Calibration of Discrete Element Model Parameters of Soil around Tubers during Potato Harvesting Period
Abstract
:1. Introduction
2. Materials and Methods
2.1. Soil for Testing and Its Sampling Method
2.2. The Parameter Calibration Method for the Soil Stacking Angle
2.2.1. Practical Experiments of Soil Stacking Angle
2.2.2. Discrete Element Model of Soil Stacking Angle
2.2.3. Measurement Method for Degree of Stacking Angle
2.3. The Parameter Calibration Method for the Soil Block Shear Crushing
2.3.1. Practical Test of Soil Block Shear Crushing
2.3.2. Discrete Element Model for Soil Block Shear
2.4. Experimental Design for Parameter Calibration
2.4.1. Calibration of Intrinsic Parameters and Contact Parameters—By Stacking Angle Test
- (1)
- The screening test: The Regular Two-Level Factorial Design experiment was design by the Design-Expert 12.0 software. The density of soil, the density of steel, and Poisson’s ratio of steel for the simulation model were set according to Table 1. The remaining 8 factors with a certain range (X1 to X8) were screened for significance. According to the range of the given parameters, the upper limit value of each parameter was considered as the high level and the lower limit value was considered as the low level, which was coded as shown in Table 2 below. Discrete element simulation calculations of soil grains stacking angle were performed for a total of 16 trials. The effects analysis of the experimental results was performed.
- (2)
- The steepest ascent test: Based on the results of the Regular Two-Level Factorial Design test, the steepest ascent test was performed on the screened main factors to determine the interval where the optimal values were located. Intermediate values were taken for other parameters with the low significance of effects in the test. Parameters with significant effects were gradually changed according to equal amounts, in five groups. The simulation test of the soil stacking angle was conducted, and the relative error values of the stacking angle obtained from the simulation test and the actual test results were recorded. The interval with the smallest error range was determined according to the trend of the error values, and the range where the optimal values of the main influencing parameters are located was derived.
- (3)
- The response surface test: Using the soil stacking angle as the response value Y1, the Box–Behnken Design test was performed by Design-Expert software based on the results of Regular Two-Level Factorial Design test and Steepest Ascent test. The interactions between the factors were analyzed, and the corresponding regression models were developed to derive the optimal set of parameters that satisfy the measured degrees. The high level (+1), low level (−1), and center point (0) of the significant parameters correspond to the upper and lower limits and median values of the range where the optimal values are located in the climbing ascent test. The values of the remaining insignificant factors were the same as those of the steepest ascent test. Analyses of variance were performed on the experimental results, and the corresponding regression equations could be derived.
2.4.2. Calibration of Bonding Parameters—By Shear Crushing Test
3. Results
3.1. Results of Soil Stacking Angle Parameter Calibration Tests
3.1.1. Significance Screening Test for the Effect of Factors
3.1.2. Significance Screening Test for the Effect of Factors
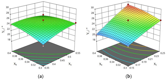
3.1.3. Three-Factor Response Surface Test
3.2. Results of Soil Blocks Shear Crushing Parameter Calibration Tests
4. Discussion
5. Conclusions
- (1)
- The distribution of soil grain size around potato tubers at the harvest period measured in the test was 54.66% for the size less than 4 mm, 19.88% between 4 and 7 mm, and 25.47% greater than 7 mm. The density of the soil was 1100 kg·m−3, and the moisture content was 15.38%. The mean value of the soil stacking angle was 25.73°. The mean value of the maximum shear crushing force of the block was 3.61 N.
- (2)
- Based on the discrete element simulation tests, it was determined that the Poisson’s ratio of the soil, shear modulus of the soil, coefficient of restitution between soil particles, coefficient of restitution between steel and soil, and coefficient of static friction between steel and soil had a small effect on the stacking angle. The values of each parameter were 0.3, 1 × 106 Pa, 0.5, 0.16, and 0.6, respectively. The coefficient of static friction between the soil, coefficient of rolling friction between the soil, and coefficient of rolling friction between steel and soil had significant effects on the stacking angle. The response surface test was carried out, and the quadratic regression model was solved by using the actual test-measured stacking angle number as the target value. The coefficient of static friction between soil particles of 0.542, the coefficient of rolling friction between the soil of 0.213, and the coefficient of rolling friction between soil and steel of 0.336 were solved. Simulation tests were conducted with the optimized parameters, and the relative error between the simulation results and the actual measured values was 0.98%.
