Soil Autotrophic Bacterial Community Structure and Carbon Utilization Are Regulated by Soil Disturbance—The Case of a 19-Year Field Study
Abstract
:1. Introduction
2. Materials and Methods
2.1. Site Description
2.2. Experimental Design
2.3. Soil Sampling and Physicochemical Property Measurement
2.4. Soil Microbial Catabolic Diversity
2.5. DNA Extraction and Quantification of cbbL Gene Abundance
2.6. High-Throughput Sequencing of the cbbL Gene
2.7. Data Processing and Bioinformatics Analysis
2.8. Statistical Analysis
3. Results
3.1. Soil Physiochemical and Biological Properties
3.2. cbbL Gene Abundance and the Relation to Soil Properties
3.3. Autotrophic Bacterial Community Diversity and OTUs Richness
3.4. Composition and Networks of Soil Autotrophic Bacteria Communities
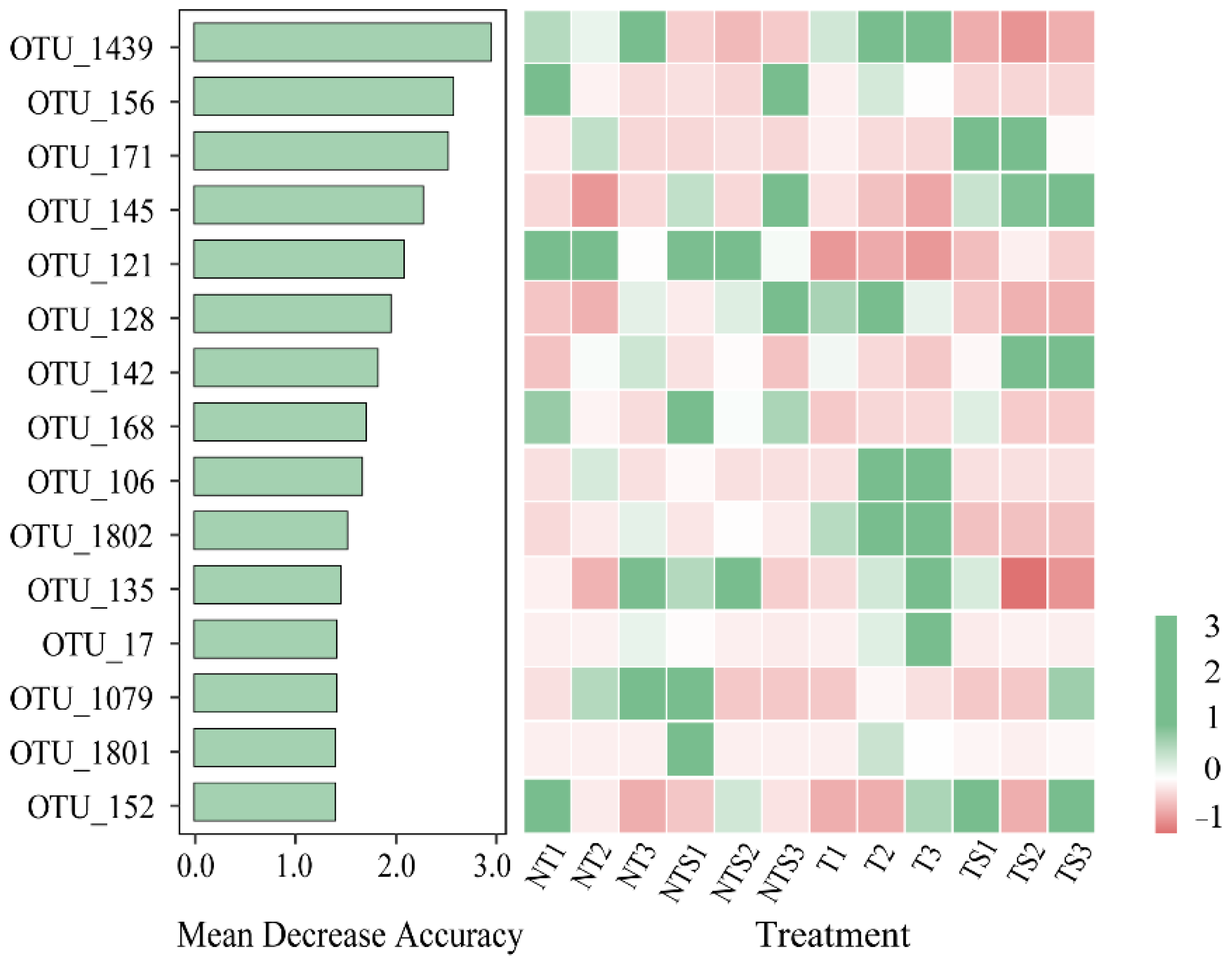
3.5. Biomarkers in the Autotrophic Bacterial Communities
3.6. Soil Microbial Catabolic Diversity and Carbon Utilization Pattern
3.7. Correlation among Physiochemical Traits, Catabolic Diversity, and the Autotrophic Bacterial Community
4. Discussion
4.1. Diversity of Soil cbbL-Carrying Bacterial Communities Shaped by Crop Residue Retention
4.2. cbbL-Carrying Bacterial Catabolic Diversity in Relation to Soil Management
4.3. Relationships among Physiochemical Properties, CO2 Fixation, and Bacterial Diversity
4.4. Implication of Long-Term Field Studies
5. Conclusions
Supplementary Materials
Author Contributions
Funding
Institutional Review Board Statement
Informed Consent Statement
Data Availability Statement
Acknowledgments
Conflicts of Interest
References
- Fierer, N. Embracing the unknown: Disentangling the complexities of the soil microbiome. Nat. Rev. Microbiol. 2017, 15, 579–590. [Google Scholar] [CrossRef] [PubMed]
- Berendsen, R.L.; Pieterse, C.M.; Bakker, P.A. The rhizosphere microbiome and plant health. Trends Plant Sci. 2012, 17, 478–486. [Google Scholar] [CrossRef]
- Nannipieri, P.; Ascher, J.; Ceccherini, M.; Landi, L.; Pietramellara, G.; Renella, G. Microbial diversity and soil functions. Eur. J. Soil Sci. 2003, 54, 655–670. [Google Scholar] [CrossRef]
- Miltner, A.; Richnow, H.-H.; Kopinke, F.-D.; Kästner, M. Assimilation of CO2 by soil microorganisms and transformation into soil organic matter. Org. Geochem. 2004, 35, 1015–1024. [Google Scholar] [CrossRef]
- Lacis, A.A.; Schmidt, G.A.; Rind, D.; Ruedy, R.A. Atmospheric CO2: Principal control knob governing Earth’s temperature. Science 2010, 330, 356–359. [Google Scholar] [CrossRef] [PubMed]
- Tolli, J.; King, G.M. Diversity and structure of bacterial chemolithotrophic communities in pine forest and agroecosystem soils. Appl. Environ. Microbiol. 2005, 71, 8411–8418. [Google Scholar] [CrossRef]
- Stein, S.; Selesi, D.; Schilling, R.; Pattis, I.; Schmid, M.; Hartmann, A. Microbial activity and bacterial composition of H2-treated soils with net CO2 fixation. Soil Biol. Biochem. 2005, 37, 1938–1945. [Google Scholar] [CrossRef]
