Due to scheduled maintenance work on our servers, there may be short service disruptions on this website between 11:00 and 12:00 CEST on March 28th.
Sign in to use this feature.

Years

Between: -

Subjects

remove_circle_outline
remove_circle_outline
remove_circle_outline
remove_circle_outline
remove_circle_outline
remove_circle_outline
remove_circle_outline
remove_circle_outline
remove_circle_outline

Journals

remove_circle_outline
remove_circle_outline
remove_circle_outline
remove_circle_outline
remove_circle_outline
remove_circle_outline
remove_circle_outline
remove_circle_outline
remove_circle_outline
remove_circle_outline
remove_circle_outline
remove_circle_outline
remove_circle_outline
remove_circle_outline
remove_circle_outline
remove_circle_outline
remove_circle_outline
remove_circle_outline
remove_circle_outline
remove_circle_outline
remove_circle_outline
remove_circle_outline
remove_circle_outline
remove_circle_outline
remove_circle_outline
remove_circle_outline
remove_circle_outline
remove_circle_outline
remove_circle_outline
remove_circle_outline
remove_circle_outline
remove_circle_outline
remove_circle_outline
remove_circle_outline

Article Types

Countries / Regions

remove_circle_outline
remove_circle_outline
remove_circle_outline
remove_circle_outline
remove_circle_outline
remove_circle_outline
remove_circle_outline
remove_circle_outline
remove_circle_outline
remove_circle_outline

Search Results (13,619)

Search Parameters:
Keywords = irrigation

Order results
Result details
Results per page
Select all
Export citation of selected articles as:
9 pages, 199 KB  
Communication
Innovations in the Revised FAO56 Guidelines for Computing Crop Water Requirements: Data, Calculation Methods, Irrigation, and Climate Change Challenges
by Luis S. Pereira, Maher Salman, Paula Paredes, Ramón López-Urrea and Richard G. Allen
Water 2026, 18(7), 793; https://doi.org/10.3390/w18070793 (registering DOI) - 27 Mar 2026
Abstract
The FAO Irrigation and Drainage Paper 56, which was first published in 1998, has been widely recognized as a comprehensive guidebook for estimating crop evapotranspiration and calculating crop water requirements under various conditions, supporting the efficient management of water resources in agriculture. Over [...] Read more.
The FAO Irrigation and Drainage Paper 56, which was first published in 1998, has been widely recognized as a comprehensive guidebook for estimating crop evapotranspiration and calculating crop water requirements under various conditions, supporting the efficient management of water resources in agriculture. Over the past twenty-eight years, science and technology have significantly evolved in agricultural productivity and water resource mobilization, use, and management, as well as in research advances, data availability and management, and modeling capabilities and uses. However, these improvements have come against a backdrop of increasingly pressing challenges, especially those posed by climate change and water scarcity. Thus, considering all recent advances in knowledge, an updated version (FAO56 Rev.1) of that guidebook was recently released. The current article summarizes and highlights the main features and innovations that the revision has incorporated. Full article
(This article belongs to the Special Issue Crop Evapotranspiration, Crop Irrigation and Water Savings)
18 pages, 1214 KB  
Article
Do Laser-Activated Irrigation Protocols Improve Endodontic Success? A Prospective Clinical Comparison of 1-Year Periapical Healing with Sonic, Ultrasonic, Manual Dynamic and Conventional Techniques
by Medine Çiçek, Ahter Şanal Çıkman and Dilara Nil Günaçar
Diagnostics 2026, 16(7), 1003; https://doi.org/10.3390/diagnostics16071003 (registering DOI) - 26 Mar 2026
Abstract
Background: Successful healing of chronic apical periodontitis after endodontic treatment requires a reduction in the size of the radiolucent area and the healing of the bone. This study aimed to compare the effects of different irrigation activation techniques on healing in single-rooted [...] Read more.
Background: Successful healing of chronic apical periodontitis after endodontic treatment requires a reduction in the size of the radiolucent area and the healing of the bone. This study aimed to compare the effects of different irrigation activation techniques on healing in single-rooted mandibular premolar teeth with periapical lesions of endodontic origin. Methods: A total of 132 systemically healthy patients with mandibular single-rooted premolar teeth and a periapical index (PAI) score ≥ 3 were assigned to five experimental groups (Sonic activation, Passive ultrasonic irrigation, Photon-Induced Photoacoustic Streaming, Shock Wave Enhanced Emission Photoacoustic Streaming and Manual dynamic activation) and a control group (Conventional Syringe Irrigation). After access cavity preparation, the canals were prepared up to three sizes larger than the initial apical diameter with 5 mL of 2.5% NaOCl used between each file. Final irrigation was performed via the assigned activation system. The root canals were obturated with gutta-percha in a single visit. The effects of the activation systems on healing were compared at 1-year follow-up. The primary outcome measure was the change in lesion diameter. PAI score and fractal dimension (FD) were evaluated as secondary outcomes. Results: At the 1-year follow-up, FD values significantly increased, PAI scores and lesion size decreased in all groups compared with baseline (p < 0.001). However, the increase in FD was comparable among the irrigation groups (p > 0.05). In contrast, lesion size reduction and PAI-based healing rates favored the laser-activated groups. The PAI scores and lesion size in the control group were significantly greater than that in the laser groups (p < 0.05). Conclusions: At the 1-year follow-up, all the groups presented similar FD increases, while the laser irrigation groups presented significantly greater reductions in lesion size than did the control group. Full article
(This article belongs to the Section Clinical Diagnosis and Prognosis)
Show Figures