- (3)
- A simulation test of soil block shear crushing was established based on the additional Bond model. Simulation tests were performed for four bonding parameters: normal stiffness per unit area, shear stiffness per unit area, critical normal stress, and critical shear stress according to the response surface method. A quadratic regression model was developed with the actual measured values of shear crushing force as the target and optimized for a solution. The values of the four parameters were 2.86 × 106 N·m−2, 1.64 × 106 N·m−2, 2.42 × 105 Pa, and 1.47 × 105 Pa, respectively. The optimized parameters were tested in simulation, and the relative error between the simulation results and the actual measured values was 1.37%.
Author Contributions
Funding
Institutional Review Board Statement
Informed Consent Statement
Data Availability Statement
Conflicts of Interest
References
- Shi, G.; Li, J.; Ding, L.; Zhang, Z.; Ding, H.; Li, N.; Kan, Z. Calibration and Tests for the Discrete Element Simulation Parameters of Fallen Jujube Fruit. Agriculture 2022, 12, 38. [Google Scholar] [CrossRef]
- Shi, S.; Gao, L.; Cai, X.; Yin, H.; Wang, X. Effect of tamping operation on mechanical qualities of ballast bed based on DEM-MBD coupling method. Comput. Geotech. 2020, 124, 103574. [Google Scholar] [CrossRef]
- Nigmetova, A.; Masi, E.; Simonin, O.; Dufresne, Y.; Moureau, V. Three-dimensional DEM-CFD simulation of a lab-scale fluidized bed to support the development of two-fluid model approach. Int. J. Multiphas. Flow 2022, 156, 104189. [Google Scholar] [CrossRef]
- Cheng, H.; Shuku, T.; Thoeni, K.; Yamamoto, H. Probabilistic calibration of discrete element simulations using the sequential quasi-Monte Carlo filter. Granul. Matter 2018, 20, 11. [Google Scholar] [CrossRef]
- Zhao, H.; Huang, Y.; Liu, Z.; Liu, W.; Zheng, Z. Applications of Discrete Element Method in the Research of Agricultural Machinery: A Review. Agriculture 2021, 11, 425. [Google Scholar] [CrossRef]
- Li, J.; Jiang, X.; Ma, Y.; Tong, J.; Hu, B. Bionic design of a potato digging shovel with drag reduction based on the discrete element method (DEM) in clay soil. Appl. Sci. 2020, 10, 7096. [Google Scholar] [CrossRef]
- Fang, W.; Wang, X.; Han, D.; Chen, X. Review of Material Parameter Calibration Method. Agriculture 2022, 12, 706. [Google Scholar] [CrossRef]
- Liu, W.; He, J.; Li, H.; Li, X.; Zheng, K.; Wei, Z. Calibration of Simulation Parameters for Potato Minituber Based on EDEM. Trans. Chin. Soc. Agric. Mach. 2018, 49, 125–135. [Google Scholar]
- Yu, Q.; Liu, Y.; Chen, X.; Sun, K.; Lai, Q. Calibration and Experiment of Simulation Parameters for Panax notoginseng Seeds Based on DEM. Trans. Chin. Soc. Agric. Mach. 2020, 51, 123–132. [Google Scholar]
