Effects of Exogenous Brassinolide Application at the Silking Stage on Nutrient Accumulation, Translocation and Remobilization of Waxy Maize under Post-Silking Heat Stress
Abstract
:1. Introduction
2. Materials and Methods
2.1. Experimental Design
2.2. Yield Determination
2.3. Accumulation, Translocation, and Remobilization of Dry Matter (DM) and Nutrients
- Post-silking DM (N, P, and K) accumulation (g/plant) = DM (N, P, and K) accumulation at maturity-DM (N, P, and K) accumulation at silking.
- DM (N, P, and K) translocation from pre-silking vegetative organs to grain (g/plant) (TAP) = DM (N, P, and K) accumulation in vegetative organs at silking-DM (N, P, and K) accumulation in vegetative organs at maturity.
- DM (N, P, and K) translocation efficiency (%) (TRP) = 100 × DM (N, P, and K) translocation from pre-silking vegetative organs to grain/DM (N, P, and K) accumulation in vegetative organs at silking.
- Contribution rate of DM (N, P, and K) translocation from pre-silking vegetative organs to grain (%) (CTP) = 100 × DM (N, P, and K) translocation from pre-silking vegetative organs to grain/grain dry weight.
- Remobilization amount of DM (N, P, and K) of post-silking vegetative organ photosynthate (g/plant) = Grain dry weight at maturity—DM (N, P, and K) translocation from pre-silking vegetative organs to grain.
- Harvest index (HI, %) = 100 × Grain dry weight/DM accumulation at maturity;
- N (P, K) HI (%) = 100 × N (P, K) accumulation in grain at maturity/N (P, K) accumulation in total plants at maturity.
2.4. Statistical Analysis
3. Results
3.1. Grain Yield
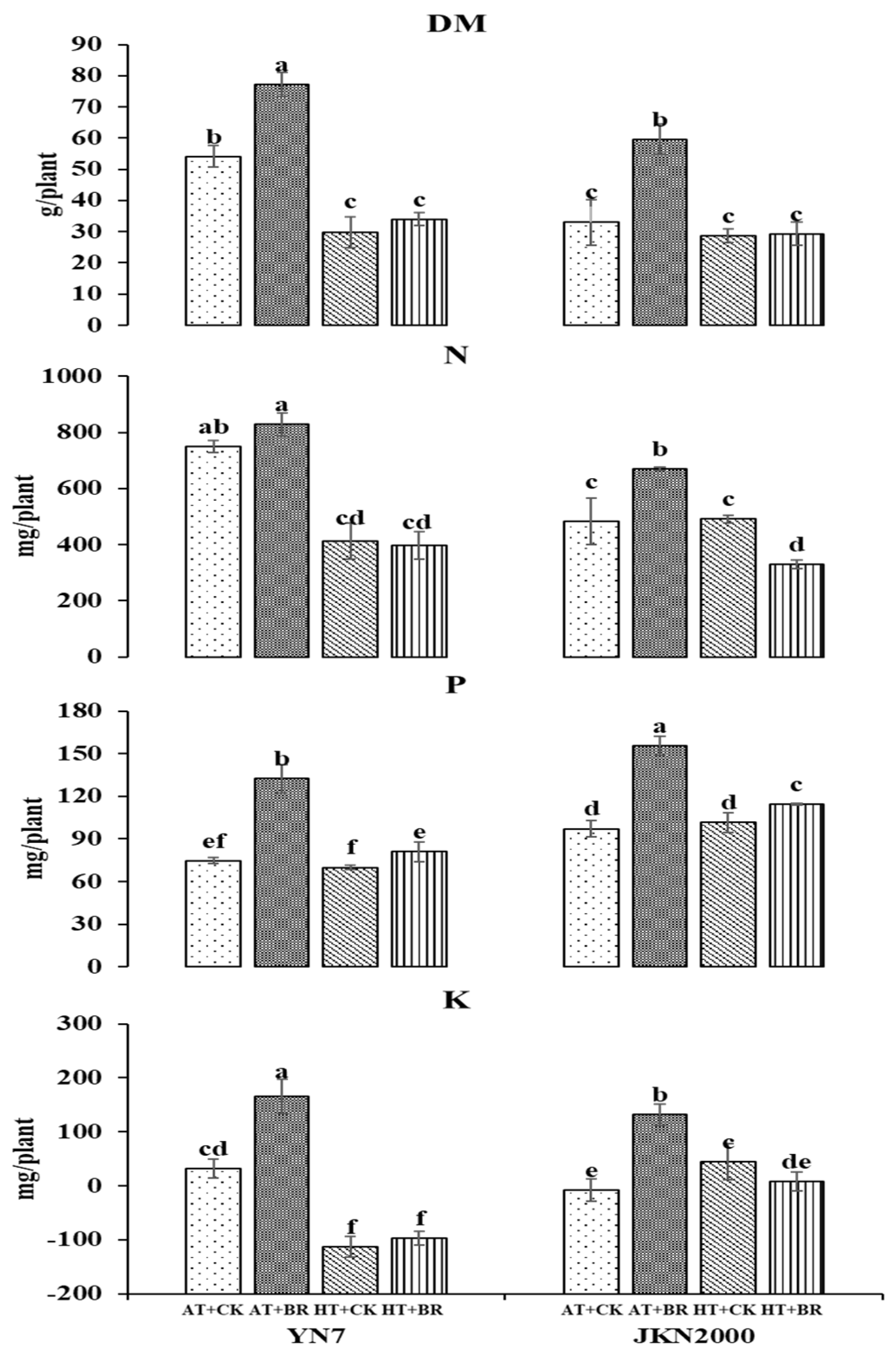
3.2. Accumulation of DM and Nutrients at Maturity
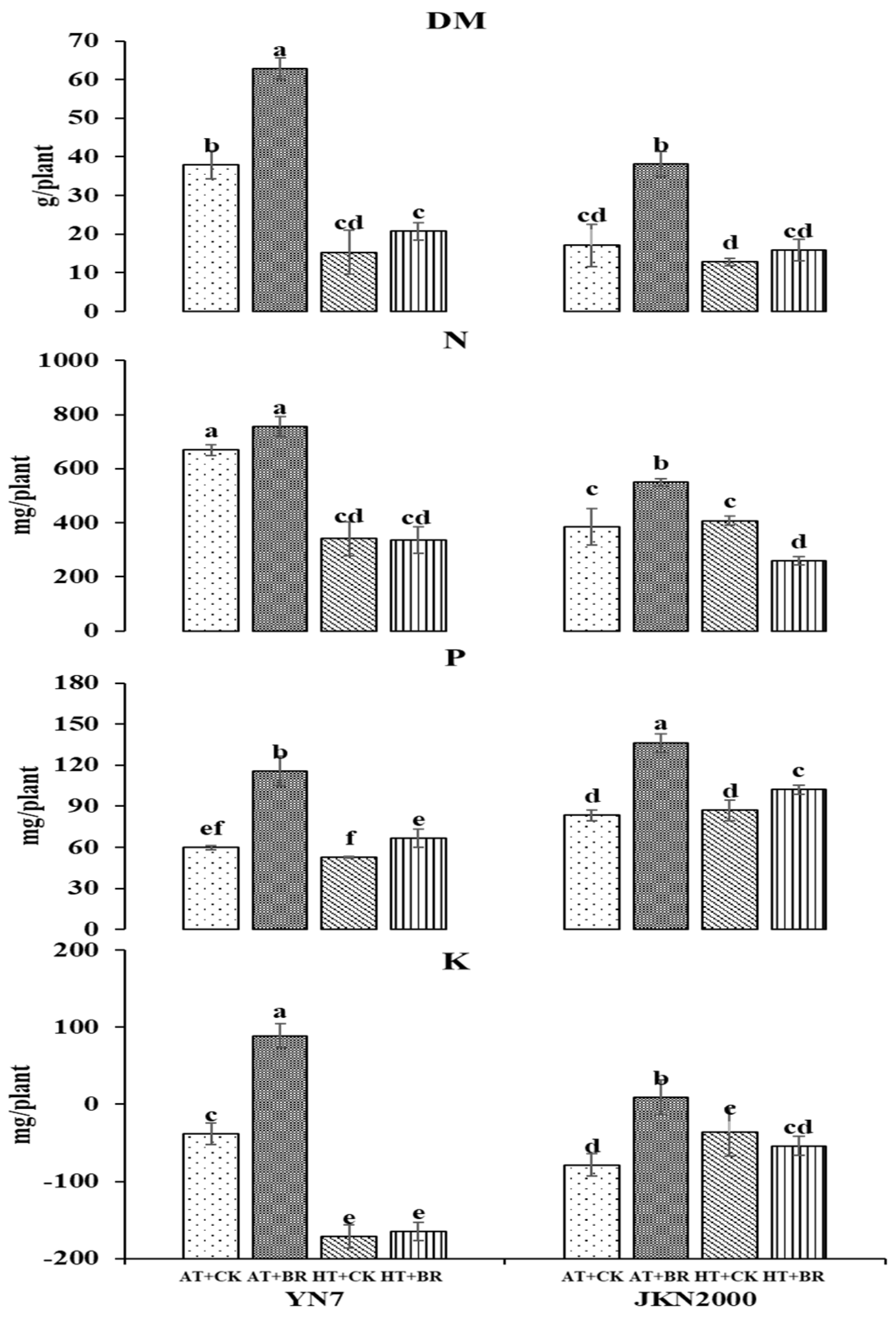
3.3. Post-Silking Accumulation of DM and Nutrients
3.4. Translocation of Pre-Silking DM and Nutrient in Vegetative Organs
3.5. Remobilization of Post-Silking DM and Nutrient
3.6. Distribution of DM, N, P, and K at Maturity
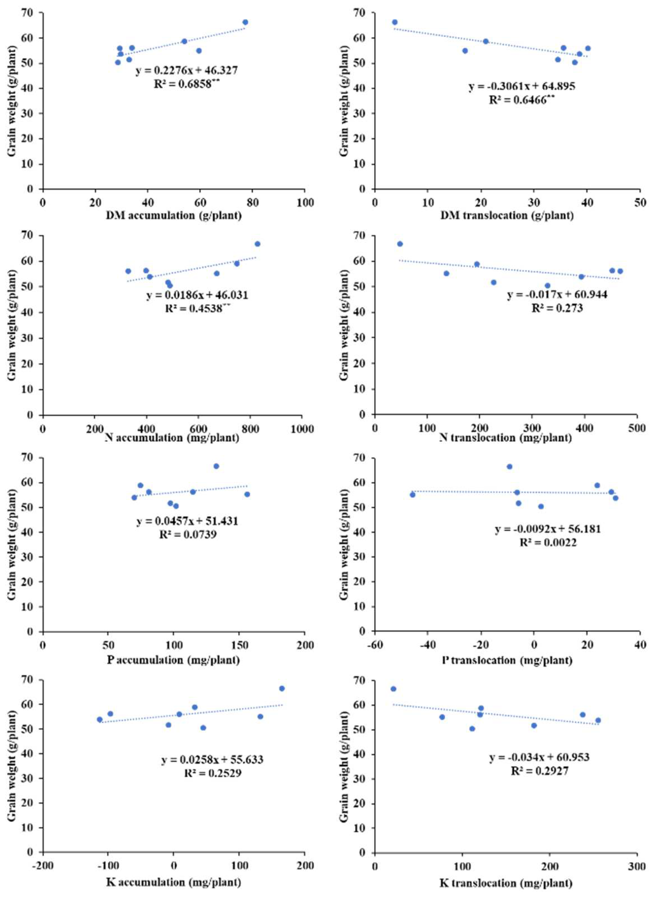
3.7. Correlation Analysis
4. Discussion
4.1. Effects of Post-Silking HT on Accumulation and Remobilization of DM and Nutrient
4.2. Effects of Exogenous BR Application on Accumulation and Remobilization of DM and Nutrient under Post-Silking HT Condition
