Abstract
Treating ruminant feeds with exogenous fibrolytic enzymes may potentially increase forage cell wall degradability and thus feed efficiency. In nature, fungi biosynthesize lignocellulolytic enzymes that can break down lignocellulosic material into its sugar components, thereby providing ready fermentable substrates. This work showed the in vitro fibrolytic activity of three Trichoderma strains (T. atroviride strain P1, T. afroharzianum strain T22, T. reesei strain T67). Total protein concentration and enzymatic (e.g., glucanase, cellulase, and xylanase) activities were determined in fungal culture filtrates after 7 and 14 days of growth on different fiber-based media. The enzymatic mixtures produced by Trichoderma spp. showed the highest concentration of fibrolytic enzymes and were added to industrial feed to test their ability to hydrolyze insoluble fibers. The supplementation of industrial feeds containing medium-fiber or low-fiber concentrates with T22 enzymes produced in the presence of lyophilized mushrooms and durum wheat fiber reduced hemicellulose concentration up to 33% and 24%, respectively. These results may offer novel opportunities to develop livestock feeds with improved fiber digestibility.
1. Introduction
The world’s population is constantly increasing, along with a growing demand for livestock products, e.g., milk, eggs, and meat. Unfortunately, livestock farming has a significant environmental impact on water consumption, land deprivation, biodiversity loss, greenhouse gas emissions, and air pollution [1,2]. A primary objective of the livestock industry should be optimizing the relationship between environmental impact, production costs, and revenues. In this contest, animal feeding plays a vital role, accounting for 60–70% of the total costs for meat and milk production [3,4,5]. Forages still represent the sole or significant feed resource for domestic ruminant animal production, but their low digestibility due to high lignin content limits the intake potential and affects animal productivity [3]. The use of exogenous fibrolytic enzymes (e.g., xylanases, glucanases, and cellulases) to improve feed conversion efficiency in ruminants has attracted growing attention. Exogenous fibrolytic enzymes can enhance the digestibility of neutral detergent fiber (NDF) [6,7,8,9] and promote the growth, attachment, and colonization of microbial populations in the ruminal environment [10,11,12,13,14]. They are used in feed production as supplements to improve dry matter intake (DMI) [15], milk production [16,17], and average daily gain of ruminant diet [18,19]. According to Oba and Allen [20], a one-unit increment of NDF digestibility enhances DMI (0.17 Kg/die) and the yield of 4% fat-corrected milk (0.25 Kg/die). However, the animal responses to dietary enzyme supplementation are variable [21,22,23,24,25,26,27,28,29], limiting the technology’s cost-effectiveness. Some fungi and bacteria (e.g., species of the genera Trichoderma, Clostridium, Pseudomonas, Bacillus, Penicillium, and Aspergillus) synthesize fibrolytic enzymes. Trichoderma spp. are fungi used in agriculture as bioprotectors, biostimulants, and biofertilizers. They control phytopathogens, nematodes, and weeds through multiple mechanisms, such as the production of antibiotics, lytic enzymes, antimicrobial substances, competition for nutrients, or direct parasitization [30,31,32]. Moreover, Trichoderma strains stimulate in planta the production of phenolic compounds, which increase the defense systems of plants and their nutraceutical value [33,34,35,36,37]. Finally, they can degrade hydrocarbons, chlorophenols, polysaccharides, and xenobiotic pesticides [38,39,40] and are among the few fungal strains that belong to the category of “Generally Recognized as Safe” or GRAS [41]. Trichoderma fungi can produce different fibrolytic enzymes using preferentially amino acids (e.g., L-alanine; L-aspartate; L-glutamic acid), proteins as a nitrogen source, and sugars as carbon font, according to the producing strain and the growth medium (generally low-cost substrates, such as tropical forages and agricultural wastes) [42,43,44]. Both microorganisms and enzymes may reduce the content of anti-nutritional factors present in feed, thus improving the nutritional value of the forage and its digestibility [45,46,47]. Fibrolytic enzyme demand is constantly growing, and the enzyme market is expected to increase up to USD 1.9 billion by 2025 [48]. This work aimed to evaluate the fibrolytic activity of three selected strains of Trichoderma species grown on various substrates. Supplementing an industrial feed with Trichoderma enzymes could ultimately result in economic advantages regarding reduced nutrients dispersed in feces and methane emissions.
2. Materials and Methods
2.1. Fungal Strains and Growing Conditions
The Trichoderma strains (T. atroviride strain P1, T. afroharzianum strain T22, T. reesei strain T67) were provided by the Department of Agricultural Sciences at the University of Naples Federico II. Molecular tools and morphological features identified microbial strains.
The spores were incubated at 25 °C for about 7–10 days on Petri dishes containing PDA (Potato Dextrose Agar, Carlo Erba, Milan, Italy) to allow for germination and growth of the fungal mycelium, with subsequent sporulation. After incubation, the spores were collected using 10 mL of sterile distilled water with 0.1% Tween−20, filtered through glass wool to remove residual mycelium, washed with sterile distilled water, counted, and stored at −20 °C in a 20% (v/v) glycerol solution until used. The concentration of conidia was determined using a hematocytometer (Merk, Darmstadt, Germany). Subsequently, 250 mL flasks containing 100 mL of Potato Dextrose Broth (PDB, Carlo Erba, Milan, Italy) were inoculated with 100 μL of a conidia suspension (1 × 108 spores/mL) and incubated for three days at 25 °C and 120 rpm. The fungal biomass was then filtrated on Miracloth paper (Calbiochem; Merk, Darmstadt, Germany) and transferred aseptically into 1 L flasks containing 500 mL of the salt medium (SM 1X) at pH 6.6. The SM 1X composition was: KH2PO4 680 mg/L, K2HPO4 870 mg/L, KCl 200 mg/L, NH4NO3 1 g/L, CaCl2 200 mg/L, MgSO4 7H2O 200 mg/L, FeSO4 2 mg/L, MnSO4 2 mg/L, ZnSO4 2 mg/L, Sucrose 10 g/L, agar 10 g/L. All chemicals were purchased by Merk (Merk, Darmstadt, Germany).
The experiments were conducted using various induction conditions; SM 1X was amended with:
- ■
- 1% (w/v) sucrose (control, non-inducing medium);
- ■
- 0.5% (w/v) Bran and Brain (B&B) CF 70 fiber and 1% (w/v) lyophilized mushrooms (Agaricus bisporus basidiocarps);
- ■
- 1% (w/v) corn silage;
- ■
- 1% (w/v) chopped barley, oats and triticale (a hybrid of wheat and rye);
- ■
- 1% (w/v) corn flour.
The cultures were incubated at 25° C for 7–14 days under continuous agitation (120 rpm). At the end of the incubation, the cultures were centrifuged and filter-sterilized using 0.8, 0.45, and 0.22 μm Millipore filters (Merk, Darmstadt, Germany). The culture filtrates were subjected to dialysis against distilled water for 48 h at 4° C (pore size 6–8 kDa; Merk, Darmstadt, Germany) and used in enzymatic assays as such or concentrated at reduced pressure with an SPD Speed Vac system (Thermo Fisher Scientific, Waltham, MA, USA). Five replicates were used for each condition, and each experiment was repeated twice.
2.2. Determination of Total Proteins
The content of total proteins in the culture filtrates of Trichoderma spp. was determined using the MICRO BCA protein assay kit (Merck, Darmstadt, Germany). The assay is based on protein oxidation, in an alkaline medium, of Cu2+ to Cu1+. The Cu1+ ion binds two molecules of bichinonic acid (BCA) and colors the solution (blue color), whose intensity is measured with a spectrophotometer (Heλios β, Unicam, Thermo Fisher Scientific, Waltham, MA, USA) at 750 nm.
Briefly, reagent A’ was made by adding 20 μL of reagent S (sodium dodecyl sulfate) to 1 mL of reagent A (sodium hydroxide). Subsequently, 100 μL of reagent A’ was added to 20 μL of culture filtrate, contained in 2 mL Eppendorf tubes (Eppendorf, Hamburg, Germany), and 880 μL of reagent B (lithium sulfate, tungstic acid, sodium salts, molybdic acid, hydrochloric acid, phosphoric). After vortexing, the Eppendorf tubes were left for 15 min at room temperature before reading the absorbance at 750 nm. The calibration curve was obtained using serial dilutions of Bovine Serum Albumin as standard protein (Merck, Darmstadt, Germany). Distilled water was added to the reagents to serve as blank control.
