Foliar Application of Humic Acid with Fe Supplement Improved Rice, Soybean, and Lettuce Iron Fortification
Abstract
1. Introduction
2. Materials and Methods
2.1. Plant Material and Growth Conditions
2.2. Foliar Treatments
2.3. Physiological Traits and Tissue Nutrient Analysis
2.4. Statistical Analysis
3. Results
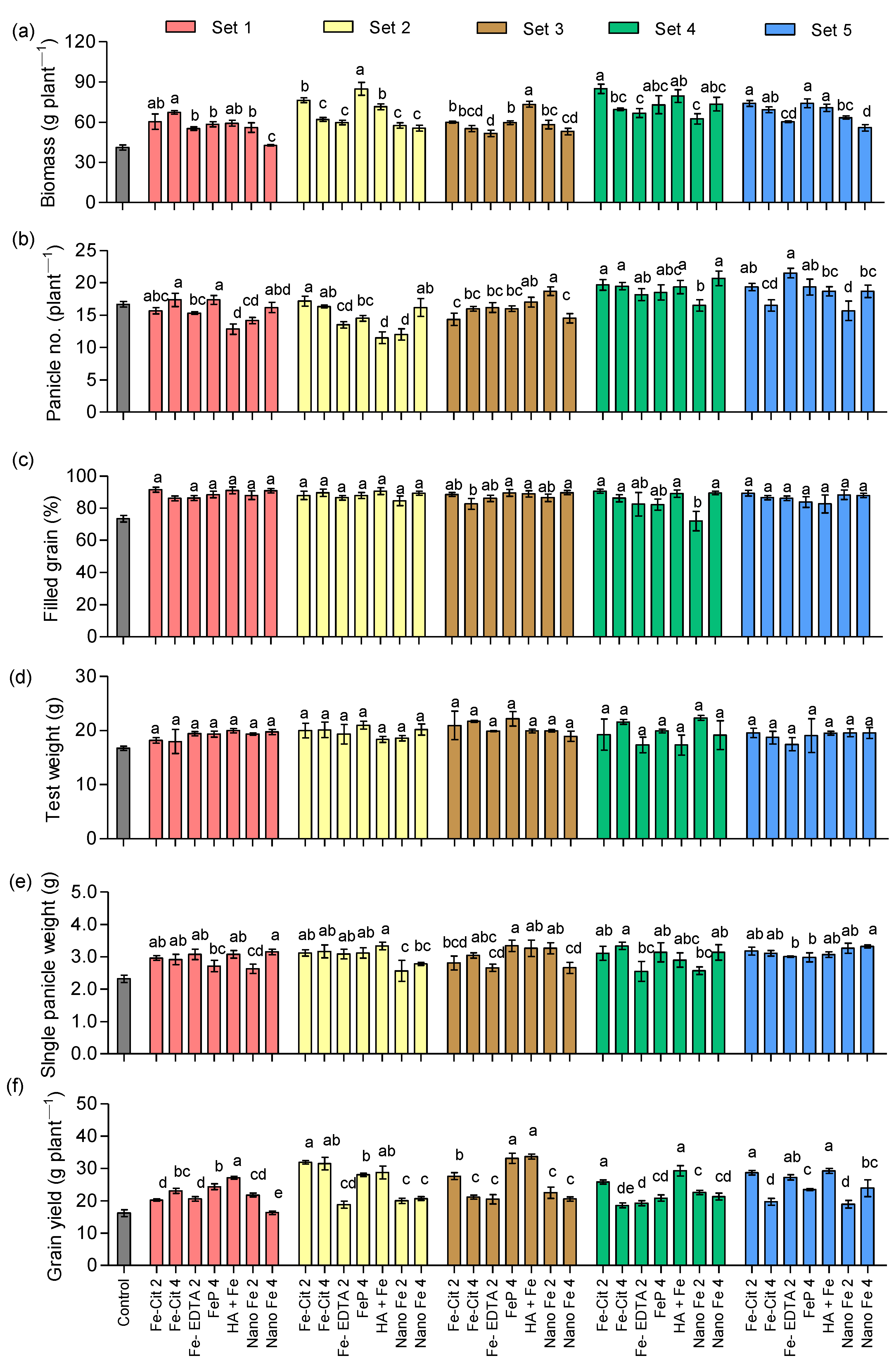
3.1. Influence of Foliar Fe Application on Biomass Accumulation and Yield Attributes
3.2. Influence of Foliar Fe Application on Fe Concentration and Uptake in Rice, Soybean, and Lettuce
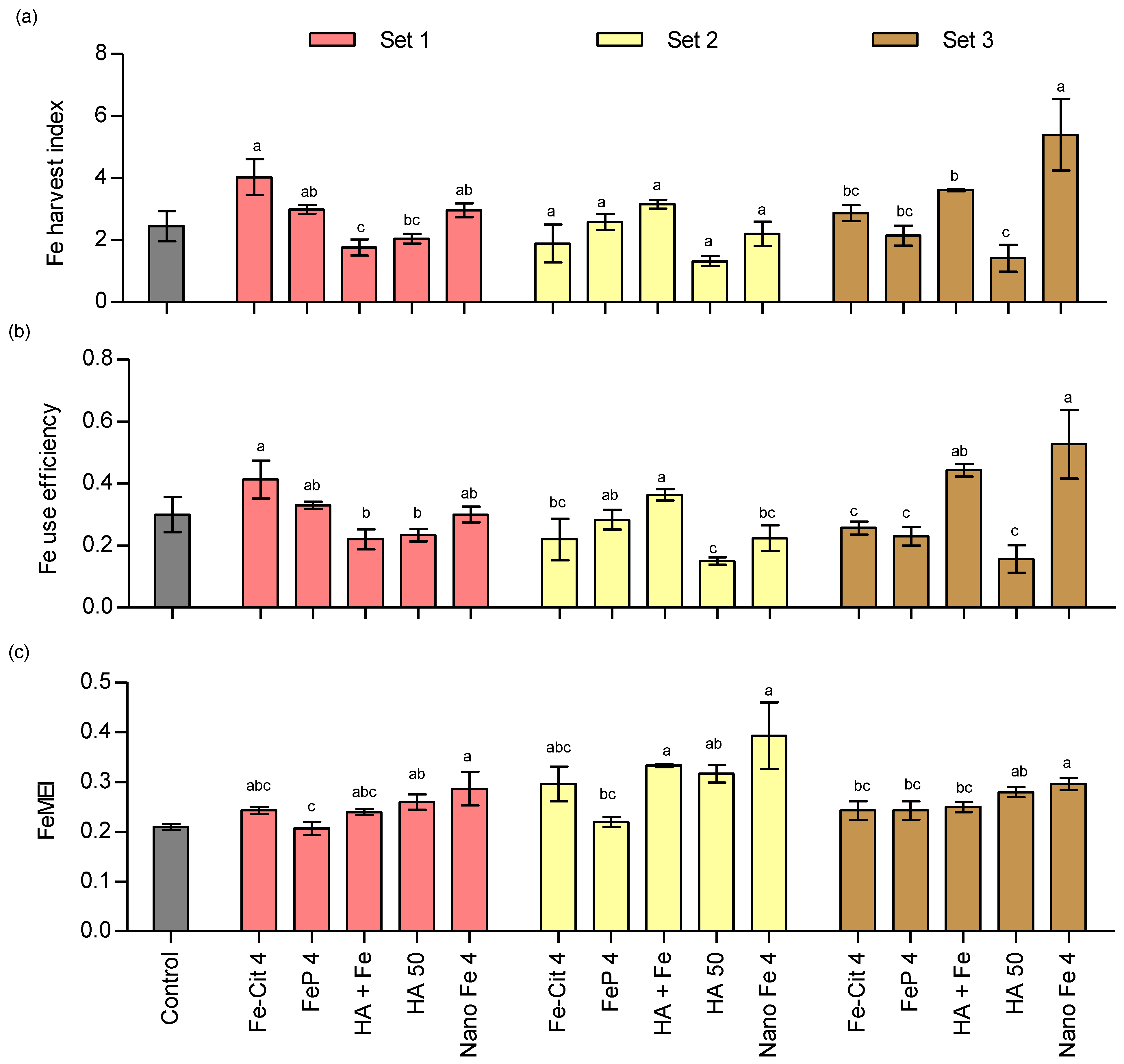
3.3. Influence of Foliar Fe Application on Fe Use Efficiency and Indices in Rice and Soybean
3.4. Association between Fe Contents in Grain and Straw and FeMEI
4. Discussion
5. Conclusions
Supplementary Materials
Author Contributions
Funding
Institutional Review Board Statement
Data Availability Statement
Conflicts of Interest
References
- Mutwiri, L.N.; Kyallo, F.; Kiage, B.; Van der Schueren, B.; Matthys, C. Can improved legume varieties optimize Iron status in low-and middle-income countries? A systematic review. Adv. Nutr. 2020, 11, 1315–1324. [Google Scholar] [CrossRef] [PubMed]
- Prom-U-Thai, C.; Rashid, A.; Ram, H.; Zou, C.; Guilherme, L.R.G.; Corguinha, A.P.B.; Guo, S.; Kaur, C.; Naeem, A.; Yamuangmorn, S.; et al. Simultaneous biofortification of rice with zinc, iodine, iron and selenium through foliar treatment of a micronutrient cocktail in five countries. Front. Plant Sci. 2020, 11, 589835. [Google Scholar] [CrossRef] [PubMed]
- Camaschella, C. Iron deficiency. Blood Am. J. Hematol. 2019, 133, 30–39. [Google Scholar] [CrossRef] [PubMed]
- Bindraban, P.S.; Dimkpa, C.O.; Pandey, R. Exploring phosphorus fertilizers and fertilization strategies for improved human and environmental health. Biol. Fertil. Soils. 2020, 56, 299–317. [Google Scholar] [CrossRef]
- Singh, M.K.; Singh, S.; Nautiyal, M.K.; Pandey, I.D.; Gaur, A.K. Variability, heritability and correlation among grain quality traits in basmati rice (Oryza sativa L.). Int. J. Chem. Stud. 2017, 5, 309–312. [Google Scholar]
- Sharma, S.; Malhotra, H.; Borah, P.; Meena, M.K.; Bindraban, P.; Chandra, S.; Pande, V.; Pandey, R. Foliar application of organic and inorganic iron formulation induces differential detoxification response to improve growth and biofortification in soybean. Plant Physiol. Rep. 2019, 24, 119–128. [Google Scholar] [CrossRef]
- Mou, B. Nutrient content of lettuce and its improvement. Curr. Nutr. Food Sci. 2009, 5, 242–248. [Google Scholar] [CrossRef]