5. Conclusions
Author Contributions
Funding
Institutional Review Board Statement
Informed Consent Statement
Data Availability Statement
Conflicts of Interest
References
- Ali, S.; Rizwan, M.; Arif, M.S.; Ahmad, R.; Hasanuzzaman, M.; Ali, B.; Hussain, A. Approaches in enhancing thermotolerance in plants: An updated review. J. Plant Growth Regul. 2020, 39, 456–480. [Google Scholar] [CrossRef]
- Prasad, P.V.V.; Bheemanahalli, R.; Jagadish, S.V.K. Field crops and the fear of heat stress—Opportunities, challenges and future directions. Field Crop. Res. 2017, 200, 114–121. [Google Scholar] [CrossRef] [Green Version]
- Lizaso, J.I.; Ruiz-Rarnos, M.; Rodriguez, L.; Gabaldon-Leal, C.; Oliveira, J.A.; Lorite, I.J.; Sanchez, D.; Garcia, E.; Rodriguez, A. Impact of high temperatures in maize: Phenology and yield components. Field Crops Res. 2018, 216, 129–140. [Google Scholar] [CrossRef] [Green Version]
- Gourdji, S.M.; Sibley, A.M.; Lobell, D.B. Global crop exposure to critical high temperatures in the reproductive period: Historical trends and future projections. Environ. Res. Lett. 2013, 8, 024041. [Google Scholar] [CrossRef]
- Li, Z.X.; Howell, S.H. Heat stress responses and thermotolerance in maize. Int. J. Mol. Sci. 2021, 22, 948. [Google Scholar] [CrossRef] [PubMed]
- Hou, P.; Liu, Y.E.; Liu, W.M.; Yang, H.S.; Xie, R.Z.; Wang, K.R.; Ming, B.; Liu, G.Z.; Xue, J.; Wang, Y.H.; et al. Quantifying maize grain yield losses caused by climate change based on extensive field data across China. Resour. Conserv. Recycl. 2021, 174, 105811. [Google Scholar] [CrossRef]
- Waqas, M.A.; Wang, X.; Zafar, S.A.; Noor, M.A.; Hussain, H.A.; Azher Nawaz, M.; Farooq, M. Thermal stresses in maize: Effects and management strategies. Plants 2021, 10, 293. [Google Scholar] [CrossRef]
- Sehgal, A.; Sita, K.; Siddique, K.H.M.; Kumar, R.; Bhogireddy, S.; Varshney, R.K.; HanumanthaRao, B.; Nair, R.M.; Prasad, P.V.V.; Nayyar, H. Drought or/and heat-stress effects on seed filling in food crops: Impacts on functional biochemistry, seed yields, and nutritional quality. Front. Plant Sci. 2018, 9, 1705. [Google Scholar] [CrossRef] [Green Version]