2.3. Determination of Glucanase Activity
β-glucosidase (E.C.3.2.1.4) hydrolyzes cellobiose and cellooligosaccharides to glucose. A colorimetric assay determined the exoglucanase activity in ELISA plates. The reaction substrate was p-nitrophenyl-β-D-glucopyranoside (0.3 mg/mL) dissolved in 50 mM potassium phosphate buffer. Then, 30 µL of the substrate and 60 µL of the fungal culture filtrate were added to the plate, covered with aluminum foil, and incubated at 37 °C for 30 min. Successively, 30 µL of 0.4 M Na2CO3 was added to stop the enzymatic reaction and to accentuate the yellow color. The p-nitrophenol absorbance was read at 405 nm in an ELISA Bio-Rad plate reader (Bio-Rad, Hercules, CA, USA). Controls were obtained by using only the buffer without the culture filtrate.
Each test was repeated at least three times and was considered valid only in the presence of the yellow color due to the degradation of the substrate.
2.4. Determination of Xylanase Activity
β-1,4-endo-xylanase (EC 3.2.1.8) and β-xylosidase (EC 3.2.1.37) hydrolyze the main chain of xylan, the internal main-chain xylosidic linkages and xylosyl residues by endwise attack of xylooligosaccharides.
The Xylazyme AX Test Tablets kit (Megazyme, Wicklow, Ireland) was used according to manufacturers’ instructions to determine the endo-1,4-xylanase activity in Trichoderma culture filtrates.
Briefly, 500 µL aliquots of concentrated culture filtrates were resuspended in 500 µL of 25 mM pH 4.7 sodium-acetate buffer (Merk, Darmstadt, Germany) and pre-equilibrated at 40 °C for 5 min in polypropylene tubes. A Xylazyme AX Test Tablet was added to each sample. The reaction was stopped after 10 min by adding 10 mL of Trizma solution (2% w/v) (Merk, Darmstadt, Germany) and vortexing for 1 min. The tubes were incubated in a water bath at 50 °C for 30 min, vortexed again, and left for 5 min at room temperature. A blue color indicated the presence of xylanase activity. After the residue was filtered with 9 cm diameter Whatman paper discs (No. 0, Whatman, Maidstone, UK), the absorbance at 590 nm was determined using a spectrophotometer (Heλios β, Thermo Fisher Scientific, Waltham, MA, USA). A known volume of distilled water was used as blank.
An appropriate standard curve for xylanase activity was obtained to convert the absorbance (Abs) at 590 nm into milli-Somogyi Units of activity per assay and was then calculated as follows:
mUnit/assay = 46.8 × Abs + 0.9 (R² = 0.99)
2.5. Determination of Cellulase Activity
β-D-glucanases (E.C. 3.2.1.4) hydrolyzes the linkage of the β-1,4 glucosidic bond. The Cellazyme C Tablets kit (Megazyme, Bray, Ireland) was used according to manufacturers’ instructions to determine the activity of endo 1,4-β-D-glucanase in Trichoderma culture filtrates.
First, 500 µL of concentrated culture filtrates was diluted in 500 µL of 25 mM pH 4.7 sodium-acetate buffer (Merk, Darmstadt, Germany) and was pre-equilibrated at 40 °C for 5 min. A known volume of distilled water was used as blank. A Cellazyme C Tablet was added to the sample containing AZCL-HE-cellulose (Megazyme, Wicklow, Ireland) to evaluate cellulase activity. The reaction was stopped after 10 min by adding 10 mL of Trizma solution (2% w/v) (Merk, Darmstadt, Germany) and vortexing for 1 min. The tubes were left at room temperature (5 min), and the pellet was remixed. The absorbance was read at 590 nm using a spectrophotometer (Heλios β, Thermo Fisher Scientific, Waltham, MA, USA) after filtering the residue with 9 cm diameter Whatman paper discs (No. 0, Whatman). A known volume of distilled water was used as blank.
2.6. In Vitro Feed Digestion
Three livestock feeds with different contents of NDF (i.e., the analytical fraction conventionally including cellulose, hemicellulose, and lignin [49]) were tested: a high-fiber (HF) wheat straw, a medium-fiber (MF) concentrate (Dietovit FibrOne, Sivam SPA, Battipaglia, SA, Italy), and low-fiber (LF) concentrate feeds (Horse Fioc H8, Italfiocchi Monfort SRL, Castelfranco Veneto, TV, Italy).
Aliquots of 10 g of each feed were placed in Petri dishes (15 cm-diameter, Thermo Fisher Scientific) and incubated in triplicate at 37 °C for 24 h according to the following conditions:
- ■
- Control-fiber: incubation in presence of SM 1X, 1% (w/v) lyophilized mushrooms and 0,5% (w/v) wheat fiber;
- ■
- Control-sucrose: incubation in the presence of SM 1X and distilled water;
- ■
- T22-sucrose: incubation in the presence of SM 1X and 5 mL of the enzymatic mixture produced by T. afroharzianum strain T22 grown in liquid culture (SM 1X + 1% sucrose, as described in Section 2.1) for 14 d;
- ■
- T22-fiber: incubation in the presence of SM 1X, 5 mL of the enzymatic mixtures produced by T. afroharzianum strain T22 grown in liquid culture (SM 1X + 1% lyophilized mushrooms + 0, 5% wheat fiber, as described in Section 2.1) for 14 d.
NDF, acid detergent fiber (ADF), and acid detergent lignin (ADL) in treated feeds were measured according to the method of Van Soest et al. [49] using an ANKOM220 Fibre Analyzer unit (ANKOM Technology Corp., Fairport, NY, USA) and filter bags (F57, 25 μm, Ankom Technology Corp.). Hemicellulose was calculated as NDF-ADF, cellulose as ADF-ADL [50]. Values were expressed as g/kg initial dry matter (DM), as determined at 105 °C for 4 h on original samples.
2.7. Statistical Analysis
Statistical analyses were performed using the statistical package JMP Pro (SAS Inc, 2013. JMP 11, Cary, NC, USA). Total protein, glucanase, and xylanase activity of each strain were subjected to two-way ANOVA by testing the effects of the substrate (n 5) and time of incubation (n 2). Hemicellulose, cellulose, and lignin content of each feedstuff were subjected to one-way ANOVA and tested for the treatment (n 4) effect. The differences among means were tested at p < 0.05.