- Kalisz, A.; Húska, D.; Jurkow, R.; Dvořák, M.; Klejdus, B.; Caruso, G.; Sękara, A. Nanoparticles of cerium, iron, and silicon oxides change the metabolism of phenols and flavonoids in butterhead lettuce and sweet pepper seedlings. Environ. Sci. Nano 2021, 8, 1945–1959. [Google Scholar] [CrossRef]
- Shukla, A.K.; Behera, S.K.; Prakash, C.; Tripathi, A.; Patra, A.K.; Dwivedi, B.S.; Trivedi, V.; Rao, C.S.; Chaudhari, S.K.; Das, S.; et al. Deficiency of phyto-available sulphur, zinc, boron, iron, copper and manganese in soils of India. Sci. Rep. 2021, 11, 19760. [Google Scholar] [CrossRef]
- Msilini, N.; Attia, H.; Rabhi, M.; Karray, N.; Lachaal, M.; Ouerghi, Z. Responses of two lettuce cultivars to iron deficiency. Exp. Agric. 2012, 48, 523–535. [Google Scholar] [CrossRef]
- Ricachenevsky, F.K.; Sperotto, R.A. There and back again, or always there? The evolution of rice combined strategy for Fe uptake. Front. Plant Sci. 2014, 5, 189. [Google Scholar] [CrossRef] [PubMed]
- Wei, Y.; Shohag, M.J.I.; Yang, X.; Yibin, Z. Effects of foliar iron application on iron concentration in polished rice grain and its bioavailability. J. Agric. Food Chem. 2012, 60, 11433–11439. [Google Scholar] [CrossRef] [PubMed]
- Botoman, L.; Chimungu, J.G.; Bailey, E.H.; Munthali, M.W.; Ander, E.L.; Mossa, A.W.; Nalivata, P.C. Agronomic biofortification increases grain zinc concentration of maize grown under contrasting soil types in Malawi. Plant Direct 2022, 6, e458. [Google Scholar] [CrossRef] [PubMed]
- Niyigaba, E.; Twizerimana, A.; Mugenzi, I.; Ngnadong, W.A.; Ye, Y.P.; Wu, B.M.; Hai, J.B. Winter wheat grain quality, zinc and iron concentration affected by a combined foliar spray of zinc and iron fertilizers. Agronomy 2019, 9, 250. [Google Scholar] [CrossRef]
- Malhotra, H.; Pandey, R.; Sharma, S.; Bindraban, P.S. Foliar fertilization: Possible routes of iron transport from leaf surface to cell organelles. Arch. Agron. Soil Sci. 2020, 66, 279–300. [Google Scholar] [CrossRef]
- Fernández, V.; Ebert, G. Foliar iron fertilization: A critical review. J. Plant Nutr. 2005, 28, 2113–2124. [Google Scholar] [CrossRef]
- Pandey, R.; Krishnapriya, V.; Bindraban, P.S. Biochemical nutrient pathways in plants applied as foliar spray: Phosphorus and iron. VFRC Rep. 2013, 1, 6–60. [Google Scholar]
- Srivastava, A.K.; Singh, S. Foliar fertilization in citrus—A review. Agric. Rev. 2003, 24, 250–264. [Google Scholar]
- Fernández, V.; Brown, P.H. From plant surface to plant metabolism: The uncertain fate of foliar-applied nutrients. Front. Plant Sci. 2013, 4, 289. [Google Scholar] [CrossRef]