Figure 1

24 pages, 13962 KB  
Article
Assessment of the Spatial Structure and Condition of Urban Green Infrastructure in Aktau (Kazakhstan) Under Arid Climate Conditions Using NDVI and SAVI
by Murat Makhambetov, Aigul Sergeyeva, Gulshat Nurgaliyeva, Altynbek Khamit, Aleksey Sayanov and Raushan Duisekenova
Land 2026, 15(4), 536; https://doi.org/10.3390/land15040536 - 26 Mar 2026
Abstract
Urban green infrastructure plays a crucial role in enhancing environmental resilience in cities, particularly in arid regions characterized by water scarcity, soil salinity, and high climatic stress. However, arid coastal cities remain insufficiently studied with regard to spatially explicit assessments of the structure [...] Read more.
Urban green infrastructure plays a crucial role in enhancing environmental resilience in cities, particularly in arid regions characterized by water scarcity, soil salinity, and high climatic stress. However, arid coastal cities remain insufficiently studied with regard to spatially explicit assessments of the structure and dynamics of green infrastructure. This study evaluates the state and spatial organization of urban green infrastructure in Aktau, Kazakhstan, over the period 2015–2025, with the most recent satellite observations obtained in June 2025. Sentinel-2 satellite imagery was used to calculate seasonal Normalized Difference Vegetation Index (NDVI) and Soil-Adjusted Vegetation Index (SAVI) values, and zonal statistics were applied to assess intra-urban differentiation across functional zones. In addition, inventory-based indicators—Green Planting Density (GPD), Structural Composition of Greenery (SCG), and Protective Green Infrastructure (PGI)—were integrated to complement the remote sensing analysis. The results indicate a moderate overall increase in mean NDVI values (from 0.21 to 0.28), with the most significant growth observed in central and coastal areas (ΔNDVI = +0.12; ΔSAVI = +0.21), while industrial and newly developed zones exhibit only limited changes. Despite these localized improvements, the spatial configuration of green infrastructure remains fragmented, reflecting a persistent center–periphery asymmetry in urban greening. These results underline the importance of irrigation practices and spatially targeted greening strategies for improving vegetation conditions in arid urban environments. The proposed integrated approach combining satellite-derived vegetation indices and inventory-based indicators can serve as a useful tool for monitoring urban green infrastructure and supporting evidence-based planning in arid coastal cities. Full article
Show Figures

