Design and Performance Test of a Jujube Pruning Manipulator
Abstract
:1. Introduction
2. The Design of the Jujube Pruning Manipulator
2.1. Structure Composition and Working Principle
2.1.1. Structure Composition
2.1.2. Working Principle
2.2. The Design of the Mechanical Arm
2.2.1. Structure Design
2.2.2. The Parameters Design of the Links Dimension
2.3. The Design of the End-Effector
2.3.1. Structure Design
2.3.2. The Design of the Moving Cutter
2.4. The Design of the Control System
2.5. The Kinematics Analysis of the Manipulator
2.5.1. Forward Kinematics Analysis
2.5.2. Inverse Kinematic Analysis
3. The Performance Test Method of the Manipulator
3.1. The Analysis of the Agronomic Pruning Point for Jujube Trees
3.2. The Workspace Simulation of the Manipulator
3.3. The Platform Construction and Test of the Prototype
3.3.1. The Scheme for the Positioning Accuracy Test
3.3.2. The Scheme for the Pruning Test
4. Results and Discussion
4.1. The Simulation Results and Analysis of the Manipulator Workspace
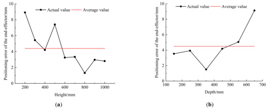
4.2. The Results and Discussion of the Positioning Accuracy
4.3. The Results and Discussion of the Pruning Test
5. Conclusions and Future Work
Author Contributions
Funding
Institutional Review Board Statement
Informed Consent Statement
Data Availability Statement
Acknowledgments
Conflicts of Interest
References
- Zhang, B.; Fu, W.; Wang, X.F.; Lou, Z.X.; Liu, Y.D.; Fu, Y.X.; Chen, Y.Y. Bench test and parameter optimization of jujube pruning tools. IAEJ 2020, 29, 58–68. [Google Scholar]
- Fu, W.; Zhang, Z.Y.; Ding, K.; Cao, W.B.; Kan, Z.; Pan, J.B.; Liu, Y.D. Design and test of 4ZZ-4A2 full-hydraulic self-propelled jujube harvester. Int. J. Agric. Biol. Eng. 2018, 11, 104–110. [Google Scholar] [CrossRef]
- Gao, W.H.; Han, R. Xinjiang Statistical Yearbook; China Statistics Press: Beijing, China, 2020.
- Wang, Y.K.; Hui, Q.; Wang, X.; Ma, J.P.; Zhang, W.F. Growth and Water Use Efficiency of Water saving Type Pruning Jujube Tree in Dry Soil. Trans. Chin. Soc. Agric. Mach. 2017, 48, 247–254. [Google Scholar]
- Fu, W.; Liu, Y.D.; Kan, Z.; Pan, J.B.; Cui, J.; Zhang, H.M. The Situation and Expectation of Fruit Tree Pruning Machine. J. Agric. Mech. Res. 2017, 39, 7–11. [Google Scholar]
- Ge, Y.; Fang, J.; Wang, S.L.; Liu, R.; Chen, Z.Y. Status of Mechanized Pruning Techniques Zaoyuan Close Planting Dwarf. J. Agric. Mech. Res. 2013, 35, 249–252. [Google Scholar]
- Kootstra, G.; Wang, X.; Blok, P.M.; Hemming, J.; Van Henten, E. Selective harvesting robotics: Current research, trends, and future directions. Curr. Robot. Rep. 2021, 2, 95–104. [Google Scholar] [CrossRef]
- Wang, T.; Xu, X.; Wang, C.; Li, Z.; Li, D. From Smart Farming towards Unmanned Farms: A New Mode of Agricultural Production. Agriculture 2021, 11, 145. [Google Scholar] [CrossRef]
- Vatavuk, I.; Vasiljević, G.; Kovačić, Z. Task Space Model Predictive Control for Vineyard Spraying with a Mobile Manipulator. Agriculture 2022, 12, 381. [Google Scholar] [CrossRef]
- Vrochidou, E.; Tziridis, K.; Nikolaou, A.; Kalampokas, T.; Papakostas, G.A.; Pachidis, T.P.; Mamalis, S.; Koundouras, S.; Kaburlasos, V.G. An Autonomous Grape-Harvester Robot: Integrated System Architecture. Electronics 2021, 10, 1056. [Google Scholar] [CrossRef]
