Identification Model of Soil Physical State Using the Takagi–Sugeno Fuzzy Neural Network
Abstract
:1. Introduction
2. Materials and Methods
2.1. Principle of the Soil Physical State Identification Method
2.2. Data Acquisition Equipment
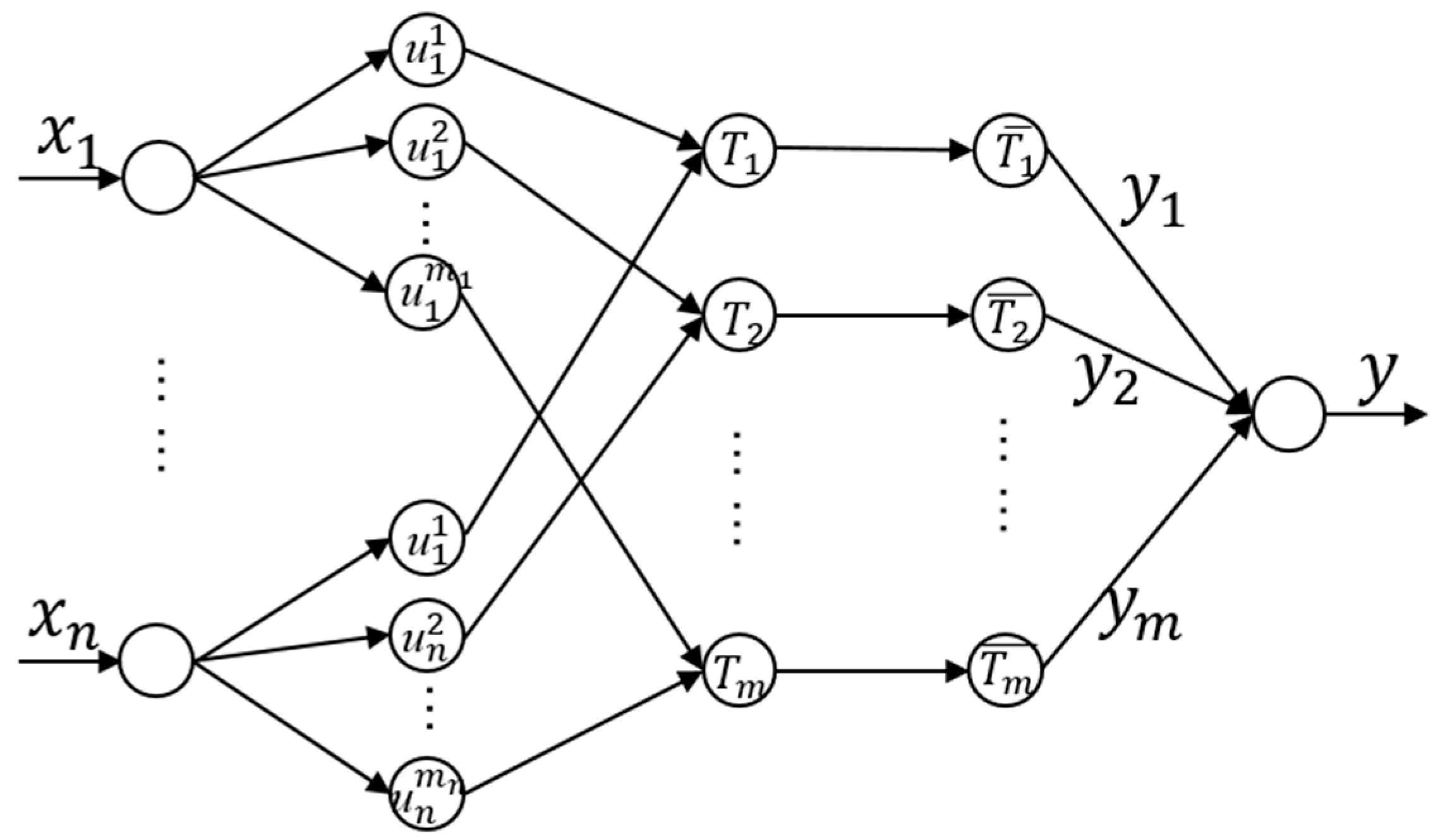
2.3. Construction of the Identification Model
2.3.1. Antecedent Network
2.3.2. Consequent Network
2.4. Learning Optimization Algorithm
2.4.1. Clustering Algorithm for the Parameter Identification of the Antecedent Network
- (1)
- Initialization: Using the SCM method to initialize the model input data center value , i = 1, 2, …, c.
- (2)
- Calculate the membership degree of each sample j belonging to the sample data center value , and the constraint condition is .
- (3)
- Recalculate the center value of the model input data:
- (4)
- Calculate the value of the objective function:
- (5)
- After completing a cycle, compare the value of the objective function until the numerical convergence stop iteration.