- Aciksoz, S.B.; Yazici, A.; Ozturk, L.; Cakmak, I. Biofortification of wheat with iron through soil and foliar application of nitrogen and iron fertilizers. Plant Soil 2011, 349, 215–225. [Google Scholar] [CrossRef]
- Moosavi, A.A.; Ronaghi, A. Influence of foliar and soil applications of iron and manganese on soybean dry matter yield and iron-manganese relationship in a Calcareous soil. Aust. J. Crop Sci. 2011, 5, 1550–1556. [Google Scholar] [CrossRef]
- Malakooti, S.H.; Majidian, M.; Ehteshami, S.M.; Rabiee, M. Evaluation of iron and zinc foliar and soil application on quantitative and qualitative characteristics of two soybean cultivars. A J. Multidiscip. Sci. Technol. 2017, 8, 1–7. [Google Scholar]
- Sharma, S.; Chandra, S.; Kumar, A.; Bindraban, P.; Saxena, A.K.; Pande, V.; Pandey, R. Foliar application of iron fortified bacteriosiderophore improves growth and grain Fe concentration in wheat and soybean. Indian J. Microbiol. 2019, 59, 344–350. [Google Scholar] [CrossRef]
- Rakshit, R.; Patra, A.K.; Purakayastha, T.J.; Singh, R.D.; Pathak, H.; Dhar, S. Super-optimal NPK along with foliar iron application influences bioavailability of iron and zinc of wheat. Proc. Natl. Acad. Sci. India B Biol. Sci. 2016, 86, 159–164. [Google Scholar] [CrossRef]
- Fageria, N.K.; Filho, M.B.; Moreira, A.; Guimarães, C.M. Foliar fertilization of crop plants. J. Plant Nutr. 2009, 32, 1044–1064. [Google Scholar] [CrossRef]
- Armin, M.; Akbari, S.; Mashhadi, S. Effect of time and concentration of nano-Fe foliar application on yield and yield components of wheat. Int. J. Biosci. 2014, 4, 69–75. [Google Scholar]
- Rios, J.J.; Carrasco-Gil, S.; Abadía, A.; Abadía, J. Using Perls staining to trace the iron uptake pathway in leaves of a Prunus rootstock treated with iron foliar fertilizers. Front. Plant Sci. 2016, 7, 893. [Google Scholar] [CrossRef] [PubMed]
- Fernández, V.; Winkelmann, G.; Ebert, G. Iron supply to tobacco plants through foliar application of iron citrate and ferric dimerum acid. Physiol. Plant. 2004, 122, 380–385. [Google Scholar] [CrossRef]
- El-Jendoubi, H.; Vázquez, S.; Calatayud, Á.; Vavpetič, P.; Vogel-Mikuš, K.; Pelicon, P.; Abadia, J.; Abadia, A.; Morales, F. The effects of foliar fertilization with iron sulfate in chlorotic leaves are limited to the treated area. A study with peach trees (Prunus persica L. Batsch) grown in the field and sugar beet (Beta vulgaris L.) grown in hydroponics. Front. Plant Sci. 2014, 5, 2. [Google Scholar] [CrossRef]