- Liu, F.; Zhang, J.; Li, B.; Chen, J. Calibration of parameters of wheat required in discrete element method simulation based on repose angle of particle heap. Trans. Chin. Soc. Agric. Eng. 2016, 32, 247–253. [Google Scholar]
- Ma, W.; You, Y.; Wang, D.; Yin, S.; Huan, X. Parameter Calibration of Alfalfa Seed Discrete Element Model Based on RSM and NSGA-Ⅱ. Trans. Chin. Soc. Agric. Mach. 2020, 51, 136–144. [Google Scholar]
- Horabik, J.; Wiącek, J.; Parafiniuk, P.; Bańda, M.; Kobyłka, R.; Stasiak, M.; Molenda, M. Calibration of discrete-element- method model parameters of bulk wheat for storage. Biosyst. Eng. 2020, 200, 298–314. [Google Scholar] [CrossRef]
- Bahrami, M.; Naderi-Boldaji, M.; Ghanbarian, D.; Ucgul, M.; Keller, T. Simulation of plate sinkage in soil using discrete element modelling: Calibration of model parameters and experimental validation. Soil Tillage Res. 2020, 203, 104700. [Google Scholar] [CrossRef]
- Liu, H.; Zhang, W.; Ji, Y.; Qi, B.; Li, K. Parameter calbration of soil particles in annual rice-wheat region based on discrete element method. J. Chin. Agric. Mechanizat. 2020, 41, 153–159. [Google Scholar]
- Wu, T.; Huang, W.; Chen, X.; Ma, X.; Han, Z.; Pan, T. Calibration of discrete element model parameters for cohesive soil considering the cohesion between particles. J. South China Agric. Univ. 2017, 38, 93–98. [Google Scholar]
- Shi, L.; Zhao, W.; Sun, W. Parameter calibration of soil particles contact model of farmland soil in northwest arid region based on discrete element method. Trans. Chin. Soc. Agric. Eng. 2017, 33, 181–187. [Google Scholar]
- Han, S.; Qi, J.; Kan, Z.; Li, Y.; Meng, H. Parameters Calibration of Discrete Element for Deep Application of Bulk Manure in Xinjiang Orchard. Trans. Chin. Soc. Agric. Mach. 2021, 52, 101–108. [Google Scholar]
- Liao, Y.; Liao, Q.; Zhou, Y.; Wang, Z.; Jiang, Y.; Liang, F. Parameters Calibration of Discrete Element Model of Fodder Rape Crop Harvest in Bolting Stage. Trans. Chin. Soc. Agric. Mach. 2020, 51, 73–82. [Google Scholar]
- Ji, L.; Xie, H.; Yang, H.; Wei, H.; Yan, J.; Shen, H. Simulation analysis of potato drysoil cleaning device based on EDEM-Recurdyn coupling. J. Chin. Agric. Mechanizat. 2021, 42, 109–115. [Google Scholar]
- Fan, Y. Research on Potato Digging Mechanism Based on Discrete Element Method and Design of Bionic Shovel. Ph.D. Thesis, Shenyang Agricultural University, Shenyang, China, 2020. [Google Scholar]
- Zhao, J. Simulation and Experimental Investigation of Potato Digging Shovel Working Resistance Based on Discrete Element Method. Master’s Thesis, Shenyang Agricultural University, Shenyang, China, 2017. [Google Scholar]