Figure 1

18 pages, 2525 KB  
Article
Effects of Polymer-Based Soil Conditioner and Humic Acid on Soil Properties and Cotton Yield in Saline–Sodic Soils
by Yilin Guo, Xiaoguo Mu, Guorong Ma, Jihong Zhang and Zhenhua Wang
Water 2026, 18(7), 780; https://doi.org/10.3390/w18070780 - 26 Mar 2026
Abstract
Secondary salinization in mulched drip-irrigated cotton fields of arid oasis–desert transition zones in Xinjiang imposes coupled root-zone constraints, including salt-induced aggregate structural degradation and ionic stress. However, field evidence remains limited on whether integrating a structure-oriented soil conditioner with humic acid can generate [...] Read more.
Secondary salinization in mulched drip-irrigated cotton fields of arid oasis–desert transition zones in Xinjiang imposes coupled root-zone constraints, including salt-induced aggregate structural degradation and ionic stress. However, field evidence remains limited on whether integrating a structure-oriented soil conditioner with humic acid can generate stable improvements across growing seasons. A two-year field experiment with a randomized block design (three replicates) was conducted to evaluate four treatments: control (CK), polyacrylamide (PAM, 30 kg ha−1), humic acid (HA, 450 kg ha−1), and PAM + HA. Soil physical and chemical properties and aggregate-size distribution were determined after harvest, while enzyme activities and root traits were assessed at the flowering–boll stage. Structural equation modeling (SEM) and random forest (RF) analysis were used to explore soil–root–yield linkages and identify key soil predictors associated with yield variation. Treatment effects were most evident in the 0–20 cm layer, with PAM + HA showing the greatest overall improvement. In the topsoil, PAM + HA lowered soil pH from 8.35 to 7.88 in 2024 (p < 0.05), increased soil organic carbon (SOC) to 4.29 g kg−1 in 2025 (p < 0.01), and increased NO3–N to 25.51 and 30.27 mg kg−1 in 2024 and 2025, respectively (both p < 0.05). PAM + HA also enhanced cellulase activity from 6.17 to 16.85 mg glucose g−1 72 h−1 in 2024 and increased seed cotton yield to 6683.69 and 5996.89 kg ha−1 in 2024 and 2025, with a 51.0% yield increase over CK in 2024. SEM showed that root development had the strongest direct positive effect on yield (β = 0.79, R2 = 0.63; goodness of fit (GOF) = 0.74), while random forest identified alkaline phosphatase, cellulase, and NO3–N as the main yield predictors (out-of-bag R2 (OOB R2) = 0.672, p = 0.01). This study elucidated the effects of the combined application of a structure-oriented soil conditioner and humic acid on the root-zone environment of mulched drip-irrigated cotton fields in arid regions, providing a theoretical basis for the coordinated regulation of soil structural improvement and nutrient activation in saline–sodic cotton fields. Full article
(This article belongs to the Special Issue Assessment and Management of Soil Salinity: Methods and Technologies)
Show Figures

Figure 1

19 pages, 5411 KB  
Article
Assessing the Impact of Water Stress on Neofusicoccum parvum in Table Grapes Using Proximal Sensing Technologies
by Chiara Di Pietro, Simone Mavica, Daniela Vanella, Giuseppe Longo-Minnolo, Simona Consoli and Dalia Aiello
Agronomy 2026, 16(7), 696; https://doi.org/10.3390/agronomy16070696 - 26 Mar 2026
Abstract
Water availability represents a major limiting factor for crop production, particularly in Mediterranean agroecosystems. In parallel, water-stressed plants are often more susceptible to diseases, including Grapevine Trunk Diseases (GTDs), such as Botryosphaeria Dieback caused by Botryosphaeriaceae species. In Italy, the increasing prevalence of [...] Read more.
Water availability represents a major limiting factor for crop production, particularly in Mediterranean agroecosystems. In parallel, water-stressed plants are often more susceptible to diseases, including Grapevine Trunk Diseases (GTDs), such as Botryosphaeria Dieback caused by Botryosphaeriaceae species. In Italy, the increasing prevalence of GTDs in young table grape plants and nursery material highlights the need to better understand the interaction between abiotic stress and pathogen dissemination in woody tissues. This study investigated the relationship between different water regimes (WRs) and infections by Neofusicoccum parvum. Grapevine cuttings (Vitis vinifera ‘Italia’ vines grafted onto the rootstock ‘140 Ruggeri’) were subjected to three WRs (20%, 50%, and 100% of crop evapotranspiration, ETc) under controlled environmental conditions and, subsequently, inoculated with mycelial plugs of N. parvum at both the scion and rootstock levels. Plant responses were monitored non-destructively using low-cost proximal sensing tools, including leaf temperature (Tleaf) and the Normalized Difference Vegetation Index (NDVI). Disease development was assessed by measuring internal necrotic lesion extension. Reduced irrigation was associated with increased disease severity, while proximal sensing detected differences in plant physiological responses among water regimes. Overall, the results highlight the interplay between water availability, plant physiological status, and disease severity under controlled conditions. Full article
(This article belongs to the Section Precision and Digital Agriculture)
Show Figures

