Next Article in Journal
A Standard-Free Calibration Transfer Strategy for a Discrimination Model of Apple Origins Based on Near-Infrared Spectroscopy
Next Article in Special Issue
Temperature Effects on the Shoot and Root Growth, Development, and Biomass Accumulation of Corn (Zea mays L.)
Previous Article in Journal
Dioecy in Flowering Plants: From the First Observations of Prospero Alpini in the XVI Century to the Most Recent Advances in the Genomics Era
Previous Article in Special Issue
Effects of Solar Radiation on Dry Matter Distribution and Root Morphology of High Yielding Maize Cultivars
 
 
Font Type:
Arial Georgia Verdana
Font Size:
Aa Aa Aa
Line Spacing:
Column Width:
Background:
Article

Comparative Yield and Photosynthetic Characteristics of Two Corn (Zea mays L.) Hybrids Differing in Maturity under Different Irrigation Treatments

State Key Laboratory of Crop Biology, Agronomy College of Shandong Agricultural University, Taian 271018, China
*
Author to whom correspondence should be addressed.
Agriculture 2022, 12(3), 365; https://doi.org/10.3390/agriculture12030365
Submission received: 8 February 2022 / Revised: 26 February 2022 / Accepted: 2 March 2022 / Published: 4 March 2022

Abstract

:
Effective irrigation strategies are of great significance for improving crop yields. There is an increasing concern that short-season corn hybrids are gradually being encouraged to plant in the North China Plain (NCP) with the development of mechanized grain harvesting, but the photosynthetic characteristics and productivity of short-season hybrids are not well documented. The objective of the study was to investigate the effects of different irrigation treatments on photosynthetic characteristics, dry matter accumulation (DMA) and photo-assimilate translocation (PAT/PT), grain yield (GY) and water productivity (WP) of two corn hybrids differing in maturity. In the experiment plots under the rainout shelter facility, short-season hybrid Denghai518 (DH518) and medium- and full-season hybrid Denghai605 (DH605) were grown under three irrigation levels (severe water stress, T1; mild water stress, T2; and non-stress, T3) by two irrigation methods (flood irrigation, FI; surface drip irrigation, SDI) in 2020 and 2021. The results indicated that non-stomatal limitation (NSL) was the main factor leading to the reduction in photosynthesis during the reproductive stage. Severe water stress significantly decreased net photosynthetic rate (Pn) and chlorophyll soil-plant analysis development (SPAD) value, resulting in lower DMA and GY. The contribution rate of vegetative organ photosynthate before flowering (CRP) decreased with the irrigation levels increasing. DMA, GY and WP of SDI increased by 16.23%, 21.49% and 51.31%, respectively, compared to FI. The yields of DH518 were 7.22% lower than those of DH605. The WP penalty for DH605 was attributed to a relatively larger ET. It suggested that applying the optimum irrigation level (T3) under SDI could increase DMA, GY and WP of summer corn in the NCP.

1. Introduction

Increasing crop productivity is an urgent requirement to meet food demand for the predicted increase of 2.3 billion people by the mid-21st century [1,2]. Genetic improvements, advanced mechanization and the availability of irrigation and fertilizer are helpful in increasing crop yields worldwide with the development of the Green Revolution [3,4]. Irrigation has immensely contributed to higher grain production, and approximately four-fifths of crops are produced in irrigation districts [5]. Corn is a leading cereal crop cultivated as the staple food in the world [6]. China is one of the most important cereal-producing countries and about 30% of the cereal production refers to corn [7]. The NCP belongs to the major corn growing regions in China, accounting for 40% of corn-producing areas [8]. As the climate becomes drier and wetter, extreme climate events (e.g., droughts and dry spells) are becoming common in this area [9], and many farmlands still suffer from a lack of sufficient available water for crop production. Furthermore, FAO [10] demonstrated that a future increase in grain production was dependent on higher plant density and yields owing to the limitation of available land for agricultural use. It is anticipated that the magnitude of agricultural water consumption will grow gradually with population pressure and the increasing need for food security in the future. Therefore, one of the greatest challenges to increasing crop production is obtaining a higher yield and an effective utilization of water resources.
Indeed, farmers are planting longer season hybrids to increase GY in the NCP. However, full-season hybrids generally obtain higher grain moisture content at harvest, which could cause larger harvest losses and increase the relatively high cost of drying and storage [11]. The use of short-season hybrids has become more widespread because hybrids with earlier harvest dates would likely lead to sufficient in-field grain dry-down and high-quality mechanical harvesting [12]. Previous studies examining irrigation management factors influencing corn production responses to hybrid maturity have been inconsistent [13,14,15], and optimal irrigation management for corn hybrids of different maturities is still a problem to be solved. Additional research is necessary to understand the mechanism of what influences the hybrid maturity response to various irrigation treatments.
Flood irrigation is a traditional irrigation technique that exhibits WP [16]. Numerous water-saving cultivation techniques (e.g., supplemental irrigation and drip irrigation) have been developed and applied to maintain high GY and WP over the past several decades. Supplemental irrigation is an irrigation method that uses an adequate amount of water when applied during crop growth stages [17]. In Turkey, Dogan [18] reported that proper supplemental irrigation levels increased the number of branches and pods per plant on vetch. A similar result was also reported by Mbagwu and Osuigwe [19], who found that the growth of corn was best when irrigation with water was equivalent to 75% field capacity at daily intervals. Drip irrigation plays an important role in increasing crop productivity by applying water precisely [20], which also has obvious advantages in reducing production costs and crop evapotranspiration [21]. At present, China is the country with the largest micro irrigation area in the world, and there is a growing interest in applying drip irrigation to cereal crops such as corn [22]. For instance, the use of drip irrigation techniques significantly decreased the cost of corn field management and improved water use efficiency in Northeast China [23]. As such, optimizing supplemental irrigation and drip irrigation could be highly efficient irrigation treatments with great potential for increasing crop productivity.
Photosynthesis is an important physiological process for crops to accumulate organic matter. Irrigation is a key factor affecting corn photosynthetic characteristics. Severe water stress significantly decreased relative chlorophyll content, net photosynthesis and delayed corn growth, resulting in significant yield loss [24]. Within a certain range of irrigation amounts, photosynthetic rate and SPAD value increase with the irrigation [25]. Moreover, it is stomatal limitations (SL) and non-stomatal limitations (NSL) that become the major factor in reducing plant photosynthesis under different irrigation levels [26]. Song et al. [27] reported that the reduction in photosynthesis under mild water stress was mainly caused by SL, while with the opening of plant stomata significantly decreased under severe water stress, causing the decreases in the activity of Rubisco and chloroplasts, NSL became the main factor leading to the reduction in photosynthesis capacity. Moreover, crop yield depends on the rate of biomass accumulation and proportion of carbohydrate partition to ears. The contribution of biomass after anthesis to the grain is correlated with GY [23]. The proportion of remobilization of dry matter from vegetative organs to the grain is associated with climatic conditions, soil nutrients, water availability, crop cultivars and all of which are critical for determining grain yield [28,29,30]. Therefore, one of the main purposes in this study is to investigate the photosynthetic characteristics, DMA and PAT/PT under different irrigation treatments throughout the corn-growing season.
The field experiment under the rainout shelter was conducted by using two corn hybrids differing in maturity, three irrigation levels and two irrigation methods. Accordingly, the experiment reported here was undertaken to test the effects of different irrigation treatments on (i) leaf SPAD value and photosynthetic characteristics; (ii) DMA and PAT/PT; and (iii) GY and WP of two corn hybrids differing in maturity in NCP.

2. Materials and Methods

2.1. The Experimental Site

The study was performed during two summer corn growing seasons in 2020 and 2021 at Liangzhuang research field (35°97′ N; 117°26′ E; 130 m a.s.l.) and at the State Key Laboratory of Crop Biology, which were both located in Taian, Shandong Province, China. The experimental region had a temperate continental monsoon climate and the soil of the experimental field is silty clay loam in the US system of soil taxonomy [31]. The mean monthly air temperature during the experiment periods from June to October was 27.42, 26.44, 28.51, 23.39 and 13.58 °C in 2020 and from June to October was 28.14, 28.48, 27.19, 22.63 and 14.54℃ in 2021, respectively, by the Taian meteorological station of China Meteorological Administration. The average available N, P, K and soil organic matter content in 0–20 cm soil depth was 102.1 mg/kg, 39.4 mg/kg, 88.4 mg/kg and 11.6 g/kg, respectively. The pH, soil bulk density and field capacity of the soil in the 0–100 cm soil layers were shown in Table 1.

