Climate Change Affects the Utilization of Light and Heat Resources in Paddy Field on the Songnen Plain, China
Abstract
1. Introduction
2. Materials and Methods
2.1. Study Site
2.2. Field Experimental Data
2.3. Climate Data
2.4. Model Simulations
2.4.1. CERES-Rice Model
2.4.2. Model Calibration and Validation
2.4.3. Simulation Scenarios
2.5. Indicator Calculation Method
2.5.1. Statistical Indices for Model Evaluation
2.5.2. Light and Heat Resources Utilization Evaluation Index
- (1)
- Light and temperature resources utilization
- (2)
- Light utilization efficiency
- (3)
- Heat utilization efficiency
2.6. Data Analysis
3. Results
3.1. Calibration and Validation of the CERES-Rice Model
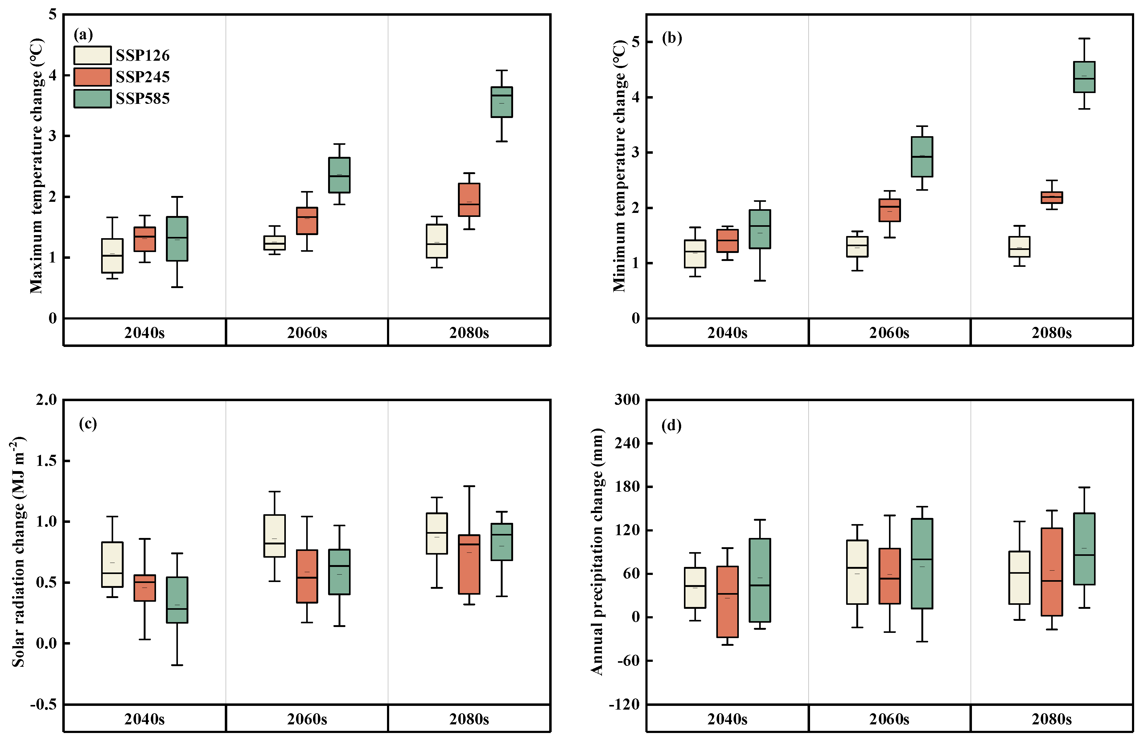
3.2. Projected Climate Change in Rice Growth Period in the Future
3.3. Impacts of Climate Change on Rice Phenology and Yield
3.4. Impacts of Climate Change on the Light and Heat Resources Utilization
3.5. The Impact of Different Sowing Dates on Rice Yield and Light and Heat Resources Utilization
4. Discussion
4.1. Performance of the CERES-Rice Model
4.2. Impacts of Future Climate Change on Rice Growth
4.3. Adaptive Strategies for Rice Production in Response to Climate Change
4.4. Uncertainty and Limitations of This Study
5. Conclusions
Author Contributions
Funding
Institutional Review Board Statement
Informed Consent Statement
Data Availability Statement
Conflicts of Interest
References
- IPCC. Climate Change 2021: The Physical Science Basis; Cambridge University Press: Cambridge, UK, 2021. [Google Scholar]
- IPCC. Climate Change 2022: Impacts, Adaptation, and Vulnerability; Cambridge University Press: Cambridge, UK, 2022. [Google Scholar]
- Asseng, S.; Ewert, F.; Martre, P.; Rotter, R.P.; Lobell, D.B.; Cammarano, D.; Kimball, B.A.; Ottman, M.J.; Wall, G.W.; White, J.W.; et al. Rising temperatures reduce global wheat production. Nat. Clim. Change 2014, 5, 143–147. [Google Scholar] [CrossRef]
- Wang, J.-X.; Huang, J.-K.; Yang, J. Overview of impacts of climate change and adaptation in china’s agriculture. J. Integr. Agric. 2014, 13, 1–17. [Google Scholar] [CrossRef]
- Gao, M.; Yang, H.; Xiao, Q.; Goh, M. A novel method for carbon emission forecasting based on gompertz’s law and fractional grey model: Evidence from american industrial sector. Renew. Energy 2022, 181, 803–819. [Google Scholar] [CrossRef]
- Gao, M.; Yang, H.; Xiao, Q.; Goh, M. COVID-19 lockdowns and air quality: Evidence from grey spatiotemporal forecasts. Socio-Econ. Plan. Sci. 2022, 83, 101228. [Google Scholar] [CrossRef]
- Gao, M.; Yang, H.; Xiao, Q.; Goh, M. A novel fractional grey Riccati model for carbon emission prediction. J. Clean. Prod. 2021, 282, 124471. [Google Scholar] [CrossRef]
- Ahmad, M.J.; Iqbal, M.A.; Choi, K.S. Climate-driven constraints in sustaining future wheat yield and water productivity. Agric. Water Manag. 2021, 231, 105991. [Google Scholar] [CrossRef]