- Rodríguez-Lucena, P.; Hernández-Apaolaza, L.; Lucena, J.J. Comparison of iron chelates and complexes supplied as foliar sprays and in nutrient solution to correct iron chlorosis of soybean. J. Plant Nutr. Soil Sci. 2010, 173, 120–126. [Google Scholar] [CrossRef]
- Bakhtiari, M.; Moaveni, P.; Sani, B. The effect of iron nanoparticles spraying time and concentration on wheat. Biol. Forum. 2015, 7, 679. [Google Scholar]
- Wang, P.; Lombi, E.; Zhao, F.J.; Kopittke, P.M. Nanotechnology: A new opportunity in plant sciences. Trends Plant Sci. 2016, 21, 699–712. [Google Scholar] [CrossRef] [PubMed]
- Bastani, S.; Hajiboland, R.; Khatamian, M.; Saket-Oskoui, M. Nano iron (Fe) complex is an effective source of Fe for tobacco plants grown under low Fe supply. J. Soil Sci. Plant Nutr. 2018, 18, 524–541. [Google Scholar] [CrossRef]
- Katkat, A.V.; Çelik, H.; Turan, M.A.; Asik, B.B. Effects of soil and foliar applications of humic substances on dry weight and mineral nutrients uptake of wheat under calcareous soil conditions. Aust. J. Basic Appl. Sci. 2009, 3, 1266–1273. [Google Scholar]
- Pizzeghello, D.; Francioso, O.; Ertani, A.; Muscolo, A.; Nardi, S. Isopentenyladenosine and cytokinin-like activity of different humic substances. J. Geochem. Explor. 2013, 129, 70–75. [Google Scholar] [CrossRef]
- Xiao, T.; Boada, R.; Marini, C.; Liugany, M.; Valiente, M. Influence of a plant biostimulant on the uptake, distribution and speciation of Se in Se-enriched wheat (Triticum aestivum L. cv. Pinzón). Plant Soil 2020, 455, 409–423. [Google Scholar] [CrossRef]
- Xiao, T.; Boada, R.; Llugany, M.; Valiente, M. Co-application of Se and a biostimulant at different wheat growth stages: Influence on grain development. Plant Physiol. Biochem. 2021, 160, 184–192. [Google Scholar] [CrossRef] [PubMed]
- Bhargava, B.S.; Raghupathi, H.B. Analysis of plant materials for macro and micronutrients. In Methods of Analysis of Soils, Plants, Water and Fertilizers; Tandon, H.L.S., Ed.; Fertilization Department Consultant Organization: New Delhi, India, 1993; pp. 49–82. [Google Scholar]
- Zulfiqar, U.; Hussain, S.; Ishfaq, M.; Ali, N.; Yasin, M.U.; Ali, M.A. Foliar manganese supply enhances crop productivity, net benefits, and grain manganese accumulation in direct-seeded and puddled transplanted rice. J. Plant Growth. Regul. 2021, 40, 1539–1556. [Google Scholar] [CrossRef]