- Wei, Z.; Su, G.; Li, X.; Wang, F.; Sun, C.; Meng, P. Parameter optimization and Test of Potato Harvester Wavy Sieve Based on EDEM. Trans. Chin. Soc. Agric. Mach. 2020, 51, 109–122. [Google Scholar]
- Wang, X.; Hu, H.; Wang, Q.; Li, H.; He, J.; Chen, W. Calibration Method of Soil Contact Characteristic Parameters Based on DEM Theory. Trans. Chin. Soc. Agric. Mach. 2017, 48, 78–85. [Google Scholar]
- Hao, J.; Wei, W.; Huang, P.; Qin, J.; Zhao, J. Calibration and experimental verification of discrete element parameters of oil sunflower seeds. Trans. Chin. Soc. Agric. Eng. 2021, 37, 36–44. [Google Scholar]
- De Pue, J.; Di Emidio, G.; Verastegui Flores, R.D.; Bezuijen, A.; Cornelis, W.M. Calibration of DEM material parameters to simulate stress-strain behaviour of unsaturated soils during uniaxial compression. Soil Tillage Res. 2019, 194, 104303. [Google Scholar] [CrossRef]
- De Pue, J.; Lamandé, M.; Cornelis, W. DEM simulation of stress transmission under agricultural traffic Part 2: Shear stress at the tyre-soil interface. Soil Tillage Res. 2020, 203, 104660. [Google Scholar] [CrossRef]
- Wu, Z.; Wang, X.; Liu, D.; Xie, F.; Ashwehmbom, L.G.; Zhang, Z.; Tang, Q. Calibration of discrete element parameters and experimental verification for modelling subsurface soils. Biosyst. Eng. 2021, 212, 215–227. [Google Scholar] [CrossRef]
- Xie, F.; Wu, Z.; Wang, X.; Liu, D.; Wu, B.; Zhang, Z. Calibration of discrete element parameters of soils based on unconfinedcompressive strength test. Trans. Chin. Soc. Agric. Eng. 2020, 36, 39–47. [Google Scholar]
- Li, B. Reducing Force and Tillage Performance of a Subsoiler Based on the Discrete Element Method. Ph.D. Thesis, Northwest A&F University, Yangling, China, 2016. [Google Scholar]
- Shi, L.; Wu, J.; Zhao, W.; Sun, W.; Zhang, F.; Sun, B. Establish ment and parameter verification of farmland soil model in uniaxial compression based on discrete element method. J. China Agric. Univ. 2015, 20, 174–182. [Google Scholar]








| Parameter | Value | Parameter | Value |
|---|---|---|---|
| Density of the soil/kg·m−3 | 1100 | Density of the steel/kg·m−3 | 7810 |
| Poisson’s ratio of the soil | 0.20~0.40 | Poisson’s ratio of the steel | 0.30 |
| Shear modulus of the soil/Pa | 0.80~1.20 × 106 | Shear modulus of the steel/Pa | 8.01 × 1010 |
| Coefficient of Restitution between the soil | 0.10~0.90 | Coefficient of Restitution between steel and soil | 0.08~0.24 |
| Coefficient of Static Friction between the soil | 0.25~0.65 | Coefficient of Static Friction between steel and soil | 0.40~0.80 |
| Coefficient of Rolling Friction between the soil | 0.10~0.30 | Coefficient of Rolling Friction between steel and soil | 0.25~0.45 |