- Cui, Z.; Zhang, H.; Chen, X.; Zhang, C.; Ma, W.; Huang, C.; Zhang, W.; Mi, G.; Miao, Y.; Li, X.; et al. Pursuing sustainable productivity with millions of smallholder farmers. Nature 2018, 555, 363–366. [Google Scholar] [CrossRef]
- Bandumula, N. Rice Production in Asia: Key to Global Food Security. Proc. Natl. Acad. Sci. India Sect. B Biol. Sci. 2017, 88, 1323–1328. [Google Scholar] [CrossRef]
- Zhang, L.; Zhang, Z.; Tao, F.; Luo, Y.; Zhang, J.; Cao, J. Adapting to climate change precisely through cultivars renewal for rice production across China: When, where, and what cultivars will be required? Agric. For. Meteorol. 2022, 316, 108856. [Google Scholar] [CrossRef]
- Barrios, S.; Ouattara, B.; Strobl, E. The impact of climatic change on agricultural production: Is it different for africa? Food Policy 2008, 33, 287–298. [Google Scholar] [CrossRef]
- He, H.; Hu, Q.; Li, R.; Pan, X.; Huang, B.; He, Q. Regional gap in maize production, climate and resource utilization in China. Field Crop. Res. 2020, 254, 107830. [Google Scholar] [CrossRef]
- Qu, C.-H.; Li, X.-X.; Ju, H.; Liu, Q. The impacts of climate change on wheat yield in the Huang-Huai-Hai Plain of China using DSSAT-CERES-Wheat model under different climate scenarios. J. Integr. Agric. 2019, 18, 1379–1391. [Google Scholar] [CrossRef]
- Thorburn, P.J.; Boote, K.J.; Nendel, C.; Rötter, R.P.; Ewert, F. Recent advances in crop modelling to support sustainable agricultural production and food security under global change. Eur. J. Agron. 2018, 100, 1–3. [Google Scholar] [CrossRef]
- Wang, W.; Yu, Z.; Zhang, W.; Shao, Q.; Luo, Y.; Jiao, X.; Xu, J. Responses of rice yield, irrigation water requirement and water use efficiency to climate change in China: Historical simulation and future projections. Agric. Water Manag. 2014, 146, 249–261. [Google Scholar] [CrossRef]
- Rosenzweig, C.; Elliott, J.; Deryng, D.; Ruane, A.C.; Müller, C.; Arneth, A.; Boote, K.J.; Folberth, C.; Glotter, M.; Khabarov, N.; et al. Assessing agricultural risks of climate change in the 21st century in a global gridded crop model intercomparison. Proc. Natl. Acad. Sci. USA 2014, 111, 3268–3273. [Google Scholar] [CrossRef]
- Kang, X.; Qi, J.; Li, S.; Meng, F.-R. A watershed-scale assessment of climate change impacts on crop yields in Atlantic Canada. Agric. Water Manag. 2022, 269, 107680. [Google Scholar] [CrossRef]
- Zheng, E.; Zhang, C.; Qi, Z.; Zhang, Z. Experimental study on radiation utilization efficiency and soil temperature in paddy field with different irrigation methods in Northeast China. Paddy Water Environ. 2019, 18, 179–191. [Google Scholar] [CrossRef]
- Chen, P.; Xu, J.; Zhang, Z.; Wang, K.; Li, T.; Wei, Q.; Li, Y. Carbon pathways in aggregates and density fractions in Mollisols under water and straw management: Evidence from 13C natural abundance. Soil Biol. Biochem. 2022, 169, 108684. [Google Scholar] [CrossRef]