- Shivay, Y.S.; Prasad, R.; Rahal, A. Genotypic variation for productivity, zinc utilization efficiencies, and kernel quality in aromatic rices under low available zinc conditions. J. Plant Nutr. 2010, 33, 1835–1848. [Google Scholar] [CrossRef]
- Gardner, R.H.; Milne, B.T.; Turnei, M.G.; O′Neill, R.V. Neutral models for the analysis of broad-scale landscape pattern. Landsc. Ecol. 1987, 1, 19–28. [Google Scholar] [CrossRef]
- Agres. Statistical Software Version 3.01; Pascal International Software Solutions: Atlanta, GA, USA, 1994. [Google Scholar]
- Zhang, J.; Wang, M.Y.; Wu, L.H. Can foliar iron-containing solutions be a potential strategy to enrich iron concentration of rice grains (Oryza sativa L.)? Acta Agric. Scand. B Soil Plant Sci. 2009, 59, 389–394. [Google Scholar] [CrossRef]
- Amuamuha, L.; Pirzad, A.; Hadi, H. Effect of varying concentrations and time of Nano iron foliar application on the yield and essential oil of Pot marigold. Int. Res. J. Appl. Basic Sci. 2012, 3, 2085–2090. [Google Scholar]
- Erdal, I.; Kepenek, K.; Kizilgöz, İ. Effect of foliar iron applications at different growth stages on iron and some nutrient concentrations in strawberry cultivars. Turk. J. Agric. For. 2004, 28, 421–427. [Google Scholar]
- Jalali, M.; Ghanati, F.; Modarres-Sanavi, A.M.; Khoshgoftarmanesh, A.H. Physiological effects of repeated foliar application of magnetite nanoparticles on maize plants. J. Agron. Crop Sci. 2017, 203, 593–602. [Google Scholar] [CrossRef]
- Lobartini, J.C.; Orioli, G.A.; Tan, K.H. Characteristics of soil humic acid fractions separated by ultrafiltration. Commun. Soil Sci. Plant Anal. 1997, 28, 787–796. [Google Scholar] [CrossRef]
- Adani, F.; Genevini, P.; Zaccheo, P.; Zocchi, G. The effect of commercial humic acid on tomato plant growth and mineral nutrition. J. Plant Nutr. 1998, 21, 561–575. [Google Scholar] [CrossRef]
- Nikbakht, A.; Kafi, M.; Babalar, M.; Xia, Y.P.; Luo, A.; Etemadi, N.A. Effect of humic acid on plant growth, nutrient uptake, and postharvest life of gerbera. J. Plant Nutr. 2008, 31, 2155–2167. [Google Scholar] [CrossRef]
- Maibodi, D.H.N.; Kafi, M.; Nikbakht, A.; Rejali, F. Effect of foliar applications of humic acid on growth, visual quality, nutrients content and root parameters of perennial ryegrass (Lolium perenne L.). J. Plant Nutr. 2015, 38, 224–236. [Google Scholar] [CrossRef]
- Tavares, O.C.H.; Santos, L.A.; Ferreira, L.M.; Sperandio, M.V.L.; da Rocha, J.G.; García, A.C.; Dobbss, L.B.; Berbara, R.L.L.; De Souza, S.R.; Fernandes, M.S. Humic acid differentially improves nitrate kinetics under low-and high-affinity systems and alters the expression of plasma membrane H+-ATPases and nitrate transporters in rice. Ann. Appl. Biol. 2017, 170, 89–103. [Google Scholar] [CrossRef]
