Sexual Dimorphism in Bone Quality and Performance of Conventional Broilers at Different Growth Phases
Abstract
1. Introduction
2. Materials and Methods
2.1. Animals and Management
2.2. Data Collection
2.3. Statistical Analysis
3. Results
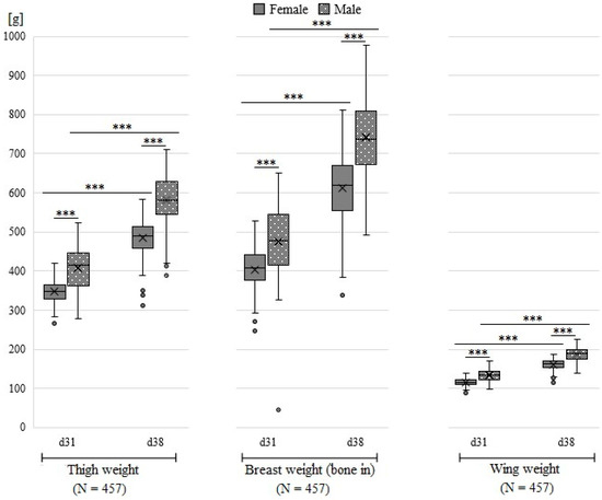
3.1. Performance Parameters
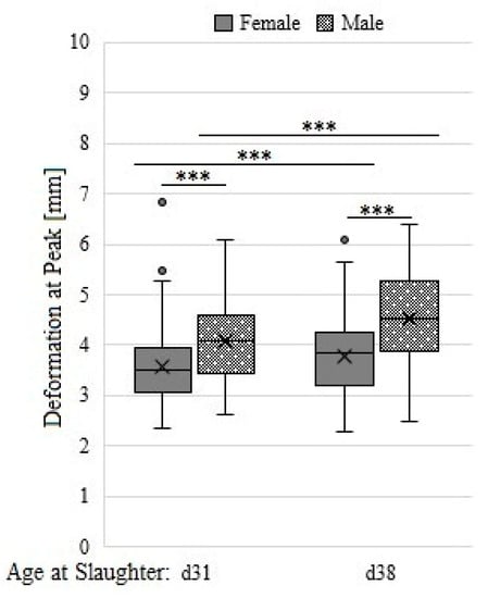
3.2. Bone Parameters
3.3. Correlations
4. Discussion
4.1. Performance Parameters
4.2. Bone Parameters
4.3. Correlations
5. Conclusions
Author Contributions
Funding
Institutional Review Board Statement
Informed Consent Statement
Data Availability Statement
Acknowledgments
Conflicts of Interest
References
- Tůmová, E.; Gous, R.M.; Chodová, D.; Ketta, M. Differences in growth and carcass composition of growing male and female turkeys. Czech J. Anim. Sci. 2020, 65, 330–336. [Google Scholar] [CrossRef]
- Aviagen–Broiler Ross 308 Performance Objectives. Available online: http://eu.aviagen.com/tech-center/download/1339/Ross308-308FF-BroilerPO2019-EN.pdf (accessed on 21 November 2021).
