Future Projection for Climate Suitability of Summer Maize in the North China Plain
Abstract
:1. Introduction
2. Materials and Methods
2.1. Study Area
2.2. Climate Data
2.3. Phenology Data and Future Phenology Simulation
2.4. Climate Suitability Model
2.4.1. Sunshine Suitability (SS) Model
2.4.2. Temperature Suitability (ST) Model
2.4.3. Precipitation Suitability (SP) Model
2.4.4. Crop Climate Suitability during Different Crop Growth Stages
2.4.5. Integrated Climate Suitability (SZ) Model
2.5. Spatial Interpolation
3. Results
3.1. Comparison between Observations and Simulations for Climate Suitability during 1981–2010
3.2. Temporal Changes of Climate Suitability under the Future Climate Scenarios
3.3. Spatial Distribution of Climate Suitability in the Baseline Period (1981–2010) and Future Periods (2040s and 2080s)
3.4. Regional Division of Climate Suitability for Maize in the Baseline Period (1981–2010) and Future Periods (2040s and 2080s)
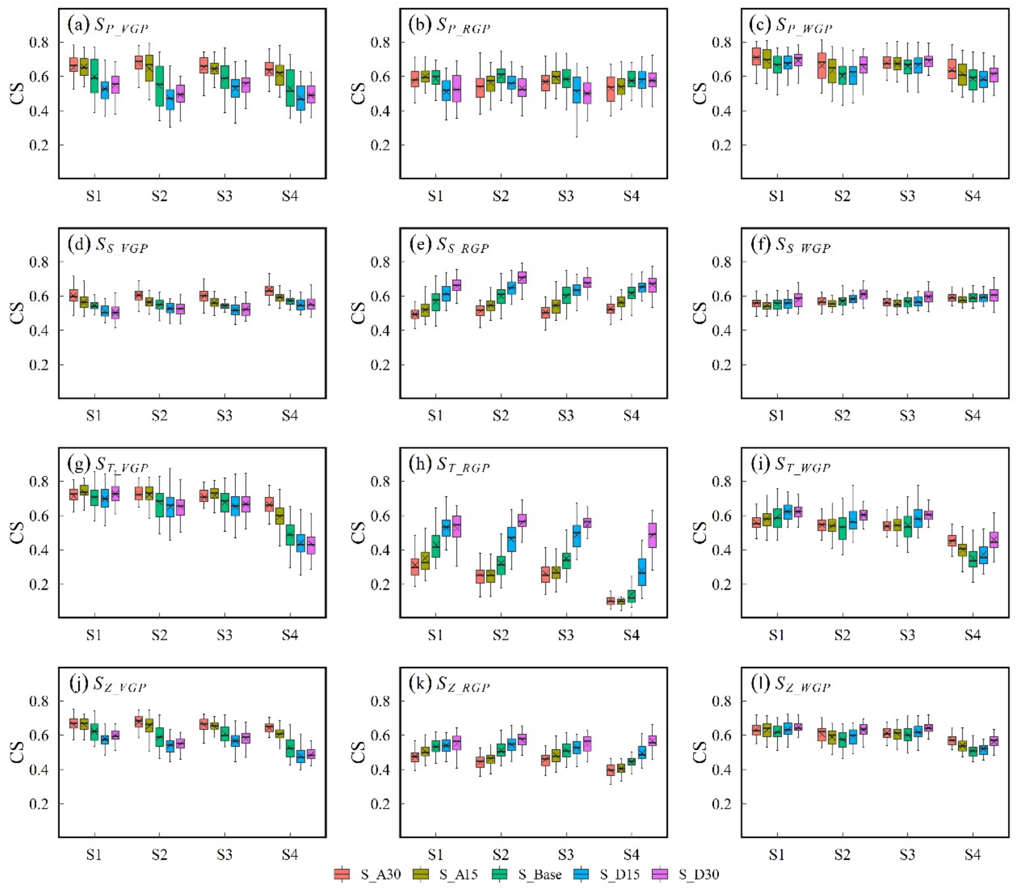
3.5. Effects of Sowing Date Adjustment on the Climate Suitability of Maize in the NCP
4. Discussion
5. Conclusions
Supplementary Materials
Author Contributions
Funding
Institutional Review Board Statement
Informed Consent Statement
Data Availability Statement
Acknowledgments
Conflicts of Interest
References
- IPCC. Summary for Policymakers. In Global Warming of 1.5 °C. An IPCC Special Report on the Impacts of Global Warming of 1.5 °C above Pre-Industrial Levels and Related Global Greenhouse Gas Emission Pathways, in the Context of Strengthening the Global Response to the Threat of Climate Change, Sustainable Development, and Efforts to Eradicate Poverty; IPCC: Geneva, Switzerland, 2018. [Google Scholar]
- Lobell, D.B.; Asner, G.P. Climate and management contributions to recent trends in U.S. agricultural yields. Science 2003, 299, 1032. [Google Scholar] [CrossRef] [PubMed]
- Lobell, D.B.; Burke, M.B.; Tebaldi, C.; Mastrandrea, M.D.; Falcon, W.P.; Naylor, R.L. Prioritizing climate change adaptation needs for food security in 2030. Science 2008, 319, 607–610. [Google Scholar] [CrossRef] [PubMed]
- Tao, F.; Zhang, Z.; Shi, W.; Liu, Y.; Xiao, D.; Zhang, S.; Zhu, Z.; Wang, M.; Liu, F. Single rice growth period was prolonged by cultivars shifts, but yield was damaged by climate change during 1981–2009 in China, and late rice was just opposite. Glob. Chang. Biol. 2013, 19, 3200–3209. [Google Scholar] [CrossRef] [PubMed]
- Tao, F.; Zhang, S.; Zhang, Z.; Rotter, R.P. Maize growing duration was prolonged across China in the past three decades under the combined effects of temperature, agronomic management, and cultivar shift. Glob. Chang. Biol. 2014, 20, 3686–3699. [Google Scholar] [CrossRef]