- Cimrin, K.M.; Yilmaz, I. Humic acid applications to lettuce do not improve yield but do improve phosphorus availability. Acta Agric. Scand. B Soil Plant Sci. 2005, 55, 58–63. [Google Scholar] [CrossRef]
- Liu, X.M.; Zhang, F.D.; Zhang, S.Q.; He, X.S.; Fang, R.; Feng, Z.; Wang, Y.J. Effects of nano-ferric oxide on the growth and nutrients absorption of peanut. Plant Nutr. Fert. Sci. 2005, 11, 14–18. [Google Scholar]
- Sheykhbaglou, R.; Sedghi, M.; Shishevan, M.T.; Sharifi, R.S. Effects of nano-iron oxide particles on agronomic traits of soybean. Not. Sci. Biol. 2010, 2, 112–113. [Google Scholar] [CrossRef]
- Ghafari, H.; Razmjoo, J. Effect of foliar application of nano-iron oxidase, iron chelate and iron sulphate rates on yield and quality of wheat. Int. J. Agron. Plant Prod. 2013, 4, 2997–3003. [Google Scholar]
- Monreal, C.M.; DeRosa, M.; Mallubhotla, S.C.; Bindraban, P.S.; Dimkpa, C. The application of nanotechnology for micronutrients in soil-plant systems. VFRC Rep. 2015, 3, 44. [Google Scholar]
- Tripathi, D.K.; Singh, S.; Singh, S.; Pandey, R.; Singh, V.P.; Sharma, N.C.; Prasad, S.M.; Dubey, N.K.; Chauhan, D.K. An overview on manufactured nanoparticles in plants: Uptake, translocation, accumulation and phytotoxicity. Plant Physiol. Biochem. 2017, 110, 2–12. [Google Scholar] [CrossRef]
- Fernandez-Escobar, R.; Benlloch, M.; Barranco, D.; Duenas, A.; Gañán, J.G. Response of olive trees to foliar application of humic substances extracted from leonardite. Sci. Hortic. 1996, 6, 191–200. [Google Scholar] [CrossRef]
- Liu, C.; Cooper, R.J.; Bowman, D.C. Humic acid application affects photosynthesis, root development, and nutrient content of creeping bentgrass. HortScience 1998, 33, 1023–1025. [Google Scholar] [CrossRef]
- Mackowiak, C.L.; Grossl, P.R.; Bugbee, B.G. Beneficial effects of humic acid on micronutrient availability to wheat. Soil Sci. Soc. Am. J. 2001, 65, 1744–1750. [Google Scholar] [CrossRef]
- Turan, M.; Ekinci, M.; Kul, R.; Kocaman, A.; Argin, S.; Zhirkova, A.M.; Perminova, I.V.; Yildirim, E. Foliar Applications of humic substances together with Fe/nano Fe to increase the iron content and growth parameters of spinach (Spinacia oleracea L.). Agronomy 2022, 12, 2044. [Google Scholar] [CrossRef]









| Crop | Fe Formulations (Source) | Concentration | Abbreviation Used |
|---|---|---|---|