2.2. Experimental Design

Two corn hybrids, Denghai518 (short-season DH518) and Denghai605 (medium- and full-season DH605), were seeded on 15 June in 2020 and 12 June in 2021 in the experimental plots with a row spacing of 60 cm and a plant density of 67,500 plants/ha. Both hybrids are widely planted in Shandong Province, China. The hybrid maturity is classified as 113 d for DH605 and 103 d for DH518. The growing season duration (from planting to physiology maturity) for two hybrids under different irrigation treatments was shown in Table 2.
The field experiment used a split-plot design of twelve treatments with three replications in 2020 and 2021. The corn hybrid maturity was the whole-plot factor, and factorial combinations of three irrigation levels (T1, T2 and T3) and two irrigation methods (surface drip irrigation, SDI; flood irrigation, FI) were randomly assigned to the subplots.
Each experimental plot was 4 m × 4 m and separated by concrete walls of 0.5 m-thick water barriers. Each wall was built 2.5 m below the surface and the remaining 0.3 m was above ground. The experimental plots were equipped with the moveable waterproof shed to prevent rainfall onto experimental plots. Irrigation was conducted to maintain field capacity of upper 60 cm soil layer before planting in each plot.
The irrigation levels were determined according to the design by maintaining the soil relative water content (SRWC) of the tested soil layer (0–60 cm) at 45% ± 5% (severe water stress) of field capacity for FIT1 and SDIT1; at 60% ± 5% (mild water stress) of field capacity for FIT2 and SDIT2; and at 75% ± 5% (non-stress) of field capacity for FIT3 and SDIT3. Field capacity refers to the water moisture of the upper 60 cm soil layer following saturation with water when free drainage is negligible [17]. The SRWC in T1, T2 and T3 treatments were maintained from planting to harvesting. The amounts of irrigation were calculated based on pre-irrigation soil water content (SWC) described in Sidika et al. [32] as follows:
IA = 10 × γbd × H × (θi − θj)
where IA (mm) refers to the amount of irrigation, γbd is the soil bulk density, H refers to the depth of the soil layer (in this paper it is 60 cm), θi refers to the target SWC on a weight basis after irrigating and θj refers to SWC on a weight basis before irrigating. The value for θi was calculated as follows:
θi = θmax × θtr
where θmax (%) refers to the field capacity and θtr (%) refers to the SRWC for each tested soil layer.
Irrigation was applied with designed irrigation levels when the predicted SRWC was less than the designed SRWC limit. The average duration of each irrigation interval was 10–12 days in 2020 and 12–15 days in 2021. The soil water content was measured by oven-drying method [33] one day prior to each irrigation period at each experimental plot. For SDI, the main pipes were set vertical to the row direction in front of each experiment plot. The capillary pipes were laid among each row on 15 June 2020 and 12 June 2021. The drip irrigation belt was maintained at an emitter spacing of 300 mm and the emitter discharge rate was 2.8 L/h at 0.1 MPa operating pressure. The volume of irrigation water applied to each plot was measured by flow meters installed on the water pipes used for irrigation. The water application levels were shown in Table 3.
The fertilizer rates of N, P2O5 and K2O were 210 kg/ha, 52.5 kg/ha and 67.5 kg/ha, respectively. All N, P and K fertilizer were applied one-off to prepare soil for sowing as basal dressing before planting. Disease, pests and weeds were well controlled in each treatment.

2.3. Sample Collection and Measurements

2.3.1. Corn Phenology

Corn phenology is usually divided into vegetative (V) and reproductive (R) [34,35]. The following corn phenological stages in each experiment plot were recorded and calculated for two hybrids throughout two growing seasons: the sowing date (SD), the sixth leaf stage (V6), the twelfth leaf stage (V12), tasseling stage (VT), silking stage (R1), milking stage (R3) and physiological maturity stage (R6). The interval among these growth stages of each hybrid was also carefully calculated.

2.3.2. Chlorophyll Soil Plant Analysis Development (SPAD) Value

The chlorophyll SPAD value was measured at V6, V12, VT, R3 and R6 stages on ten randomly selected plants in each plot by using the portable chlorophyll meter (SPAD-502, Soil Plant Analysis Development Section; Minolta Camera Co., Osaka, Japan).

2.3.3. Leaf Gas Exchange Parameters

The net photosynthetic rates (Pn), stomatal conductance (Gs) and intercellular CO2 concentration (Ci) of three ear leaves representational in each treatment were measured at VT, VT + 20, VT + 30, beginning dent, VT + 40, VT + 50 stages by using a portable infrared gas analysis system (CIRAS II, PP System; Hansatech, King’s Lynn, UK) equipped with a clamp-on leaf cuvette that exposed 1.7 cm2 of the leaf area (PLC version, PP System). The CO2 concentration (Ca) in the leaf chamber was consistent with that of the outside world, the flow rate was set to 400 μmol/s. The stomatal limitation value (Ls) was calculated by the formula:
Ls = 1 − Ci/Ca
where Ci refers to intercellular CO2 concentration; Ca refers to the CO2 concentration in the air.

2.3.4. Dry Matter Accumulation and Translocation

Three representative plants were collected for each treatment at V6, V12, VT, R3 and R6 stages in the experimental plots. Aboveground plant parts were collected and separated into leaves and stems at V6, V12 and VT and into stems, leaves, cobs and grains at the R3 and R6 stage. The samples were then dried at 80 °C in a forced-air oven (DHG-9420A; Shanghai Bilon Instruments Co., Ltd., Shanghai, China) to constant weight and weighed separately. In order to estimate PAT/PT, all of the dry matter lost from the vegetative parts were supposed to translocate to the grain except considering the loss of dry matter due to respiration.
The following parameters were calculated as follows [36,37]:
Translocation amount of vegetative organ photosynthate before flowering (TAP, g/plant) = dry matter of vegetative organs at flowering stage (DMF)—dry matter of vegetative organs at maturity;
Translocation rate of vegetative organ photosynthate before flowering (TRP) = TAP/DMF × 100%;
Contribution rate of vegetative organ photosynthate before flowering to grain (CRP) = TAP/Grain dry weight at maturity × 100%;
Translocation amount of vegetative organ photosynthate after pollination (TAA, g/plant) = Grain dry weight at maturity—TAP;
Contribution rate of vegetative organ photosynthate after pollination to grain (CRA) = TAA/Grain dry weight at maturity × 100%;
Dry matter accumulation after pollination (DMAP, g/plant) = dry matter at maturity − DMF;
Percentage of dry matter accumulated after pollination (PDMA) = DMAP/dry matter at maturity.

2.3.5. Grain Yield

At the physiological maturity stage, all ears from each plot were harvested. After harvesting, the ears of corn were weighed, manually shucked and the grain weighed. Samples were taken from each batch to calculate grain moisture content. The samples were dried in an oven at 80 °C. All yields refer to 14% moisture content (GB/T, 2013) on a wet weight basis.

2.3.6. Water Productivity

Soil moisture content was measured to depth of 100 cm at 20 cm interval with the gravimetric method detailed in Guo et al. [33]. Three soil samples were collected randomly from each plot before planting and after harvest.
Total crop water consumption (ET, mm) was determined during the growing season using the soil water balance equation as follows [22]:
ET (mm) = Iw + Pw + U-R-Dw ± ΔS
where ET (mm) refers to the total water consumption during the growing season; Iw (mm) refers to the amount of irrigation; Pw (mm) refers to the amount of precipitation during the growing season; U refers to upward capillary flow from the root zone (mm); R refers to the runoff (mm); and Dw refers to the amount of drainage water below the 200 cm soil layer (mm). ΔS refers to the change from planting to harvesting in soil water storage in the 0-100 cm soil layer (mm). P was considered zero because no natural rain fell on the experiment during corn growth under the rainout shelter. No runoff and no capillary rise occurred in all treatments, so U and R were not taken into account. Downward drainage out of the root zone was measured previously in NCP and the associated value in the above equation was therefore neglected [38].
Water productivity was calculated by Arbat, G. P. et al. [39] as:
WP = GY/ET
where WP refers to water productivity (kg/m3), GY refers to the grain yield (kg/ha) and ET refers to crop evapotranspiration (mm).