- Yang, X.; Zhou, B.; Xu, Y.; Han, Z. CMIP6 Evaluation and Projection of Temperature and Precipitation over China. Adv. Atmos. Sci. 2021, 38, 817–830. [Google Scholar] [CrossRef]
- Xin, X.; Wu, T.; Zhang, J.; Yao, J.; Fang, Y. Comparison of CMIP6 and CMIP5 simulations of precipitation in China and the East Asian summer monsoon. Int. J. Clim. 2020, 40, 6423–6440. [Google Scholar] [CrossRef]
- Chen, H.; Sun, J.; Lin, W.; Xu, H. Comparison of CMIP6 and CMIP5 models in simulating climate extremes. Sci. Bull. 2020, 65, 1415–1418. [Google Scholar] [CrossRef]
- Liu, D.L.; Zuo, H. Statistical downscaling of daily climate variables for climate change impact assessment over New South Wales, Australia. Clim. Chang. 2012, 115, 629–666. [Google Scholar] [CrossRef]
- Wang, B.; Liu, D.L.; O’Leary, G.J.; Asseng, S.; Macadam, I.; Lines-Kelly, R.; Yang, X.; Clark, A.; Crean, J.; Sides, T.; et al. Australian wheat production expected to decrease by the late 21st century. Glob. Chang. Biol. 2018, 24, 2403–2415. [Google Scholar] [CrossRef]
- Jiang, T.; Wang, B.; Xu, X.; Cao, Y.; Liu, D.L.; He, L.; Jin, N.; Ma, H.; Chen, S.; Zhao, K.; et al. Identifying sources of uncertainty in wheat production projections with consideration of crop climatic suitability under future climate. Agric. For. Meteorol. 2022, 319, 108933. [Google Scholar] [CrossRef]
- Huang, M.; Wang, J.; Wang, B.; Liu, D.L.; Feng, P.; Yu, Q.; Pan, X.; Li, S.; Jiang, T. Dominant sources of uncertainty in simulating maize adaptation under future climate scenarios in China. Agric. Syst. 2022, 199, 103411. [Google Scholar] [CrossRef]
- Wang, B.; Feng, P.; Liu, D.L.; O’Leary, G.J.; Macadam, I.; Waters, C.; Asseng, S.; Cowie, A.; Jiang, T.; Xiao, D.; et al. Sources of uncertainty for wheat yield projections under future climate are site-specific. Nat. Food 2020, 1, 720–728. [Google Scholar] [CrossRef]
- Wang, B.; Liu, D.L.; Macadam, I.; Alexander, L.V.; Abramowitz, G.; Yu, Q. Multi-model ensemble projections of future extreme temperature change using a statistical downscaling method in south eastern Australia. Clim. Chang. 2016, 138, 85–98. [Google Scholar] [CrossRef]
- Jones, J.W.; Hoogenboom, G.; Porter, C.H.; Boote, K.J.; Batchelor, W.D.; Hunt, L.A.; Wilkens, P.W.; Singh, U.; Gijsman, A.J.; Ritchie, J.T. The dssat cropping system model. Eur. J. Agron. 2003, 18, 235–265. [Google Scholar] [CrossRef]
- Gao, F.; Luan, X.; Yin, Y.; Sun, S.; Li, Y.; Mo, F.; Wang, J. Exploring long-term impacts of different crop rotation systems on sustainable use of groundwater resources using DSSAT model. J. Clean. Prod. 2022, 336, 130377. [Google Scholar] [CrossRef]
- Tooley, B.E.; Mallory, E.B.; Porter, G.A.; Hoogenboom, G. Predicting the response of a potato-grain production system to climate change for a humid continental climate using DSSAT. Agric. For. Meteorol. 2021, 307, 108452. [Google Scholar] [CrossRef]