- Liu, B.; Asseng, S.; Müller, C.; Ewert, F.; Elliott, J.; Lobell, D.B.; Martre, P.; Ruane, A.C.; Wallach, D.; Jones, J.W.; et al. Similar estimates of temperature impacts on global wheat yield by three independent methods. Nat. Clim. Chang. 2016, 6, 1130–1136. [Google Scholar] [CrossRef]
- Fletcher, A.L.; Chen, C.; Ota, N.; Lawes, R.A.; Oliver, Y.M. Has historic climate change affected the spatial distribution of water-limited wheat yield across Western Australia? Clim. Chang. 2020, 159, 347–364. [Google Scholar] [CrossRef]
- Ye, Z.; Qiu, X.; Chen, J.; Cammarano, D.; Ge, Z.; Ruane, A.C.; Liu, L.; Tang, L.; Cao, W.; Liu, B.; et al. Impacts of 1.5 °C and 2.0 °C global warming above pre-industrial on potential winter wheat production of China. Eur. J. Agron. 2020, 120, 126149. [Google Scholar] [CrossRef]
- Salman, S.A.; Shahid, S.; Sharafati, A.; Salem, G.S.A.; Bakar, A.A.; Farooque, A.A.; Chung, E.-S.; Ahmed, Y.A.; Mikhail, B.; Yaseen, Z.M. Projection of Agricultural Water Stress for Climate Change Scenarios: A Regional Case Study of Iraq. Agriculture 2021, 11, 1288. [Google Scholar] [CrossRef]
- Mall, R.K.; Lal, M.; Bhatia, V.S.; Rathore, L.S.; Singh, R. Mitigating climate change impact on soybean productivity in India: A simulation study. Agric. For. Meteorol. 2004, 121, 113–125. [Google Scholar] [CrossRef]
- Wang, P.; Wu, D.; Yang, J.; Ma, Y.; Feng, R.; Huo, Z. Summer maize growth under different precipitation years in the Huang-Huai-Hai Plain of China. Agric. For. Meteorol. 2020, 285–286, 107927. [Google Scholar] [CrossRef]
- Ma, S.Q. The climatic and ecological suitability of central Jilin Province for developing maize zones. J. Ecol. 1990, 54, 40–45. [Google Scholar]
- Gong, L.J.; Yang-Hui, J.I.; Wang, P.; Zhu, H.X.; Wang, L.L.; Wang, Q.J. Variation of Climate Suitability of Maize in Northeast of China. J. Maize Sci. 2013, 21, 140–146. [Google Scholar]
- Cao, Y.; Qi, J.; Wang, F.; Li, L.; Lu, J. Analysis of climate suitability of spring maize in Liaoning Province based on modulus and mathematics. Sci. Geogr. Sin. 2020, 40, 1210–1220. [Google Scholar]
- Tang, X.; Liu, H. Climate suitability for summer maize on the North China Plain under current and future climate scenarios. Int. J. Climatol. 2020, 41, 1–18. [Google Scholar] [CrossRef]
- He, Q.; Zhou, G. Climatic suitability of potential summer maize planting zones in China. Acta Geogr. Sin. 2011, 66, 1443–1450. [Google Scholar]
- He, Q.; Zhou, G. The climatic suitability for maize cultivation in China. Chin. Sci. Bull. 2012, 57, 395–403. [Google Scholar] [CrossRef] [Green Version]
- Sun, J.; Zhou, G.; Sui, X. Climatic suitability of the distribution of the winter wheat cultivation zone in China. Eur. J. Agron. 2012, 43, 77–86. [Google Scholar]