2.4.2. Hybrid Learning Algorithm for Parameter Optimization
2.5. Overview of Experimental Field
2.6. Test Method
3. Results and Discussion
3.1. Test Platform
3.2. Draft Force and Soil Moisture Content
3.3. Soil Physical State
3.4. Clustering Algorithm
3.5. Perception Model
3.5.1. Datasets
3.5.2. Parameter Settings
3.5.3. Training Environment
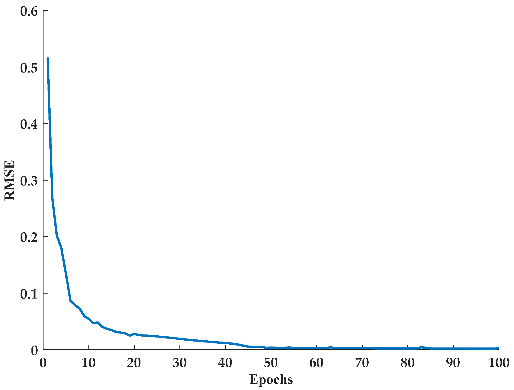
3.5.4. Algorithm Comparison
4. Conclusions
- (1)
- Complex and unclear relationships exist between plowing resistance, working parameters, and soil conditions. In this study, the field operation parameters and soil physical parameters were obtained using a data acquisition platform and soil instrument to construct the T–S fuzzy neural network for predicting soil physical state.
- (2)
- We measured soil moisture content corresponding to working parameters during plowing. The average soil moisture content decreased by 4.1% when the plowing depth increased from 16 cm to 24 cm, indicating that the soil moisture content decreased with the increase in paddy soil depth. In addition, at plowing depths of 16 cm and 24 cm, the maximum change values of the adjacent acquisition points were 11.6% and 14.5%, respectively. The change form of the soil moisture content in the horizontal and vertical directions indicates that soil moisture content has spatial differences.
- (3)
- The T–S fuzzy neural network classifier was constructed using traction resistance, operating velocity, and plowing depth as inputs and the soil’s physical state as output. Our results show that when 280 groups of test data were used to verify the model, 264 groups were accurately predicted, and the Accuracy, Precision, Recall, and F-Score of the fuzzy model are 94.29%, 94.41%, 94.56%, and 93.05%. This indicates that the T–S fuzzy neural network model based on plowing resistance and working parameters can accurately identify the physical state of paddy soil in real-time during plowing, which provides a reliable reference for the selection of the optimal combination of plowing parameters and reduction in the energy consumption, thereby improving the overall efficiency of plowing.
- (4)
- Based on the conclusions of this paper, the optimal combination of operating parameters under different soil physical states can be further studied using DEM.
Author Contributions
Funding
Institutional Review Board Statement
Informed Consent Statement
Data Availability Statement
Acknowledgments
Conflicts of Interest
References
- Xie, B.; Wu, Z.B.; Mao, E.R. Development and Prospect of Key Technologies on Agricultural Tractor. Trans. Chin. Soc. Agric. Mac. 2018, 49, 1–17. [Google Scholar]
- Ibrahmi, A.; Bentaher, H.; Hbaieb, M.; Maalej, A.; Mouazen, A.M. Study the effect of tool geometry and operational conditions on mouldboard plough forces and energy requirement: Part 1. Finite element simulation. Comput. Electron. Agric. 2015, 117, 258–267. [Google Scholar] [CrossRef]
- Soni, P.; Salokhe, V.M.; Nakashima, H. Modification of a mouldboard plough surface using arrays of polyethylene protuberances. J. Terramech. 2007, 44, 411–422. [Google Scholar] [CrossRef]
- Owende, P.M.O.; Ward, S.M. Characteristic loading of light mouldboard ploughs at slow speeds. J. Terramech. 1996, 33, 29–53. [Google Scholar] [CrossRef]
- Panigrahi, B.; Mishra, J.N.; Swain, S. Effect of implement and soil parameters on penetration depth of a disc plow. AMA 1990, 21, 9–12. [Google Scholar]
- Kheiralla, A.F.; Yahya, A.; Zohadie, M.; Ishak, W. Modelling of power and energy requirements for tillage implements operating in Serdang sandy clay loam, Malaysia. Soil Tillage Res. 2004, 78, 21–34. [Google Scholar] [CrossRef]
- Qiong, G.; Pitt, R.E.; Ruina, A. A model to predict soil forces on the plough mouldboard. J. Agric. Eng. Res. 1986, 35, 141–155. [Google Scholar] [CrossRef]
- Hettoaratchi, D.R.P. Predicting the draught requirements of concave agricultural discs. J. Terramech. 1997, 34, 209–224. [Google Scholar] [CrossRef]