- Yang, J.C.; Zhang, J.H. Grain filling of cereals under soil drying. New Phytol. 2006, 169, 223–236. [Google Scholar] [CrossRef]
- Yang, H.; Huang, T.Q.; Ding, M.Q.; Lu, D.L.; Lu, W.P. High temperature during grain filling impacts on leaf senescence in waxy maize. Agron. J. 2017, 109, 906–916. [Google Scholar] [CrossRef]
- Yang, H.; Gu, X.T.; Ding, M.Q.; Lu, W.P.; Lu, D.L. Weakened carbon and nitrogen metabolisms under post-silking heat stress reduce the yield and dry matter accumulation in waxy maize. J. Integr. Agric. 2020, 19, 78–88. [Google Scholar] [CrossRef]
- Kobata, T.; Uemuki, N. High temperatures during the grain-filling period do not reduce the potential grain dry matter increase of rice. Agron. J. 2004, 96, 406–414. [Google Scholar] [CrossRef]
- Impa, S.M.; Sunoj, V.S.J.; Krassovskaya, I.; Bheemanahalli, R.; Obata, T.; Jagadish, S.V.K. Carbon balance and source-sink metabolic changes in winter wheat exposed to high night-time temperature. Plant. Cell Environ. 2019, 42, 1233–1246. [Google Scholar] [CrossRef] [PubMed]
- Ito, S.; Hara, T.; Kawanami, Y.; Watanabe, T.; Thiraporn, K.; Ohtake, N.; Sueyoshi, K.; Mitsui, T.; Fukuyama, T.; Takahashi, Y.; et al. Carbon and nitrogen transport during grain filling in rice under high-temperature conditions. J. Agron. Crop Sci. 2009, 195, 368–376. [Google Scholar] [CrossRef]
- Cabral, C.; Ravnskov, S.; Tringovska, I.; Wollenweber, B. Arbuscular mycorrhizal fungi modify nutrient allocation and composition in wheat (Triticum aestivum L.) subjected to heat-stress. Plant Soil 2016, 408, 385–399. [Google Scholar] [CrossRef]
- Hussain, H.A.; Men, S.; Hussain, S.; Chen, Y.; Ali, S.; Zhang, S.; Zhang, K.; Li, Y.; Xu, Q.; Liao, C.; et al. Interactive effects of drought and heat stresses on morpho-physiological attributes, yield, nutrient uptake and oxidative status in maize hybrids. Sci. Rep. 2019, 9, 3890. [Google Scholar] [CrossRef] [Green Version]
- Yang, J.C.; Miao, W.Q.; Chen, J. Roles of jasmonates and brassinosteroids in rice responses to high temperature stress—A review. Crop J. 2021, 9, 977–985. [Google Scholar] [CrossRef]
- Tanveer, M. Role of 24-epibrassinolide in inducing thermo-tolerance in plants. J. Plant Growth Regul. 2019, 38, 945–955. [Google Scholar] [CrossRef]