- Chen, S.; Jiang, T.; Ma, H.; He, C.; Xu, F.; Malone, R.W.; Feng, H.; Yu, Q.; Siddique, K.H.; Dong, Q.; et al. Dynamic within-season irrigation scheduling for maize production in Northwest China: A Method Based on Weather Data Fusion and yield prediction by DSSAT. Agric. For. Meteorol. 2020, 285–286, 107928. [Google Scholar] [CrossRef]
- Boonwichai, S.; Shrestha, S.; Babel, M.S.; Weesakul, S.; Datta, A. Evaluation of climate change impacts and adaptation strategies on rainfed rice production in Songkhram River Basin, Thailand. Sci. Total Environ. 2019, 652, 189–201. [Google Scholar] [CrossRef]
- Kontgis, C.; Schneider, A.; Ozdogan, M.; Kucharik, C.; Tri, V.P.D.; Duc, N.H.; Schatz, J. Climate change impacts on rice productivity in the Mekong River Delta. Appl. Geogr. 2019, 102, 71–83. [Google Scholar] [CrossRef]
- Kadiyala, M.; Jones, J.; Mylavarapu, R.; Li, Y.; Reddy, M. Identifying irrigation and nitrogen best management practices for aerobic rice–maize cropping system for semi-arid tropics using CERES-rice and maize models. Agric. Water Manag. 2015, 149, 23–32. [Google Scholar] [CrossRef]
- Arunrat, N.; Sereenonchai, S.; Chaowiwat, W.; Wang, C. Climate change impact on major crop yield and water footprint under CMIP6 climate projections in repeated drought and flood areas in Thailand. Sci. Total Environ. 2022, 807, 150741. [Google Scholar] [CrossRef]
- Tan, L.; Feng, P.; Li, B.; Huang, F.; Liu, D.L.; Ren, P.; Liu, H.; Srinivasan, R.; Chen, Y. Climate change impacts on crop water productivity and net groundwater use under a double-cropping system with intensive irrigation in the Haihe River Basin, China. Agric. Water Manag. 2022, 266, 107560. [Google Scholar] [CrossRef]
- Yue, Y.; Yan, D.; Yue, Q.; Ji, G.; Wang, Z. Future changes in precipitation and temperature over the Yangtze River Basin in China based on CMIP6 GCMs. Atmos. Res. 2021, 264, 105828. [Google Scholar] [CrossRef]
- Osman, R.; Ata-Ul-Karim, S.T.; Tahir, M.N.; Ishaque, W.; Xu, M. Multi-model ensembles for assessing the impact of future climate change on rainfed wheat productivity under various cultivars and nitrogen levels. Eur. J. Agron. 2022, 139, 105828. [Google Scholar] [CrossRef]
- Chen, X.; Wang, L.; Niu, Z.; Zhang, M.; Li, C.; Li, J. The effects of projected climate change and extreme climate on maize and rice in the Yangtze River Basin, China. Agric. For. Meteorol. 2020, 282, 107867. [Google Scholar] [CrossRef]
- Ahmed, K.; Sachindra, D.A.; Shahid, S.; Demirel, M.C.; Chung, E.-S. Selection of multi-model ensemble of general circulation models for the simulation of precipitation and maximum and minimum temperature based on spatial assessment metrics. Hydrol. Earth Syst. Sci. 2019, 23, 4803–4824. [Google Scholar] [CrossRef]
- Funes, I.; Savé, R.; de Herralde, F.; Biel, C.; Pla, E.; Pascual, D.; Zabalza, J.; Cantos, G.; Borràs, G.; Vayreda, J.; et al. Modeling impacts of climate change on the water needs and growing cycle of crops in three Mediterranean basins. Agric. Water Manag. 2021, 249, 106797. [Google Scholar] [CrossRef]