- Ensign, S.A.; Small, F.J.; Allen, J.R.; Sluis, M.K. New roles for CO2 in the microbial metabolism of aliphatic epoxides and ketones. Arch. Microbiol. 1998, 169, 179–187. [Google Scholar] [CrossRef]
- Cai, P.; Ning, Z.; Zhang, M.; Guo, C.; Niu, M.; Shi, J. Autotrophic metabolism considered to extend the applicability of the carbon balances model for assessing biodegradation in petroleum-hydrocarbon-contaminated aquifers with abnormally low dissolved inorganic carbon. J. Clean. Prod. 2020, 261, 120738. [Google Scholar] [CrossRef]
- Tabita, F.R. Microbial ribulose 1,5-bisphosphate carboxylase/oxygenase: A different perspective. Photosynth. Res. 1999, 60, 1–28. [Google Scholar] [CrossRef]
- Wildman, S.G. Along the trail from Fraction I protein to Rubisco (ribulose bisphosphate carboxylase-oxygenase). Photosynth. Res. 2002, 73, 243–250. [Google Scholar] [CrossRef] [PubMed]
- Correa, S.S.; Schultz, J.; Lauersen, K.J.; Rosado, A.S. Natural carbon fixation and advances in synthetic engineering for redesigning and creating new fixation pathways. J. Adv. Res. 2022, in press. [Google Scholar] [CrossRef]
- Tabita, F.R. Molecular and cellular regulation of autotrophic carbon dioxide fixation in microorganisms. Microbiol. Rev. 1988, 52, 155–189. [Google Scholar] [CrossRef] [PubMed]
- Selesi, D.; Pattis, I.; Schmid, M.; Kandeler, E.; Hartmann, A. Quantification of bacterial RubisCO genes in soils by cbbL targeted real-time PCR. J. Microbiol. Methods 2007, 69, 497–503. [Google Scholar] [CrossRef] [PubMed]
- Kusian, B.; Bowien, B. Organization and regulation of cbb CO2 assimilation genes in autotrophic bacteria. FEMS Microb. Ecol. 1997, 21, 135–155. [Google Scholar] [CrossRef]
- Selesi, D.; Schmid, M.; Hartmann, A. Diversity of green-like and red-like ribulose-1,5-bisphosphate carboxylase/oxygenase large-subunit genes (cbbL) in differently managed agricultural soils. Appl. Environ. Microbiol. 2005, 71, 175–184. [Google Scholar] [CrossRef] [PubMed]
- Navarro-Noya, Y.E.; Gómez-Acata, S.; Montoya-Ciriaco, N.; Rojas-Valdez, A.; Suárez-Arriaga, M.C.; Valenzuela-Encinas, C.; Jiménez-Bueno, N.; Verhulst, N.; Govaerts, B.; Dendooven, L. Relative impacts of tillage, residue management and crop-rotation on soil bacterial communities in a semi-arid agroecosystem. Soil Biol. Biochem. 2013, 65, 86–95. [Google Scholar] [CrossRef]
- Zhang, B.; Li, Y.; Ren, T.; Tian, Z.; Wang, G.; He, X.; Tian, C. Short-term effect of tillage and crop rotation on microbial community structure and enzyme activities of a clay loam soil. Biol. Fertil. Soils 2014, 50, 1077–1085. [Google Scholar] [CrossRef]
- Lamptey, S.; Li, L.; Xie, J.; Coulter, J.A. Tillage system affects soil water and photosynthesis of plastic-mulched maize on the semiarid Loess Plateau of China. Soil Tillage Res. 2020, 196, 104479. [Google Scholar] [CrossRef]