| Parameter | Value | ||
|---|---|---|---|
| −1 (Low Level) | +1 (High Level) | ||
| Intrinsic parameters | Poisson’s ratio of the soil X1 | 0.20 | 0.40 |
| Shear modulus of the soil X2/Pa | 8.00 × 105 | 1.20 × 106 | |
| Contact parameters | Coefficient of Restitution between the soil X3 | 0.10 | 0.90 |
| Coefficient of Static Friction between the soil X4 | 0.25 | 0.65 | |
| Coefficient of Rolling Friction between the soil X5 | 0.10 | 0.30 | |
| Coefficient of Restitution between steel and soil X6 | 0.08 | 0.24 | |
| Coefficient of Static Friction between steel and soil X7 | 0.40 | 0.80 | |
| Coefficient of Rolling Friction between steel and soil X8 | 0.25 | 0.45 | |
| The Bonding Parameters | Value | ||
|---|---|---|---|
| −1 | 0 | 1 | |
| Normal stiffness per unit area between the soil X9/N·m−2 | 2.00 × 106 | 2.50 × 106 | 3.00 × 106 |
| Shear stiffness per unit area between the soil X10/N·m−2 | 1.25 × 106 | 1.50 × 106 | 1.75 × 106 |
| Critical normal stress between the soil X11/Pa | 2.00 × 105 | 2.25 × 105 | 2.50 × 105 |
| Critical shear stress between the soil X12/Pa | 1.00 × 105 | 1.50 × 105 | 2.00 × 105 |
| No. | X1 | X2 | X3 | X4 | X5 | X6 | X7 | X8 | Stacking Angle/° |
|---|---|---|---|---|---|---|---|---|---|
| 1 | 0.20 | 0.80 | 0.90 | 0.65 | 0.30 | 0.08 | 0.40 | 0.45 | 30.92 |
| 2 | 0.40 | 1.20 | 0.10 | 0.25 | 0.10 | 0.24 | 0.80 | 0.25 | 14.31 |
| 3 | 0.20 | 1.20 | 0.10 | 0.65 | 0.30 | 0.08 | 0.80 | 0.25 | 24.78 |
| 4 | 0.20 | 0.80 | 0.10 | 0.25 | 0.10 | 0.08 | 0.40 | 0.25 | 13.83 |
| 5 | 0.20 | 1.20 | 0.10 | 0.25 | 0.30 | 0.24 | 0.40 | 0.45 | 19.23 |
| 6 | 0.40 | 1.20 | 0.90 | 0.65 | 0.30 | 0.24 | 0.80 | 0.45 | 29.71 |
| 7 | 0.40 | 0.80 | 0.90 | 0.65 | 0.10 | 0.08 | 0.80 | 0.25 | 15.65 |
| 8 | 0.20 | 1.20 | 0.90 | 0.25 | 0.10 | 0.08 | 0.80 | 0.45 | 15.36 |
| 9 | 0.20 | 1.20 | 0.90 | 0.65 | 0.10 | 0.24 | 0.40 | 0.25 | 17.88 |
| 10 | 0.40 | 1.20 | 0.90 | 0.25 | 0.30 | 0.08 | 0.40 | 0.25 | 15.12 |
| 11 | 0.20 | 0.80 | 0.90 | 0.25 | 0.30 | 0.24 | 0.80 | 0.25 | 15.66 |
| 12 | 0.40 | 0.80 | 0.10 | 0.65 | 0.30 | 0.24 | 0.40 | 0.25 | 23.19 |
| 13 | 0.40 | 0.80 | 0.10 | 0.25 | 0.30 | 0.08 | 0.80 | 0.45 | 19.24 |
| 14 | 0.20 | 0.80 | 0.10 | 0.65 | 0.10 | 0.24 | 0.80 | 0.45 | 18.41 |
| 15 | 0.40 | 1.20 | 0.10 | 0.65 | 0.10 | 0.08 | 0.40 | 0.45 | 18.66 |
| 16 | 0.40 | 0.80 | 0.90 | 0.25 | 0.10 | 0.24 | 0.40 | 0.45 | 17.29 |
| Term | Stdized Effect | Sum of Squares | Contribution | Order of the Significance |
|---|---|---|---|---|
| X1 | −0.36 | 0.53 | 0.13% | 6 |
| X2 | 0.11 | 0.05 | 0.01% | 8 |
| X3 | 0.74 | 2.21 | 0.54% | 4 |
| X4 | 6.15 | 151.04 | 36.82% | 1 |
| X5 | 5.81 | 134.91 | 32.89% | 2 |