Figure 1

10 pages, 229 KB  
Article
Irrigated Winter Malting Barley Cultivar Performance in Cold Desert and Cold Semiarid Environments
by Leonard M. Lauriault, Kevin Lombard, Gasper K. Martinez and Murali K. Darapuneni
Agronomy 2026, 16(7), 695; https://doi.org/10.3390/agronomy16070695 - 26 Mar 2026
Abstract
Growers in the grain-producing continental cold desert and cold semiarid regions are interested in the local adaptation of winter malting barley (Hordeum vulgare) as a potential alternative crop to winter wheat (Triticum aestivum). Variety selection for specific environments is [...] Read more.
Growers in the grain-producing continental cold desert and cold semiarid regions are interested in the local adaptation of winter malting barley (Hordeum vulgare) as a potential alternative crop to winter wheat (Triticum aestivum). Variety selection for specific environments is a critical first step in producing high yields of winter malting barley at the same production costs. Twenty-two winter malting barley entries were planted under irrigation in randomized complete blocks at New Mexico State University’s Agricultural Science Center at Farmington (cold desert; 3 replicates) and Rex E. Kirksey Agricultural Science Center at Tucumcari (cold semiarid; 4 replicates) in September 2023 and harvested for grain in July 2024. All entries at Tucumcari were heavily grazed by wildlife over winter, which may have influenced grain production of some varieties, although there was no site × cultivar interaction for grain yield, which ranged from 2558 to 4157 kg ha−1. Irrigation and N fertilization differences between sites likely influenced (p < 0.0001) grain yield and grain protein (4421 and 2172 kg grain yield ha−1 at Farmington and Tucumcari, respectively; 109 and 93 g grain protein kg−1 at Farmington and Tucumcari, respectively). Future research in cold desert and semiarid regions should evaluate cultivar differences regarding irrigation and nutrient management. Full article
(This article belongs to the Section Water Use and Irrigation)
19 pages, 10123 KB  
Article
Drivers of Shrinkage in Daihai Lake Based on Influence of Climate Change, Vegetation Variation and Agricultural Water Saving on ET
by Dewang Wang, Ping He, Jie Xu and Liping Hou
Land 2026, 15(4), 532; https://doi.org/10.3390/land15040532 - 25 Mar 2026
Abstract
Vegetation restoration in water-limited regions typically increases evapotranspiration (ET) while reducing runoff. Over the past four decades, Daihai Lake in China’s northwest inland river basin has experienced significant shrinkage. Previous studies attribute this primarily to climate change and water resource exploitation, yet the [...] Read more.
Vegetation restoration in water-limited regions typically increases evapotranspiration (ET) while reducing runoff. Over the past four decades, Daihai Lake in China’s northwest inland river basin has experienced significant shrinkage. Previous studies attribute this primarily to climate change and water resource exploitation, yet the impact of vegetation dynamics remains insufficiently examined. This study analyzed changes in the water budget across different vegetation types in the Daihai Lake Basin, based on remote sensing-derived precipitation and ET data, and employed correlation analysis to examine the relationships between environmental factors (such as climate change, afforestation projects, and water-saving irrigation) and lake shrinkage. Our findings revealed that afforestation has expanded forest cover by 69.42 km2 since 2000, accounting for 73.95% of the total forest area. Notably, forest ET demonstrated the strongest negative correlation (r = −0.89, p < 0.001) with lake area among all vegetation types. Grasslands emerged as the primary water-surplus vegetation, contributing 81.34% to the basin’s total water surplus. The synergistic effects of precipitation reduction, temperature increase, and enhanced ET from forest expansion drove the shrinkage of the lake. These results highlight the need for science-based vegetation management in arid and semi-arid regions, where we recommend adopting shrub-grass combined restoration approaches to enhance the sustainability of ecological restoration. Full article
(This article belongs to the Section Land Use, Impact Assessment and Sustainability)
Show Figures