3. Results
3.1. Production of Enzymatic Mixtures by Trichoderma Strains
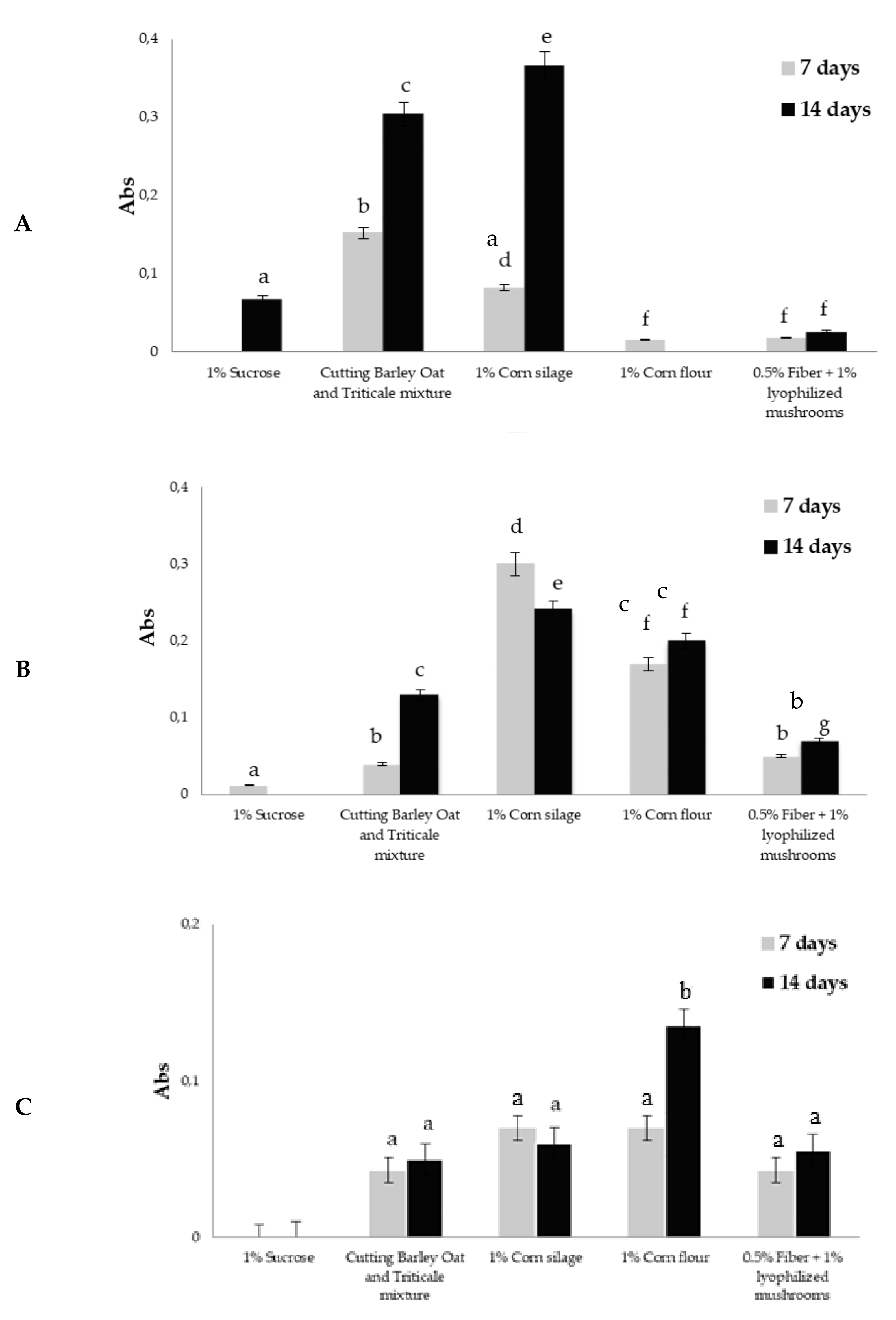
Enzymatic mixtures were obtained growing three Trichoderma strains (T22, P1, and T67) in liquid cultures for up to 14 days. Total protein concentrations for each strain cultivated for 7 and 14 d on different SM 1X-amended substrates are shown in Figure 1, Figure 2 and Figure 3.
Figure 1.
Total protein concentration of culture filtrates produced by T. afroharzianum strain T22 after 7 or 14 days of growth in salt medium (SM 1X) amended with different carbon sources (sucrose; barley, oats, and triticale; corn silage; corn flour; lyophilized mushrooms and B&B CF 70 fiber). Data represent the mean values (n = 5) of two independent experiments. Different letters in each column indicate statistically significant differences (p < 0.05).
Figure 2.
Total protein concentration of culture filtrates produced by T. atroviride strain P1 after 7 or 14 days of growth in salt medium (SM 1X) amended with different carbon sources (sucrose; barley, oats, and triticale; corn silage; corn flour; lyophilized mushrooms and B&B CF 70 fiber). Data represent the mean values (n = 5) of two independent experiments. Different letters in each column indicate statistically significant differences (p < 0.05).
Figure 3.
Total protein concentration of culture filtrates produced by T. reesei strain T67 after 7 or 14 days of growth in salt medium (SM 1X) amended with different carbon sources (sucrose; barley, oats, and triticale; corn silage; corn flour; lyophilized mushrooms and B&B CF 70 fiber). Data represent the mean values (n = 5) of two independent experiments. Different letters in each column indicate statistically significant differences (p < 0.05).
Strain T22 showed significantly lower production of total proteins in the presence of barley, oats and triticale, corn silage, or corn flour as compared to control (1% sucrose, non-inducing condition). Conversely, in the presence of lyophilized mushrooms and B&B CF 70 fiber, a consistent increase in total protein concentration was observed, both after 7 and 14 days of growth (Figure 1).
Total proteins produced in T. atroviride strain P1 culture filtrate were less abundant (Figure 2). No significant differences were observed among the inducing conditions compared to control after 7 days of growth. At 14 d, a significant decrease in total protein concentration was observed when P1 was grown in SM 1X amended with corn flour, lyophilized mushrooms, and B&B CF 70 fiber or sucrose, while with the other carbon sources, the concentrations remained unchanged.
T. reseei strain T67 produced the highest levels of total proteins at 14 d compared with the other Trichoderma strains (Figure 3). The substrate containing 1% lyophilized mushrooms and 0.5% crude fiber was the best-inducing condition.
3.2. Glucanase Activity in Trichoderma Culture Filtrates
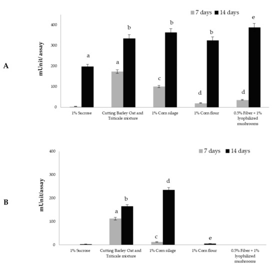
The exoglucanase activity of the Trichoderma culture filtrates was determined after 7 and 14 days of growth in different inducing substrates, and results were compared with those obtained using a non-inducing medium (control) containing sucrose as a carbon source (Figure 4).
Figure 4.
Glucanase activity of culture filtrates produced by (A) T. afroharzianum strain T22; (B) T. atroviride strain P1; (C) T. reesei strain T67. Fungal cultures were grown for 7 and 14 days in salt medium (SM 1X) amended with different carbon sources (sucrose; barley, oats, and triticale; corn silage; corn flour; lyophilized mushrooms, and B&B CF 70 fiber). Different letters indicate statistically significant differences (p < 0.05). Error bars represent standard deviation.
Overall, the glucanase activity was found to increase from 7 to 14 days of incubation, with only a few exceptions (Figure 4). In T22 culture filtrate, the highest exoglucanase activities were obtained after 14 d of growth in the presence of 1% corn silage (Abs = 0.37) and 1% chopped barley, oats, and triticale (Abs = 0.30) (Figure 4A). Other culture filtrates showed a lower level of glucanase (Abs < 0.1) at 7 and 14 d.
The culture filtrates produced by strain P1 in the presence of corn silage or corn flour showed the highest glucanase activity (Abs = 0.27 at 7 d and Abs = 0.19 at 14 d; Figure 4B). Lower enzymatic activity was observed when the fungus was grown in barley, oat, triticale, or lyophilized mushrooms and raw fiber.
Finally, strain T67 showed significant glucanase activity after 14 days of growth in the presence of corn flour, but at lower levels than the other fungal strains (Abs = 0.16; Figure 4C).
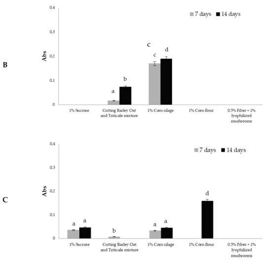
3.3. Xylanase Activity in Trichoderma Culture Filtrates
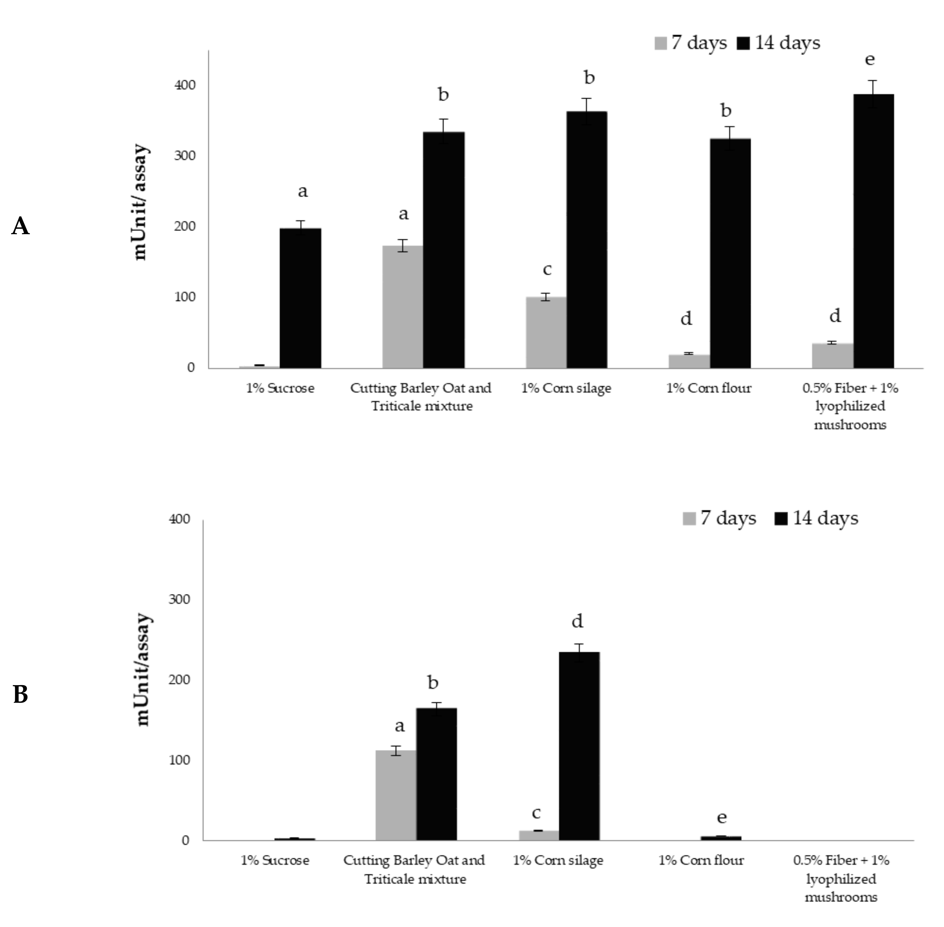
Figure 2 reports the endo-1,4-xylanase activity of the Trichoderma culture filtrates grown as described above. In almost all samples, the production of enzymes significantly increased after 14 days, especially when corn flour and lyophilized mushrooms + crude fiber were added to the saline medium.