2.4. Statistical Analysis

Figures used the SigmaPlot 12.5 program. Analysis of variance was performed for ET, Pn, Gs, Ci, Ls, WP, GY, DMA and PAT/PT by using DPS 9.5. All treatments were compared based on statistical significance using the least significant difference (LSD) test and 5% (α = 0.05) significance level.

3. Results

3.1. Corn Growing Season Duration

The growing season duration (from sowing date to physiological maturity) was delayed somewhat by increasing irrigation levels (Table 2). SDI treatment attained physiological maturity about 1–2 days later than FI treatment. DH518 silked in 47 days in 2020 and 48–49 days in 2021 after planting, while DH605 required 49 days in 2020 and 52–54 days in 2021to reach the silking stage. The growing season length for DH518 decreased 6–7 days in 2020 and 8–9 days in 2021, compared to DH605. Similar results were obtained in 2020 and 2021, and only minor differences were observed between years.

3.2. Grain Yield, Crop Evapotranspiration and Water Productivity

Effects of different irrigation treatments on corn GY, ET and WP were shown in Table 4. The overall yields differed significantly across hybrids, irrigation methods and irrigation levels. In both years, GY and ET increased from T1 to T3 while WP decreased from T1 to T3. Compared to T3, the decreases (mean of both years) for DH518 in GY were 20.95% under T1 and 10.66 % under T2, the decreases (mean of both years) for DH605 in GY were 19.19% under T1 and 10.48% under T2, respectively. Compared to DH605, the decreases (mean of both years) for DH518 in GY and ET were 7.22% and 12.34%, respectively. While the increase (mean of both years) in WP for DH518 was 6.2%. Compared to FI, the increases mean of both years in GY and WP for SDI were 21.49% and 51.34%, respectively, while the decrease in ET for SDI was 18.24%. Similar results were obtained in 2020 and 2021, and only minor differences were observed between years.

3.3. Dry Matter Accumulation and Translocation

The dynamic changes in plant DMA throughout the corn developmental stages in 2020 and 2021 were presented in Figure 1. The dry matter gradually increased from the V6 to R6 stage and peaked at maturity in both growing seasons. In 2020, DMA of DH518 at the R6 stage was 7.53% lower than that of DH605 by average. DMA increased as the irrigation levels increased, and the over trend was T3 > T2 > T1. The DMA was significant and substantially decreased under T1 (by 14.61%, averagely) and T2 (by 8.28%, averagely), compared to that under T3. DMA of SDI was 16.24% higher than that of FI by average. Similar results were obtained in 2020 and 2021, and only minor differences were observed between years.
As shown in Table 5, the parameters of PAT/PT were affected by hybrids, irrigation amounts and irrigation methods. In 2020, TAA and CRA of DH605 at the R6 stage were 8.19%and 1.22% higher than those of DH518 by average, respectively. APA and CRA increased as irrigation levels increased, and the over trend was T3 > T2 > T1. TAA and CRA were significant and substantially decreased under T1 (by 20.10% and 4.21%, averagely and, respectively) and T2 (by 10.34% and 1.77%, averagely and, respectively), compared to those under T3. TAA, CRA of SDI were 25.23% and 6.14% higher than those of FI on average, respectively. Compared with T3, T2 increased TAP and CRP by 4.41% and 16.56%, and T1 increased TAP and CRP by 10.88% and 34.61% for DH605. Compared with the T3, T2 increased TAP and CRP by 1.34% and 11.03%, and T1 increased TAP and CRP by 4.64% and 29.87% for DH518. TAP and CRP of DH605 were 2.43% and 8.51% lower than those of DH518 on average. TAP and CRP of SDI were 19.24% and 32.72% lower than those of FI on average. Similar results were obtained in 2020 and 2021, and only minor differences were observed between the two years.

3.4. Leaf Gas Exchange Parameters

As shown in Table 6, Pn showed a decreasing trend after VT. The average decline rate of Pn was relatively slow from the VT to R2 stage (13.23 % in 2020 and 17.42 % in 2021) and the average decline rate from the R2 to R5 stage was 61.76% in 2020 and 67.09 % in 2021. The average Pn of FI was reduced by 11.93% in 2020 and 16.34% in 2021 at the VT stage compared with that of SDI. At the R2 stage, the average Pn of DH605 was 7.07% higher in 2020 and 22.72% higher in 2021 than that of DH518. At the R3 stage, the average Pn of DH605 was 11.03% higher in 2020 and 49.49% higher in 2021 than that of DH518. It suggested that Pn of DH518 was generally lower and declined rapidly after the VT stage than that of DH605. Similar results were obtained in Gs and only minor differences were observed (Table 7).
The increases in Ci and decreases in Ls could be the turning point of photosynthesis which changed from being driven by SL to NSL. As shown in Table 8 and Table 9, Ci increased under T1 treatment while Ls decreased from the VT to R5 stage in both growing seasons. NSL was the main factor leading to the reduction of photosynthesis under T1 treatment during the reproductive stage. The Pn and Gs of two hybrids under T2 and T3 treatments decreased gradually, Ci from the VT to R2 stage were consistent with only minor variations and increased gradually after the R2 stage. As for Ls, only minor differences were observed from the VT–R2 stage, and it decreased gradually after the R2 stage. These findings indicated that the limiting factors for photosynthesis under T2 and T3 treatments gradually changed from SL to NSL during the reproductive stage. The photosynthesis for both hybrids under T2 treatment changed from being limited by SL to NSL at the R2 stage while that change mainly occurred at the R2–R3 stage under T3 treatment, respectively.

3.5. SPAD Value

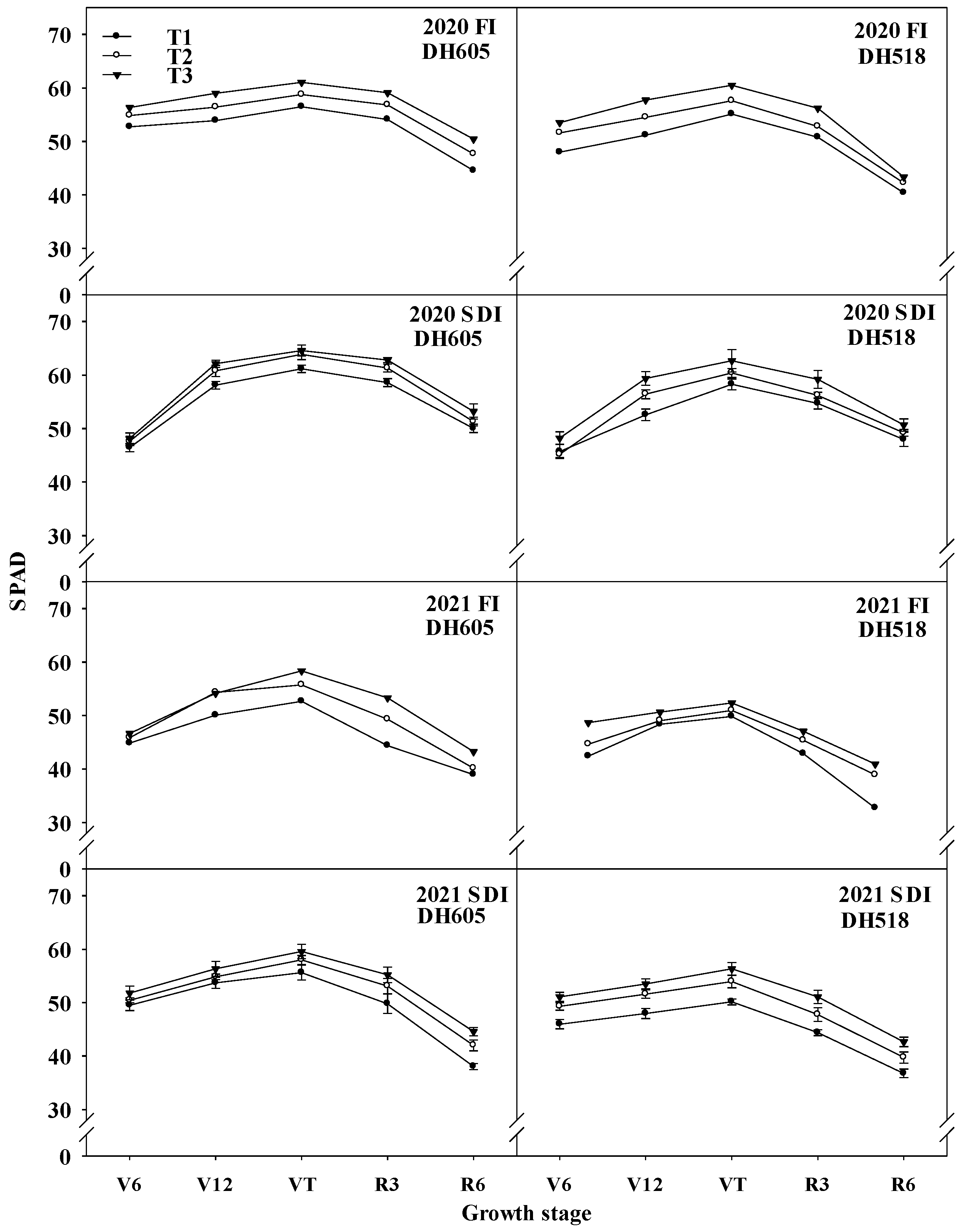
As shown in Figure 2, the SPAD value increased from the V6 to V12 stage and peaked at the VT stage. Furthermore, the SPAD value declined gradually. SPAD value increased when irrigation amounts increased during both growing seasons. In 2020, the SPAD value of SDI was 27.54% higher at the VT stage compared with that of FI. DH518 reached the highest SPAD value of 65.69 under SDIT3, while SPAD value of DH605 at the VT stage was 4.43% higher at the VT stage, compared to DH518. At the R3 stage, average SPAD value of DH605 was 7.58% higher than those of DH518. SPAD value of DH518 was generally lower and declined rapidly after the VT stage. Similar results were obtained in 2020 and 2021, and only minor differences were observed between the two years.