Figure 1

26 pages, 3386 KB  
Article
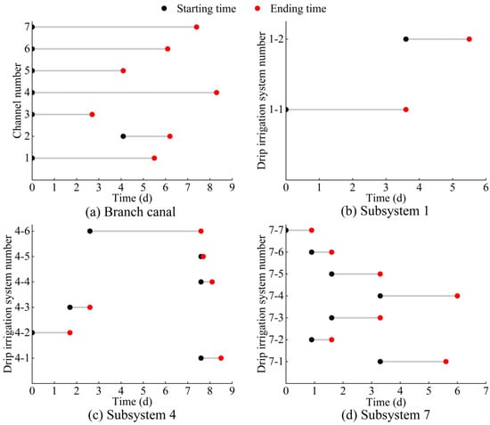
A Two-Level Optimal Water Allocation Model for Canal-Drip Irrigation Systems Based on Decomposition–Coordination Theory
by Jingzheng Li, Chunfang Yue and Shengjiang Zhang
Sustainability 2026, 18(7), 3217; https://doi.org/10.3390/su18073217 - 25 Mar 2026
Abstract
Agriculture in Xinjiang, a region in arid northwest China, is almost entirely dependent on irrigation, leading to significant supply–demand contradictions. This study addresses the spatial and temporal mismatches between water supply and demand, and the resulting conflicts in crop water supply. Using the [...] Read more.
Agriculture in Xinjiang, a region in arid northwest China, is almost entirely dependent on irrigation, leading to significant supply–demand contradictions. This study addresses the spatial and temporal mismatches between water supply and demand, and the resulting conflicts in crop water supply. Using the primary irrigation cycle of Wutai branch canal as a case study, we developed a two-level optimal water allocation model based on large-scale system optimization. For the lateral canal water distribution, a model minimizing the sum of squares of the water shortage rate was solved using the Sequential Quadratic Programming (SQP) algorithm. For the drip irrigation systems, water distribution time was incorporated as a second objective, and the resulting bi-objective model was solved using the Non-dominated Sorting Genetic Algorithm II (NSGA-II). Compared to actual distribution processes, our results show that (1) 74% of the distribution canals and pipelines achieved over 90% of their design flow rate, fully utilizing flow capacity and reducing the overall distribution time of the branch canal by 4.68 h. (2) The overall water shortage rate was reduced by 1.59% compared to the actual rate, with a more balanced water allocation among users. These results demonstrate that the model can effectively coordinate water distribution in a multi-level canal system, enhance the fairness of water use, and provide a valuable reference for single-event water distribution in water-scarce areas. Full article
Show Figures

Figure 1

21 pages, 1375 KB  
Article
Polymeric Sustained-Release Chlorhexidine Coating on Gutta-Percha Points for Prolonged Intracanal Antimicrobial Delivery: An In Vitro Study
by Yarden Sabah, Nathanyel Sebbane, Michael Friedman, Irith Gati, Itzhak Abramovitz, Nurit Kot-Limon and Doron Steinberg
Pharmaceutics 2026, 18(4), 405; https://doi.org/10.3390/pharmaceutics18040405 (registering DOI) - 25 Mar 2026
Abstract
Background: Persistent endodontic infections involving Enterococcus faecalis and Candida albicans are a major cause of root canal treatment failure. Although conventional irrigants, such as sodium hypochlorite and chlorhexidine (CHX), exhibit strong immediate antimicrobial activity, microbes may survive and recover from the initial [...] Read more.
Background: Persistent endodontic infections involving Enterococcus faecalis and Candida albicans are a major cause of root canal treatment failure. Although conventional irrigants, such as sodium hypochlorite and chlorhexidine (CHX), exhibit strong immediate antimicrobial activity, microbes may survive and recover from the initial antimicrobial effect, hence limiting their effectiveness, especially in complex root canal anatomies and in the apical terminus of the tooth. Antibacterial dressing techniques were not proven satisfactory due to depletion of the antibacterial component or difficulty in spreading it evenly along the entire root canal. This study aimed to develop and evaluate the antimicrobial efficacy and release characteristics of a novel sustained-release device (SRD), delivering CHX via gutta-percha points coated with a sustained-release formulation used as a temporary intracanal medicament. Methods: Gutta-percha points were coated with two sustained-release CHX varnishes (CHX1 and CHX2) or a placebo and assessed in vitro. Antimicrobial activity against E. faecalis and C. albicans was evaluated using agar diffusion assays over time. Release kinetics were analyzed using Rhodamine-labeled SRD in a 3D-printed acrylic molar tooth model via fluorescence microscopy. Additionally, biofilm-infected acrylic molar teeth were treated with a placebo, a single 2% CHX irrigation, or SRD-coated gutta-percha points placed as an intracanal dressing prior to obturation. Microbial viability was quantified by colony-forming unit (CFU/mL) analysis from root canals and gutta-percha points. Statistical analysis was performed using one-way ANOVA followed by Tukey’s post hoc multiple comparison test (p < 0.05). Results: SRD-coated gutta-percha points demonstrated sustained antimicrobial activity for up to 21 days against E. faecalis and 19 days against C. albicans. Fluorescence analysis, in an acrylic tooth model, confirmed continuous release for up to 15 days, with pronounced diffusion in the isthmus and palatal canals. In biofilm-infected acrylic teeth models, SRD treatment resulted in a significant reduction of 2–3 log10 CFU/mL compared to placebo groups (p < 0.001) and prevented microbial rebound over the 14-day observation period. In contrast, a single application of 2% CHX solution showed only transient reduction followed by regrowth. Conclusions: Sustained-release CHX delivery via polymer-coated gutta-percha points provided prolonged antimicrobial activity against bacterial and fungal biofilms compared to conventional single-dose CHX application in this in vitro model. These findings support the potential use of coated gutta-percha points as a removable intracanal drug delivery platform prior to final obturation, although further studies incorporating direct-release quantification and in vivo validation are required before clinical translation. Full article
(This article belongs to the Section Drug Delivery and Controlled Release)
Show Figures