Our results showed that, among the three strains, the culture filtrate with the highest xylanase activity was obtained when T. afroharzianum strain T22 was grown for 14 days in SM 1X + 1% lyophilized mushrooms + 0.5% crude fiber (Figure 2). Conversely, strain P1 showed the lowest production of xylanases (Figure 5B). In both P1 and T67 culture filtrates, the presence of corn silage determined the highest increase in xylanase activity after 14 d of incubation compared to the other inducing conditions (Figure 5B,C).

Figure 5.
Xylanase activity of culture filtrates produced by (A) T. afroharzianum strain T22; (B) T. atroviride strain P1; (C) T. reesei strain T67. Fungal cultures were grown for 7 and 14 days in salt medium (SM 1X) amended with different carbon sources (sucrose; barley, oats, and triticale; corn silage; corn flour; lyophilized mushrooms, and B&B CF 70 fiber). Different letters indicate statistically significant differences (p < 0.05). Error bars represent standard deviation.
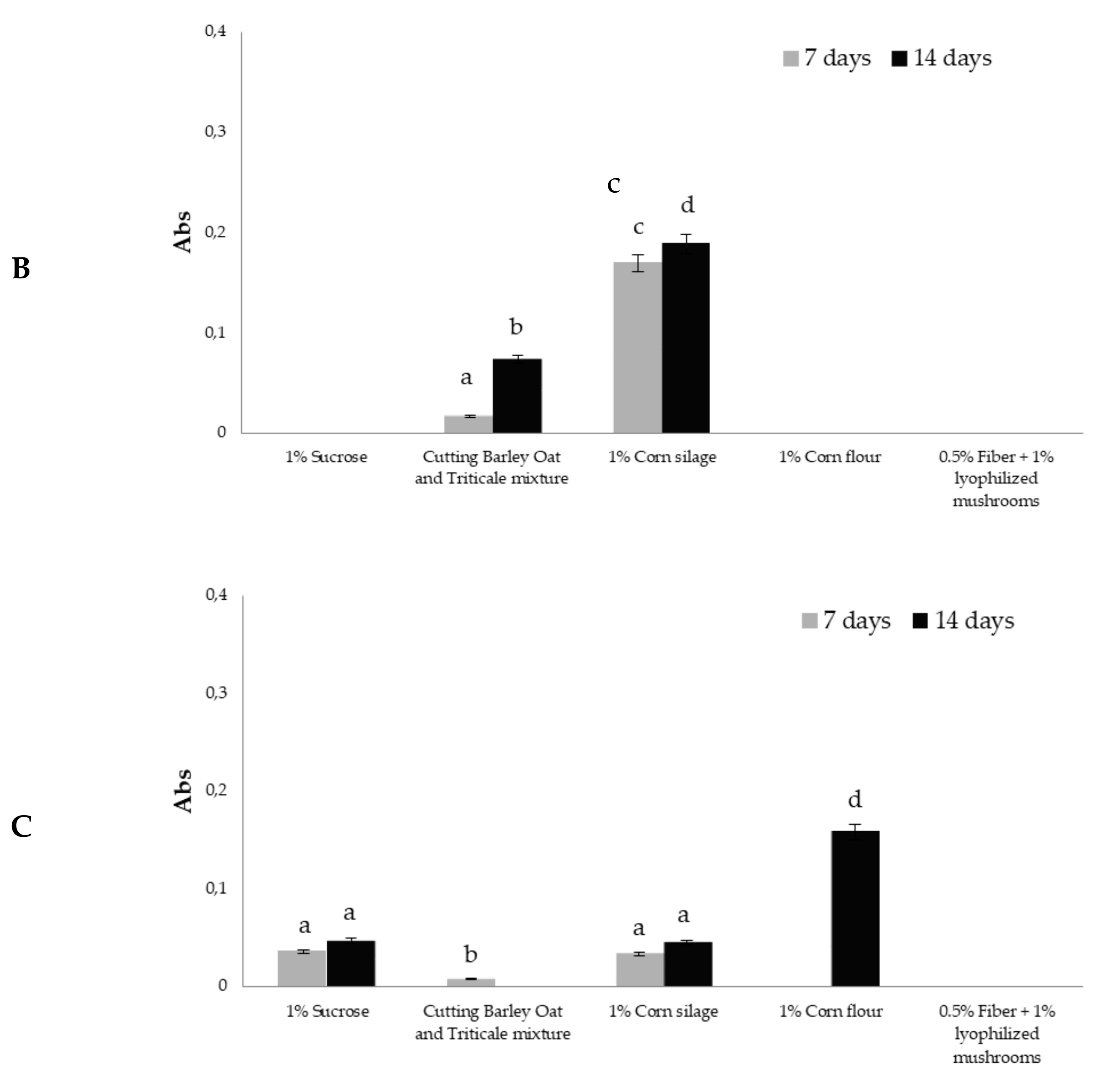
3.4. Cellulase Activity in Trichoderma Culture Filtrates
The cellulase activity in the culture filtrates of Trichoderma strains grown in various inducing conditions is reported in Figure 3. Overall, the enzymatic mixtures showed low production of cellulases. Trichoderma strain T22 showed significant cellulase activity only in the presence of sucrose after 14 days of incubation (Figure 6A). Maximum cellulase activity in culture filtrates produced by strains P1 and T67 was found when corn silage or corn flour were added to the salt medium (Figure 6B,C). No cellulases were detected when the fungal strains were grown in the presence of lyophilized mushrooms and B&B CF 70 fiber after 7 and 14 days of incubation.

Figure 6.
Cellulase activity of culture filtrates produced by (A) T. afroharzianum strain T22; (B) T. atroviride strain P1; (C) T. reesei strain T67. Fungal cultures were grown for 7 and 14 days in salt medium (SM 1X) amended with different carbon sources (sucrose; barley, oats, and triticale; corn silage; corn flour; lyophilized mushrooms, and B&B CF 70 fiber). Different letters indicate statistically significant differences (p < 0.05). Error bars represent standard deviation.