- Fahad, S.; Hussain, S.; Saud, S.; Hassan, S.; Ihsan, Z.; Shah, A.N.; Wu, C.; Yousaf, M.; Nasim, W.; Alharby, H.; et al. Exogenously applied plant growth regulators enhance the morpho-physiological growth and yield of rice under high temperature. Front. Plant Sci. 2016, 7, 1250. [Google Scholar] [CrossRef] [Green Version]
- Chen, Y.H.; Chen, H.Z.; Xiang, J.; Zhang, Y.K.; Wang, Z.G.; Zhu, D.F.; Wang, J.K.; Zhang, Y.P.; Wang, Y.L. Rice spikelet formation inhibition caused by decreased sugar utilization under high temperature is associated with brassinolide decomposition. Environ. Exp. Bot. 2021, 190, 104585. [Google Scholar] [CrossRef]
- Niu, J.H.; Anjum, S.A.; Wang, R.; Li, J.H.; Liu, M.R.; Song, J.X.; Zohaib, A.; Lv, J.; Wang, S.G.; Zong, X.F. Exogenous application of brassinolide can alter morphological and physiological traits of Leymus chinensis (Trin.) Tzvelev under room and high temperatures. Chil. J. Agric. Res. 2016, 76, 27–33. [Google Scholar] [CrossRef]
- Gao, Z.; Liang, X.G.; Zhang, L.; Lin, S.; Zhao, X.; Zhou, L.L.; Shen, S.; Zhou, S.L. Spraying exogenous 6-benzyladenine and brassinolide at maize yield by enhancing source and sink capacity tasseling increases. Field Crops Res. 2017, 211, 1–9. [Google Scholar] [CrossRef]
- Anjum, S.A.; Wang, L.C.; Farooq, M.; Hussain, M.; Xue, L.L.; Zou, C.M. Brassinolide application improves the drought tolerance in maize through modulation of enzymatic antioxidants and leaf gas exchange. J. Agron. Crop Sci. 2011, 197, 177–185. [Google Scholar] [CrossRef]
- Sun, Y.J.; He, Y.H.; Irfan, A.R.; Liu, X.M.; Yu, Q.Q.; Zhang, Q.; Yang, D.G. Exogenous brassinolide enhances the growth and cold resistance of maize (Zea mays L.) seedlings under chilling stress. Agronomy 2020, 10, 488. [Google Scholar] [CrossRef] [Green Version]
- Otie, V.; Ping, A.; Udo, I.; Eneji, E. Brassinolide effects on maize (Zea mays L.) growth and yield under waterlogged conditions. J. Plant Nutr. 2019, 42, 954–969. [Google Scholar] [CrossRef]
- Otie, V.; Ping, A.; Eneji, E. Interactive effect of brassinolide and lime on growth and yield of maize (Zea mays L.) on acid soils of South-East Nigeria. Commun. Soil Sci. Plant Anal. 2018, 49, 2918–2931. [Google Scholar] [CrossRef]