- Klik, A.; Rosner, J. Long-term experience with conservation tillage practices in Austria: Impacts on soil erosion processes. Soil Tillage Res. 2020, 203, 104669. [Google Scholar] [CrossRef]
- Scopel, E.; Triomphe, B.; Affholder, F.; Da Silva, F.A.M.; Corbeels, M.; Xavier, J.H.V.; Lahmar, R.; Recous, S.; Bernoux, M.; Blanchart, E. Conservation agriculture cropping systems in temperate and tropical conditions, performances and impacts. A review. Agron. Sustain. Dev. 2013, 33, 113–130. [Google Scholar] [CrossRef]
- Aziz, I.; Mahmood, T.; Islam, K.R. Effect of long term no-till and conventional tillage practices on soil quality. Soil Tillage Res. 2013, 131, 28–35. [Google Scholar] [CrossRef]
- Liu, C.; Cutforth, H.; Chai, Q.; Gan, Y. Farming tactics to reduce the carbon footprint of crop cultivation in semiarid areas. A review. Agron. Sustain. Dev. 2016, 36, 69. [Google Scholar] [CrossRef]
- Sarker, J.R.; Singh, B.P.; Cowie, A.L.; Fang, Y.; Collins, D.; Badgery, W.; Dalal, R.C. Agricultural management practices impacted carbon and nutrient concentrations in soil aggregates, with minimal influence on aggregate stability and total carbon and nutrient stocks in contrasting soils. Soil Tillage Res. 2018, 178, 209–223. [Google Scholar] [CrossRef]
- Martínez-Mena, M.; Perez, M.; Almagro, M.; Garcia-Franco, N.; Díaz-Pereira, E. Long-term effects of sustainable management practices on soil properties and crop yields in rainfed Mediterranean almond agroecosystems. Eur. J. Agron. 2021, 123, 126207. [Google Scholar] [CrossRef]
- Chai, Q.; Nemecek, T.; Liang, C.; Zhao, C.; Yu, A.; Coulter, J.A.; Wang, Y.; Hu, F.; Wang, L.; Siddique, K.H.M.; et al. Integrated farming with intercropping increases food production while reducing environmental footprint. Proc. Natl. Acad. Sci. USA 2021, 118, e2106382118. [Google Scholar] [CrossRef] [PubMed]
- Buffett, H.G. Reaping the benefits of no-tillage farming. Nature 2012, 484, 455. [Google Scholar] [CrossRef] [PubMed]
- Liu, K.; Bandara, M.; Hamel, C.; Knight, J.D.; Gan, Y. Intensifying crop rotations with pulse crops enhances system productivity and soil organic carbon in semi-arid environments. Field Crops Res. 2020, 248, 107657. [Google Scholar] [CrossRef]
- Wang, L.; Gan, Y.; Bainard, L.; Hamel, C.; St-Arnaud, M.; Hijri, M. Expression of N-cycling genes of root microbiomes provides insights for sustaining oilseed crop production. Environ. Microbiol. 2020, 22, 4545–4556. [Google Scholar] [CrossRef]
- Borrell, A.N.; Shi, Y.; Gan, Y.; Bainard, L.D.; Germida, J.J.; Hamel, C. Fungal diversity associated with pulses and its influence on the subsequent wheat crop in the Canadian prairies. Plant Soil 2017, 414, 13–31. [Google Scholar] [CrossRef]
- Liu, C.; Li, L.; Xie, J.; Coulter, J.A.; Zhang, R.; Luo, Z.; Cai, L.; Wang, L.; Gopalakrishnan, S. Soil bacterial diversity and potential functions are regulated by long-term conservation tillage and straw mulching. Microorganisms 2020, 8, 836. [Google Scholar] [CrossRef]