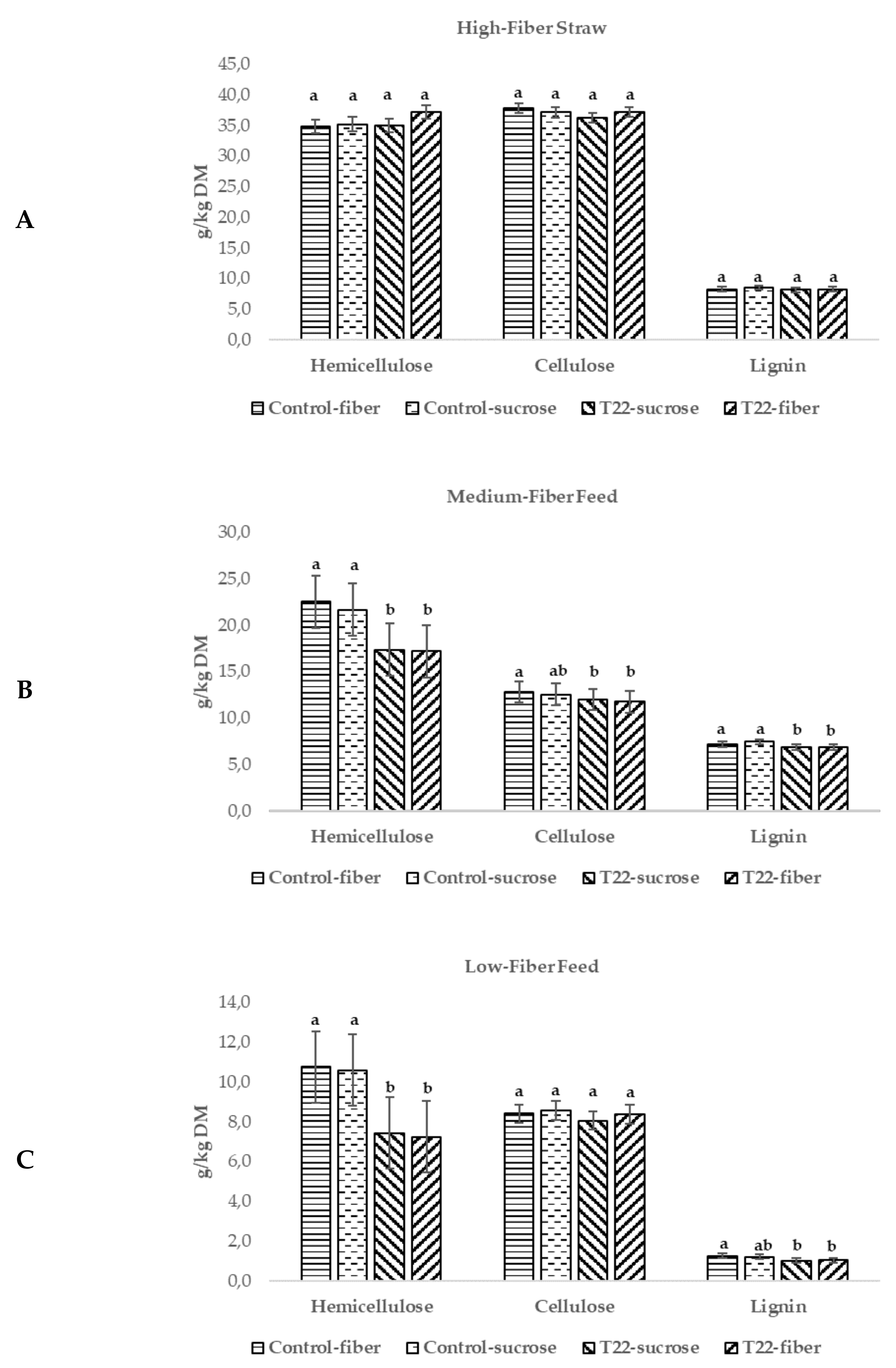
3.5. In Vitro Feed Digestion by Enzymatic Mixtures Produced by Strain T22
The enzymatic mixtures were produced by strain T22 as described in Section 2.1 and were used to simulate in vitro digestion of three livestock feeds with different contents of hemicellulose, cellulose, and lignin (high-, medium- and low-fiber feeds, respectively, HF, MF, and LF). Our data indicated that no significant digestion was observed after 24 h incubation in HF straw samples (Figure 7A). Conversely, T22-treated MF and LF feed samples showed decreased hemicellulose, cellulose, and lignin concentrations (Figure 7B). Up to 33% and 24% reduction in hemicellulose concentration was found in LF and MF, respectively, when T22 enzymes were induced by lyophilized mushrooms and wheat fiber, compared to untreated sample (control-fiber, Figure 7B,C). The same condition also determined a significant reduction of cellulose (8% reduction) and lignin (3% reduction, MF feeds) compared to the control (Figure 7B).
Figure 7.
Concentrations (g/kg DM) of hemicellulose, cellulose, and lignin of the three livestock feeds (high-fiber—HF straw (A), medium-fiber—MF feed (B), low-fiber—LF feed (C)) incubated 24 h with T. afroharzianum strain T22 enzymatic mixture in the presence of a salt medium. Control-fiber: lyophilized mushrooms, and wheat fiber. Control-sucrose: distilled water. T22-sucrose: T22 enzymatic mixtures obtained after 14 d growth in salt medium and sucrose. T22-fiber: T22 enzymatic mixtures obtained after 14 d growth in the salt medium and lyophilized mushrooms + wheat fiber. Data are expressed as three replicates’ mean values (g/kg DM). The error bars represent the standard deviation. Different letters indicate statistically significant differences between the treatments within the same fraction (p < 0.05).
4. Discussion
Trichoderma fungi are well-known producers of numerous extracellular enzymes, including cellulases, endochitinases, N-acetyl-β-galactosidases, β-1,3- and, β-1,6-glucanases, proteases, and xylanases [51]. These are used commercially in the food and textile industries to degrade complex polysaccharides [52]. Some Trichoderma strains produce enzymes and antibiotics able to control plant pathogens and are applied in agriculture as biocontrol agents [39,40]. Trichoderma enzymes also find application in poultry nutrition to increase the digestibility of hemicelluloses from crop plants [52]. However, even if ruminants digest plant cell walls more efficiently than monogastric, rumen microorganisms, they may have difficulties degrading lignified and mature forages [53]. Several studies investigated the effects of exogenous enzymes on fiber degradation both in vitro and in vivo [54,55]. Despite representing less than 15% of total ruminal activity, a relatively small quantity of exogenous enzymes may enhance fiber digestion [56]. They improve feed utilization by freeing sugars during NDF hydrolysis, eliminating barriers, limiting microbial contact to DF, and improving the activity of rumen microorganisms [57]. The type of ruminant (buffaloes, sheep, beef, goats, dairy cattle, etc.), forage proportion and quality of forage (legumes or grasses), and the number of ingredients included in the diet can affect the action of exogenous fibrolytic enzymes on the degradability of dry matter, fiber hydrolysis, animal gas production, and milk yield [58].
This work investigated novel opportunities to develop forages with excellent cell wall digestibility using Trichodema enzymatic mixtures. Different inducing conditions were tested to select the Trichoderma strains, which give the highest results in protein content and fibrolytic activity (glucanase, cellulase, and xylanase). T. atroviride strain P1, T. afroharzianum strain T22, and T. reesei strain T67 were used for the experiments since they can produce high levels of glucanases, cellulases, and xylanases and adapt enzymatic production to the type of carbon source present in the growth medium [59]. Numerous studies reported the ability of Trichoderma strains to produce extracellular proteases and investigated their involvement in the biological control of plant pathogenic fungi and nematodes and the induction of plant defenses [60,61,62]. We observed that the carbon source affected the secretome of each Trichoderma strain. The presence of A. bisporus basidiocarps and durum wheat fiber determined the highest accumulation of proteins in the culture filtrate of strains T22 and T67 at 7 and 14 days of growth. The highest concentration of glucanases was found in culture filtrates where corn silage (for strains T22 and P1) or corn flour (for strain T67) were used. In a previous study, Napolitano et al. showed that strains T22 and T67 gave the best results in the production of total proteins and glucanolytic activity [59]. In our study, the highest glucanase activity was obtained by growing strain T67 in 1% durum wheat fiber, and the highest xylanase activity was observed in T22 culture filtrate in the presence of barley spent grain [63]. The T22 strain showed the best glucanase and xylanase activities. The corn silage was stimulated better than the other substrates in the enzymatic productions. Our results confirmed that the production of specific enzymes could be induced by the substrate used to promote growth [59]. Xylanase activity was significantly induced in T22 in all tested conditions. These enzymes have gained particular importance in ruminant feeding, as they contribute to the digestibility of fibrous foods, accelerate weaning, increase resistance against infections, and help decrease environmental impact by reducing methane production by the animals [63]. Conversely, the best cellulase activity was obtained by growing strain P1 in a medium containing corn silage as a carbon source. Today, the use of exogenous enzymes as additives to increase feed digestibility in ruminants is still limited compared to nonruminant animals [64]. Therefore, the enzymatic mixtures with the highest activity were selected to treat industrial feed in vitro. Our results showed that the enzymatic mixture with a more significant xylanase activity (T. afroharziarum strain T22) significantly reduced the insoluble fibers content in MF and LF concentrates. This result was probably related to the hydrolysis of the insoluble fibers and the soluble ones, as reported by Kiarie et al. [65]. The lack of efficacy of T22-based treatments on feed containing HF straw agrees with the observation on in vitro enzymatic activity. This finding could be related to the short incubation time (24 h) that possibly did not allow for significant enzymatic degradation of the high-lignified fiber of wheat straw. Morgavi and coauthors showed synergism between enzymes produced by rumen microorganisms and those secreted by the fungus T. longibrachiatum [64] to improve ruminal digestion of fiber.