- Laseinde, E.A.O.; Oluyemi, J.A. Sexual dimorphism in the growth pattern of broilers under different dietary and housing conditions. Nig. J. Anim. Prod. 1997, 24, 1–6. [Google Scholar]
- Shahin, K.A.; Elazeem, F.A. Effects of breed, sex and diet and their interactions on carcass composition and tissue weight distribution of broiler chickens. Arch. Tierz. 2005, 48, 612–626. [Google Scholar] [CrossRef]
- Adedibu, I.I.; Ayorinde, K.L. Sexual Dimorphism in Predicting Body Weight of Two Broiler Strains. Nigeria. J. Anim. Sci. 2011, 13, 20–31. [Google Scholar]
- Trocino, A.; Piccirillo, A.; Birolo, M.; Radaelli, G.; Bertotto, D.; Filiou, E.; Petracci, M.; Xiccato, G. Effect of genotype, gender and feed restriction on growth, meat quality and the occurrence of white striping and wooden breast in broiler chickens. Poult. Sci. 2015, 94, 2996–3004. [Google Scholar] [CrossRef]
- Madilindi, M.A.; Mokobane, A.; Letwaba, P.B.; Tshilate, T.S.; Banga, C.B.; Rambau, M.D.; Bhebhe, E.; Benyi, K. Effects of sex and stocking density on the performance of broiler chickens in a subtropical environment. S. Afr. J. Anim. Sci. 2018, 48, 459–468. [Google Scholar] [CrossRef]
- Marks, H.L. The Role of Water Intake on Sexual Dimorphism for Early Growth of Broilers. Poult. Sci. 1986, 65, 433–435. [Google Scholar] [CrossRef]
- Henry, M.H.; Burke, W.H. Sexual Dimorphism in Broiler Chick Embryos and Embryonic Muscle Development in Late Incubation. Poult. Sci. 1998, 77, 728–736. [Google Scholar] [CrossRef] [PubMed]
- Shim, M.Y.; Karnuah, A.B.; Mitchell, A.D.; Anthony, N.B.; Pesti, G.M.; Aggrey, S.E. The effects of growth rate on leg morphology and tibia breaking strength, mineral density, mineral content, and bone ash in broilers. Poult. Sci. 2012, 91, 1790–1795. [Google Scholar] [CrossRef]
- Müller Fernandes, J.I.; Bortoluzzi, C.; Triques, G.E.; Garcez Neto, A.F.; Peiter, D.C. Effect of strain, sex and age on carcass parameters of broilers. Acta Sci. Anim. Sci. 2013, 35, 99–105. [Google Scholar] [CrossRef][Green Version]
- Kareem, O.L.; Zubair, J.I.; Useni, S.S.; Zanna, A. Effects of sexual dimorphism on two strains of broiler birds (Anak and Shaver). Gashua J. Irrig. Desertf. Stud. 2016, 2, 149–157. [Google Scholar]
- Nogueira, B.R.F.; Reis, M.P.; Carvalho, A.C.; Mendoza, E.A.C.; Oliveira, B.L.; Silva, V.A.; Bertechini, A.G. Performance, Growth Curves and Carcass Yield of Four Strains of Broiler Chicken. Braz. J. Poult. Sci. 2019, 21, 1–8. [Google Scholar] [CrossRef]
- Zuidhof, M.J.; Schneider, B.L.; Carney, V.L.; Korver, D.R.; Robinson, F.E. Growth, efficiency, and yield of commercial broilers from 1957, 1978, and 2005. Poult. Sci. 2014, 93, 2970–2982. [Google Scholar] [CrossRef] [PubMed]
- Williams, B.; Solomon, S.; Waddington, D.; Thorp, B.; Farquharson, C. Skeletal development in the meat-type chicken. Br. Poult. Sci. 2000, 41, 141–149. [Google Scholar] [CrossRef] [PubMed]
- Skrbic, Z.; Pavlovski, Z.; Lukic, M.; Milic, D. The effect of rearing conditions on carcass slaughter quality of broilers from intensive production. Afr. J. Biotechnol. 2011, 10, 1945–1952. [Google Scholar]
- Pedersen, I.J.; Tahamtani, F.M.; Forkman, B.; Young, J.F.; Poulsen, H.D.; Riber, A.B. Effects of environmental enrichment on health and bone characteristics of fast growing broiler chickens. Poult. Sci. 2020, 99, 1946–1955. [Google Scholar] [CrossRef] [PubMed]