- Ding, Y.; Wang, F.; Mu, Q.; Sun, Y.; Cai, H.; Zhou, Z.; Xu, J.; Shi, H. Estimating land use/land cover change impacts on vegetation response to drought under ‘Grain for Green’ in the Loess Plateau. Land Degrad. Dev. 2021, 32, 5083–5098. [Google Scholar] [CrossRef]
- Jiang, F.; Xie, X.; Liang, S.; Wang, Y.; Zhu, B.; Zhang, X.; Chen, Y. Loess Plateau evapotranspiration intensified by land surface radiative forcing associated with ecological restoration. Agric. For. Meteorol. 2021, 311, 108669. [Google Scholar] [CrossRef]
- Luo, Z.; Gan, Y.; Niu, Y.; Zhang, R.; Li, L.; Cai, L.; Xie, J. Soil quality indicators and crop yield under long-term tillage systems. Exp. Agric. 2017, 53, 497–511. [Google Scholar] [CrossRef]
- Li, Y.; Gan, Y.; Lupwayi, N.; Hamel, C. Influence of introduced arbuscular mycorrhizal fungi and phosphorus sources on plant traits, soil properties, and rhizosphere microbial communities in organic legume-flax rotation. Plant Soil 2019, 443, 87–106. [Google Scholar] [CrossRef]
- Li, Y.; Laterrière, M.; Lay, C.-Y.; Klabi, R.; Masse, J.; St-Arnaud, M.; Yergeau, É.; Lupwayi, N.Z.; Gan, Y.; Hamel, C. Effects of arbuscular mycorrhizal fungi inoculation and crop sequence on root-associated microbiome, crop productivity and nutrient uptake in wheat-based and flax-based cropping systems. Appl. Soil Ecol. 2021, 168, 104136. [Google Scholar] [CrossRef]
- Hossain, Z.; Hubbard, M.; Gan, Y.; Bainard, L.D. Root rot alters the root-associated microbiome of field pea in commercial crop production systems. Plant Soil 2021, 460, 593–607. [Google Scholar] [CrossRef]
- Juliet, P.M.; Lynne, B.; Randerson, P.F. Analysis of microbial community functional diversity using sole-carbon-source utilisation profiles—A critique. FEMS Microbiol. Ecol. 2002, 42, 1–14. [Google Scholar] [CrossRef]
- Garland, J.L.; Mills, A.L. Classification and characterization of heterotrophic microbial communities on the basis of patterns of community-level sole-carbon-source utilization. Appl. Environ. Microbiol. 1991, 57, 2351–2359. [Google Scholar] [CrossRef]
- Li, P.; Chen, W.; Han, Y.; Wang, D.; Zhang, Y.; Wu, C. Effects of straw and its biochar applications on the abundance and community structure of CO2-fixing bacteria in a sandy agricultural soil. J. Soils Sed. 2020, 20, 2225–2235. [Google Scholar] [CrossRef]
- Li, Z.; Tong, D.; Nie, X.; Xiao, H.; Jiao, P.; Jiang, J.; Li, Q.; Liao, W. New insight into soil carbon fixation rate: The intensive co-occurrence network of autotrophic bacteria increases the carbon fixation rate in depositional sites. Agric. Ecosyst. Environ. 2021, 320, 107579. [Google Scholar] [CrossRef]
- Li, M.; He, P.; Guo, X.-L.; Zhang, X.; Li, L.-J. Fifteen-year no tillage of a Mollisol with residue retention indirectly affects topsoil bacterial community by altering soil properties. Soil Tillage Res. 2021, 205, 104804. [Google Scholar] [CrossRef]