5. Conclusions
This work evaluated the fibrolytic activity (cellulase, xylanase, and glucanase) of enzymatic mixtures obtained using three selected Trichoderma strains (T. atroviride strain P1, T. afroharzianum strain T22, and T. reesei strain T67) grown in inducing and non-inducing substrates. We found that the carbon source differently affected the secretome of Trichoderma strains, stimulating the production of glucanase and xylanase. Moreover, 24 h incubation of T22 enzymatic mixtures induced in the presence of 1% lyophilized mushrooms and 0.5% durum wheat fiber significantly reduced the hemicellulose concentration in medium- and low-fiber livestock feeds. These results support the usefulness of enzyme additives to improve feed digestion.
Author Contributions
Writing—original draft preparation, I.D. and F.V.; data curation, V.A., F.I., A.B., R.M., R.D., A.D.F., F.S. and F.M.; formal analysis, V.A., I.D., R.D. and F.S.; investigation, V.A., R.M. and F.V.; project administration, F.V. All authors have read and agreed to the published version of the manuscript.
Funding
This work was supported by the following project: MIUR—PON DM29156 Sicura.
Institutional Review Board Statement
Not applicable.
Informed Consent Statement
Not applicable.
Data Availability Statement
Data are contained within the article.
Acknowledgments
The authors would like to thank Rosaria Fusco (CNR-IPSP) for the technical support.
Conflicts of Interest
The authors declare no conflict of interest.
References
- Tullo, E.; Finzi, A.; Guarino, M. Environmental impact of livestock farming and Precision Livestock Farming as a mitigation strategy. Sci. Total Environ. 2019, 650, 2751–2760. [Google Scholar] [CrossRef] [PubMed]
- Bragaglio, A.; Napolitano, F.; Pacelli, C.; Pirlo, G.; Sabia, E.; Serrapica, F.; Serrapica, M.; Braghieri, A. Environmental Impacts of Italian Beef Production: A Comparison between Different Systems. J. Clean. Prod. 2018, 172, 4033–4043. [Google Scholar] [CrossRef]
- Serrapica, F.; Masucci, F.; Romano, R.; Napolitano, F.; Sabia, E.; Aiello, A.; Di Francia, A. Effects of Chickpea in Substitution of Soybean Meal on Milk Production, Blood Profile and Reproductive Response of Primiparous Buffaloes in Early Lactation. Animals 2020, 10, 515. [Google Scholar] [CrossRef] [PubMed]
- Uzun, P.; Masucci, F.; Serrapica, F.; Varricchio, M.L.; Pacelli, C.; Claps, S.; Di Francia, A. Use of Mycorrhizal Inoculum under Low Fertilizer Application: Effects on Forage Yield, Milk Production, and Energetic and Economic Efficiency. J. Agric. Sci. 2018, 156, 127–135. [Google Scholar] [CrossRef]
- Uzun, P.; Masucci, F.; Serrapica, F.; Napolitano, F.; Braghieri, A.; Romano, R.; Manzo, N.; Esposito, G.; Di Francia, A. The Inclusion of Fresh Forage in the Lactating Buffalo Diet Affects Fatty Acid and Sensory Profile of Mozzarella Cheese. J. Dairy Sci. 2018, 101, 6752–6761. [Google Scholar] [CrossRef]
- Irawan, A.; Sofyan, A.; Ridwan, R.; Hassim, H.A.; Respati, A.N.; Wardani, W.W.; Astuti, W.D.; Jayanegara, A. Effects of different lactic acid bacteria groups and fibrolytic enzymes as additives on silage quality: A meta-analysis. Bioresour. Technol. Rep. 2021, 14, 100654. [Google Scholar] [CrossRef]
- Carrillo-Díaz, M.I.; Miranda-Romero, L.A.; Chávez-Aguilar, G.; Zepeda-Batista, J.L.; González-Reyes, M.; García-Casillas, A.C.; Tirado-González, D.N.; Tirado-Estrada, G. Improvement of Ruminal Neutral Detergent Fiber Degradability by Obtaining and Using Exogenous Fibrolytic Enzymes from White-Rot Fungi. Animals 2022, 12, 843. [Google Scholar] [CrossRef]
- Vittorazzi, P.C., Jr.; Marques, J.A.; Takiya, C.S.; Chesini, R.G.; Bugoni, M.; da Silva, G.G.; Renno, F.P. Increasing doses of carbohydrases: Effects on rumen fermentation, nutrient digestibility, and performance of mid-lactation cows. J. Dairy Sci. 2021, 104, 12508–12519. [Google Scholar] [CrossRef]
- Estrada, G.T.; Haro, I.M.; Vázquez, C.R.C.; Martínez, G.D.M.; González, D.N.T. Degradación in situ y patrones de fermentación del rastrojo de maíz (Zea mays L.) tratado con enzimas exógenas en vacas Holstein. Intercienc. Rev. Cienc. Tecnol. Am. 2015, 40, 716–721. [Google Scholar]
- Farooq, S.; Shah, M.A.; Ganaie, T.A.; Mir, S.A. Exogenous Enzymes. In Food Biopolymers: Structural, Functional and Nutraceutical Properties; Gani, A., Ashwar, B.A., Eds.; Springer: Cham, Switzerland, 2021; pp. 319–338. [Google Scholar]
- Bajaj, P.; Mahajan, R. Cellulase and xylanase synergism in industrial biotechnology. Appl. Microbiol. Biotechnol. 2019, 103, 8711–8724. [Google Scholar] [CrossRef]
- Li, X.; Dilokpimol, A.; Kabel, M.A.; de Vries, R.P. Fungal xylanolytic enzymes: Diversity and applications. Bioresour. Technol. 2022, 344, 126290. [Google Scholar] [CrossRef]
- Azzaz, H.H.; Abd El Tawab, A.M.; Khattab, M.S.A.; Szumacher-Strabel, M.; Cieślak, A.; Murad, H.A.; Kiełbowicz, M.; El-Sherbiny, M. Effect of Cellulase Enzyme Produced from Penicilliumchrysogenum on the Milk Production, Composition, Amino Acid, and Fatty Acid Profiles of Egyptian Buffaloes Fed a High-Forage Diet. Animals 2021, 11, 3066. [Google Scholar] [CrossRef]
- Velázquez-De Lucio, B.S.; Hernández-Domínguez, E.M.; Villa-García, M.; Díaz-Godínez, G.; Mandujano-Gonzalez, V.; Mendoza-Mendoza, B.; Álvarez-Cervantes, J. Exogenous Enzymes as Zootechnical Additives in Animal Feed: A Review. Catalysts 2021, 11, 851. [Google Scholar] [CrossRef]
- Almaamory, Y.A.; Sundos, F.M.; Abass, E.R. Effect of Exogenous Enzymes (Labazyme and Bio SB-Gold) in Rumen Fermentation and Blood Parameters of Awassi Lambs. Plant Arch. 2020, 20, 13–16. [Google Scholar]
- Mohamed, D.E.A.; Borhami, B.E.; El-Shazly, K.A.; Sallam, S.M.A. Effect of Dietary Supplementation with Fibrolytic Enzymes on the Productive Performance of Early Lactating Dairy Cows. J. Agric. Sci. 2013, 5, 146–155. [Google Scholar] [CrossRef][Green Version]
- Kholif, A.M.; Aziz, H.A. Influence of Feeding Cellulytic Enzymes on Performance, Digestibility and Ruminal Fermentation in Goats. Anim. Nutr. Feed Technol. 2014, 14, 121–136. [Google Scholar]
- Song, S.D.; Chen, G.J.; Guo, C.H.; Rao, K.Q.; Gao, Y.H.; Peng, Z.L.; Zhang, Z.F.; Bai, X.; Wang, Y.; Wang, B.X.; et al. Effects of exogenous fibrolytic enzyme supplementation to diets with different NFC/NDF ratio ratios on the growth performance, nutrient digestibility and ruminal fermentation in Chinese domesticated black goats. Anim. Feed Sci. Technol. 2018, 236, 170–177. [Google Scholar] [CrossRef]
- Wang, Y.; McAllister, T.A.; Baah, J.; Wilde, R.; Beauchemin, K.A.; Rode, L.M.; Shelford, J.A.; Kamande, G.M.; Cheng, K.J. Effects of Tween 80 on In Vitro Fermentation of Silages and Interactive Effects of Tween 80, Monensin and Exogenous Fibrolytic Enzymeson Growth Performance by Feedlot Cattle. Asian-Australas. J. Anim. Sci. 2003, 16, 968–978. [Google Scholar] [CrossRef]
- Oba, M.; Allen, M.S. Evaluation of the Importance of the Digestibility of Neutral Detergent Fiber from Forage: Effects on Dry Matter Intake and Milk Yield of Dairy Cows. J. Dairy Sci. 1999, 82, 589–596. [Google Scholar] [CrossRef]