4. Discussions

As the climate inevitably became warm, droughts and heatwaves occurred frequently during the growth period, which inhibited corn growth and development [40,41]. Water supply is one of the most important factors affecting crop production. The different ways of crop response on water stress were dependent on drought severity, timing and duration [42,43]. In this study, water stress decreased the SPAD value (Figure 2) and Pn (Table 6) during the reproductive stage, resulting in significant yield losses. WP could be improved either by increasing yields or reducing crop evapotranspiration [44]. We found the increases (mean of all treatments in SDIT1 and SDIT2) in GY and WP were 24.92% and 57.58%, compared to FIT1 and FIT2 (Table 4). Based on these results, we therefore demonstrated that SDI could be environmentally necessary in the NCP, especially in the areas where water shortages had become the main factor which limited agricultural sustainable development. In addition to adequate irrigation treatments, the use of longer season hybrids has been shown to lead to higher yields, but the ET was much higher, resulting in lower WP, compared to DH518. Furthermore, DH518 attained physiological maturity about 6–9 days earlier than DH605 (Table 3). Given that the reduction in grain moisture content at harvest was of great significance for improving the quality of mechanical harvesting [45], a shortening of hybrid maturity could dry down for early harvest and meet the requirements of high-quality mechanical harvesting.
Photosynthesis is one of the most important physiological processes affecting corn yield. In the present study, DMA (Figure 1) and GY (Table 4) demonstrated significant reductions at the R6 stage due to water shortage under T1 and T2 treatments, which were associated with significant decreases in SPAD value and Pn of ear leaves at the VT stage. These results also showed that water stress significantly decreased the Ci and Gs in corn, which had a negative effect on photosynthesis and ultimately reduced corn production. Shen et al. [46] showed that the optimal irrigation management increases photosynthetic rate and DMA of corn under drip irrigation, resulting in an increase in corn production. These results were consistent with our findings, in this study SDI increased the SPAD value, delayed the senescence process and had a positive effect on DMA. In addition, severe water stress had serious degradation on photosynthetic pigments, resulting in the damage of the photosynthetic electron transfer system and the physiological functions of photosynthetic organs [47]. Ci increased while Ls decreased from the VT to R5 stage under T1 treatment (Table 8 and Table 9), suggesting that non-stomatal limitation contributed to the major decreases in corn photosynthesis. Under mild water stress, Gs and Ci decreased gradually from the VT to R2 stage, indicating that the opening of the stomata decreased. After the R2 stage, physiological functions of mesophyll cells were impaired with senescence in whole plant [48], resulting in the increase in Ci from the R2 to R5 stage and the decrease in Ls from the R2 to R5 stage. At this stage, the reduction in photosynthesis was caused by NSL factors. The photosynthesis for DH518 under T3 treatment changed from being limited by SL to NSL at the R2 stage while the photosynthesis for DH605 under T3 treatment was changed from being limited by SL to NSL at the R2–R3 stage. These results could be explained by the fact that there were differences in senescence of corn hybrids of different maturities at a later growth stage, ultimately leading to the differences in photosynthetic capacity [49]. In general, our data suggested that the photosynthesis of two corn hybrids was mainly limited by NSL factors caused by damage to photosynthetic organs during reproductive stage.
Water supply is one of the most important factors for regulating DMA [50]. GY depends on efficient photosynthesis and dry matter reserved in vegetative tissues during the vegetative stage [51]. Results obtained in this study demonstrated that water deficit during both vegetative and reproductive stages increased TAP and CRP, while severe water stress led to the least TAA, CRA and DMA, resulting in yield loss. (Figure 1 and Table 4). These results indicated that assimilation from photosynthesis after pollination could not meet the requirement of grain filling under drought condition and more dry matter reserved in vegetative organs would be remobilized to the grains during reproductive stage. We also found that increasing DMA was projected to achieve higher yields and CRA accounted for more than 70% in both growing seasons. Such results were consistent with previous research showing that the assimilation from photosynthesis at the reproductive stage was the main factor leading to higher yields [52]. In addition, we noticed that yields obtained with short-season hybrids were more dependent on the larger translocation existed in vegetative organs before flowering, because short-season hybrids were characterized by decreasing grain-filling period and senescing quickly [53], resulting in lower photosynthetic capacity at reproductive stage and procuring a lower amount of assimilation for grain development (Table 4, Table 5, Table 6, Table 7, Table 8 and Table 9). There was also evidence that explained that the higher GY by DH605 over DH518 at the planting density used in this experiment (67500 plants/ha) was mainly due to the greater leaf photosynthetic capacity and DMA from the VT to R6 stages. Prior studies reported that hybrid maturity was a key factor that influenced the yield–density relationship in corn production [54]. The yield potentials of short-season hybrids were similar to those of full-season hybrids through effective agronomic managements and the plant density for maximum yield was greater for short-season hybrids rather than the full-season hybrids [55,56]. As such, whether similar GY or higher WP could be obtained through increasing density under optimum irrigation management for short-season hybrids should be further investigated.

5. Conclusions

In this study, irrigation levels and methods greatly affect corn yields, photosynthetic characteristics and biomass. Applying the optimum irrigation level (T3) improved leaf photosynthetic capacity, which had positive effects on increasing biomass and grain yield. The use of surface drip irrigation was suitable for achieving both a relatively high yield and water productivity. The yields and water consumption amounts obtained with the medium- and full-season hybrids were significantly higher than those obtained with the short-season hybrids, but it presented lower water productivity. The higher yield obtained by medium- and full-season hybrids over short-season hybrids was mainly due to the greater leaf photosynthetic capacity and dry matter accumulation throughout the growing seasons. Farmers in the North China Plain will benefit more from planting short-season hybrids with the development of high-quality mechanical grain harvesting. We recommended that SDIT3 (irrigating while the soil relative water content of the tested soil layer reduced to 75% ± 5% of the field capacity by surface drip irrigation) treatment could obtain higher grain yield and water productivity.

Author Contributions

Conceptualization, L.W. and J.Z.; Methodology, L.W.; Investigation, L.W. and B.R.; Data analysis, L.W.; Writing—original draft preparation, L.W.; Writing—review and editing, L.W. and J.Z.; Supervision, P.L. and B.Z.; Project administration, J.Z. All authors have read and agreed to the published version of the manuscript.

Funding

This research was funded by the National Modern Agricultural Technology & Industry System of China, Grant No. CARS-02-20; Shandong Central Guiding the Local Science and Technology Development of China, Grant No. YDZX20203700002548; and Shandong Agricultural Application Technology Innovation Project of China, Grant No. SD2019ZZ013.