- Irimia, L.M.; Patriche, C.V.; Quenol, H.; Sfîcă, L.; Foss, C. Shifts in climate suitability for wine production as a result of climate change in a temperate climate wine region of Romania. Theor. Appl. Climatol. 2017, 131, 1069–1081. [Google Scholar] [CrossRef]
- He, Q.; Zhou, G.; Lü, X.; Zhou, M. Climatic suitability and spatial distribution for summer maize cultivation in China at 1.5 and 2.0 °C global warming. Sci. Bull. 2019, 64, 690–697. [Google Scholar] [CrossRef] [Green Version]
- He, Y.; Yao, Y.; Tang, H.; Chen, Y.; Li, J.; Yang, P.; Chen, Z.; Xin, X.; Wang, L.; Li, D.; et al. Using an Integrated Response-Function Method to Explore Agro-Climatic Suitability for Spring Soybean Growth in North China. J. Appl. Meteorol. Climatol. 2011, 50, 1354–1361. [Google Scholar] [CrossRef]
- Holzkämper, A.; Calanca, P.; Fuhrer, J. Identifying climatic limitations to grain maize yield potentials using a suitability evaluation approach. Agric. For. Meteorol. 2013, 168, 149–159. [Google Scholar] [CrossRef]
- Zhao, J.; Guo, J.; Xu, Y.; Mu, J. Effects of climate change on cultivation patterns of spring maize and its climatic suitability in Northeast China. Agric. Ecosyst. Environ. 2015, 202, 178–187. [Google Scholar] [CrossRef]
- Ding, Y.; Wang, H. Newly acquired knowledge on the scientific issues related to climate change over the recent 100 years in China. Chin. Sci. Bull. 2015, 61, 1029–1041. [Google Scholar] [CrossRef] [Green Version]
- Zhou, T.J.; Zou, L.W.; Chen, X.L. Commentary on the Coupled Model Intercomparison Project Phase 6 (CMIP6). Clim. Chang. Res. 2019, 15, 445–456. [Google Scholar]
- Fu, Y.; Lin, Z.; Guo, D. Improvement of the simulation of the summer East Asian westerly jet from CMIP5 to CMIP6. Atmos. Ocean. Sci. Lett. 2020, 13, 550–558. [Google Scholar] [CrossRef] [Green Version]
- Kim, Y.-H.; Min, S.-K.; Zhang, X.; Sillmann, J.; Sandstad, M. Evaluation of the CMIP6 multi-model ensemble for climate extreme indices. Weather Clim. Extrem. 2020, 29, 100269. [Google Scholar] [CrossRef]
- Chen, H.; Sun, J.; Lin, W.; Xu, H. Comparison of CMIP6 and CMIP5 models in simulating climate extremes. Sci. Bull. 2020, 65, 1415–1418. [Google Scholar] [CrossRef]
- Wu, T.; Lu, Y.; Fang, Y.; Xin, X.; Li, L.; Li, W.; Jie, W.; Zhang, J.; Liu, Y.; Zhang, L.; et al. The Beijing Climate Center Climate System Model (BCC-CSM): Main Progress from CMIP5 to CMIP6. Geosci. Model Dev. Discuss. 2018, 12, 1573–1600. [Google Scholar] [CrossRef] [Green Version]
- Xin, X.G.; Wu, T.; Zhang, J.; Zhang, F.; Wei-Ping, L.I.; Zhang, Y.W.; Yi-Xiong, L.U.; Fang, Y.J.; Jie, W.H.; Zhang, L. Introduction of BCC models and its participation in CMIP6. Clim. Chang. Res. 2019, 15, 533–539. [Google Scholar]
- Sang, Y.; Ren, H.-L.; Shi, X.; Xu, X.; Chen, H. Improvement of Soil Moisture Simulation in Eurasia by the Beijing Climate Center Climate System Model from CMIP5 to CMIP6. Adv. Atmos. Sci. 2020, 38, 237–252. [Google Scholar] [CrossRef]
