewicz, E.; Sziło, J. Voting with One’s Chainsaw: What Happens When People are Given the Opportunity to Freely Remove Urban Trees? Landsc. Urban Plan. 2021, 209, 104041. [Google Scholar] [CrossRef]
- Kajtoch, Ł.; Kusal, B. Spadek liczebności populacji dzięcioła białoszyjego Dendrocopos syriacus w aglomeracji krakowskiej. Ornis Pol. 2023, 64, 120–129. [Google Scholar]
- Chamberlain, D.E.; Cannon, A.R.; Toms, M.P. Associations of garden birds with gradients in garden habitat and local habitat. Ecography 2004, 27, 589e600. [Google Scholar] [CrossRef]
- Bailey, D.; Schmidt-Entling, M.H.; Eberhart, P.; Herrmann, J.D.; Hofer, G.; Kormann, U.; Herzog, F. Effects of habitat amount and isolation on biodiversity infragmented traditional orchards. J. Appl. Ecol. 2010, 47, 1003–1013. [Google Scholar] [CrossRef]
- Kleijn, D.; Kohler, F.; Báldi, A.; Batáry, P.; Concepción, E.D.; Clough, Y.; Díaz, M.; Gabriel, D.; Holzschuh, A.; Knop, E.; et al. On the relationship between farmland biodiversity and land-use intensity in Europe. Proc. R. Soc. B Biol. Sci. 2009, 276, 903–909. [Google Scholar] [CrossRef]
- Granatstein, D.; Kupferman, E. Sustainable horticulture in fruit production. Acta Hortic. 2008, 767, 295–308. [Google Scholar] [CrossRef]
- Diacono, M.; Persiani, A.; Testani, E.; Montemurro, F. Sustainability of agro-ecological practices in organic horticulture: Yield, energy-use and carbon footprint. Agroecol. Sustain. Food Syst. 2020, 44, 726–746. [Google Scholar] [CrossRef]
- Grüebler, M.U.; Schaller, S.; Keil, H.; Naef-Daenzer, B. The occurrence of cavities in fruit trees: Effects of tree age and management on biodiversity in traditional European orchards. Biodivers Conserv. 2013, 22, 3233–3246. [Google Scholar] [CrossRef]
- Les, E.; Jeliazkova, M. The Social Economy in Central East and South East Europe. In The Social Economy: Building Inclusive Economies; Noya, A., Clarence, E., Eds.; OECD Publishing: Paris, France, 2008. [Google Scholar]
- Berleant, A.; Carlson, A. (Eds.) The Aesthetics of Human Environments; Broadview Press: Peterborough, CA, USA, 2007. [Google Scholar]
- Ana, M.I. Ecotourism, agro-tourism and rural tourism in the European Union. Cactus Tour. J. 2017, 15, 6–14. [Google Scholar]
- Jermaczek, A.; Jermaczek, M. Lets’ Save Old Orchards; Klub Przyrodników: Swiebodzin, Poland, 2003. (In Polish) [Google Scholar]
- Webster, A.D. A review of fruit tree rootstock research and development. Acta Hortic. 1997, 451, 53–74. [Google Scholar] [CrossRef]



| Grubbed + Transformed | Abandoned + Overgrown | ||||
|---|---|---|---|---|---|
| all types of orchards | |||||
| model | AIC | p | model | AIC | p |
| buildings + orchards | 80.9 | 0.021 | forests | 55.7 | 0.000 |
| buildings + forests + orchards | 81.4 | 0.027 | forests + orchards | 56.3 | 0.000 |
| Intercept | 91.5 | buildings + forests | 57.6 | 0.000 | |
| Intercept | 79.3 | ||||
| Grubbed + Transformed | Abandoned + Overgrown | ||||
|---|---|---|---|---|---|
| formerly abandoned | |||||
| model | AIC | model | AIC | ||
| buildings | 30.6 | 0.340 | buildings | 30.6 | 0.340 |
| forests | 31.0 | 0.464 | forests | 31.0 | 0.464 |
| orchards | 31.4 | 0.714 | orchards | 31.4 | 0.714 |
| roads | 31.5 | 0.880 | roads | 31.5 | 0.880 |
| buildings + orchards | 32.3 | 0.540 | buildings + orchards | 32.3 | 0.540 |
| roads + buildings | 32.4 | 0.566 | roads + buildings | 32.4 | 0.566 |
| Intercept | 29.5 | Intercept | 29.5 | ||
| formerly traditionally farmed | |||||
| model | AIC | p | model | AIC | p |
| roads | 24.5 | 0.002 | roads + forests + orchards | 8.0 | 0.001 |
| roads + buildings | 26.0 | 0.006 | roads + buildings + forests + orchards | 10.0 | 0.002 |
| roads + forests | 26.1 | 0.006 | Intercept | 19.5 | |
| roads + orchards | 26.4 | 0.007 | |||
| Intercept | 32.3 | ||||
| formerly intensively farmed | |||||
| model | AIC | p | |||
| orchards | 15.6 | 0.185 | |||
| roads | 16.3 | 0.294 | |||
| roads + orchards | 16.9 | 0.282 | |||
| forests | 17.2 | 0.665 | |||
| buildings | 17.2 | 0.667 | |||
| buildings + orchards | 17.6 | 0.397 | |||
| Intercept | 15.4 | ||||
Disclaimer/Publisher’s Note: The statements, opinions and data contained in all publications are solely those of the individual author(s) and contributor(s) and not of MDPI and/or the editor(s). MDPI and/or the editor(s) disclaim responsibility for any injury to people or property resulting from any ideas, methods, instructions or products referred to in the content. |
© 2023 by the author. Licensee MDPI, Basel, Switzerland. This article is an open access article distributed under the terms and conditions of the Creative Commons Attribution (CC BY) license (https://creativecommons.org/licenses/by/4.0/).
Share and Cite
Kajtoch, Ł. Loss of Traditional Orchards and Its Impact on the Occurrence of Threatened Tree-Dwelling Bird Species. Agriculture 2023, 13, 2267. https://doi.org/10.3390/agriculture13122267
Kajtoch Ł. Loss of Traditional Orchards and Its Impact on the Occurrence of Threatened Tree-Dwelling Bird Species. Agriculture. 2023; 13(12):2267. https://doi.org/10.3390/agriculture13122267
Chicago/Turabian StyleKajtoch, Łukasz. 2023. "Loss of Traditional Orchards and Its Impact on the Occurrence of Threatened Tree-Dwelling Bird Species" Agriculture 13, no. 12: 2267. https://doi.org/10.3390/agriculture13122267
APA StyleKajtoch, Ł. (2023). Loss of Traditional Orchards and Its Impact on the Occurrence of Threatened Tree-Dwelling Bird Species. Agriculture, 13(12), 2267. https://doi.org/10.3390/agriculture13122267