- Kung, L.; Cohen, M.A.; Rode, L.M.; Treacher, R.J. The Effect of Fibrolytic Enzymes Sprayed onto Forages and Fed in a Total Mixed Ratio to Lactating Dairy Cows1. J. Dairy Sci. 2002, 85, 2396–2402. [Google Scholar] [CrossRef]
- Sutton, J.D.; Phipps, R.H.; Deaville, E.R.; Jones, A.K.; Humphries, D.J. Whole-Crop Wheat for Dairy Cows: Effects of Crop Maturity, a Silage Inoculant and an Enzyme Added before Feeding on Food Intake and Digestibility and Milk Production. J. Anim. Sci. 2002, 74, 307–318. [Google Scholar] [CrossRef]
- Vicini, J.L.; Bateman, H.G.; Bhat, M.K.; Clark, J.H.; Erdman, R.A.; Phipps, R.H.; Van Amburgh, M.E.; Hartnell, G.F.; Hintz, R.L.; Hard, D.L. Effect of Feeding Supplemental Fibrolytic Enzymes or Soluble Sugars with Malic Acid on Milk Production. J. Dairy Sci. 2003, 86, 576–585. [Google Scholar] [CrossRef]
- Titi, H.H. Evaluation of Feeding a Fibrolytic Enzyme to Lactating Dairy Cows on Their Lactational Performance during Early Lactation. Asian-Australas. J. Anim. Sci. 2003, 16, 677–684. [Google Scholar] [CrossRef]
- Elwakeel, E.A.; Titgemeyer, E.C.; Johnson, B.J.; Armendariz, C.K.; Shirley, J.E. Fibrolytic Enzymes to Increase the Nutritive Value of Dairy Feedstuffs. J. Dairy Sci. 2007, 90, 5226–5236. [Google Scholar] [CrossRef]
- Arriola, K.G.; Kim, S.C.; Staples, C.R.; Adesogan, A.T. Effect of Fibrolytic Enzyme Application to Low- and High-Concentrate Diets on the Performance of Lactating Dairy Cattle. J. Dairy Sci. 2011, 94, 832–841. [Google Scholar] [CrossRef]
- Holtshausen, L.; Chung, Y.-H.; Gerardo-Cuervo, H.; Oba, M.; Beauchemin, K.A. Improved Milk Production Efficiency in Early Lactation Dairy Cattle with Dietary Addition of a Developmental Fibrolytic Enzyme Additive. J. Dairy Sci. 2011, 94, 899–907. [Google Scholar] [CrossRef] [PubMed]
- Eun, J.-S.; Beauchemin, K.A.; Schulze, H. Use of an in Vitro Fermentation Bioassay to Evaluate Improvements in Degradation of Alfalfa Hay Due to Exogenous Feed Enzymes. Anim. Feed Sci. Tech. 2007, 135, 315–328. [Google Scholar] [CrossRef]
- Duarte, E.R.; Maia, H.A.R.; Freitas, C.E.S.; da Silva Alves, J.M.; Valério, H.M.; Cota, J. Hydrolysis of lignocellulosic forages by Trichoderma longibrachiatum isolate from bovine rumen. Biocatal. Agric. Biotechnol. 2021, 36, 102135. [Google Scholar] [CrossRef]
- Guzmán-Guzmán, P.; Porras-Troncoso, M.D.; Olmedo-Monfil, V.; Herrera-Estrella, A. Trichoderma Species: Versatile Plant Symbionts. Phytopathology 2019, 109, 6–16. [Google Scholar] [CrossRef]
- Sood, M.; Kapoor, D.; Kumar, V.; Sheteiwy, M.S.; Ramakrishnan, M.; Landi, M.; Araniti, F.; Sharma, A. Trichoderma: The “Secrets” of a Multitalented Biocontrol Agent. Plants 2020, 9, 762. [Google Scholar] [CrossRef]
- Vinale, F.; Sivasithamparam, K. Beneficial effects of Trichoderma secondary metabolites on crops. Phytother. Res. 2020, 34, 2835–2842. [Google Scholar] [CrossRef]
- Dini, I.; Graziani, G.; Fedele, F.L.; Sicari, A.; Vinale, F.; Castaldo, L.; Ritieni, A. An Environmentally Friendly Practice Used in Olive Cultivation Capable of Increasing Commercial Interest in Waste Products from Oil Processing. Antioxidants 2020, 9, 466. [Google Scholar] [CrossRef]
- Dini, I.; Marra, R.; Cavallo, P.; Pironti, A.; Sepe, I.; Troisi, J.; Scala, G.; Lombari, P.; Vinale, F. Trichoderma Strains and Metabolites Selectively Increase the Production of Volatile Organic Compounds (VOCs) in Olive Trees. Metabolites 2021, 11, 213. [Google Scholar] [CrossRef]
- Dini, I.; Laneri, S. Spices, Condiments, Extra Virgin Olive Oil and Aromas as Not Only Flavorings, but Precious Allies for Our Wellbeing. Antioxidants 2021, 10, 868. [Google Scholar] [CrossRef]
- Dini, I.; Graziani, G.; Gaspari, A.; Fedele, F.L.; Sicari, A.; Vinale, F.; Cavallo, P.; Lorito, M.; Ritieni, A. New Strategies in the Cultivation of Olive Trees and Repercussions on the Nutritional Value of the Extra Virgin Olive Oil. Molecules 2020, 25, 2345. [Google Scholar] [CrossRef]
- Cavallo, P.; Dini, I.; Sepe, I.; Galasso, G.; Fedele, F.L.; Sicari, A.; Bolletti Censi, S.; Gaspari, A.; Ritieni, A.; Lorito, M.; et al. An Innovative Olive Pâté with Nutraceutical Properties. Antioxidants 2020, 9, 581. [Google Scholar] [CrossRef]
- Zafra, G.; Cortés-Espinosa, D.V. Biodegradation of polycyclic aromatic hydrocarbons by Trichoderma species: A mini review. Environ. Sci. Pollut. Res. Int. 2015, 22, 19426–19433. [Google Scholar] [CrossRef]
- Dini, I.; Pascale, M.; Staropoli, A.; Marra, R.; Vinale, F. Effect of Selected Trichoderma Strains and Metabolites on Olive Drupes. Appl. Sci. 2021, 11, 8710. [Google Scholar] [CrossRef]
- Harman, G.E.; Lorito, M.; Lynch, J.M. Uses of Trichoderma spp. to alleviate or remediate soil and water pollution. Adv. Appl. Microbiol. 2004, 56, 313–330. [Google Scholar] [CrossRef]
- Gupta, V.G.; Schmoll, M.; Herrera-Estrella, A.; Upadhyay, R.S.; Druzhinina, I.; Tuohy, M. Biotechnology and Biology of Trichoderma; Newnes: Boston, MA, USA, 2014; ISBN 0444595945. [Google Scholar]
- Sakita, G.Z.; Bompadre, T.F.V.; Dineshkumar, D.; de Mello Tavares Lima, P.; Filho, A.L.A.; Campioni, T.S.; de Oliva Neto, P.; Neto, H.B.; Louvandini, H.; Abdalla, A.L. Fibrolytic enzymes improving in vitro rumen degradability of tropical forages. J. Anim. Physiol. Anim. Nutr. 2020, 104, 1267–1276. [Google Scholar] [CrossRef]
- Díaz, A.; Ranilla, M.J.; Giraldo, L.A.; Tejido, M.L.; Carro, M.D. Treatment of tropical forages with exogenous fibrolytic enzymes: Effects on chemical composition and in vitro rumen fermentation. J. Anim. Physiol. Anim. Nutr. 2015, 99, 345–355. [Google Scholar] [CrossRef] [PubMed]
- Iram, A.; Cekmecelioglu, D.; Demirci, A. Ideal Feedstock and Fermentation Process Improvements for the Production of Lignocellulolytic Enzymes. Processes 2021, 9, 38. [Google Scholar] [CrossRef]
- Li, W.; Cheng, P.; Zhang, J.; Zhao, L.; Ma, Y.; Ding, K. Synergism of microorganisms and enzymes in solid-state fermentation of animal feed. A review. J. Anim. Feed Sci. 2021, 30, 3–10. [Google Scholar] [CrossRef]
- Yusuf, H.A.; Piao, M.; Ma, T.; Huo, R.; Tu, Y. Enhancing the Quality of Total Mixed Ration Containing Cottonseed or Rapeseed Meal by Optimization of Fermentation Conditions. Fermentation 2021, 7, 234. [Google Scholar] [CrossRef]
- Zilio, E.M.C.; Del Valle, T.A.; Ghizzi, L.G.; Takiya, C.S.; Dias, M.S.S.; Nunes, A.T.; Silva, G.G.; Rennó, F.P. Effects of Exogenous Fibrolytic and Amylolytic Enzymes on Ruminal Fermentation and Performance of Mid-Lactation Dairy Cows. J. Dairy Sci. 2019, 102, 4179–4189. [Google Scholar] [CrossRef] [PubMed]
- Feed Enzymes Market by Type (Phytase, Carbohydrase, and Protease), Livestock (Poultry, Swine, Ruminants, and Aquatic Animals), Source (Microorganism, Plant, and Animal), Form (Dry and Liquid), and Region—Global Forecast to 2025. Available online: https://www.marketsandmarkets.com/Market-Reports/feed-enzyme-market-1157.html?gclid=CjwKCAjw4qCKBhAVEiwAkTYsPHL4phTwHlcNXccyF96D70nXnpyBnPqS6jGS6k0Knz9RaNB6HNGK8hoCY48QAvD_BwE (accessed on 25 September 2021).