- Li, N.; Li, Y.; Biswas, A.; Wang, J.; Dong, H.; Chen, J.; Liu, C.; Fan, X. Impact of climate change and crop management on cotton phenology based on statistical analysis in the main-cotton-planting areas of China. J. Clean. Prod. 2021, 298, 126750. [Google Scholar] [CrossRef]
- Liu, Y.; Dai, L. Modelling the impacts of climate change and crop management measures on soybean phenology in China. J. Clean. Prod. 2020, 262, 121271. [Google Scholar] [CrossRef]
- Li, M.; Tang, Y.; Li, C.; Wu, X.; Tao, X.; Liu, M. Climate warming causes changes in wheat phenological development that benefit yield in the Sichuan Basin of China. Eur. J. Agron. 2022, 139, 105828. [Google Scholar] [CrossRef]
- Zhou, N.-B.; Zhang, J.; Fang, S.-L.; Wei, H.-Y.; Zhang, H.-C. Effects of temperature and solar radiation on yield of good eating-quality rice in the lower reaches of the Huai River Basin, China. J. Integr. Agric. 2021, 20, 1762–1774. [Google Scholar] [CrossRef]
- Rao, G.-S.; Ashraf, U.; Kong, L.-L.; Mo, Z.-W.; Xiao, L.-Z.; Zhong, K.-Y.; Rasul, F.; Tang, X.-R. Low soil temperature and drought stress conditions at flowering stage affect physiology and pollen traits of rice. J. Integr. Agric. 2019, 18, 1859–1870. [Google Scholar] [CrossRef]
- Mi, N.; Zhang, F.; Zhao, Y.; Zhang, Y.; Ji, R.; Yu, W.; Chen, N.; Jiang, Y.; Qi, H.; Wu, J. Evaluation on the utilization efficiency of light and heat resources in maize interval tillage straw strip returning technology. J. Agric. Resour. Environ. 2021, 38, 475–483. [Google Scholar]
- Ding, Y.; Wang, W.; Zhuang, Q.; Luo, Y. Adaptation of paddy rice in China to climate change: The effects of shifting sowing date on yield and irrigation water requirement. Agric. Water Manag. 2020, 228, 105890. [Google Scholar] [CrossRef]
- Tu, D.; Jiang, Y.; Liu, M.; Zhang, L.; Chen, L.; Cai, M.; Ling, X.; Zhan, M.; Li, C.; Wang, J.; et al. Improvement and stabilization of rice production by delaying sowing date in irrigated rice system in central China. J. Sci. Food Agric. 2020, 100, 595–606. [Google Scholar] [CrossRef]
- Deng, F.; Zhang, C.; He, L.; Liao, S.; Li, Q.; Li, B.; Zhu, S.; Gao, Y.; Tao, Y.; Zhou, W.; et al. Delayed sowing date improves the quality of mechanically transplanted rice by optimizing temperature conditions during growth season. Field Crop. Res. 2022, 281, 108493. [Google Scholar] [CrossRef]
- Wang, X.; Jing, Z.-H.; He, C.; Liu, Q.-Y.; Jia, H.; Qi, J.-Y.; Zhang, H.-L. Breeding rice varieties provides an effective approach to improve productivity and yield sensitivity to climate resources. Eur. J. Agron. 2021, 124, 126239. [Google Scholar] [CrossRef]










| No. | Model Name | Institute and Country | Atmospheric Resolution (lon × lat: Number of Grids, L: Vertical Levels) |
|---|---|---|---|
| 1 | ACCESS-CM2 | Commonwealth Scientific and Industrial Research Organization, Australian | 192 × 144, L85 |