- Alkhtib, A.; Sanni, C.O.; Burton, E.; Scholey, D. What is “normal”? Morphology and mineralization of tibias from healthy, on farm broilers. J. Appl. Poult. Res. 2021, 30, 100190. [Google Scholar] [CrossRef]
- Rath, N.C.; Huff, G.R.; Huff, W.E.; Balog, J.M. Factors Regulating Bone Maturity and Strength in Poultry. Poult. Sci. 2000, 79, 1024–1032. [Google Scholar] [CrossRef]
- Dibner, J.J.; Richards, J.D.; Kitchell, M.L.; Quiroz, M.A. Metabolic Challenges and Early Bone Development. J. Appl. Poult. Res. 2007, 16, 126–137. [Google Scholar] [CrossRef]
- Fanatico, A.C.; Pillai, P.B.; Hester, P.Y.; Falcone, C.; Mench, J.A.; Owens, C.M.; Emmert, J.L. Performance, livability, and carcass yield of slow- and fast-growing chicken genotypes fed low-nutrient or standard diets and raised indoors or with outdoor access. Poult. Sci. 2008, 87, 1012–1021. [Google Scholar] [CrossRef] [PubMed]
- Kestin, S.C.; Gordon, S.; Su, G.; Sørensen, P. Relationships in broiler chickens between lameness, liveweight, growth rate and age. Vet. Rec. 2001, 148, 195–197. [Google Scholar] [CrossRef] [PubMed]
- Shim, M.Y.; Karnuah, A.B.; Anthony, N.B.; Pesti, G.M.; Aggrey, S.E. The effects of broiler chicken growth rate on valgus, varus, and tibial dyschondroplasia. Poult. Sci. 2012, 91, 62–65. [Google Scholar] [CrossRef] [PubMed]
- Rath, N.C.; Balog, J.M.; Huff, W.E.; Huff, G.R.; Kulkarni, G.B.; Tierce, J.F. Comparative differences in the composition and biomechanical properties of tibiae of seven- and seventy-two-week-old male and female broiler breeder chickens. Poult. Sci. 1999, 78, 1232–1239. [Google Scholar] [CrossRef] [PubMed]
- Applegate, T.J.; Lilburn, M.S. Growth of the Femur and Tibia of a Commercial Broiler Line. Poult. Sci. 2002, 81, 1289–1294. [Google Scholar] [CrossRef]
- Bond, P.L.; Sullivan, T.W.; Douglas, J.H.; Robeson, L.G. Influence of Age, Sex, and Method of Rearing on Tibia Length and Mineral Deposition in Broilers. Poult. Sci. 1991, 70, 1936–1942. [Google Scholar] [CrossRef] [PubMed]
- Bizeray, D.; Estevez, I.; Leterrier, C.; Faure, J.M. Influence of Increased Environmental Complexity on Leg Condition, Performance, and Level of Fearfulness in Broilers. Poult. Sci. 2002, 81, 767–773. [Google Scholar] [CrossRef]
- Ziaei, N.; Guy, J.H.; Edwards, S.A.; Blanchard, P.J.; Ward, J.; Feuerstein, D. Effect of Gender on Factors Affecting Excreta Dry Matter Content of Broiler Chickens. J. Appl. Poult. Res. 2007, 16, 226–233. [Google Scholar] [CrossRef]
- Han, J.C.; Qu, H.X.; Wang, J.G.; Chen, G.H.; Yan, Y.F.; Zhang, J.L.; Hu, F.M.; You, L.Y.; Cheng, Y.H. Comparison of the Growth and Mineralization of the Femur, Tibia, and Metatarsus of Broiler Chicks. Braz. J. Poult. Sci. 2015, 17, 333–340. [Google Scholar] [CrossRef]
- Rath, N.C.; Huff, W.E.; Balog, J.M.; Bayyari, G.R. Effect of gonadal steroids on bone and other physiological parameters of broiler chickens. Poult. Sci. 1996, 75, 556–562. [Google Scholar] [CrossRef]
- Mönch, J.; Rauch, E.; Hartmannsgruber, S.; Erhard, M.; Wolff, I.; Schmidt, P.; Schug, A.R.; Louton, H. The welfare impacts of mechanical and manual broiler catching and of circumstances at loading under field conditions. Poult. Sci. 2020, 99, 5233–5251. [Google Scholar] [CrossRef]






| Growth Period | Housing | Breeder Age [Production Week] | Data Collection | |
|---|---|---|---|---|
| Day 31 | Day 38 | |||
| 1 | males and females separately | 27 | performance and bone parameters | performance and bone parameters |