- Manuwa, S.I.; Ademosun, O.C. Draught and Soil Disturbance of Model Tillage Tines Under Varying Soil Parameters. CIGR J. 2007, 9, 1–17. [Google Scholar]
- Shafaei, S.; Loghavi, M.; Kamgar, S. A comparative study between mathematical models and the ANN data mining technique in draft force prediction of disk plow implement in clay loam soil. CIGR J. 2018, 20, 71–79. [Google Scholar]
- Abd El Wahed, M.A. Draft models of chisel plow based on simulation using artificial neural networks. Misr J. Agr. Eng. 2007, 24, 42–61. [Google Scholar]
- Akbarnia, A.; Mohammadi, A.; Alimardani, R.; Farhani, F. Simulation of draft force of winged share tillage tool using artificial neural network model. CIGR. J. 2014, 16, 57–65. [Google Scholar]
- Alimardani, R.; Abbaspour-Gilandeh, Y.; Khalilian, A.; Keyhani, A.; Sadati, S.H. Prediction of draft force and energy of subsoiling operation using ANN model. J. Food. Agric. Environ. 2009, 7, 537–542. [Google Scholar]
- Al-Hamed, S.A.; Wahby, M.F.; Al-Saqer, S.M.; Aboukarima, A.M.; Sayedahmed, A.A. Artificial neural network model for predicting draft and energy requirements of a disk plow. J. Anim. Plant Sci. 2013, 23, 1714–1724. [Google Scholar]
- Shafaei, S.M.; Nourmohamadi-Moghadami, A.; Kamgar, S. Development of artificial intelligence based systems for prediction of hydration characteristics of wheat. Comput. Electron. Agric. 2016, 128, 34–45. [Google Scholar] [CrossRef]
- Sefeedpari, P.; Rafiee, S.; Akram, A.; Komleh, S.H.P. Modeling output energy based on fossil fuels and electricity energy consumption on dairy farms of Iran: Application of adaptive neural-fuzzy inference system technique. Comput. Electron. Agric. 2014, 109, 80–85. [Google Scholar] [CrossRef]
- Chi, R.; Li, H.; Shen, D.; Huang, B. Enhanced P-type Control: Indirect Adaptive Learning from Set-point Updates. IEEE Trans. Autom. Control 2022. [Google Scholar] [CrossRef]
- Roman, R.C.; Precup, R.E.; Petriu, E.M. Hybrid data-driven fuzzy active disturbance rejection control for tower crane systems. Eur. J. Control 2021, 58, 373–387. [Google Scholar] [CrossRef]
- Godwin, R.; O’dogherty, M.J.; Saunders, C.; Balafoutis, A.T. A force prediction model for mouldboard ploughs incorporating the effects of soil characteristic properties, plough geometric factors and ploughing speed. Biosyst. Eng. 2007, 97, 117–129. [Google Scholar] [CrossRef]
- Godwin, R.J.; O’Dogherty, M.J. Integrated soil tillage force prediction models. J. Terramech. 2007, 44, 3–14. [Google Scholar] [CrossRef]
- Desbiolles, J.M.A.; Godwin, R.J.; Kilgour, J.; Blackmore, B.S. Prediction of tillage implement draught using cone penetrometer data. J. Agric. Eng. Res. 1999, 73, 65–76. [Google Scholar] [CrossRef]
- Li, R.X.; Gao, H.W.; Su, Y.S. Effect of Soil Bulk Density and Moisture Content on the Draft Resistance. Trans. Chin. Soc. Agric. Eng. 1998, 14, 81–85. [Google Scholar]
- Jang, J.R. ANFIS: Adaptive-network-based fuzzy inference system. IEEE Trans. Syst. Man Cybern. 1993, 23, 665–685. [Google Scholar] [CrossRef]
- Taniguchi, T.; Makanga, J.T.; Ohtomo, K.; Kishimoto, T. Draft and soil manipulation by a moldboard plow under different forward speed and body attachments. Trans. ASAE 1999, 42, 1517. [Google Scholar] [CrossRef]
- Shafaei, S.M.; Loghavi, M.; Kamgar, S. Appraisal of Takagi-Sugeno-Kang type of adaptive neuro-fuzzy inference system for draft force prediction of chisel plow implement. Comput. Electron. Agric. 2017, 142, 406–415. [Google Scholar] [CrossRef]
- Al-Suhaibani, S.A.; Ghaly, A.E. Effect of plowing depth of tillage and forward speed on the performance of a medium size chisel plow operating in a sandy soil. Am. J. Agric. Biol. Sci. 2010, 5, 247–255. [Google Scholar] [CrossRef]
- Ji, R.H.; Li, X.; Zhang, S.L.; Zheng, L. Prediction of soil moisture in multiple depth based on time delay neural network. Trans. Chin. Soc. Agric. Eng. 2017, 33, 132–136. [Google Scholar]