- Tao, Z.Q.; Chen, Y.Q.; Li, C.; Zou, J.X.; Yan, P.; Yuan, S.F.; Wu, X.; Sui, P. The causes and impacts for heat stress in spring maize during grain filling in the North China Plain—A review. J. Integr. Agric. 2016, 15, 2677–2687. [Google Scholar] [CrossRef] [Green Version]
- Cairns, J.E.; Sonder, K.; Zaidi, P.H.; Verhulst, N.; Mahuku, G.; Babu, R.; Nair, S.K.; Das, B.; Govaerts, B.; Vinayan, M.T.; et al. Maize production in a changing climate: Impacts, adaptation, and mitigation strategies. Adv. Agron. 2012, 114, 1–58. [Google Scholar]
- Arshad, M.S.; Farooq, M.; Asch, F.; Krishna, J.S.V.; Prasad, P.V.V.; Siddique, K.H.M. Thermal stress impacts reproductive development and grain yield in rice. Plant Physiol. Biochem. 2017, 115, 57–72. [Google Scholar] [CrossRef]
- Sharma, N.; Yadav, A.; Khetarpal, S.; Anand, A.; Sathee, L.; Kumar, R.R.; Singh, B.; Soora, N.K.; Pushkar, S. High day-night transition temperature alters nocturnal starch metabolism in rice (Oryza sativa L.). Acta Physiol. Plant. 2017, 39, 74. [Google Scholar] [CrossRef]
- Zhang, C.X.; Feng, B.H.; Chen, T.T.; Fu, W.M.; Li, H.B.; Li, G.Y.; Jin, Q.Y.; Tao, L.X.; Fu, G.F. Heat stress-reduced kernel weight in rice at anthesis is associated with impaired source-sink relationship and sugars allocation. Environ. Exp. Bot. 2018, 155, 718–733. [Google Scholar] [CrossRef]
- Liu, Q.H.; Ma, H.; Sun, Z.W.; Lin, X.Q.; Zhou, X.B. Translocation efficiencies and allocation of nitrogen, phosphorous and potassium in rice as affected by silicon fertilizer under high daytime temperature. J. Agron. Crop Sci. 2019, 205, 188–201. [Google Scholar] [CrossRef]
- Larmure, A.; Munier-Jolain, N.G. High Temperatures during the seed-filling period decrease seed nitrogen amount in pea (Pisum sativum L.): Evidence for a sink limitation. Front. Plant Sci. 2019, 10, 1608. [Google Scholar] [CrossRef] [PubMed]
- Chen, S.; Zhang, X.G.; Zhao, X.; Wang, D.Y.; Xu, C.M.; Ji, C.L.; Zhang, X.F. Response of rice nitrogen physiology to high nighttime temperature during vegetative stage. Sci. World J. 2013, 2013, 649326. [Google Scholar] [CrossRef] [Green Version]