Figure 1

27 pages, 4803 KB  
Article
Interpretable Cotton Mapping Across Phenological Stages: Receptive-Field Enhancement and Cross-Domain Stability
by Li Li, Jinjie Wang, Keke Jia, Jianli Ding, Xiangyu Ge, Zhihong Liu, Zihan Zhang and Hongzhi Xiao
Remote Sens. 2026, 18(7), 980; https://doi.org/10.3390/rs18070980 - 25 Mar 2026
Abstract
Accurate and timely cotton-field mapping is essential for irrigation management, water resource allocation, and regional yield assessment in arid irrigated agroecosystems. However, existing deep-learning-based crop mapping approaches generally lack interpretability and often exhibit performance variability across phenological stages, thereby limiting their reliability for [...] Read more.
Accurate and timely cotton-field mapping is essential for irrigation management, water resource allocation, and regional yield assessment in arid irrigated agroecosystems. However, existing deep-learning-based crop mapping approaches generally lack interpretability and often exhibit performance variability across phenological stages, thereby limiting their reliability for operational deployment. To address these limitations, we developed an interpretable semantic segmentation framework for cotton mapping in the Wei-Ku Oasis, Xinjiang, China, under multi-source remote sensing conditions. The proposed model integrates Sentinel-2 surface reflectance, Sentinel-1 VV/VH backscatter, DEM, vegetation indices, and GLCM texture features. By incorporating a receptive-field enhancement mechanism together with an embedded feature-attribution module, the framework enables importance estimation of multi-source predictors within the network architecture, thereby providing intrinsic model interpretability. Under a unified training and evaluation protocol, the proposed model achieved an mIoU of 85.62% and an F1-score of 92.96% on the test set, outperforming U-Net, DeepLabV3+, and SegFormer baselines. Monthly classification results indicated that August provided the most discriminative acquisition window (mIoU = 85.54%, F1 = 92.83%), while June–July also maintained high recognition accuracy. Feature attribution results indicate that the importance of different predictors varies across phenological stages: Sentinel-2 red-edge bands remained highly influential throughout the growing season, NDVI/EVI exhibited increased contributions during June–August, SAR VH showed relatively higher importance during peak canopy development, and DEM maintained stable information contribution across all stages. Cross-year and cross-region experiments further demonstrated the model’s generalization capability, achieving an mIoU of 82.81% in same-region cross-year evaluation and 74.56% under cross-region transfer. Overall, the proposed segmentation framework improves classification accuracy while explicitly modeling and quantifying feature importance, providing a methodological reference for cotton-field mapping and acquisition timing selection in arid irrigated regions. Full article
Show Figures

Figure 1

19 pages, 9984 KB  
Article
Assessment of the Siltation Risk of Irrigation Canals: A Case Study of the Irrigation Canal in Golmud
by Zexiang Sui, Zhiming Zhang, Jianping Yang, Pengpeng Du, Yinghua Ma, Ping Li, Zhaocai He and Fang Han
Water 2026, 18(7), 772; https://doi.org/10.3390/w18070772 - 25 Mar 2026
Abstract
Siltation in irrigation canals adversely affects overflow capacity and accessibility, making its identification crucial for dredging, prevention, and maintenance, among other purposes. In this study, the siltation risks of Golmud irrigation canals were assessed from three perspectives: hydrodynamic impact, anthropogenic impact, and greening [...] Read more.
Siltation in irrigation canals adversely affects overflow capacity and accessibility, making its identification crucial for dredging, prevention, and maintenance, among other purposes. In this study, the siltation risks of Golmud irrigation canals were assessed from three perspectives: hydrodynamic impact, anthropogenic impact, and greening impact. The assessment factors included sediment deposition risk, bed erosion risk, proximity to public administration and services, proximity to residential areas, proximity to commercial services, and proximity to green spaces. The entropy weight method and TOPSIS method were employed to calculate the comprehensive siltation risk level, with model validation confirming a high overall accuracy of 94%. The results showed that among the six factors, proximity to public administration and services had the greatest influence on siltation, with a weight of 0.29. Additionally, the most vulnerable siltation locations were primarily in the city center, reflecting the susceptibility of urban areas to anthropogenic activities. This study develops a rapid and objective risk-scanning tool that couples hydrodynamics with land-use factors, providing a standardized technical pathway for the checking of large-scale urban infrastructure. Full article
Show Figures