- Haarhoff, S.J.; Swanepoel, P.A. Plant Population and Maize Grain Yield: A Global Systematic Review of Rainfed Trials. Crop Sci. 2018, 58, 1819–1829. [Google Scholar] [CrossRef] [Green Version]
- Zhao, Y.; Xiao, D.; Bai, H.; Tao, F. Research progress on the response and adaptation of crop phenology to climate change in China. Prog. Geogr. 2019, 38, 224–235. [Google Scholar]
- National Bureau of Statistics of China. China Rural Statistical Yearbook; China Statistics Press: Beijing, China, 2018. [Google Scholar]
- Huang, S.; Lv, L.; Zhu, J.; Li, Y.; Tao, H.; Wang, P. Extending growing period is limited to offsetting negative effects of climate changes on maize yield in the North China Plain. Field Crops Res. 2018, 215, 66–73. [Google Scholar] [CrossRef]
- Xiao, D.; Tao, F. Contributions of cultivar shift, management practice and climate change to maize yield in North China Plain in 1981–2009. Int. J. Biometeorol. 2016, 60, 1111–1122. [Google Scholar] [CrossRef] [PubMed]
- Xiao, D.; Liu, D.L.; Wang, B.; Feng, P.; Waters, C. Designing high-yielding maize ideotypes to adapt changing climate in the North China Plain. Agric. Syst. 2020, 181, 102805. [Google Scholar] [CrossRef]
- Bai, H.; Xiao, D.; Wang, B.; Liu, D.L.; Feng, P.; Tang, J. Multi-model ensemble of CMIP6 projections for future extreme climate stress on wheat in the North China plain. Int. J. Climatol. 2020, 41, 1–16. [Google Scholar] [CrossRef]
- Xiao, D.; Liu, D.L.; Wang, B.; Feng, P.; Bai, H.; Tang, J. Climate change impact on yields and water use of wheat and maize in the North China Plain under future climate change scenarios. Agric. Water Manag. 2020, 238, 106238. [Google Scholar] [CrossRef]
- O’Neill, B.C.; Tebaldi, C.; van Vuuren, D.P.; Eyring, V.; Friedlingstein, P.; Hurtt, G.; Knutti, R.; Kriegler, E.; Lamarque, J.-F.; Lowe, J.; et al. The Scenario Model Intercomparison Project (ScenarioMIP) for CMIP6. Geosci. Model Dev. 2016, 9, 3461–3482. [Google Scholar] [CrossRef] [Green Version]
- Liu, D.L.; Zuo, H. Statistical downscaling of daily climate variables for climate change impact assessment over New South Wales, Australia. Clim. Chang. 2012, 115, 629–666. [Google Scholar] [CrossRef]
- Richardson, C.; Wright, D. WGEN: A Model for Generating Daily Weather Variables; USA Department of Agriculture, Agricultural Research Service: Springfield, VA, USA, 1984; Volume ARS-8. [Google Scholar]
- Asseng, S.; Keating, B.A.; Fillery, I.R.P.; Gregory, P.J.; Abrecht, D.G. Performance of the APSIM-wheat model in Western Australia. Field Crops Res. 1998, 57, 163–179. [Google Scholar] [CrossRef]
- Asseng, S.; Keulen; Stol, W. Performance and application of the APSIM Nwheat model in the Netherlands. Eur. J. Agron. 2000, 12, 37–54. [Google Scholar] [CrossRef]