- Ning, P.; Li, S.; Yu, P.; Zhang, Y.; Li, C.J. Post-silking accumulation and partitioning of dry matter, nitrogen, phosphorus and potassium in maize varieties differing in leaf longevity. Field Crops Res. 2013, 144, 19–27. [Google Scholar] [CrossRef]
- Sardans, J.; Penuelas, J. Potassium Control of Plant Functions: Ecological and Agricultural Implications. Plants 2021, 10, 419. [Google Scholar] [CrossRef]
- Zhao, X.H.; Yu, H.Q.; Wen, J.; Wang, X.G.; Du, Q.; Wang, J.; Wang, Q. Response of root morphology, physiology and endogenous hormones in maize (Zea mays L.) to potassium deficiency. J. Integr. Agric. 2016, 15, 785–794. [Google Scholar] [CrossRef]
- Tucuch-Haas, C.; Alcantar-Gonzalez, G.; Trejo-Tellez, L.I.; Volke-Haller, H.; Salinas-Moreno, Y.; Larque-Saavedra, A. Effect of salicylic acid on growth, nutritional status, and performance of maize (Zea mays). Agrociencia 2017, 51, 771–781. [Google Scholar]
- Jadwiga, W.; Teresa, B.; Stanislaw, S. Nitrogen and phosphorus management of spring wheat plants following the application of growth regulators and increasing potassium fertilization rates. Pol. J. Nat. Sci. 2006, 20, 91–100. [Google Scholar]
- Kaya, C.; Aydemir, S.; Akram, N.A.; Ashraf, M. Epibrassinolide Application regulates some key physio-biochemical attributes as well as oxidative defense system in maize plants grown under saline stress. J. Plant Growth Regul. 2018, 37, 1244–1257. [Google Scholar] [CrossRef]
- Sofy, M.R.; Seleiman, M.F.; Alhammad, B.A.; Alharbi, B.M.; Mohamed, H.I. Minimizing adverse effects of Pb on maize plants by combined treatment with jasmonic, salicylic acids and proline. Agronomy 2020, 10, 699. [Google Scholar] [CrossRef]
- Biswas, D.K.; Ma, B.L.; Morrison, M.J. Changes in leaf nitrogen and phosphorus content, photosynthesis, respiration, growth, and resource use efficiency of a rapeseed cultivar as affected by drought and high temperatures. Can. J. Plant Sci. 2019, 99, 488–498. [Google Scholar] [CrossRef]
- Yang, D.Q.; Luo, Y.L.; Kong, X.; Huang, C.; Wang, Z.L. Interactions between exogenous cytokinin and nitrogen application regulate tiller bud growth via sucrose and nitrogen allocation in winter wheat. J. Plant Growth Regul. 2021, 40, 329–341. [Google Scholar] [CrossRef]