Figure 1

13 pages, 434 KB  
Article
New Approach for Design of Broad-Crested Weirs with Exponential Sections
by Ahmed M. Abdelrazek and Mohammed A. Abourohiem
Water 2026, 18(7), 771; https://doi.org/10.3390/w18070771 - 24 Mar 2026
Abstract
A design framework is presented for broad-crested weirs with exponential (power-law) head–discharge behavior and three practical control-section shapes: Rectangular, parabolic, and triangular. Unlike ideal-flow sizing, the approach explicitly accounts for real-flow effects through a velocity coefficient at the control section. Starting from the [...] Read more.
A design framework is presented for broad-crested weirs with exponential (power-law) head–discharge behavior and three practical control-section shapes: Rectangular, parabolic, and triangular. Unlike ideal-flow sizing, the approach explicitly accounts for real-flow effects through a velocity coefficient at the control section. Starting from the energy equation and the critical-depth condition, analytical relations are obtained for the control-section depth, the critical depth, and the velocity and discharge coefficients. These relations are coupled with geometry-specific critical-flow expressions to derive a general, dimensionless design equation that links the required contraction ratio to the approach-velocity coefficient, the control-section velocity coefficient, and the head exponent n. The core innovation of the framework is a general dimensionless design equation that directly yields the required control-section area ratio A*/Ao, i.e., the geometric contraction relative to the approach section, for a specified design head and approach-velocity condition. The method provides direct design parameters for each section family: Rectangular width, parabolic parameter, and triangular head angle. A short quantitative check against representative classical experimental ratios shows very good agreement with measured values. For the applied design example based on a trapezoidal approach section and conservative lower-bound Cv values, neglecting real-flow effects underpredicts the required contraction ratio by about 28–39%, depending on the selected section shape. The developed framework provides a transparent, theoretically grounded, and practical tool for the hydraulic design of broad-crested weirs. Full article
(This article belongs to the Special Issue Advances in Open-Channel Flow Hydrodynamics)
Show Figures

Figure 1

35 pages, 10703 KB  
Article
A Tale of Two Irrigated Agricultures in the Middle Rio Grande Basin
by Oluwatosin A. Olofinsao, Jingjing Wang and Robert P. Berrens
Sustainability 2026, 18(7), 3191; https://doi.org/10.3390/su18073191 - 24 Mar 2026
Abstract
Agriculture in dryland regions faces increasing pressure from climate variability, water scarcity, and competing urban and environmental demands. A recent basin-wide technical analysis for the Rio Grande/Rio Bravo in the United States of America (USA) and Mexico shows that consumptive water use in [...] Read more.
Agriculture in dryland regions faces increasing pressure from climate variability, water scarcity, and competing urban and environmental demands. A recent basin-wide technical analysis for the Rio Grande/Rio Bravo in the United States of America (USA) and Mexico shows that consumptive water use in the river system overall is on an unsustainable path. The Middle Rio Grande Basin (MRGB) of central New Mexico (USA) exemplifies these sustainability challenges, where irrigated agriculture persists despite low precipitation, high evaporative demand, and prolonged drought. This study provides analytical spatial description of irrigated agriculture in the MRGB, examining farm size distribution, crop composition, groundwater access, and consumptive water use measured by evapotranspiration (ET) and effective ET. Using 2021 remotely sensed crops and ET data, groundwater well records, and GIS-based aggregation to the irrigator farm level, the analysis reveals a highly fragmented agricultural landscape dominated numerically by micro-scale and small farms, which together account for 55.9% of total agricultural ET. Alfalfa and other hay crops occupy nearly three-quarters of irrigated acreage and consume 74% of total ET, reflecting the prevalence of forage production. Groundwater access is highly uneven, with most wells concentrated among large farms, creating resilient disparities. The findings highlight that consumptive agricultural water use in the MRGB is diffuse rather than concentrated: non-commercial farms (<12 hectares) account for 55.9% of basin-wide ET, while commercial farms contribute only 14.4% despite occupying about one-fifth of irrigated land. This complicates water conservation efforts. Resilient management strategies must therefore engage thousands of small, largely non-commercial irrigators through mechanisms that recognize both hydrological and spatial realities. The study provides an empirical basis for designing sustainable irrigation and water-management strategies in dryland agricultural systems facing increasing climatic and institutional pressures. Full article
(This article belongs to the Section Sustainable Agriculture)
Show Figures