Institutional Review Board Statement

Not applicable.

Informed Consent Statement

Not applicable.

Data Availability Statement

All data generated or analyzed during this study are included in this published article.

Conflicts of Interest

The authors declare no conflict of interest. The funder had no role in the design of the study; in the collection, analyses, or interpretation of data; in the writing of the manuscript, or in the decision to publish the results.

References

  1. Godfray, H.C.J.; Beddington, J.R.; Crute, I.R.; Haddad, L.; Lawrence, D.; Muir, J.F.; Pretty, J.; Robinson, S.; Thomas, S.M.; Toulmin, C. Food Security: The Challenge of Feeding 9 Billion People. Science 2010, 327, 812–818. [Google Scholar] [CrossRef] [PubMed] [Green Version]
  2. Cui, Z.; Yue, S.; Wang, G.; Meng, Q.; Wu, L.; Yang, Z.; Zhang, Q.; Li, S.; Zhang, F.; Chen, X. Closing the yield gap could reduce projected greenhouse gas emissions: A case study of maize production in China. Glob. Chang. Biol. 2013, 19, 2467–2477. [Google Scholar] [CrossRef] [PubMed]
  3. Qin, X.; Feng, F.; Li, Y.; Xu, S.; Siddique, K.; Liao, Y. Maize yield improvements in China: Past trends and future directions. Plant Breed. 2016, 135, 166–176. [Google Scholar] [CrossRef]
  4. Maaz, T.M.; Sapkota, T.B.; Eagle, A.J.; Kantar, M.B.; Bruulsema, T.W.; Majumdar, K. Meta-analysis of yield and nitrous oxide outcomes for nitrogen management in agriculture. Glob. Chang. Biol. 2021, 27, 2343–2360. [Google Scholar] [CrossRef] [PubMed]
  5. Zhao, Y.; Li, F.; Jiang, R. Irrigation schedule optimization based on the combination of an economic irrigation quota and the AquaCrop model. Irrig. Drain. 2021, 70, 773–785. [Google Scholar] [CrossRef]
  6. Zhang, Z.; Ming, B.; Liang, H.; Huang, Z.; Wang, K.; Yang, X.; Wang, Z.; Xie, R.; Hou, P.; Zhao, R.; et al. Evaluation of maize varieties for mechanical grain harvesting in mid-latitude region, China. Agron. J. 2021, 113, 1766–1775. [Google Scholar] [CrossRef]
  7. Xiang, D.S.; Ping, S.; Hong, S. Mycotoxin contamination of corn in China. Compr. Rev. Food Sci. Food Saf. 2017, 16, 835–849. [Google Scholar]
  8. Zhou, B.; Yue, Y.; Sun, X.; Wang, X.; Wang, Z.; Ma, W.; Zhao, M. Maize Grain Yield and Dry Matter Production Responses to Variations in Weather Conditions. Agron. J. 2015, 108, 196–204. [Google Scholar] [CrossRef]
  9. Wu, J.; Han, Z.; Xu, Y.; Zhou, B.; Gao, X. Changes in extreme climate events in China under 1.5–4 °C global warming targets: Projections using an ensemble of regional climate model simulations. J. Geophys. Res. Atmos. 2020, 125, e2019JD031057. [Google Scholar] [CrossRef]
  10. FAO. FAO’s director-general on how to feed the world in 2050. Popul. Dev. Rev. 2009, 35, 837–839. [Google Scholar] [CrossRef]
  11. Wang, X.; Wang, X.; Xu, C.; Tan, W.; Wang, P.; Meng, Q. Decreased Kernel Moisture in Medium-Maturing Maize Hybrids with High Yield for Mechanized Grain Harvest. Crop Sci. 2019, 59, 2794–2805. [Google Scholar] [CrossRef]
  12. Fang, Q.; Zhang, X.Y.; Chen, S.Y.; Shao, L.W.; Sun, H.Y.; Yan, Z.Z. Selecting Traits to Reduce Seasonal Yield Variation of Summer Maize in the North China Plain. Agron. J. 2020, 111, 343–353. [Google Scholar] [CrossRef]
  13. Howell, T.A.; Tolk, J.A.; Schneider, A.D.; Evett, S.R. Evapotranspiration, Yield, and Water Use Efficiency of Corn Hybrids Differing in Maturity. Agron. J. 1998, 90, 3–9. [Google Scholar] [CrossRef]
  14. Popp, M.; Edwards, J.; Manning, P.; Purcell, L.C. Plant Population Density and Maturity Effects on Profitability of Short-Season Maize Production in the Midsouthern USA. Agron. J. 2006, 98, 760–765. [Google Scholar] [CrossRef]
  15. Couto, A.; Padín, A.R.; Reinoso, B. Comparative yield and water use efficiency of two maize hybrids differing in maturity under solid set sprinkler and two different lateral spacing drip irrigation systems in León, Spain. Agric. Water Manag. 2013, 124, 77–84. [Google Scholar] [CrossRef]
  16. Zhang, T.; Zou, Y.; Kisekka, I.; Biswas, A.; Cai, H. Comparison of different irrigation methods to synergistically improve maize’s yield, water productivity and economic benefits in an arid irrigation area. Agric. Water Manag. 2020, 243, 106497. [Google Scholar] [CrossRef]
  17. Guo, Z.; Yu, Z.; Wang, D.; Shi, Y.; Zhang, Y. Photosynthesis and winter wheat yield responses to supplemental irrigation based on measurement of water content in various soil layers. Field Crop. Res. 2014, 166, 102–111. [Google Scholar] [CrossRef]
  18. Dogan, E. Effect of supplemental irrigation on vetch yield components. Agric. Water Manag. 2018, 213, 978–982. [Google Scholar] [CrossRef]
  19. Mbagwu, J.S.C.; Osuigwe, J.O. Effects of varying levels and frequencies of irrigation on growth, yield, nutrient uptake and water use efficiency of maize and cowpeas on a sandy loam ultisol. Plant Soil. 1985, 84, 181–192. [Google Scholar] [CrossRef]
  20. Chen, M.; Gao, Z.; Wang, Y. Overall introduction to irrigation and drainage development and modernization in China. Irrig. Drain. 2020, 69, 8–18. [Google Scholar] [CrossRef]
  21. Wang, Z.; Gao, J.; Ma, B. Concurrent Improvement in Maize Yield and Nitrogen Use Efficiency with Integrated Agronomic Management Strategies. Agron. J. 2014, 106, 1243–1250. [Google Scholar] [CrossRef] [Green Version]
  22. Wu, D.; Xu, X.; Chen, Y.; Shao, H.; Sokolowski, E.; Mi, G. Effect of different drip fertigation methods on maize yield, nutrient and water productivity in two-soils in Northeast China. Agric. Water Manag. 2019, 213, 200–211. [Google Scholar] [CrossRef]
  23. Wang, Z.; Jin, M.; Šimůnek, J.; van Genuchten, M.T. Evaluation of mulched drip irrigation for cotton in arid Northwest China. Irrig. Sci. 2014, 32, 15–27. [Google Scholar] [CrossRef] [Green Version]
  24. Li, G.; Zhao, B.; Dong, S.; Zhang, J.; Liu, P.; Lu, W. Controlled-release urea combining with optimal irrigation improved grain yield, nitrogen uptake, and growth of maize. Agric. Water Manag. 2020, 227, 105834. [Google Scholar] [CrossRef]
  25. Jafarikouhini, N.; Kazemeini, S.A.; Sinclair, T.R. Sweet corn nitrogen accumulation, leaf photosynthesis rate, and radiation use efficiency under variable nitrogen fertility and irrigation. Field Crop. Res. 2020, 257, 107913. [Google Scholar] [CrossRef]
  26. Zhang, S.Y.; Zhang, G.C.; Gu, S.Y.; Xia, J.B.; Zhao, J.K. Critical responses of photosynthetic efficiency of goldspur apple tree to soil water variation in semiarid loess hilly area. Photosynthetica 2010, 48, 589–595. [Google Scholar] [CrossRef]
  27. Song, X.; Zhou, G.; He, Q.; Zhou, H. Stomatal limitations to photosynthesis and their critical Water conditions in different growth stages of maize under water stress. Agric. Water Manag. 2020, 241, 106330. [Google Scholar] [CrossRef]
  28. Stamp, P. Growth Patterns of Early Maturing Maize Cultivars. J. Agron. Crop Sci. 1987, 159, 101–107. [Google Scholar] [CrossRef]
  29. Tatar, O.; Brück, H.; Asch, F. Photosynthesis and Remobilization of Dry Matter in Wheat as Affected by Progressive Drought Stress at Stem Elongation Stage. J. Agron. Crop Sci. 2016, 202, 292–299. [Google Scholar] [CrossRef]
  30. Gao, J.; Liu, Z.; Zhao, B.; Dong, S.; Liu, P.; Zhang, J. Shade stress decreased maize grain yield, dry matter, and nitrogen accumulation. Agron. J. 2020, 112, 2768–2776. [Google Scholar] [CrossRef]
  31. Soil Survey Staff. Keys to Soil Taxonomy, 12th ed.; USDA-Natural Resources Conservation Service: Washington, DC, USA, 2014. Available online: http://www.nrcs.usda.gov/Internet/FSE_DOCUMENTS/nrcs142p2_051546.pdf (accessed on 30 March 2021).
  32. Sidika, E.; Cigdem, S.; Emrah, O.; Yasemin, S.; Kukul, K.; Emine, B.; Hatice, G. The effect of different irrigation water levels on yield and quality characteristics of purple basil (Ocimum basilicum L.). Agric. Water Manag. 2012, 109, 155–161. [Google Scholar]
  33. Guo, Y.; Yin, W.; Fan, Z.; Hu, F.; Fan, H.; Zhao, C.; Yu, A.; Chai, Q.; Coulter, J.A. No-tillage with reduced water and nitrogen supply improves water use efficiency of wheat in arid regions. Agron. J. 2020, 112, 578–591. [Google Scholar] [CrossRef]