| 2 | males and females separately | 25 | performance and bone parameters | performance and bone parameters |
| 3 | males and females separately | 32 | performance and bone parameters | performance and bone parameters |
| 4 | males and females together | 32 | performance and bone parameters | performance and bone parameters |
| Starter | Grower | Finisher | |
|---|---|---|---|
| ME [kcal/kg] | 2914 | 2962 | 3105 |
| Crude protein [%] | 21.5 | 20.5 | 18.5 |
| Crude fat [%] | 4.10 | 4.50 | 5.60 |
| Crude fibre [%] | 3.45 | 3.30 | 3.10 |
| Crude ash [%] | 5.45 | 5.00 | 3.85 |
| Calcium [%] | 0.87 | 0.80 | 0.52 |
| Phosphorus [%] | 0.59 | 0.54 | 0.40 |
| Sodium [%] | 0.16 | 0.16 | 0.13 |
| Lysine [%] | 1.34 | 1.23 | 1.08 |
| Methionine [%] | 0.54 | 0.52 | 0.46 |
| Male | Female | Day 31 | Day 38 | Effect of | ||||||
|---|---|---|---|---|---|---|---|---|---|---|
| Average | SD | Average | SD | Average | SD | Average | SD | Sex | Age | |
| Live body weight [g] (total N = 473) | 2140 | 453 | 1796 | 357 | 1620 | 223 | 2322 | 313 | p < 0.001 | p < 0.001 |
| Carcass weight [g] (total N = 457) | 1554 | 346 | 1314 | 270 | 1171 | 175 | 1691 | 236 | p < 0.001 | p < 0.001 |
| Breast weight [g] (total N = 457) | 609 | 164 | 510 | 128 | 441 | 81.6 | 677 | 116 | p < 0.001 | p < 0.001 |
| Thigh weight [g] (total N = 457) | 494 | 104 | 418 | 79.3 | 378 | 54.5 | 533 | 71.6 | p < 0.001 | p < 0.001 |
| Wing weight [g] (total N = 457) | 160 | 31.7 | 139 | 25.6 | 124 | 15.8 | 174 | 19.9 | p < 0.001 | p < 0.001 |
| Tibiotarsus Weight [g] (N = 454) | Tibiotarsus Length [cm] (N = 454) | Tibiotarsus Minimum Diameter [mm] (N = 454) | Peak Force [N] (N = 445) | Deformation at Peak [mm] (N = 445) | ||||||
|---|---|---|---|---|---|---|---|---|---|---|
| Day 31 | Day 38 | Day 31 | Day 38 | Day 31 | Day 38 | Day 31 | Day 38 | Day 31 | Day 38 | |
| Male | 11.3 | 16.1 | 8.64 | 9.77 | 7.85 | 9.28 | 198 | 248 | 4.08 | 4.52 |
| left | 11.1 | 16.1 | 8.62 | 9.74 | 7.79 | 9.35 | 197 | 257 | 3.95 | 4.57 |
| right | 11.4 | 16.1 | 8.66 | 9.79 | 7.90 | 9.20 | 199 | 237 | 4.20 | 4.45 |
| Female | 9.13 | 12.6 | 8.35 | 9.46 | 6.99 | 7.94 | 168 | 212 | 3.56 | 3.77 |
| left | 9.16 | 12.3 | 8.36 | 9.48 | 7.03 | 7. 89 | 177 | 204 | 3.54 | 3.67 |
| right | 9.09 | 12.9 | 8.35 | 9.45 | 6.95 | 7.98 | 159 | 218 | 3.59 | 3.86 |
| Effect of sex | p < 0.001 | p < 0.001 | p < 0.001 | p < 0.001 | p < 0.001 | p < 0.001 | p < 0.001 | p < 0.001 | p < 0.001 | p < 0.001 |
| age | p < 0.001 | p < 0.001 | p < 0.001 | p < 0.001 | p < 0.001 | |||||
| side | p < 0.001 | p < 0.001 | p < 0.001 | p < 0.001 | p < 0.001 | p < 0.001 | p < 0.001 | p < 0.001 | p < 0.001 | p < 0.001 |
| Parameter | Age at Slaughter | N | Sex | rP | p | ||
|---|---|---|---|---|---|---|---|
| peak force | live body weight | 31 | 104 | male | 0.480 | <0.001 | *** |
| peak force | live body weight | 31 | 109 | female | 0.425 | <0.001 | *** |
| peak force | live body weight | 38 | 113 | male | 0.390 | <0.001 | *** |
| peak force | live body weight | 38 | 113 | female | 0.307 | <0.001 | *** |
| peak force | tibia min. diameter | 31 | 107 | male | 0.676 | <0.001 | *** |
| peak force | tibia min. diameter | 31 | 109 | female | 0.550 | <0.001 | *** |
| peak force | tibia min. diameter | 38 | 114 | male | 0.396 | <0.001 | *** |
| peak force | tibia min. diameter | 38 | 115 | female | 0.238 | 0.010 | * |
| peak force | tibia length | 31 | 107 | male | 0.274 | 0.004 | ** |