- Lynn, T.M.; Ge, T.; Yuan, H.; Wei, X.; Wu, X.; Xiao, K.; Kumaresan, D.; Yu, S.S.; Wu, J.; Whiteley, A.S. Soil carbon-fixation rates and associated bacterial diversity and abundance in three natural ecosystems. Microb. Ecol. 2017, 73, 645–657. [Google Scholar] [CrossRef]
- Zuber, S.M.; Villamil, M.B. Meta-analysis approach to assess effect of tillage on microbial biomass and enzyme activities. Soil Biol. Biochem. 2016, 97, 176–187. [Google Scholar] [CrossRef]
- Sun, B.; Jia, S.; Zhang, S.; Mclaughlin, N.B.; Liang, A.; Chen, X.; Liu, S.; Zhang, X. No tillage combined with crop rotation improves soil microbial community composition and metabolic activity. Environ. Sci. Pollut. Res. 2016, 23, 6472–6482. [Google Scholar] [CrossRef]
- Fiorini, A.; Boselli, R.; Maris, S.C.; Santelli, S.; Ardenti, F.; Capra, F.; Tabaglio, V. May conservation tillage enhance soil C and N accumulation without decreasing yield in intensive irrigated croplands? Results from an eight-year maize monoculture. Agric. Ecosyst. Environ. 2020, 296, 106926. [Google Scholar] [CrossRef]
- Wei, H.; Peng, C.; Yang, B.; Song, H.; Li, Q.; Jiang, L.; Wei, G.; Wang, K.; Wang, H.; Liu, S. Contrasting soil bacterial community, diversity, and function in two forests in China. Front. Microbiol. 2018, 9, 1693. [Google Scholar] [CrossRef] [PubMed]
- Deng, J.; Zhang, Y.; Yin, Y.; Zhu, X.; Zhu, W.; Zhou, Y.J.P. Comparison of soil bacterial community and functional characteristics following afforestation in the semi-arid areas. PeerJ 2019, 7, e7141. [Google Scholar] [CrossRef]
- Kaiser, K.; Wemheuer, B.; Korolkow, V.; Wemheuer, F.; Nacke, H.; Schöning, I.; Schrumpf, M.; Daniel, R. Driving forces of soil bacterial community structure, diversity, and function in temperate grasslands and forests. Sci. Rep. 2016, 6, 33696. [Google Scholar] [CrossRef]
- Ren, B.; Hu, Y.; Chen, B.; Zhang, Y.; Thiele, J.; Shi, R.; Liu, M.; Bu, R. Soil pH and plant diversity shape soil bacterial community structure in the active layer across the latitudinal gradients in continuous permafrost region of Northeastern China. Sci. Rep. 2018, 8, 5619. [Google Scholar] [CrossRef]
- Qin, J.; Li, M.; Zhang, H.; Liu, H.; Zhao, J.; Yang, D. Nitrogen deposition reduces the diversity and abundance of cbbL gene-containing CO2-fixing microorganisms in the soil of the stipa baicalensis steppe. Front. Microbiol. 2021, 12, 575908. [Google Scholar] [CrossRef] [PubMed]
- Geisseler, D.; Scow, K.M. Long-term effects of mineral fertilizers on soil microorganisms—A review. Soil Biol. Biochem. 2014, 75, 54–63. [Google Scholar] [CrossRef]
- Niu, Y.; Bainard, L.D.; May, W.E.; Hossain, Z.; Hamel, C.; Gan, Y. Intensified pulse rotations buildup pea rhizosphere pathogens in cereal and pulse based cropping systems. Front. Microbiol. 2018, 9, 1909. [Google Scholar] [CrossRef] [PubMed]