  34. Viña, A.; Gitelson, A.A.; Rundquist, D.C.; Keydan, G.; Leavitt, B.; Schepers, J. Monitoring Maize (Zea mays L.) Phenology with Remote Sensing. Agron. J. 2004, 96, 1139–1147. [Google Scholar] [CrossRef]
  35. Tao, F.; Zhang, S.; Zhang, Z.; Rötter, R. Maize growing duration was prolonged across China in the past three decades under the combined effects of temperature, agronomic management, and cultivar shift. Glob. Chang. Biol. 2015, 20, 3686–3699. [Google Scholar] [CrossRef] [PubMed]
  36. Papakosta, D.K.; Gagianas, A. Nitrogen and Dry Matter Accumulation, Remobilization, and Losses for Mediterranean Wheat during Grain Filling. Agron. J. 1991, 83, 864–870. [Google Scholar] [CrossRef]
  37. Yang, H.; Huang, T.; Ding, M.; Lu, D.; Lu, W. High Temperature during Grain Filling Impacts on Leaf Senescence in Waxy Maize. Agron. J. 2017, 109, 906–916. [Google Scholar] [CrossRef]
  38. Lv, L.; Wang, H.; Jia, X.; Wang, Z. Analysis on water requirement and water-saving amount of wheat and corn in typical regions of the North China Plain. Front. Agric. China 2011, 5, 556–562. [Google Scholar] [CrossRef]
  39. Arbat, G.; Lamm, F.R.; Kheira, A.A.A. Subsurface Drip Irrigation Emitter Spacing Effects on Soil Water Redistribution, Corn Yield, and Water Productivity. Appl. Eng. Agric. 2010, 26, 391–399. [Google Scholar] [CrossRef] [Green Version]
  40. Yang, H.; Lu, D.; Shen, X.; Cai, X.; Lu, W. Heat Stress at Different Grain Filling Stages Affects Fresh Waxy Maize Grain Yield and Quality. Cereal Chem. 2015, 92, 258–264. [Google Scholar] [CrossRef]
  41. Geng, S.; Yan, D.; Yang, Z.; Zhang, Z.; Yang, M.; Kan, G. Characteristics Analysis of Summer Maize Yield Loss Caused by Drought Stress in the Northern Huaihe Plain, China. Irrig. Drain. 2018, 67, 251–268. [Google Scholar] [CrossRef]
  42. Li, Y.; Guan, K.; Peng, B.; Franz, T.E.; Wardlow, B.; Pan, M. Quantifying irrigation cooling benefits to maize yield in the US Midwest. Glob. Chang. Biol. 2020, 26, 3065–3078. [Google Scholar] [CrossRef] [PubMed]
  43. Rasool, G.; Guo, X.; Wang, Z.; Ullah, I.; Chen, S. Effect of two types of irrigation on growth, yield and water productivity of maize under different irrigation treatments in an arid environment. Irrig. Drain. 2020, 69, 732–742. [Google Scholar] [CrossRef]
  44. Jha, S.K.; Ramatshaba, T.S.; Wang, G.; Liang, Y.; Liu, H.; Gao, Y.; Duan, A. Response of growth, yield and water use efficiency of winter wheat to different irrigation methods and scheduling in North China Plain. Agric. Water Manag. 2019, 217, 292–302. [Google Scholar] [CrossRef]
  45. Wang, X.; Li, M.; Niu, X.; Jiang, W.; Qin, W.; Lei, X.; Xing, Y. Effects of mulching and maize cultivars on grain yield and photosynthetic characteristics in the Loess Plateau. Agron. J. 2020, 112, 3629–3643. [Google Scholar] [CrossRef]
  46. Shen, D.; Zhang, G.; Xie, R.; Ming, B.; Wang, K. Improvement in photosynthetic rate and grain yield in super-high-yield corn (Zea mays L.) by optimizing irrigation interval under mulch drip irrigation. Agronomy 2020, 10, 1778. [Google Scholar] [CrossRef]
  47. Signarbieux, C.; Feller, U. Non-stomatal limitations of photosynthesis in grassland species under artificial drought in the field. Environ. Exp. Bot. 2011, 71, 192–197. [Google Scholar] [CrossRef]
  48. Gimenez, C.; Mitchell, V.J.; Lawlor, D.W.; Schraudner, M.; Ernst, D.; Langebartels, C.; Sandermann, H. Regulation of Photosynthetic Rate of Two Sunflower Hybrids under Water Stress. Plant Physiol. 1992, 98, 516–524. [Google Scholar] [CrossRef] [Green Version]
  49. Stamp, P. Seasonal Patterns of Photosynthetic Traits in Early Maturing Maize. J. Agron. Crop Sci. 1988, 160, 183–190. [Google Scholar] [CrossRef]
  50. Liu, W.; Hou, P.; Liu, G.; Yang, Y.; Guo, X.; Ming, B.; Xie, R.; Wang, K.; Liu, Y.; Li, S. Contribution of total dry matter and harvest index to maize grain yield—A multisource data analysis. Food Energy Secur. 2020, 9, e256. [Google Scholar] [CrossRef]
  51. Ma, J.; Huang, G.-B.; Yang, D.-L.; Chai, Q. Dry Matter Remobilization and Compensatory Effects in Various Internodes of Spring Wheat under Water Stress. Crop Sci. 2014, 54, 331–339. [Google Scholar] [CrossRef]
  52. Barnabás, B.; Jäger, K.; Fehér, A. The effect of drought and heat stress on reproductive processes in cereals. Plant Cell Environ. 2010, 31, 11–38. [Google Scholar] [CrossRef] [PubMed]
  53. Chen, K.; Kumudini, S.V.; Tollenaar, M.; Vyn, T.J. Plant biomass and nitrogen partitioning changes between silking and maturity in newer versus older maize hybrids. Field Crop. Res. 2015, 183, 315–328. [Google Scholar] [CrossRef]
  54. Lindsey, A.J.; Thomison, P.R. Drought-Tolerant Corn Hybrid and Relative Maturity Yield Response to Plant Population and Planting Date. Agron. J. 2016, 108, 229–242. [Google Scholar] [CrossRef]
  55. Sarlangue, T.; Andrade, F.H.; Calviño, P.A.; Purcell, L.C. Why do maize hybrids respond differently to variations in plant density? Agron. J. 2007, 99, 984–991. [Google Scholar] [CrossRef]
  56. Solomon, K.F.; Chauhan, Y.; Zeppa, A. Risks of yield loss due to variation in optimum density for different maize genotypes under variable environmental conditions. J. Agron. Crop Sci. 2017, 16, 151–527. [Google Scholar] [CrossRef]
Figure 1. Effects of different irrigation treatments on dynamic changes in plant dry weight at different growth stages of two corn hybrids differing in maturity.
Figure 1. Effects of different irrigation treatments on dynamic changes in plant dry weight at different growth stages of two corn hybrids differing in maturity.
Agriculture 12 00365 g001
Figure 2. SPAD value of two corn hybrids differing in maturity under different irrigation treatments.
Figure 2. SPAD value of two corn hybrids differing in maturity under different irrigation treatments.
Agriculture 12 00365 g002
Table 1. The soil bulk density, field capacity and pH of the soil in the 0–100 cm soil layer in the experimental plots.
Table 1. The soil bulk density, field capacity and pH of the soil in the 0–100 cm soil layer in the experimental plots.
Soil Layer (cm)0–2020–4040–6060–8080–100
Bulk density (g/cm3)1.491.541.521.561.53
Field capacity (%)21.0120.4518.1919.6420.98
pH6.586.556.516.546.59
Table 2. Corn phenology (from sowing date to physiology maturity, SD-R6) for two corn hybrids differing in maturity under different irrigation treatments (d).
Table 2. Corn phenology (from sowing date to physiology maturity, SD-R6) for two corn hybrids differing in maturity under different irrigation treatments (d).
YearHybridTreatmentSD-V6V6-VTVT-R3R3-R6SD-R6
2020DH605FIT125222834109
FIT225232734109
FIT325232734109
SDIT125222836111
SDIT225222836111
SDIT325222836111
DH518FIT124222234102
FIT224212434103
FIT324212434103
SDIT124222335104
SDIT224222434104
SDIT324222434104
2021DH605FIT125272434110
FIT225262634111
FIT325262634111
SDIT125262735113
SDIT225262735113
SDIT325262735113
DH518FIT123232334103
FIT223222434103
FIT323222434103
SDIT123222435104
SDIT223232435105
SDIT323232435105
Table 3. Irrigation amounts of two corn hybrids differing in maturity under different irrigation treatments (mm).
Table 3. Irrigation amounts of two corn hybrids differing in maturity under different irrigation treatments (mm).
YearHybridTreatmentSD-V6V6-VTVT-R3R3-R6SD-R6
2020DH605FIT138.54 85.67 42.70 44.05 210.96
FIT227.38 170.84 79.12 71.56 348.91
FIT320.02 196.40 129.57 113.28 459.26
SDIT120.56 57.31 24.02 20.04 121.92
SDIT227.97 97.96 69.04 55.71 250.68
SDIT312.86 146.04 92.20 80.86 331.95
DH518FIT133.98 78.06 38.23 42.95 193.22
FIT228.61 131.99 84.79 88.89 334.29
FIT322.55 140.41 144.08 120.19 427.23
SDIT115.42 40.78 29.37 25.23 110.80
SDIT212.89 94.76 65.75 49.92 223.32
SDIT326.52 110.48 96.36 67.99 301.34
2021DH605FIT137.18 90.43 61.75 22.33 211.70
FIT252.51 146.83 118.51 54.24 372.10
FIT361.04 189.71 163.00 62.74 476.49
SDIT126.90 78.33 42.24 29.08 176.55
SDIT220.58 84.70 58.04 57.16 220.48
SDIT344.61 135.39 123.59 44.53 348.12
DH518FIT127.95 68.04 43.98 18.42 158.38
FIT240.09 123.52 103.80 48.06 315.47