| Hybrid | Temperature | Hormone | DM | N | P | K | ||||||||
|---|---|---|---|---|---|---|---|---|---|---|---|---|---|---|
| TAP (g/Plant) | TRP (%) | CTP (%) | TAP (mg/Plant) | TRP (%) | CTP (%) | TAP (mg/Plant) | TRP (%) | CTP (%) | TAP (mg/Plant) | TRP (%) | CTP (%) | |||
| YN7 | AT | CK | 20.9 ± 4.1 b | 19.1 ± 3.7 c | 35.4 ± 6.3 b | 194.3 ± 25.8 de | 15.1 ± 2.0 c | 22.4 ± 2.3 e | 23.8 ± 2.8 a | 17.6 ± 2.1 a | 28.5 ± 2.6 a | 121.4 ± 12.8 c | 22.7 ± 2.4 c | 146.0 ± 17.7 b |
| BR | 3.8 ± 1.5 c | 3.4 ± 1.4 d | 5.6 ± 2.1 c | 47.9 ± 18.1 f | 3.7 ± 1.4 e | 6.0 ± 2.2 f | −9.2 ± 4.4 c | −6.8 ± 5.4 c | −8.5 ± 3.8 c | 21.3 ± 5.9 e | 4.0 ± 3.0 e | 19.3 ± 14.4 d | ||
| HT | CK | 38.6 ± 3.8 a | 35.2 ± 3.5 a | 72.0 ± 9.5 a | 393.8 ± 42.0 bc | 30.5 ± 3.3 a | 53.8 ± 7.1 bc | 30.8 ± 1.0 a | 22.7 ± 0.7 a | 36.9 ± 1.0 a | 255.7 ± 8.3 a | 47.9 ± 1.6 a | 307.4 ± 37.2 a | |
| BR | 35.6 ± 1.3 a | 32.4 ± 1.2 ab | 63.3 ± 3.2 a | 453.1 ± 43.8 ab | 35.1 ± 3.4 a | 57.5 ± 5.9 ab | 29.2 ± 4.0 a | 21.5 ± 2.9 a | 30.6 ± 5.1 a | 237.8 ± 14.9 a | 44.5 ± 2.8 a | 327.2 ± 15.9 a | ||
| JKN2000 | AT | CK | 34.6 ± 5.0 a | 26.8 ± 3.9 b | 67.0 ± 9.7 a | 226.4 ± 32.6 d | 15.1 ± 2.2 c | 37.4 ± 7.5 d | −5.8 ± 5.6 bc | −4.0 ± 3.9 bc | −7.7 ± 7.3 bc | 182.3 ± 10.5 b | 29.0 ± 1.7 b | 176.7 ± 17.1 b |
| BR | 17.0 ± 4.2 b | 13.2 ± 3.3 c | 30.7 ± 6.8 b | 136.5 ± 26.9 e | 9.1 ± 1.8 d | 19.8 ± 3.4 e | −45.8 ± 6.0 d | −31.8 ± 4.2 d | −50.4 ± 6.3 d | 77.0 ± 25.3 d | 12.3 ± 4.0 d | 88.7 ± 26.1 c | ||
| HT | CK | 37.7 ± 2.1 a | 29.2 ± 1.6 ab | 74.6 ± 2.2 a | 329.2 ± 12.9 c | 22.0 ± 0.9 b | 44.7 ± 1.7 cd | 2.8 ± 5.5 b | 1.9 ± 5.9 b | 3.0 ± 9.3 b | 111.1 ± 35.6 c | 17.7 ± 5.7 cd | 146.2 ± 37.1 b | |
| BR | 40.2 ± 2.8 a | 31.1 ± 2.2 ab | 71.6 ± 5.0 a | 467.8 ± 14.7 a | 31.3 ± 1.0 a | 64.2 ± 2.1 a | −6.3 ± 4.7 bc | −4.4 ± 3.3 bc | −7.0 ± 5.7 bc | 120.7 ± 13.5 c | 19.2 ± 2.2 c | 181.1 ± 17.1 b | ||
| F-value | ||||||||||||||
| Hybrid | 20.5 ** | 3.2 | 27.9 ** | 1.4 | 2.4 | 7.4 * | 181.2 ** | 184.7 ** | 200.5 ** | 21.8 ** | 64.3 ** | 21.3 ** | ||
| Temperature | 125.3 ** | 134.4 ** | 124.2 ** | 294.0 ** | 282.0 ** | 192.8 ** | 93.8 ** | 94.6 ** | 92.7 ** | 108.4 ** | 144.1 ** | 139.8 ** | ||