- Keating, B.A.; Carberry, P.S.; Hammer, G.L.; Probert, M.E.; Robertson, M.J.; Holzworth, D.; Huth, N.I.; Hargreaves, J.N.G.; Meinke, H.; Hochman, Z. An overview of APSIM, a model designed for farming systems simulation. Eur. J. Agron. 2003, 18, 267–288. [Google Scholar] [CrossRef] [Green Version]
- Xiao, D.; Qi, Y.; Shen, Y.; Tao, F.; Moiwo, J.P.; Liu, J.; Wang, R.; Zhang, H.; Liu, F. Impact of warming climate and cultivar change on maize phenology in the last three decades in North China Plain. Theor. Appl. Climatol. 2016, 124, 653–661. [Google Scholar] [CrossRef]
- Teixeira, E.I.; Brown, H.E.; Michel, A.; Meenken, E.; Hu, W.; Thomas, S.; Huth, N.I.; Holzworth, D.P. Field estimation of water extraction coefficients with APSIM-Slurp for water uptake assessments in perennial forages. Field Crops Res. 2018, 222, 26–38. [Google Scholar] [CrossRef]
- Arshad, A.; Raza, M.A.; Zhang, Y.; Zhang, L.; Wang, X.; Ahmed, M.; Habib-ur-Rehman, M. Impact of Climate Warming on Cotton Growth and Yields in China and Pakistan: A Regional Perspective. Agriculture 2021, 11, 97. [Google Scholar] [CrossRef]
- Xiao, D.; Bai, H.; Liu, D.L.; Tang, J.; Wang, B.; Shen, Y.; Cao, J.; Feng, P. Projecting future changes in extreme climate for maize production in the North China Plain and the role of adjusting sowing date. Mitig. Adapt. Strateg. Glob. Chang. 2022, 27, 21. [Google Scholar] [CrossRef]
- Pu, J.Y.; Yao, X.Y.; Yao, R.X. Variations of summer and autumn grain crops’ climatic suitability in the areas east of Yellow River in Gansu in recent 40 years. Agric. Res. Arid. Areas 2011, 29, 253–258. [Google Scholar]
- Hou, Y.Y.; Zhang, Y.H.; Wang, L.Y.; Hou-Quan, L.; Song, Y.B. Climatic suitability model for spring maize in Northeast China. Chin. J. Appl. Ecol. 2013, 24, 3207–3212. [Google Scholar]
- Zhao, Y.; Xiao, D.; Bai, H.; Tang, J.Z. Climatic suitability degrees of winter wheat and summer maize in the North China Plain. Chin. J. Ecol. 2020, 39, 1–12. [Google Scholar]
- Zhao, F.; Qian, H.S.; Jiao, S.X. The climatic suitability model of crop: A case study of winter wheat in Henan province. Resour. Sci. 2003, 25, 77–82. [Google Scholar]
- Huang, H. A study on the climatic ecology adaptability of the crop production in the red and yellow soils region of China. J. Nat. Resour. 1996, 11, 340–346. [Google Scholar]
- Xu, L.; Lv, H.; Fang, L. Effect of Climate Change on the Climate Suitability of Summer Maize on the Huang-Huai-Hai Plain. Resour. Sci. 2014, 36, 0782–0787. [Google Scholar]
- Wang, E.; Han, X. The productivity evaluation and its application of winter wheat and summer maize in Huang-Huai-Hai region. Chin. J. Agrometeorol. 1990, 11, 41–46. [Google Scholar]