- Van Soest, P.J.; Robertson, J.B.; Lewis, B.A. Methods for dietary fiber, neutral detergent fiber, and nonstarch polysaccharides in relation to animal nutrition. J. Dairy Sci. 1991, 74, 3583–3597. [Google Scholar] [CrossRef]
- Rinne, M.; Jaakkola, S.; Huhtanen, P. Grass maturity effects on cattle fed silage-based diets. 1. Organic matter digestion, rumen fermentation and nitrogen utilization. Anim. Feed Sci. Tech. 1997, 67, 1–17. [Google Scholar] [CrossRef]
- Harman, G.E.; Kubicek, C.P. (Eds.) Trichoderma And Gliocladium, Volume 2: Enzymes, Biological Control and Commercial Applications, 1st ed.; CRC Press: Boca Raton, FL, USA, 1998. [Google Scholar] [CrossRef]
- Kunamneni, A.; Plou, F.J.; Alcalde, M.; Ballesteros, A. Trichoderma enzymes for food industries. In Biotechnology and Biology of Trichoderma; Elsevier: Amsterdam, The Netherlands, 2014; pp. 339–344. [Google Scholar]
- Jung, H.G. Forage digestibility: The intersection of cell wall lignification and plant tissue anatomy. In Proceedings of the III International Symposium Advances on Research Techniques for Ruminant Nutrition, Pirassununga, Brazil, 24–25 March 2011; pp. 137–160. [Google Scholar]
- Feng, P.; Hunt, C.W.; Pritchard, G.T.; Julien, W.E. Effect of enzyme preparations on in situ and in vitro degradation and in vivo digestive characteristics of mature cool-season grass forage in beef steers. J. Anim. Sci. 1996, 74, 1349–1357. [Google Scholar] [CrossRef]
- Yang, W.Z.; Beauchemin, K.A.; Rode, L.M. Effects of an enzyme feed additive on extent of digestion and milk production of lactating dairy cows. J. Dairy Sci. 1999, 82, 391–403. [Google Scholar] [CrossRef]
- Beauchemin, K.A.; Rode, L.M.; Yang, W.Z.; McAllister, T.A. Use of feed enzymes in ruminant nutrition. In Proceedings of the 33rd Pacific Northwest Nutrition Conference, Vancouver, BC, Canada, 1998; pp. 121–135. [Google Scholar]
- Pech-Cervantes, A.A.; Ogunade, I.M.; Jiang, Y.; Estrada-Reyes, Z.M.; Arriola, K.G.; Amaro, F.X.; Staples, C.R.; Vyas, D.; Adesogan, A.T. Effects of a xylanase-rich enzyme on intake, milk production, and digestibility of dairy cows fed a diet containing a high proportion of bermudagrass silage. J. Dairy Sci. 2021, 104, 7671–7681. [Google Scholar] [CrossRef]
- Tirado-González, D.N.; Tirado-Estrada, G.; Miranda-Romero, L.A.; Ramírez-Valverde, R.; Medina-Cuéllar, S.E.; Salem, A.Z.M. Effects of addition of exogenous fibrolytic enzymes on digestibility and milk and meat production—A systematic review. Ann. Anim. Sci. 2021, 21, 1159–1192. [Google Scholar] [CrossRef]
- Napolitano, A.; Lanzuise, S.; Ruocco, M.; Arlotti, G.; Ranieri, R.; Knutsen, S.H.; Lorito, M.; Fogliano, V. Treatment of Cereal Products with a Tailored Preparation of Trichoderma Enzymes Increases the Amount of Soluble Dietary Fiber. J. Agric. Food Chem. 2006, 54, 7863–7869. [Google Scholar] [CrossRef]
- Xu, Y.; Zhang, J.; Shao, J.; Feng, H.; Zhang, R.; Shen, Q. Extracellular proteins of Trichoderma guizhouense elicit an immune response in maize (Zea mays) plants. Plant Soil 2020, 449, 133–149. [Google Scholar] [CrossRef]
- Sharma, A.; Salwan, R.; Sharma, V. Extracellular proteins of Trichoderma and their role in plant health. S. Afr. J. Bot. 2022, 147, 359–369. [Google Scholar] [CrossRef]
- Lorito, M.; Hayes, C.K.; Di Pietro, A.; Woo, S.L.; Harman, G.E. Purification, Characterization, and Synergistic Activity of a Glucan 1,3-Beta-Glucosidase and an N-Acetyl-Beta-Glucosaminidase from Trichoderma Harzianum. Phytopathology 1994, 84, 398–405. [Google Scholar] [CrossRef]
- Da Costa, A.C.; Cavalheiro, G.F.; de Queiroz Vieira, E.R.; Gandra, J.R.; de Tonissi e Buschinelli de Goes, R.H.; da Paz, M.F.; Fonseca, G.G.; Leite, R.S.R. Catalytic properties of xylanases produced by Trichoderma piluliferum and Trichoderma viride and their application as additives in bovine feeding. Biocatal. Agric. Biotechnol. 2019, 19, 101161. [Google Scholar] [CrossRef]
- Morgavi, D.P.; Beauchemin, K.A.; Nsereko, V.L.; Rode, L.M.; Iwaasa, A.D.; Yang, W.Z.; McAllister, T.A.; Wang, Y. Synergy between ruminal fibrolytic enzymes and enzymes from Trichoderma longibrachiatum. J. Dairy Sci. 2000, 83, 1310–1321. [Google Scholar] [CrossRef]
- Kiarie, E.; Romero, L.F.; Ravindran, V. Growth performance, nutrient utilization, and digesta characteristics in broiler chickens fed corn or wheat diets without or with supplemental xylanase1. Poult. Sci. 2014, 93, 1186–1196. [Google Scholar] [CrossRef]
Publisher’s Note: MDPI stays neutral with regard to jurisdictional claims in published maps and institutional affiliations. |
© 2022 by the authors. Licensee MDPI, Basel, Switzerland. This article is an open access article distributed under the terms and conditions of the Creative Commons Attribution (CC BY) license (https://creativecommons.org/licenses/by/4.0/).