| Rice | Fe-Citrate (Sigma 3522-50-7) | 2 mM and 4 mM | Fe-Cit-2 and Fe-Cit-4 |
| Fe-EDTA (Sigma 149022-26-4) | 2 mM | Fe-EDTA-2 | |
| Fe-phosphate (Sigma 13463-10-0) | 4 mM | FeP-4 | |
| Humic acid (Sigma 1415-93-6) + ferric chloride (Sigma 7705-08-0) | 25 mg L−1 + 2 mM | HA+Fe | |
| Nano Fe (Sigma 1309-37-1) (particle size < 50 nm) | 2 mM and 4 mM | nano-Fe-2 and nano-Fe-4 | |
| Soybean | Fe-Citrate (Sigma 3522-50-7) | 4 mM | Fe-Cit-4 |
| Fe-phosphate (Sigma 13463-10-0) | 4 mM | FeP-4 | |
| Humic acid (Sigma 1415-93-6) + ferric chloride (Sigma 7705-08-0) | 25 mg L−1 + 2 mM | HA+Fe | |
| Humic acid (Sigma 1415-93-6) | 50 mg L−1 | HA | |
| Nano Fe (Sigma 1309-37-1) | 4 mM | nano-Fe-4 | |
| Lettuce | Fe-Citrate (Sigma 3522-50-7) | 2 mM | Fe-Cit-2 |
| Fe-phosphate (Sigma 13463-10-0) | 2 mM | FeP-2 | |
| Humic acid (Sigma 1415-93-6) + ferric chloride (Sigma 7705-08-0) | 25 mg L−1 + 2 mM | HA+Fe | |
| Control | Deionized water | - | Control |
Disclaimer/Publisher’s Note: The statements, opinions and data contained in all publications are solely those of the individual author(s) and contributor(s) and not of MDPI and/or the editor(s). MDPI and/or the editor(s) disclaim responsibility for any injury to people or property resulting from any ideas, methods, instructions or products referred to in the content. |
© 2023 by the authors. Licensee MDPI, Basel, Switzerland. This article is an open access article distributed under the terms and conditions of the Creative Commons Attribution (CC BY) license (https://creativecommons.org/licenses/by/4.0/).
Share and Cite
Sharma, S.; Anand, N.; Bindraban, P.S.; Pandey, R. Foliar Application of Humic Acid with Fe Supplement Improved Rice, Soybean, and Lettuce Iron Fortification. Agriculture 2023, 13, 132. https://doi.org/10.3390/agriculture13010132
Sharma S, Anand N, Bindraban PS, Pandey R. Foliar Application of Humic Acid with Fe Supplement Improved Rice, Soybean, and Lettuce Iron Fortification. Agriculture. 2023; 13(1):132. https://doi.org/10.3390/agriculture13010132
Chicago/Turabian StyleSharma, Sandeep, Neha Anand, Prem S. Bindraban, and Renu Pandey. 2023. "Foliar Application of Humic Acid with Fe Supplement Improved Rice, Soybean, and Lettuce Iron Fortification" Agriculture 13, no. 1: 132. https://doi.org/10.3390/agriculture13010132
APA StyleSharma, S., Anand, N., Bindraban, P. S., & Pandey, R. (2023). Foliar Application of Humic Acid with Fe Supplement Improved Rice, Soybean, and Lettuce Iron Fortification. Agriculture, 13(1), 132. https://doi.org/10.3390/agriculture13010132