- Li, G.L.; Ji, C.Y.; Gu, B.X.; Xu, W.Y.; Dong, M. Kinematics Analysis and Experiment of Apple Harvesting Robot Manipulator with Multiple End-effectors. Trans. Chin. Soc. Agric. Mach. 2016, 47, 14–21, 29. [Google Scholar]
- Zhao, D.A.; Lv, J.D.; Ji, W.; Zhang, Y.; Chen, Y. Design and control of an apple harvesting robot. Biosyst. Eng. 2011, 110, 112–122. [Google Scholar]
- Ji, W.; Zhao, D.A.; Cheng, F.Y.; Xu, B.; Zhang, Y.; Wang, J.J. Automatic recognition vision system guided for apple harvesting robot. Comput. Electr. Eng. 2012, 38, 1186–1195. [Google Scholar] [CrossRef]
- Van Henten, E.J.; Tuijl, B.A.J.; Hemming, J.; Kornet, J.G.; Bontsema, J.; Van Os, E.A. Field Test of an Autonomous Cucumber Picking Robot. Biosyst. Eng. 2003, 86, 305–313. [Google Scholar] [CrossRef]
- Van Henten, E.J.; Hemming, J.; Tuijl, B.A.J.; Kornet, J.G.; Bontsema, J. Collision-free Motion Planning for a Cucumber Picking Robot. Biosyst. Eng. 2003, 86, 135–144. [Google Scholar] [CrossRef]
- Hemming, J.; Bac, C.W.; Tuijl, B.A.; Barth, R.; Bontsema, J.; Pekkeriet, E.; Henten, E.J. A robot for harvesting sweet-pepper in greenhouses. In Proceedings of the International Conference of Agricultural Engineering, Zurich, Switzerland, 28–29 July 2022. [Google Scholar]
- Bac, C.W.; Hemming, J.; Henten, E.J. Robust pixel-based classification of obstacles for robotic harvesting of sweet-pepper. Comput. Electron. Agric. 2013, 96, 148–162. [Google Scholar] [CrossRef]
- Bac, C.W.; Hemming, J.; Henten, E.J. Stem localization of sweet-pepper plants using the support wire as a visual cue. Comput. Electron. Agric. 2014, 105, 111–120. [Google Scholar] [CrossRef]
- Bac, C.W.; Hemming, J.; Tuijl, B.A.J.; Barth, R.; Wais, E.; Henten, E.J. Performance Evaluation of a Harvesting Robot for Sweet Pepper. J. Field. Robot. 2017, 34, 1123–1139. [Google Scholar] [CrossRef]
- Zhang, B.; Liu, Y.; Zhang, H.; Shen, C.; Fu, W. Design and Evaluation of a Shaping and Pruning Machine for Dwarf and Densely Planted Jujube Trees. Appl. Sci. 2022, 12, 2699. [Google Scholar] [CrossRef]
- Li, M.; Ma, L.; Zong, W.; Luo, C.; Huang, M.; Song, Y. Design and Experimental Evaluation of a Form Trimming Machine for Horticultural Plants. Appl. Sci. 2021, 11, 2230. [Google Scholar] [CrossRef]
- Zahid, A.; Mahmud, M.S.; He, L.; Heinemann, P.; Choi, D.; Schupp, J. Technological advancements towards developing a robotic pruner for apple trees: A review. Comput. Electron. Agric. 2021, 189, 106383. [Google Scholar] [CrossRef]
- Tinoco, V.; Silva, M.F.; Santos, F.N.; Rocha, L.F.; Santos, L.C. A Review of Pruning and Harvesting Manipulators. In Proceedings of the 2021 IEEE ICARSC, Santa Maria da Feira, Portugal, 28–29 April 2021. [Google Scholar]
- Kawasaki, H.; Murakami, S.; Kachi, H.; Ueki, S. Novel Climbing Method of Pruning Robot. In Proceedings of the 2008 SICE Annual Conference, Tokyo, Japan, 20–22 August 2008; pp. 160–163. [Google Scholar]
- Soni, D.P.; Ranjana, M.; Gokul, N.A.; Swaminathan, S.; Binoy, B.N. Autonomous arecanut tree climbing and pruning robot. In Proceedings of the INTERACT-2010 IEEE, Santa Maria da Feira, Portugal, 28–29 April 2021; pp. 278–282. [Google Scholar]
- Botterill, T.; Paulin, S.; Green, R.; Williams, S.; Lin, J.; Saxton, V.; Mills, S.; Chen, X.Q.; Corbett-Davies, S. A Robot System for Pruning Grape Vines. J. Field. Robot. 2017, 34, 1100–1122. [Google Scholar] [CrossRef]