| 2 | BCC-CSM2-MR | Beijing Climate Center, China | 320 × 160, L46 |
| 3 | EC-Earth3 | EC-Earth Consortium, Europe | 512 × 256, L91 |
| 4 | GFDL-ESM4 | National Oceanic and Atmospheric Administration, Geophysical Fluid Dynamics Laboratory, USA | 288 × 180, L49 |
| 5 | MPI-ESM1-2-HR | Max Planck Institute for Meteorology, Germany | 384 × 192, L95 |
| 6 | MRI-ESM2-0 | Meteorological Research Institute, Japan | 320 × 160, L80 |
| Cultivar Parameter | Physical Significance | Range | Value | |
|---|---|---|---|---|
| Phenology Parameters | P1 | The amount of heat hours required during the basic vegetative phase of the plant (°C·d) | 150~800 | 338.4 |
| P2R | The extent to which phase development leading to panicle initiation is delayed (°C·d) | 5~300 | 57.56 | |
| P5 | The amount of heat hours required from the beginning of grout to physiological maturity (°C·d) | 150~850 | 328.3 | |
| P2O | Critical photoperiod or the longest day length at which the development occurs at a maximum rate (h) | 11~13 | 12.73 | |
| Growth Parameters | G1 | Potential spikelet number coefficient | 50~75 | 74.3 |
| G2 | Single grain weight under ideal growing conditions (g) | 0.015~0.03 | 0.019 | |
| G3 | Tillering coefficient relative to IR64 cultivar under ideal conditions | 0.7~1.3 | 0.747 | |
| PHINT | Phyllochron interval (°C·d) | 55~90 | 74.01 | |
| Item | a | b | c | R2 |
|---|---|---|---|---|
| −7.972 *** | 2.904 * | 4.569 *** | 0.717 | |
| −7.440 *** | 1.905 | −1.365 | 0.779 | |
| −0.044 *** | 0.024 | −0.035 * | 0.331 | |
| −0.619 *** | 0.152 | 0.252 ** | 0.697 | |
Publisher’s Note: MDPI stays neutral with regard to jurisdictional claims in published maps and institutional affiliations. |
© 2022 by the authors. Licensee MDPI, Basel, Switzerland. This article is an open access article distributed under the terms and conditions of the Creative Commons Attribution (CC BY) license (https://creativecommons.org/licenses/by/4.0/).
Share and Cite
Zheng, E.; Qin, M.; Chen, P.; Xu, T.; Zhang, Z. Climate Change Affects the Utilization of Light and Heat Resources in Paddy Field on the Songnen Plain, China. Agriculture 2022, 12, 1648. https://doi.org/10.3390/agriculture12101648
Zheng E, Qin M, Chen P, Xu T, Zhang Z. Climate Change Affects the Utilization of Light and Heat Resources in Paddy Field on the Songnen Plain, China. Agriculture. 2022; 12(10):1648. https://doi.org/10.3390/agriculture12101648
Chicago/Turabian StyleZheng, Ennan, Mengting Qin, Peng Chen, Tianyu Xu, and Zhongxue Zhang. 2022. "Climate Change Affects the Utilization of Light and Heat Resources in Paddy Field on the Songnen Plain, China" Agriculture 12, no. 10: 1648. https://doi.org/10.3390/agriculture12101648
APA StyleZheng, E., Qin, M., Chen, P., Xu, T., & Zhang, Z. (2022). Climate Change Affects the Utilization of Light and Heat Resources in Paddy Field on the Songnen Plain, China. Agriculture, 12(10), 1648. https://doi.org/10.3390/agriculture12101648