- Allen, R.; Pereira, L.; Dirk, R.; Smith, M. Crop Evapotranspiration Guidelines for Computing Crop Water Requirements; FAO Irrigation and Drainage Paper, No. 56; FAO—Food and Agriculture Organization of the United Nations: Rome, Italy, 1998; Volume 300, pp. 53–62. [Google Scholar]
- Wang, L.X.; Ren, Z.Y. Appraisal and analysis of agriculture eco-climatic amenity in Datong city of Shanxi province. Geogr. Res. 2007, 11, 319–324. [Google Scholar]
- Wang, Z.; Chen, J.; Li, Y.; Li, C.; Zhang, L.; Chen, F. Effects of climate change and cultivar on summer maize phenology. Int. J. Plant Prod. 2016, 10, 509–526. [Google Scholar]
- Xiao, D.; Zhao, Y.; Bai, H.; Hu, Y.; Cao, J. Impacts of climate warming and crop management on maize phenology in northern China. J. Arid. Land 2019, 11, 892–903. [Google Scholar] [CrossRef] [Green Version]
- Xiao, D.; Bai, H.; Liu, D. Impact of Future Climate Change on Wheat Production: A Simulated Case for China’s Wheat System. Sustainability 2018, 10, 1277. [Google Scholar] [CrossRef] [Green Version]
- Lobell, D.B.; Roberts, M.J.; Schlenker, W.; Braun, N.; Little, B.B.; Rejesus, R.M.; Hammer, G.L. Greater sensitivity to drought accompanies maize yield increase in the U.S. Midwest. Science 2014, 344, 516–519. [Google Scholar] [CrossRef]
- Zhao, C.; Liu, B.; Piao, S.; Wang, X.; Lobell, D.B.; Huang, Y.; Huang, M.; Yao, Y.; Bassu, S.; Ciais, P.; et al. Temperature increase reduces global yields of major crops in four independent estimates. Proc. Natl. Acad. Sci. USA 2017, 114, 9326–9331. [Google Scholar] [CrossRef] [Green Version]
- Bailey-Serres, J.; Parker, J.E.; Ainsworth, E.A.; Oldroyd, G.E.D.; Schroeder, J.I. Genetic strategies for improving crop yields. Nature 2019, 575, 109–118. [Google Scholar] [CrossRef] [Green Version]
- Bita, C.E.; Gerats, T. Plant tolerance to high temperature in a changing environment: Scientific fundamentals and production of heat stress-tolerant crops. Front. Plant Sci. 2013, 4, 273. [Google Scholar] [CrossRef] [PubMed] [Green Version]
- Wang, N.; Wang, E.; Wang, J.; Zhang, J.; Zheng, B.; Huang, Y.; Tan, M. Modelling maize phenology, biomass growth and yield under contrasting temperature conditions. Agric. For. Meteorol. 2018, 250–251, 319–329. [Google Scholar] [CrossRef]
- Siddik, M.A.; Zhang, J.; Chen, J.; Qian, H.; Jiang, Y.; Raheem, A.K.; Deng, A.; Song, Z.; Zheng, C.; Zhang, W. Responses of indica rice yield and quality to extreme high and low temperatures during the reproductive period. Eur. J. Agron. 2019, 106, 30–38. [Google Scholar] [CrossRef]
- Owusu Danquah, E.; Beletse, Y.; Stirzaker, R.; Smith, C.; Yeboah, S.; Oteng-Darko, P.; Frimpong, F.; Ennin, S.A. Monitoring and Modelling Analysis of Maize (Zea mays L.) Yield Gap in Smallholder Farming in Ghana. Agriculture 2020, 10, 420. [Google Scholar] [CrossRef]