| X6 | 0.27 | 0.28 | 0.07% | 7 |
| X7 | −0.38 | 0.56 | 0.14% | 5 |
| X8 | 3.55 | 50.41 | 12.29% | 3 |
| No. | X4 | X5 | X8 | Stacking Angle/° | Relative Error |
|---|---|---|---|---|---|
| 1 | 0.25 | 0.10 | 0.25 | 15.99 | 37.87% |
| 2 | 0.35 | 0.15 | 0.30 | 20.67 | 19.68% |
| 3 | 0.45 | 0.20 | 0.35 | 23.80 | 7.49% |
| 4 | 0.55 | 0.25 | 0.40 | 28.89 | 12.25% |
| 5 | 0.65 | 0.30 | 0.45 | 33.15 | 28.84% |
| No. | X4 | X5 | X8 | Y1/° |
|---|---|---|---|---|
| 1 | 0.55 | 0.20 | 0.30 | 24.98 |
| 2 | 0.45 | 0.20 | 0.35 | 24.88 |
| 3 | 0.45 | 0.20 | 0.35 | 24.42 |
| 4 | 0.55 | 0.20 | 0.40 | 24.66 |
| 5 | 0.35 | 0.15 | 0.35 | 20.01 |
| 6 | 0.55 | 0.15 | 0.35 | 21.57 |
| 7 | 0.45 | 0.15 | 0.40 | 20.49 |
| 8 | 0.45 | 0.20 | 0.35 | 24.59 |
| 9 | 0.45 | 0.15 | 0.30 | 20.88 |
| 10 | 0.55 | 0.25 | 0.35 | 27.16 |
| 11 | 0.45 | 0.25 | 0.30 | 25.98 |
| 12 | 0.45 | 0.25 | 0.40 | 28.91 |
| 13 | 0.35 | 0.20 | 0.40 | 24.15 |
| 14 | 0.35 | 0.20 | 0.30 | 21.07 |
| 15 | 0.35 | 0.25 | 0.35 | 27.02 |
| 16 | 0.45 | 0.20 | 0.35 | 25.97 |
| 17 | 0.45 | 0.20 | 0.35 | 24.57 |
| Source | Sum of Squares | df | Mean Square | F-Value | p-Value | Significant |
|---|---|---|---|---|---|---|
| Model | 103.26 | 9 | 11.47 | 30.70 | <0.0001 | ** |
| X4 | 4.68 | 1 | 4.68 | 12.53 | 0.0095 | ** |
| X5 | 85.28 | 1 | 85.28 | 228.17 | <0.0001 | ** |
| X8 | 3.51 | 1 | 3.51 | 9.39 | 0.0182 | * |
| X4X5 | 0.50 | 1 | 0.5041 | 1.35 | 0.2836 | |
| X4X8 | 2.89 | 1 | 2.89 | 7.73 | 0.0273 | * |
| X5X8 | 2.76 | 1 | 2.76 | 7.37 | 0.0300 | * |
| X42 | 1.77 | 1 | 1.77 | 4.73 | 0.0661 | |
| X52 | 0.37 | 1 | 0.37 | 1.00 | 0.3505 | |
| X82 | 1.15 | 1 | 1.15 | 3.08 | 0.1226 | |
| Residual | 2.62 | 7 | 0.37 | |||
| Lack of Fit | 1.04 | 3 | 0.35 | 0.88 | 0.5247 | |
| Pure Error | 1.58 | 4 | 0.39 | |||
| Cor Total | 105.88 | 16 |
| No. | X9/106 N·m−2 | X10/106 N·m−2 | X11/105 Pa | X12/105 Pa | Y2/N |
|---|---|---|---|---|---|
| 1 | 3.00 | 1.75 | 2.50 | 1.00 | 4.18 |
| 2 | 2.50 | 1.50 | 2.25 | 1.50 | 3.10 |
| 3 | 2.00 | 1.75 | 2.50 | 2.00 | 3.07 |
| 4 | 2.50 | 1.50 | 2.25 | 1.50 | 3.15 |
| 5 | 2.00 | 1.25 | 2.50 | 1.00 | 2.61 |
| 6 | 2.50 | 1.50 | 2.25 | 0.50 | 3.11 |
| 7 | 2.50 | 1.00 | 2.25 | 1.50 | 3.01 |
| 8 | 3.00 | 1.25 | 2.00 | 2.00 | 3.57 |
| 9 | 2.00 | 1.25 | 2.00 | 2.00 | 2.78 |
| 10 | 2.50 | 1.50 | 2.25 | 1.50 | 3.12 |
| 11 | 2.50 | 1.50 | 2.75 | 1.50 | 3.13 |
| 12 | 3.00 | 1.75 | 2.00 | 2.00 | 3.71 |
| 13 | 2.00 | 1.25 | 2.50 | 2.00 | 2.63 |
| 14 | 3.00 | 1.25 | 2.50 | 2.00 | 3.23 |
| 15 | 2.00 | 1.75 | 2.00 | 2.00 | 3.07 |
| 16 | 2.50 | 1.50 | 2.25 | 1.50 | 3.15 |
| 17 | 3.00 | 1.25 | 2.00 | 1.00 | 3.23 |
| 18 | 2.00 | 1.25 | 2.00 | 1.00 | 2.63 |
| 19 | 2.50 | 1.50 | 1.75 | 1.50 | 3.12 |