FIT350.68 179.02 156.64 55.94 442.28
SDIT19.72 41.20 39.00 11.85 101.77
SDIT218.40 74.38 66.06 16.12 174.96
SDIT330.16 114.66 102.85 28.02 275.68
Table 4. Effects of different irrigation treatments on GY, ET and WP of two corn hybrids differing in maturity.
Table 4. Effects of different irrigation treatments on GY, ET and WP of two corn hybrids differing in maturity.
HybridTreatmentGY (kg/ha)ET (mm)WP (kg/m3)
202020212020202120202021
DH605FIT17633.96 f7545.84 g,h300.21 f270.49 h2.54 f2.79 d,e
FIT28644.06 e8930.90 e,f435.34 c422.55 d1.99 h2.11 f
FIT310,022.11 c10,234.76 c,d511.38 a511.24 a1.96 h2.00 f
DH605SDIT110,025.70 c10,335.53 d,e239.36 h248.73 i4.19 b4.16 b
SDIT210,653.39 b11,002.89 b,c351.07 e334.08 f3.03 d3.29 c
SDIT311,634.14 a11,837.52 a439.29 c436.53 c2.65 e,f2.71 e
DH518FIT17178.49 g6994.09 h262.82 g237.14 j2.73 e2.94 d,e
FIT28432.08 e8258.38 f,g391.83 d380.37 e2.15 g2.17 f
FIT39457.15 d9593.72 d,e464.21 b472.60 b2.04 g,h2.02 f
DH518SDIT19181.67 d9148.61 e203.30 i208.18 k4.52 a4.70 a
SDIT29908.46 c10,002.39 d302.85 f282.75 g3.27 c3.53 c
SDIT310,684.36 b11,189.23 a,b389.58 d372.27 e2.74 e3.00 d
Numbers followed by same alphabets along the column are not significantly different at p < 0.05. The same as below.
Table 5. Effects of different irrigation treatments on dry matter distribution and PAT/PT for two corn hybrids differing in maturity.
Table 5. Effects of different irrigation treatments on dry matter distribution and PAT/PT for two corn hybrids differing in maturity.
YearHybridTreatmentTAP (g/plant)CRP (%)TAA (g/plant)CRA (%)
2020DH605FIT19.86 a,b,c8.71 b,c103.35 g91.29 b,c
FIT28.26 b,c,d6.45 b,c,d119.82 e93.55 a,b,c
FIT37.80 b,c,d5.26 c,d140.54 c94.74 a,b
SDIT14.76 c,d3.20 d143.85 c96.80 a
SDIT24.38 d2.78 d153.46 b97.22 a
SDIT33.96 d2.29 d168.42 a97.71 a
DH518FIT115.13 a14.23 a91.22 h85.77 d
FIT212.02 a,b9.62 b113.01 f90.38 c
FIT311.66 a,b8.25 b,c129.71 d91.75 b,c
SDIT18.78 b,c,d6.45 b,c,d127.40 d93.55 a,b,c
SDIT28.02 b,c,d5.45 b,c,d138.92 c94.55 a,b,c
SDIT37.71 b,c,d4.87 c,d150.69 b95.13 a,b
2021DH605FIT120.20 a18.07 a,b 91.59 i81.93 f,g
FIT218.68 a,b14.10 c,d113.81 g85.90 d,e
FIT317.83 a,b,c,d11.66 d,e,f135.13 c,d88.34 b,c,d
SDIT115.67 b,c,d10.24 e,f,g137.39 c89.76 a,b,c
SDIT215.03 c,d9.21 f,g148.16 b90.79 a,b
SDIT314.45 d8.22 g161.43 a91.78 a
DH518FIT120.15 a19.45 a83.47 j80.55 g
FIT219.03 a,b15.53 b,c103.49 h84.47 e,f
FIT318.18 a,b,c12.76 d,e124.29 e87.24 c,d
SDIT115.56 b,c,d11.45 e,f120.33 f88.55 b,c
SDIT215.49 b,c,d10.45 e,f,g132.69 d89.55 a,b,c
SDIT315.83 b,c,d9.53 f,g150.34 b90.47 a,b
ANOVA
Y ****
H ****
IA NS***
IM ****
H × IA NSNSNSNS
H × IM NSNS*NS
IA × IM NSNS***
H × IA × IM NSNSNSNS
Note: TAP, translocation amount of vegetative organ photosynthate before pollination; CRP: contribution rate of vegetative organs photosynthate before pollination to grain weight; TAA: translocation amount of vegetative organs photosynthate after pollination; CRA: contribution rate of vegetative organs photosynthate after pollination to grain weight; PDMA: percentage of dry matter accumulated after pollination. NS, not significant. ** and * indicate significant difference at the 0.01 and 0.05 levels of probability, respectively. Numbers followed by same alphabets along the column are not significantly different at p < 0.05.
Table 6. Net photosynthetic rate (Pn) of two corn hybrids differing in maturity under different irrigation treatments (μmol CO2/(m2 s)).
Table 6. Net photosynthetic rate (Pn) of two corn hybrids differing in maturity under different irrigation treatments (μmol CO2/(m2 s)).
HybridTreatmentDays after Anthesis (Days)
20202021
020304050020304050
DH605FIT131.50 24.64 16.97 8.38 5.25 30.49 24.04 16.36 12.22 8.18
FIT237.26 33.02 25.74 14.34 8.59 35.84 29.89 22.32 14.95 11.72
FIT340.69 35.95 30.69 19.09 10.40 38.77 33.42 26.86 20.50 14.34
DH605SDIT139.08 35.34 30.29 19.39 11.51 37.66 34.43 27.56 19.90 9.29
SDIT242.41 40.09 36.05 22.62 13.13 44.83 39.48 36.55 22.32 11.11
SDIT343.72 42.31 38.27 27.36 14.75 47.76 43.62 39.68 26.75 11.82
DH518FIT129.78 22.22 12.73 7.98 5.15 29.18 18.48 12.22 8.28 6.46
FIT232.31 26.45 18.99 10.30 6.77 33.12 23.53 16.46 12.22 9.90
FIT338.77 33.02 24.24 14.24 7.88 36.15 27.76 20.50 15.45 11.41
DH518SDIT135.54 29.68 21.21 12.52 8.28 32.92 27.36 17.68 10.91 7.78
SDIT237.76 33.32 24.44 15.55 11.51 39.08 33.62 21.01 12.63 8.48
SDIT339.88 36.15 28.77 18.48 12.73 41.70 37.76 23.84 13.94 9.60
Table 7. Stomatal conductance (Gs) of two corn hybrids differing in maturity under different irrigation treatments (μmol H2O/(m2 s)).
Table 7. Stomatal conductance (Gs) of two corn hybrids differing in maturity under different irrigation treatments (μmol H2O/(m2 s)).
HybridTreatmentDays after Anthesis (Days)
20202021
020304050020304050
DH605FIT1392.55 287.72 192.69 115.33 73.42 390.53 296.81 225.71 169.05 99.78
FIT2436.99 317.61 262.17 168.25 98.26 425.98 319.41 271.36 182.59 120.89
FIT3466.87 382.14 328.62 218.75 137.96 451.73 370.83 312.87 238.84 140.65
DH605SDIT1491.11 413.55 349.93 243.89 136.64 526.66 457.68 372.04 268.12 134.32
SDIT2516.77 447.59 408.10 274.79 146.24 561.90 513.43 385.88 276.20 158.04
SDIT3466.87 381.84 328.62 218.75 137.35 569.28 552.32 440.82 349.63 195.41
DH518FIT1363.86 271.26 196.63 121.69 63.32 305.70 214.71 170.27 107.76 55.03
FIT2407.49 316.91 227.84 155.82 91.60 386.99 289.94 227.63 133.01 62.31
FIT3420.83 358.71 263.38 176.43 95.64 407.09 343.98 265.20 159.26 83.11
DH518SDIT1473.74 396.38 282.47 199.66 85.23 501.41 433.75 325.49 212.38 103.51
SDIT2509.29 450.52 330.44 212.18 121.49 538.78 477.88 376.29 301.45 128.62
SDIT3530.10 479.80 381.74 272.16 134.02 630.79 586.85 427.80 328.62 203.49
Table 8. Intercellular CO2 concentration (Ci) of two corn hybrids differing in maturity under different irrigation treatments (CO2 μmol/mol).
Table 8. Intercellular CO2 concentration (Ci) of two corn hybrids differing in maturity under different irrigation treatments (CO2 μmol/mol).
HybridTreatmentDays after Anthesis (Days)
20202021
020304050020304050
DH605FIT1129.69 132.58 153.10 171.38 207.33 141.40 145.02 152.66 158.52 162.45
FIT2155.15 148.33 144.52 171.98 215.51 144.61 150.30 154.77 163.05 169.67
FIT3158.79 155.94 146.44 180.77 222.68 165.32 166.35 169.93 168.72 177.86
DH605SDIT1167.89 167.47 172.89 180.37 201.88 194.36 193.56 200.83 205.68 207.70
SDIT2175.65 172.99 177.54 191.68 204.40 210.12 211.94 213.76 218.00 219.40
SDIT3182.50 181.32 178.35 187.13 210.87 214.36 216.38 218.60 222.84 227.48
DH518FIT1127.90 136.19 150.28 174.00 221.98 137.18 144.56 150.13 154.49 156.98
FIT2151.11 149.80 163.70 187.74 231.27 142.59 147.31 156.34 159.92 166.73
FIT3163.93 163.44 174.31 199.35 234.30 157.35 156.27 160.88 164.52 172.15
DH518SDIT1152.83 149.81 157.34 177.13 193.29 188.30 183.47 190.73 196.79 208.91
SDIT2171.24 5.05 169.15 182.69 209.66 199.21 193.15 194.77 204.06 211.74
SDIT3176.90 175.32 177.34 189.46 213.59 208.50 202.85 197.39 199.21 217.80
Table 9. The stomatal limitation value (Ls) of two corn hybrids differing in maturity under different irrigation treatments.
Table 9. The stomatal limitation value (Ls) of two corn hybrids differing in maturity under different irrigation treatments.
HybridTreatmentDays after Anthesis (Days)
20202021
020304050020304050
DH605FIT10.68 0.67 0.62 0.58 0.49 0.65 0.64 0.62 0.61 0.60
FIT20.62 0.63 0.64 0.57 0.47 0.64 0.63 0.62 0.60 0.58
FIT30.61 0.61 0.64 0.55 0.45 0.59 0.59 0.58 0.58 0.56
DH605SDIT10.58 0.59 0.57 0.55 0.50 0.52 0.52 0.50 0.49 0.49
SDIT20.57 0.57 0.56 0.53 0.49 0.48 0.48 0.47 0.46 0.46
SDIT30.55 0.55 0.56 0.54 0.48 0.47 0.46 0.46 0.45 0.44
DH518FIT10.68 0.66 0.63 0.57 0.45 0.66 0.64 0.63 0.62 0.61
FIT20.63 0.63 0.59 0.54 0.43 0.65 0.64 0.61 0.60 0.59
FIT30.59 0.60 0.57 0.51 0.42 0.61 0.61 0.60 0.59 0.57
DH518SDIT10.62 0.63 0.61 0.56 0.52 0.53 0.55 0.53 0.51 0.48
SDIT20.58 0.99 0.58 0.55 0.48 0.51 0.52 0.52 0.49 0.48
SDIT30.56 0.57 0.56 0.53 0.47 0.48 0.50 0.51 0.51 0.46
Publisher’s Note: MDPI stays neutral with regard to jurisdictional claims in published maps and institutional affiliations.