| Hormone | 27.2 ** | 28.4 ** | 37.0 ** | 0.4 | 0.6 | 1.2 | 75.3 ** | 75.3 ** | 82.7 ** | 47.4 ** | 53.4 ** | 12.7 ** | ||
| Hybrid × Temperature | 11.7 ** | 19.2 ** | 12.7 ** | 7.9 * | 15.5 ** | 10.3 ** | 0.1 | 0.0 | 0.4 | 148.5 ** | 188.3 ** | 82.2 ** | ||
| Hybrid × Hormone | 0.6 | 1.4 | 0.0 | 5.0 * | 5.0 * | 2.3 | 2.2 | 1.5 | 0.8 | 0.5 | 1.8 | 1.4 | ||
| Temperature × Hormone | 25.4 ** | 25.2 ** | 18.0 ** | 51.4 ** | 47.8 ** | 34.9 ** | 41.7 ** | 42.1 ** | 36.2 ** | 40.3 ** | 43.5 ** | 35.9 ** | ||
| Hybrid × Temperature × Hormone | 0.8 | 0.2 | 0.9 | 0.1 | 0.0 | 3.1 | 0.0 | 0.1 | 0.0 | 1.1 | 0.3 | 0.3 | ||
Publisher’s Note: MDPI stays neutral with regard to jurisdictional claims in published maps and institutional affiliations. |
© 2022 by the authors. Licensee MDPI, Basel, Switzerland. This article is an open access article distributed under the terms and conditions of the Creative Commons Attribution (CC BY) license (https://creativecommons.org/licenses/by/4.0/).
Share and Cite
Xu, Y.; Zhang, X.; Yang, H.; Lu, D. Effects of Exogenous Brassinolide Application at the Silking Stage on Nutrient Accumulation, Translocation and Remobilization of Waxy Maize under Post-Silking Heat Stress. Agriculture 2022, 12, 572. https://doi.org/10.3390/agriculture12050572
Xu Y, Zhang X, Yang H, Lu D. Effects of Exogenous Brassinolide Application at the Silking Stage on Nutrient Accumulation, Translocation and Remobilization of Waxy Maize under Post-Silking Heat Stress. Agriculture. 2022; 12(5):572. https://doi.org/10.3390/agriculture12050572
Chicago/Turabian StyleXu, Yueming, Xiaoyu Zhang, Huan Yang, and Dalei Lu. 2022. "Effects of Exogenous Brassinolide Application at the Silking Stage on Nutrient Accumulation, Translocation and Remobilization of Waxy Maize under Post-Silking Heat Stress" Agriculture 12, no. 5: 572. https://doi.org/10.3390/agriculture12050572
APA StyleXu, Y., Zhang, X., Yang, H., & Lu, D. (2022). Effects of Exogenous Brassinolide Application at the Silking Stage on Nutrient Accumulation, Translocation and Remobilization of Waxy Maize under Post-Silking Heat Stress. Agriculture, 12(5), 572. https://doi.org/10.3390/agriculture12050572