| peak force | tibia length | 31 | 109 | female | 0.122 | 0.206 | NS |
| peak force | tibia length | 38 | 114 | male | 0.205 | 0.028 | * |
| peak force | tibia length | 38 | 115 | female | −0.005 | 0.958 | NS |
| peak force | tibia weight | 31 | 107 | male | 0.540 | <0.001 | *** |
| peak force | tibia weight | 31 | 109 | female | 0.377 | <0.001 | *** |
| peak force | tibia weight | 38 | 114 | male | 0.460 | <0.001 | *** |
| peak force | tibia weight | 38 | 115 | female | 0.288 | 0.002 | ** |
| tibia min. diameter | live body weight | 31 | 110 | male | 0.529 | <0.001 | *** |
| tibia min. diameter | live body weight | 31 | 110 | female | 0.513 | <0.001 | *** |
| tibia min. diameter | live body weight | 38 | 114 | male | 0.548 | <0.001 | *** |
| tibia min. diameter | live body weight | 38 | 114 | female | 0.428 | <0.001 | *** |
| tibia min. diameter | tibia length | 31 | 113 | male | 0.497 | <0.001 | *** |
| tibia min. diameter | tibia length | 31 | 110 | female | 0.328 | <0.001 | *** |
| tibia min. diameter | tibia length | 38 | 115 | male | 0.132 | 0.160 | NS |
| tibia min. diameter | tibia length | 38 | 116 | female | 0.189 | 0.042 | * |
| tibia length | live body weight | 31 | 110 | male | 0.578 | <0.001 | *** |
| tibia length | live body weight | 31 | 110 | female | 0.579 | <0.001 | *** |
| tibia length | live body weight | 38 | 114 | male | 0.392 | <0.001 | *** |
| tibia length | live body weight | 38 | 114 | female | 0.421 | <0.001 | *** |
| tibia length | deformation at peak | 31 | 107 | male | 0.324 | <0.001 | *** |
| tibia length | deformation at peak | 31 | 109 | female | 0.122 | 0.206 | NS |
| tibia length | deformation at peak | 38 | 114 | male | 0.239 | 0.011 | * |
| tibia length | deformation at peak | 38 | 115 | female | −0.038 | 0.688 | NS |
| live body weight | tibia weight | 31 | 110 | male | 0.670 | <0.001 | *** |
| live body weight | tibia weight | 31 | 110 | female | 0.666 | <0.001 | *** |
| live body weight | tibia weight | 38 | 114 | male | 0.673 | <0.001 | *** |
| live body weight | tibia weight | 38 | 114 | female | 0.340 | <0.001 | *** |
Publisher’s Note: MDPI stays neutral with regard to jurisdictional claims in published maps and institutional affiliations. |
© 2022 by the authors. Licensee MDPI, Basel, Switzerland. This article is an open access article distributed under the terms and conditions of the Creative Commons Attribution (CC BY) license (https://creativecommons.org/licenses/by/4.0/).
Share and Cite
Müsse, J.; Louton, H.; Spindler, B.; Stracke, J. Sexual Dimorphism in Bone Quality and Performance of Conventional Broilers at Different Growth Phases. Agriculture 2022, 12, 1109. https://doi.org/10.3390/agriculture12081109
Müsse J, Louton H, Spindler B, Stracke J. Sexual Dimorphism in Bone Quality and Performance of Conventional Broilers at Different Growth Phases. Agriculture. 2022; 12(8):1109. https://doi.org/10.3390/agriculture12081109
Chicago/Turabian StyleMüsse, Johanna, Helen Louton, Birgit Spindler, and Jenny Stracke. 2022. "Sexual Dimorphism in Bone Quality and Performance of Conventional Broilers at Different Growth Phases" Agriculture 12, no. 8: 1109. https://doi.org/10.3390/agriculture12081109
APA StyleMüsse, J., Louton, H., Spindler, B., & Stracke, J. (2022). Sexual Dimorphism in Bone Quality and Performance of Conventional Broilers at Different Growth Phases. Agriculture, 12(8), 1109. https://doi.org/10.3390/agriculture12081109