Share and Cite

MDPI and ACS Style

Wang, L.; Ren, B.; Zhao, B.; Liu, P.; Zhang, J. Comparative Yield and Photosynthetic Characteristics of Two Corn (Zea mays L.) Hybrids Differing in Maturity under Different Irrigation Treatments. Agriculture 2022, 12, 365. https://doi.org/10.3390/agriculture12030365

AMA Style

Wang L, Ren B, Zhao B, Liu P, Zhang J. Comparative Yield and Photosynthetic Characteristics of Two Corn (Zea mays L.) Hybrids Differing in Maturity under Different Irrigation Treatments. Agriculture. 2022; 12(3):365. https://doi.org/10.3390/agriculture12030365

Chicago/Turabian Style

Wang, Lei, Baizhao Ren, Bin Zhao, Peng Liu, and Jiwang Zhang. 2022. "Comparative Yield and Photosynthetic Characteristics of Two Corn (Zea mays L.) Hybrids Differing in Maturity under Different Irrigation Treatments" Agriculture 12, no. 3: 365. https://doi.org/10.3390/agriculture12030365

APA Style

Wang, L., Ren, B., Zhao, B., Liu, P., & Zhang, J. (2022). Comparative Yield and Photosynthetic Characteristics of Two Corn (Zea mays L.) Hybrids Differing in Maturity under Different Irrigation Treatments. Agriculture, 12(3), 365. https://doi.org/10.3390/agriculture12030365

Note that from the first issue of 2016, this journal uses article numbers instead of page numbers. See further details here.

Article Metrics

Back to TopTop