- Brocca, L.; Melone, F.; Moramarco, T.; Morbidelli, R. Spatial-temporal variability of soil moisture and its estimation across scales. Water Resour. Res. 2010, 46, 1–14. [Google Scholar] [CrossRef]
- Sahu, R.K.; Raheman, H. Draught prediction of agricultural implements using reference tillage tools in sandy clay loam soil. Biosyst. Eng. 2006, 94, 275–284. [Google Scholar] [CrossRef]
- Nassir, A.J. Effect of moldboard plow types on soil physical properties under different soil moisture content and tractor speed. Basrah J. Agric. Sci. 2018, 31, 48–58. [Google Scholar] [CrossRef]
- Alwan, A.A. A Field Study of Soil Pulverization Energy by using Different Moldboards Types Under Various Operating Condition. Basrah J. Agric. Sci. 2019, 32, 373–388. [Google Scholar] [CrossRef]
- Vernieuwe, H.; De, B.B.; Verhoest, N.E.C. Comparison of clustering algorithms in the identification of Takagi–Sugeno models: A hydrological case study. Fuzzy Sets Syst. 2006, 157, 2876–2896. [Google Scholar] [CrossRef]
- Li, P. Study on Fuzzy Identification Methods for Nonlinear Systems Based on T-S Model. Master’s Thesis, Jiangsu University, Zhenjiang, China, 10 June 2008. [Google Scholar]
- Siarry, P.; Guely, F. A genetic algorithm for optimizing Takagi-Sugeno fuzzy rule bases. Fuzzy Sets Syst. 1998, 99, 37–47. [Google Scholar] [CrossRef]
- Roul, A.K.; Raheman, H.; Pansare, M.S.; Machavaram, R. Predicting the draught requirement of tillage implements in sandy clay loam soil using an artificial neural network. Biosyst. Eng. 2009, 104, 476–485. [Google Scholar] [CrossRef]
- Al-Dosary, N.M.N.; Al-Hamed, S.A.; Aboukarima, A.M. Application of adaptive neuro-fuzzy inference system to predict draft and energy requirements of a disk plow. Int. J. Agric. Biol. Eng. 2020, 13, 198–207. [Google Scholar]









| Clustering Method | Function |
|---|---|
| Fuzzy C-means Method | According to the membership relationship between soil parameters and the clustering center, the soil physical state category was determined. |
| Fuzzy C-means Clustering based on Subtractive Clustering | Identify the structural parameters of the precursor network. |
| Algorithm | Index | |||
|---|---|---|---|---|
| Precision | Recall | F-Score | Response Speed (s) | |
| GD | 0.8882 | 0.9079 | 0.8980 | 0.34 s |
| Hybrid | 0.9441 | 0.9456 | 0.9305 | 0.50 s |
| GA | 0.9586 | 0.9623 | 0.9620 | 0.83 s |
| Actual State | Predicted State | ||
|---|---|---|---|
| Soft | Zero | Hard | |
| soft | 86 | 0 | 0 |
| zero | 2 | 89 | 9 |
| hard | 0 | 5 | 89 |
Publisher’s Note: MDPI stays neutral with regard to jurisdictional claims in published maps and institutional affiliations. |
© 2022 by the authors. Licensee MDPI, Basel, Switzerland. This article is an open access article distributed under the terms and conditions of the Creative Commons Attribution (CC BY) license (https://creativecommons.org/licenses/by/4.0/).
Share and Cite
Zhao, J.; Zhou, J.; Sun, C.; Wang, X.; Liang, Z.; Qi, Z. Identification Model of Soil Physical State Using the Takagi–Sugeno Fuzzy Neural Network. Agriculture 2022, 12, 1367. https://doi.org/10.3390/agriculture12091367
Zhao J, Zhou J, Sun C, Wang X, Liang Z, Qi Z. Identification Model of Soil Physical State Using the Takagi–Sugeno Fuzzy Neural Network. Agriculture. 2022; 12(9):1367. https://doi.org/10.3390/agriculture12091367
Chicago/Turabian StyleZhao, Jianlei, Jun Zhou, Chenyang Sun, Xu Wang, Zian Liang, and Zezhong Qi. 2022. "Identification Model of Soil Physical State Using the Takagi–Sugeno Fuzzy Neural Network" Agriculture 12, no. 9: 1367. https://doi.org/10.3390/agriculture12091367
APA StyleZhao, J., Zhou, J., Sun, C., Wang, X., Liang, Z., & Qi, Z. (2022). Identification Model of Soil Physical State Using the Takagi–Sugeno Fuzzy Neural Network. Agriculture, 12(9), 1367. https://doi.org/10.3390/agriculture12091367