- Zahid, A.; Mahmud, M.S.; He, L.; Choi, D.; Heinemann, P.; Schupp, J. Development of an integrated 3R end-effector with a cartesian manipulator for pruning apple trees. Comput. Electron. Agric. 2020, 179, 105837–105847. [Google Scholar] [CrossRef]
- Zahid, A.; He, L.; Zeng, L.H.; Choi, D.; Schupp, J.; Heinemann, P. Development of a Robotic End-Effector for Apple Tree Pruning. Trans. ASABE 2020, 63, 847–856. [Google Scholar] [CrossRef]
- Zahid, A.; He, L.; Choi, D.; Schupp, J.; Heinemann, P. Investigation of branch accessibility with a robotic pruner for pruning apple trees. Trans. ASABE 2021, 64, 1459–1474. [Google Scholar] [CrossRef]
- Van Marrewijk, B.M.; Vroegindeweij, B.A.; Gené-Mola, J.; Mencarelli, A.; Hemming, J.; Mayer, N.; Kootstra, G. Evaluation of a boxwood topiary trimming robot. Biosyst. Eng. 2022, 214, 11–27. [Google Scholar] [CrossRef]
- Chai, Y.Q. Development of Hedge Pruning Robot Based on Exoskeleton. Master’s Thesis, Zhengzhou University, Zhengzhou, China, 2019. [Google Scholar]
- Luo, T.H.; Tang, G.; Ma, X.Y.; Zhou, J.C. Obstacle avoidance path planning for expressway hedgerow pruning robot manipulator. Chin. J. Eng. 2019, 41, 134–142. [Google Scholar]
- Li, M.D. Dynamics Simulation Research on the Urban Landscape Automatic Pruning Robot. J. Agric. Mech. Res. 2019, 41, 61–65. [Google Scholar]
- Chen, F.F.; Wu, X.F. The kinematics simulation of the forestry special robot for the hedge pruning. Mech. Electr. Eng. Technol. 2009, 38, 30–31, 59, 117. [Google Scholar]
- Huang, B.; Shao, M.; Song, L. Vision Recognition and Frameworks Extraction of Loquat Branch Pruning Robot. J. South China Univ. Technol. 2015, 43, 114–119, 126. [Google Scholar]
- Huang, B.; Shao, M.; Chen, W.J. Design and Research on End Effector of a Pruning Robot. Int. J. Simul. Syst. Sci. Technol. 2016, 17, 1–5. [Google Scholar]
- Wu, X.; Shen, Y.; Yang, H.; Guo, J.; Teng, F. Design and Test of High Branch Pruning Manipulator in Forest and Fruit Industry. Trans. Chin. Soc. Agric. Eng. 2020, 42, 70–75. [Google Scholar]
- Wang, Y.; Yang, Q.H.; Bao, G.J.; Xun, Y.; Zhang, L.B. Optimization Design and Experiment of Fruit and Vegetable Picking Manipulator. Trans. Chin. Soc. Agric. Mach. 2011, 42, 191–195. [Google Scholar]
- Chen, Y.; Zhang, B.; Fu, Y.; Fu, W.; Shen, C.; Jin, X. Path Planning of Jujube Pruning Manipulator. Trans. Chin. Soc. Agric. Eng. 2021, 43, 37–41. [Google Scholar]
- Quan, L.Z.; Peng, T.; Shen, L.Y.; An, S.Y.; Ji, Z.L.; Sun, T. Parameter optimization and experiment of manipulator for three-dimensional seedling tray management robot. Trans. Chin. Soc. Agric. Eng. 2017, 33, 10–19. [Google Scholar]
- Cui, T.; Liu, J.; Yang, L.; Zhang, D.X.; Zhang, R.; Lan, W. Experiment and simulation of rolling friction characteristic of corn seed based on high-speed photography. Trans. Chin. Soc. Agric. Eng. 2013, 29, 34–41. [Google Scholar]
- Islam, M.N.; Iqbal, M.Z.; Ali, M.; Chowdhury, M.; Kabir, M.S.N.; Park, T.; Kim, Y.-J.; Chung, S.-O. Kinematic Analysis of a Clamp-Type Picking Device for an Automatic Pepper Transplanter. Agriculture 2020, 10, 627. [Google Scholar] [CrossRef]
- Tian, H.B.; Ma, H.W.; Wei, J. Workspace and Structural Parameters Analysis for Manipulator of Serial Robot. Trans. Chin. Soc. Agric. Mach. 2013, 44, 196–201. [Google Scholar]
