- Hamel, C.; Gan, Y.; Sokolski, S.; Bainard, L.D. High frequency cropping of pulses modifies soil nitrogen level and the rhizosphere bacterial microbiome in 4-year rotation systems of the semiarid prairie. Appl. Soil Ecol. 2018, 126, 47–56. [Google Scholar] [CrossRef]
- Nannipieri, P.; Ascher-Jenull, J.; Ceccherini, M.T.; Pietramellara, G.; Renella, G.; Schloter, M. Beyond microbial diversity for predicting soil functions: A mini review. Pedosphere 2020, 30, 5–17. [Google Scholar] [CrossRef]
- Inubushi, K.; Yashima, M.; Hanazawa, S.; Goto, A.; Miyamoto, K.; Tsuboi, T.; Asea, G. Long-term fertilizer management in NERICA cultivated upland affects on soil bio-chemical properties. Soil Sci. Plant Nutr. 2020, 66, 247–253. [Google Scholar] [CrossRef]
- Wang, X.; Teng, Y.; Ren, W.; Han, Y.; Wang, X.; Li, X. Soil bacterial diversity and functionality are driven by plant species for enhancing polycyclic aromatic hydrocarbons dissipation in soils. Sci. Total Environ. 2021, 797, 149204. [Google Scholar] [CrossRef]
- Tang, C.; Li, Y.; Song, J.; Antonietti, M.; Yang, F. Artificial humic substances improve microbial activity for binding CO2. iScience 2021, 24, 102647. [Google Scholar] [CrossRef]
- Wang, Q.; Liang, A.; Chen, X.; Zhang, S.; Zhang, Y.; McLaughlin, N.B.; Gao, Y.; Jia, S. The impact of cropping system, tillage and season on shaping soil fungal community in a long-term field trial. Eur. J. Soil Biol. 2021, 102, 103253. [Google Scholar] [CrossRef]
- Lu, J.; Qiu, K.; Li, W.; Wu, Y.; Ti, J.; Chen, F.; Wen, X. Tillage systems influence the abundance and composition of autotrophic CO2-fixing bacteria in wheat soils in North China. Eur. J. Soil Biol. 2019, 93, 103086. [Google Scholar] [CrossRef]
- Essel, E.; Xie, J.; Deng, C.; Peng, Z.; Wang, J.; Shen, J.; Xie, J.; Coulter, J.A.; Li, L. Bacterial and fungal diversity in rhizosphere and bulk soil under different long-term tillage and cereal/legume rotation. Soil Tillage Res. 2019, 194, 104302. [Google Scholar] [CrossRef]
- St. Luce, M.; Lemke, R.; Gan, Y.; McConkey, B.; May, W.; Campbell, C.; Zentner, R.; Wang, H.; Kroebel, R.; Fernandez, M.; et al. Diversifying cropping systems enhances productivity, stability, and nitrogen use efficiency. Agron. J. 2020, 112, 1517–1536. [Google Scholar] [CrossRef] [Green Version]






| Treatment Abbreviation a | Tillage | Crop Residue |
|---|---|---|
| T | Conventional tillage, plowed to the 20 cm depth in the fall and harrowed the following spring | Crop residue was removed out of the field at harvest |
| NT | No tillage | Crop residue was removed out of the field at harvest |
| TS | Conventional tillage, plowed to the 20 cm depth in the fall and harrowed the following spring | Crop straw was chopped and incorporated in the soil via the fall plowing |
| NTS | No tillage | Crop straw was chopped, spread, and remained on the soil’s surface |
| Soil Parameter a | Treatment b | |||
|---|---|---|---|---|
| NT | NTS | T | TS | |