Figure 1

19 pages, 6258 KB  
Article
Clogging Evolution and Structural Optimization of Drip Emitters Under Sediment-Laden Water
by Guowei Wang, Mengyang Wang, Yayang Feng, Mo Zhu, Shengliang Fan, Rui Li, Mengyun Xue and Qibiao Han
Agronomy 2026, 16(7), 682; https://doi.org/10.3390/agronomy16070682 (registering DOI) - 24 Mar 2026
Abstract
Long-term operation of drip emitters under sediment-laden water conditions readily induces particle deposition and clogging, leading to discharge reduction and deterioration of irrigation uniformity. To clarify the temporal evolution and spatial distribution of clogging and to support structure-oriented anti-clogging improvement, three integrated drip [...] Read more.
Long-term operation of drip emitters under sediment-laden water conditions readily induces particle deposition and clogging, leading to discharge reduction and deterioration of irrigation uniformity. To clarify the temporal evolution and spatial distribution of clogging and to support structure-oriented anti-clogging improvement, three integrated drip tape emitters with different labyrinth-channel geometries were tested at sediment concentrations of 1, 2, and 3 g·L−1 under a constant pressure of 100 kPa. The average relative discharge ratio (Dra) and Christiansen’s uniformity coefficient (CU) were continuously monitored, and cross-sectional observation and numerical simulation were combined to identify dominant deposition hotspot regions within the labyrinth channel. The results showed that increasing sediment concentration significantly accelerated clogging development and shortened operating lifetime. At 1 g·L−1, the times required for the three emitter types to reach the clogging criterion of Dra < 75% were 120, 81, and 107 h, respectively, whereas at 3 g·L−1 these values decreased to 39, 42, and 39 h. CU continuously declined with operating time and, in some treatments, responded earlier than Dra to system deterioration. Sediment deposition was mainly concentrated in the inlet section and bend regions, indicating that these locations were the dominant hotspots for clogging initiation and propagation. These findings demonstrate that clogging in drip emitters is jointly regulated by sediment load and labyrinth-channel geometry, and that hotspot-based structural optimization provides an effective basis for improving anti-clogging performance under sediment-laden water conditions. Full article
Show Figures

Figure 1

23 pages, 1156 KB  
Article
Hotspots of Cropland Abandonment in the Rural Eastern Cape: Disentangling Socio-Economic and Climate Drivers Among Farming Households in the Former Homelands of Transkei
by Mzuyanda Christian, Sukoluhle Mazwane, Siphe Zantsi, Siyasanga Mgoduka, Lerato Morajane and Zoleka Mkhize
Agriculture 2026, 16(7), 718; https://doi.org/10.3390/agriculture16070718 (registering DOI) - 24 Mar 2026
Viewed by 13
Abstract
Smallholder farming remains a critical livelihood source for rural communities in South Africa, particularly in the Eastern Cape Province. However, cropland abandonment has become an escalating concern, undermining food security, household incomes, and the long-term sustainability of agricultural systems. This study assessed the [...] Read more.
Smallholder farming remains a critical livelihood source for rural communities in South Africa, particularly in the Eastern Cape Province. However, cropland abandonment has become an escalating concern, undermining food security, household incomes, and the long-term sustainability of agricultural systems. This study assessed the socio-economic and climate-related factors influencing cropland abandonment in the former homelands of Transkei. A mixed-methods approach was used, combining a quantitative survey, a qualitative focus group discussion, and a key informant interview. Data were analysed using descriptive statistics, a double-hurdle model, and thematic analysis. The descriptive results revealed that the average respondent was 57 years, with a predominantly male majority (57.47%), a primary education (40.27%), and a mean average household size of 5.4. About 51.58% of household heads were married and 48.42% were single, with a mean household income of R63 155 (3680.26 USD). The econometric results from the first hurdle model indicated that education level, farming experience, rainfall variability, access to irrigation, and off-farm income significantly influenced the decision to abandon cropland. The second hurdle model demonstrated that the extent of cropland abandonment was shaped by labour availability, access to credit, rainfall patterns, cooperative membership, and farming experience. The study concluded that cropland abandonment in the former Transkei was influenced by different factors. Therefore, the study would recommend targeted policy interventions that strengthen human capital, improve access to agricultural support services, and promote youth participation and collective farming structures to revitalise smallholder agriculture and enhance rural food security. Full article
Show Figures

Figure 1

Back to TopTop