| 20 | 2.50 | 2.00 | 2.25 | 1.50 | 3.78 |
| 21 | 2.00 | 1.75 | 2.00 | 1.00 | 3.18 |
| 22 | 3.00 | 1.25 | 2.50 | 1.00 | 3.33 |
| 23 | 3.00 | 1.75 | 2.00 | 1.00 | 3.80 |
| 24 | 2.50 | 1.50 | 2.25 | 1.50 | 3.26 |
| 25 | 3.00 | 1.75 | 2.50 | 2.00 | 3.80 |
| 26 | 2.00 | 1.75 | 2.50 | 1.00 | 3.20 |
| 27 | 2.50 | 1.50 | 2.25 | 2.50 | 3.27 |
| 28 | 1.50 | 1.50 | 2.25 | 1.50 | 2.55 |
| 29 | 3.50 | 1.50 | 2.25 | 1.50 | 3.80 |
| 30 | 2.50 | 1.50 | 2.25 | 1.50 | 3.22 |
| Source | df | Mean Square | F-Value | p-Value | Significant |
|---|---|---|---|---|---|
| Model | 14 | 0.31 | 39.85 | <0.0001 | ** |
| X9 | 1 | 2.80 | 356.60 | <0.0001 | ** |
| X10 | 1 | 1.27 | 162.50 | <0.0001 | ** |
| X11 | 1 | 0.00 | 0.05 | 0.8314 | |
| X12 | 1 | 0.00 | 0.00 | 0.9494 | |
| X9X10 | 1 | 0.00 | 0.55 | 0.4709 | |
| X9X11 | 1 | 0.01 | 1.18 | 0.2954 | |
| X9X12 | 1 | 0.00 | 0.21 | 0.6500 | |
| X10X11 | 1 | 0.05 | 6.48 | 0.0223 | ** |
| X10X12 | 1 | 0.08 | 9.75 | 0.0070 | ** |
| X11X12 | 1 | 0.05 | 6.17 | 0.0253 | ** |
| X92 | 1 | 0.00 | 0.15 | 0.7034 | |
| X102 | 1 | 0.11 | 13.58 | 0.0022 | ** |
| X112 | 1 | 0.00 | 0.13 | 0.7249 | |
| X122 | 1 | 0.00 | 0.43 | 0.5228 | |
| Residual | 15 | 0.01 | |||
| Lack of Fit | 10 | 0.01 | 2.71 | 0.1418 | |
| Pure Error | 5 | 0.00 | |||
| Cor Total | 29 |
Publisher’s Note: MDPI stays neutral with regard to jurisdictional claims in published maps and institutional affiliations. |
© 2022 by the authors. Licensee MDPI, Basel, Switzerland. This article is an open access article distributed under the terms and conditions of the Creative Commons Attribution (CC BY) license (https://creativecommons.org/licenses/by/4.0/).
Share and Cite
Li, Y.; Fan, J.; Hu, Z.; Luo, W.; Yang, H.; Shi, L.; Wu, F. Calibration of Discrete Element Model Parameters of Soil around Tubers during Potato Harvesting Period. Agriculture 2022, 12, 1475. https://doi.org/10.3390/agriculture12091475
Li Y, Fan J, Hu Z, Luo W, Yang H, Shi L, Wu F. Calibration of Discrete Element Model Parameters of Soil around Tubers during Potato Harvesting Period. Agriculture. 2022; 12(9):1475. https://doi.org/10.3390/agriculture12091475
Chicago/Turabian StyleLi, Yuyao, Jiali Fan, Zhichao Hu, Weiwen Luo, Hongguang Yang, Lili Shi, and Feng Wu. 2022. "Calibration of Discrete Element Model Parameters of Soil around Tubers during Potato Harvesting Period" Agriculture 12, no. 9: 1475. https://doi.org/10.3390/agriculture12091475
APA StyleLi, Y., Fan, J., Hu, Z., Luo, W., Yang, H., Shi, L., & Wu, F. (2022). Calibration of Discrete Element Model Parameters of Soil around Tubers during Potato Harvesting Period. Agriculture, 12(9), 1475. https://doi.org/10.3390/agriculture12091475