- Zhai, L.; Zhang, L.; Yao, H.; Zheng, M.; Ming, B.; Xie, R.; Zhang, J.; Jia, X.; Ji, J. The Optimal Cultivar × Sowing Date × Plant Density for Grain Yield and Resource Use Efficiency of Summer Maize in the Northern Huang-Huai-Hai Plain of China. Agriculture 2021, 12, 7. [Google Scholar] [CrossRef]
- Lv, Z.; Li, F.; Lu, G. Adjusting sowing date and cultivar shift improve maize adaption to climate change in China. Mitig. Adapt. Strateg. Glob. Chang. 2020, 25, 87–106. [Google Scholar] [CrossRef]
- Lin, W.; Chen, H. Assessment of model performance of precipitation extremes over the mid-high latitude areas of Northern Hemisphere: From CMIP5 to CMIP6. Atmos. Ocean. Sci. Lett. 2020, 13, 598–603. [Google Scholar] [CrossRef]
- Luo, N.; Guo, Y.; Gao, Z.B.; Chen, K.; Chou, J. Assessment of CMIP6 and CMIP5 model performance for extreme temperature in China. Atmos. Ocean. Sci. Lett. 2020, 13, 589–597. [Google Scholar] [CrossRef]
- Wang, B.; Liu, D.L.; Macadam, I.; Alexander, L.V.; Abramowitz, G.; Yu, Q. Multi-model ensemble projections of future extreme temperature change using a statistical downscaling method in south eastern Australia. Clim. Chang. 2016, 138, 85–98. [Google Scholar] [CrossRef]
- Wang, B.; Feng, P.; Li Liu, D.; O’Leary, G.J.; Macadam, I.; Waters, C.; Asseng, S.; Cowie, A.; Jiang, T.; Xiao, D. Sources of uncertainty for wheat yield projections under future climate are site-specific. Nat. Food 2020, 1, 720–728. [Google Scholar] [CrossRef]









| Parameters | VGP | RGP |
|---|---|---|
| r | 5.01 | 5.19 |
| T1 | 20 | 10 |
| T0 | 25 | 22 |
| T2 | 35 | 32 |
| Kc | 0.7 | 0.9 |
Publisher’s Note: MDPI stays neutral with regard to jurisdictional claims in published maps and institutional affiliations. |
© 2022 by the authors. Licensee MDPI, Basel, Switzerland. This article is an open access article distributed under the terms and conditions of the Creative Commons Attribution (CC BY) license (https://creativecommons.org/licenses/by/4.0/).
Share and Cite
Zhao, Y.; Xiao, D.; Bai, H.; Tang, J.; Liu, D. Future Projection for Climate Suitability of Summer Maize in the North China Plain. Agriculture 2022, 12, 348. https://doi.org/10.3390/agriculture12030348
Zhao Y, Xiao D, Bai H, Tang J, Liu D. Future Projection for Climate Suitability of Summer Maize in the North China Plain. Agriculture. 2022; 12(3):348. https://doi.org/10.3390/agriculture12030348
Chicago/Turabian StyleZhao, Yanxi, Dengpan Xiao, Huizi Bai, Jianzhao Tang, and Deli Liu. 2022. "Future Projection for Climate Suitability of Summer Maize in the North China Plain" Agriculture 12, no. 3: 348. https://doi.org/10.3390/agriculture12030348
APA StyleZhao, Y., Xiao, D., Bai, H., Tang, J., & Liu, D. (2022). Future Projection for Climate Suitability of Summer Maize in the North China Plain. Agriculture, 12(3), 348. https://doi.org/10.3390/agriculture12030348