| a2 | a3 | a4 | d1 | d2max | d5 | d6 |
|---|---|---|---|---|---|---|
| 100 mm | 350 mm | 100 mm | 200 mm | 700 mm | 0 mm | 350 mm |
| Link i | /Degree | /Degree | /mm | /mm | Range of Variables |
|---|---|---|---|---|---|
| 1 | 0 | 0 | d1 (200) | −90~+90 degree | |
| 2 | 0 | 0 | 0 | d2 | 0~700 mm |
| 3 | 90 | a2 (100) | 0 | −30~+180 degree | |
| 4 | 0 | a3 (350) | 0 | −90~+90 degree | |
| 5 | 90 | a4 (100) | d5 (0) | −160~+160 degree | |
| 6 | 0 | 0 | 0 | d6 (350) | - |
| Number | Theoretical Coordinates of the Pruning Points/mm | Measured Coordinates of the Pruning Points/mm | Absolute Value of the Positioning Error/mm | |||||||
|---|---|---|---|---|---|---|---|---|---|---|
| X0 | Y0 | Z0 | X | Y | Z | Dx | Dy | Dz | D | |
| 1 | 600 | 0 | 200 | 601.59 | - | 208.78 | 1.59 | - | 8.78 | 8.92 |
| 2 | 600 | 0 | 300 | 605.32 | - | 301.12 | 5.32 | - | 1.12 | 5.44 |
| 3 | 600 | 0 | 400 | 601.10 | - | 395.93 | 1.10 | - | 4.07 | 4.21 |
| 4 | 600 | 0 | 500 | 599.12 | - | 507.36 | 0.88 | - | 7.36 | 7.41 |
| 5 | 600 | 0 | 600 | 597.03 | - | 598.68 | 2.97 | - | 1.32 | 3.25 |
| 6 | 600 | 0 | 700 | 597.47 | - | 697.91 | 2.53 | - | 2.19 | 3.34 |
| 7 | 600 | 0 | 800 | 598.87 | - | 800.69 | 1.13 | - | 0.69 | 1.32 |
| 8 | 600 | 0 | 900 | 598.21 | - | 897.62 | 1.79 | - | 2.38 | 2.97 |
| 9 | 600 | 0 | 1000 | 602.35 | - | 998.46 | 2.35 | - | 1.54 | 2.81 |
| 10 | 150 | 0 | 600 | 148.27 | - | 603.08 | 1.73 | - | 3.08 | 3.53 |
| 11 | 250 | 0 | 600 | 249.56 | - | 603.91 | 0.44 | - | 3.91 | 3.93 |
| 12 | 350 | 0 | 600 | 351.28 | - | 600.79 | 1.28 | - | 0.79 | 1.50 |
| 13 | 450 | 0 | 600 | 453.37 | - | 602.48 | 3.37 | - | 2.48 | 4.18 |
| 14 | 550 | 0 | 600 | 554.95 | - | 598.93 | 4.95 | - | 1.07 | 5.06 |
| 15 | 650 | 0 | 600 | 658.25 | - | 596.09 | 8.25 | - | 3.91 | 9.13 |
| Number | Total Number of Pruning Points | Number of Successfully Pruned Points | Success Rate/% | Pruning Time/min |
|---|---|---|---|---|
| 1 | 36 | 33 | 91.67 | 29.3 |
| 2 | 30 | 26 | 86.67 | 27.6 |
| 3 | 33 | 30 | 90.91 | 28.8 |
| 4 | 30 | 27 | 90.00 | 27.2 |
| 5 | 27 | 23 | 85.16 | 25.6 |
| Total | 156 | 139 | 89.10 | 27.7 |
Publisher’s Note: MDPI stays neutral with regard to jurisdictional claims in published maps and institutional affiliations. |
© 2022 by the authors. Licensee MDPI, Basel, Switzerland. This article is an open access article distributed under the terms and conditions of the Creative Commons Attribution (CC BY) license (https://creativecommons.org/licenses/by/4.0/).
Share and Cite
Zhang, B.; Chen, X.; Zhang, H.; Shen, C.; Fu, W. Design and Performance Test of a Jujube Pruning Manipulator. Agriculture 2022, 12, 552. https://doi.org/10.3390/agriculture12040552
Zhang B, Chen X, Zhang H, Shen C, Fu W. Design and Performance Test of a Jujube Pruning Manipulator. Agriculture. 2022; 12(4):552. https://doi.org/10.3390/agriculture12040552
Chicago/Turabian StyleZhang, Bin, Xuegeng Chen, Huiming Zhang, Congju Shen, and Wei Fu. 2022. "Design and Performance Test of a Jujube Pruning Manipulator" Agriculture 12, no. 4: 552. https://doi.org/10.3390/agriculture12040552
APA StyleZhang, B., Chen, X., Zhang, H., Shen, C., & Fu, W. (2022). Design and Performance Test of a Jujube Pruning Manipulator. Agriculture, 12(4), 552. https://doi.org/10.3390/agriculture12040552