| pH (H2O) | 8.13 ± 0.03 a c | 8.10 ± 0.03 a | 8.13 ± 0.02 a | 8.14 ± 0.07 a |
| SOC (g kg−1) | 12.77 ± 0.61 ab | 14.03 ± 0.40 a | 12.37 ± 0.81 b | 13.13 ± 0.60 ab |
| TN (g kg−1) | 0.86 ± 0.07 ab | 1.07 ± 0.13 a | 0.78 ± 0.08 b | 0.88 ± 0.09 ab |
| TP (g kg−1) | 0.56 ± 0.02 a | 0.66 ± 0.16 a | 0.54 ± 0.06 a | 0.55 ± 0.05 a |
| TK (g kg−1) | 18.61 ± 0.90 ab | 19.29 ± 0.44 a | 17.39 ± 0.77 b | 18.86 ± 0.67 ab |
| Olsen p (mg kg−1) | 13.43 ± 2.71 a | 15.89 ± 1.95 a | 14.04 ± 4.30 a | 15.38 ± 1.03 a |
| NO3−-N (mg kg−1) | 37.54 ± 3.38 a | 35.79 ± 1.02 a | 36.26 ± 3.95 a | 33.84 ± 3.20 a |
| NH4+–N (mg kg−1) | 1.28 ± 0.29 a | 1.48 ± 0.09 a | 1.40 ± 0.13 a | 1.20 ± 0.13 a |
| Moisture (%) | 13.57 ± 0.43 a | 14.76 ± 0.97 a | 13.56 ± 0.35 a | 13.87 ± 0.44 a |
| Bulk density (g cm−3) | 1.25 ± 0.03 b | 1.19 ± 0.02 c | 1.31 ± 0.02 a | 1.23 ± 0.03 bc |
| Total porosity (%) | 53.05 ± 0.28 a | 53.52 ± 0.79 a | 50.43 ± 0.72 b | 51.25 ± 0.32 b |
| SC (mm h−1) | 77.16 ± 2.24 b | 86.28 ± 2.09 a | 73.05 ± 0.53 c | 86.21 ± 1.45 a |
| Temperature (°C) | 23.20 ± 0.96 a | 23.63 ± 0.70 a | 23.10 ± 0.66 a | 24.03 ± 0.55 a |
| SMBC (mg C kg−1) | 185.51 ± 8.82 ab | 217.12 ± 11.35 a | 164.69 ± 12.31 b | 192.75 ± 16.92 ab |
| SMBN (mg N kg−1) | 19.27 ± 0.66 b | 22.01 ± 1.61 a | 18.22 ± 0.61 b | 18.20 ± 0.53 b |
| Treatment Abbreviation a | cbbL Abundance (108 Copies g−1 Soil) |
|---|---|
| NT | 2.17 ± 0.42 b b |
| NTS | 3.51 ± 0.36 a |
| T | 2.31 ± 0.30 b |
| TS | 2.39 ± 0.27 b |
Publisher’s Note: MDPI stays neutral with regard to jurisdictional claims in published maps and institutional affiliations. |
© 2022 by the authors. Licensee MDPI, Basel, Switzerland. This article is an open access article distributed under the terms and conditions of the Creative Commons Attribution (CC BY) license (https://creativecommons.org/licenses/by/4.0/).
Share and Cite
Liu, C.; Xie, J.; Luo, Z.; Cai, L.; Li, L. Soil Autotrophic Bacterial Community Structure and Carbon Utilization Are Regulated by Soil Disturbance—The Case of a 19-Year Field Study. Agriculture 2022, 12, 1415. https://doi.org/10.3390/agriculture12091415
Liu C, Xie J, Luo Z, Cai L, Li L. Soil Autotrophic Bacterial Community Structure and Carbon Utilization Are Regulated by Soil Disturbance—The Case of a 19-Year Field Study. Agriculture. 2022; 12(9):1415. https://doi.org/10.3390/agriculture12091415
Chicago/Turabian StyleLiu, Chang, Junhong Xie, Zhuzhu Luo, Liqun Cai, and Lingling Li. 2022. "Soil Autotrophic Bacterial Community Structure and Carbon Utilization Are Regulated by Soil Disturbance—The Case of a 19-Year Field Study" Agriculture 12, no. 9: 1415. https://doi.org/10.3390/agriculture12091415
APA StyleLiu, C., Xie, J., Luo, Z., Cai, L., & Li, L. (2022). Soil Autotrophic Bacterial Community Structure and Carbon Utilization Are Regulated by Soil Disturbance—The Case of a 19-Year Field Study. Agriculture, 12(9), 1415. https://doi.org/10.3390/agriculture12091415

