Spatial-Temporal Variation of N, P, and K Stoichiometry in Cropland of Hainan Island
Abstract
:1. Introduction
2. Method
2.1. Study Site
2.2. Sample Collection and Determination
2.3. Data Analysis
3. Result
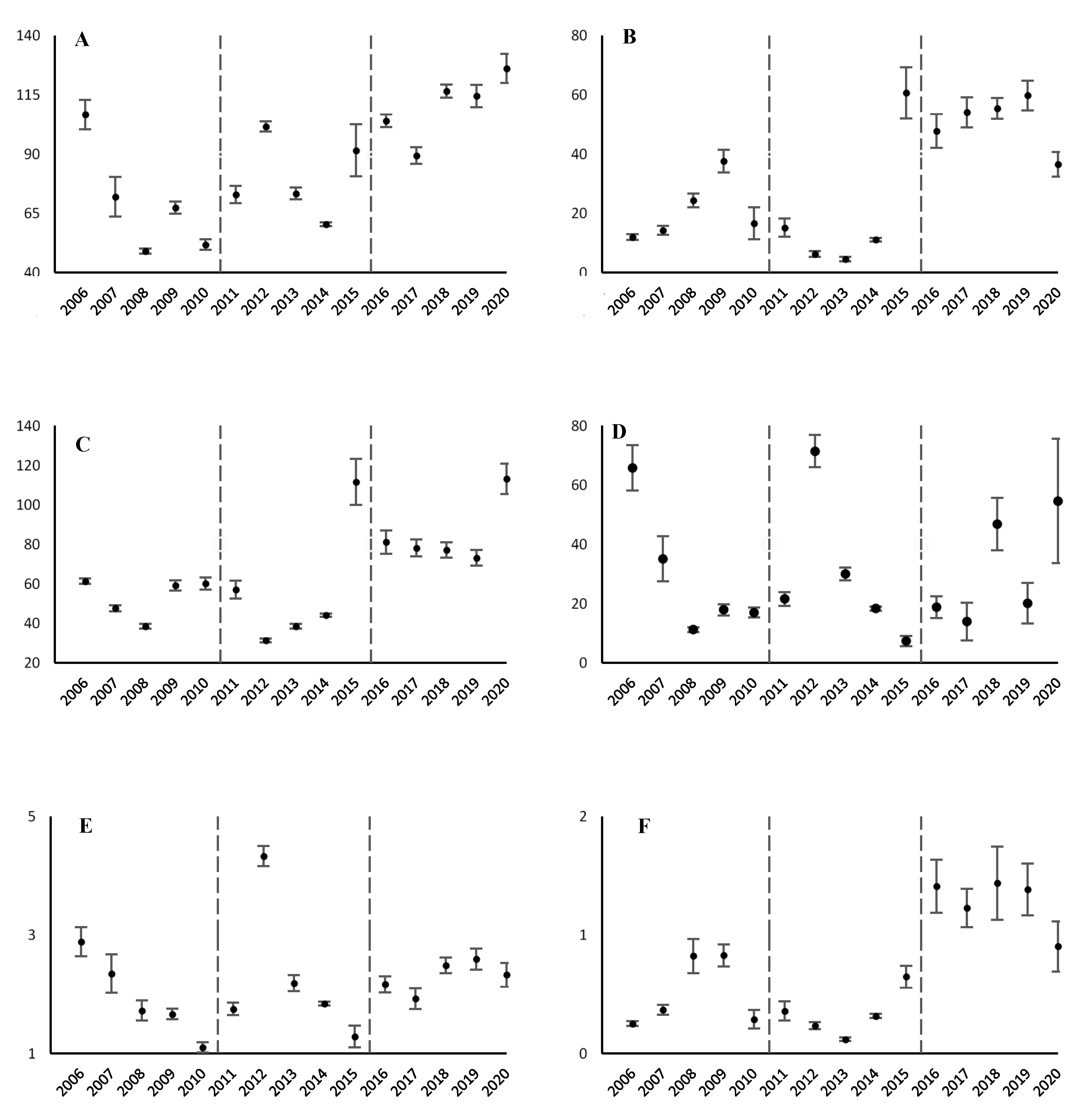
3.1. Variation of Stoichiometry of N, P, and K with Time
3.2. Spatial Variation of Available N, P, and K Stoichiometry
3.3. The Relationship of Available Nitrogen, Phosphorus, and Potassium on Time Scale
4. Discussion
5. Conclusions
Author Contributions
Funding
Institutional Review Board Statement
Informed Consent Statement
Data Availability Statement
Acknowledgments
Conflicts of Interest
References
- Yang, S.; Shi, Z.Y.; Zhang, M.H.; Li, Y.; Gao, J.K.; Wang, X.G. Stoichiometry of Carbon, Nitrogen and Phosphorus in Shrub Organs Linked Closely with Mycorrhizal Strategy in Northern China. Front. Plant Sci. 2021, 12, 687347. [Google Scholar] [CrossRef] [PubMed]
- Poschenrieder, C.; Busoms, S.; Barcelo, J. How Plants Handle Trivalent (+3) Elements. Int. J. Mol. Sci. 2019, 20, 3984. [Google Scholar] [CrossRef] [PubMed] [Green Version]
- Van de Waal, D.B.; Elser, J.J.; Martiny, A.C.; Sterner, R.W.; Cotner, J.B. Editorial: Progress in Ecological Stoichiometry. Front. Microbiol. 2018. [Google Scholar] [CrossRef]
- Sadaf, J.; Shah, G.A.; Shahzad, K.; Ali, N.; Shahid, M.; Ali, S.; Hussain, R.A.; Ahmed, Z.I.; Traore, B.I.; Ismail, M.I. Improvements in wheat productivity and soil quality can accomplish by co-application of biochars and chemical fertilizers. Sci. Total Environ. 2017, 6, 715–724. [Google Scholar] [CrossRef] [PubMed]
- Li, Z.; Schneider, R.L.; Morreale, S.J.; Xie, Y.; Li, C.; Li, J. Woody organic amendments for retaining soil water, improving soil properties and enhancing plant growth in desertified soils of Ningxia, China. Geoderma 2018, 310, 143–152. [Google Scholar] [CrossRef]
- Zechmeister-Boltenstern, S.; Keiblinger, K.M.; Mooshammer, M. The application of ecological stoichiometry to plant-microbial-soil organic matter transformations. Ecol. Monogr. 2015, 85, 133–155. [Google Scholar] [CrossRef] [Green Version]
- Zhao, F.; Kang, D.; Han, X. Soil stoichiometry and carbon storage in long-term afforestation soil affected by understory vegetation diversity. Ecol. Eng. 2015, 74, 415–422. [Google Scholar] [CrossRef]
- Griffiths, B.S.; Spilles, A.; Bonkowski, M. C: N: P stoichiometry and nutrient limitation of the soil microbial biomass in a grazed grassland site under ex perimental Plimitation or excess. Ecol. Processes 2012, 1, 1–11. [Google Scholar]
- Li, Z.; Zhao, B.; Olk, D.C.; Jia, Z.; Mao, J.; Cai, Y.; Zhang, J. Contributions of residue-C and -N to plant growth and soil organic matter pools under planted and unplanted conditions. Soil Biol. Biochem. 2018, 120, 91–104. [Google Scholar] [CrossRef]
- Wang, R.; Yao, Z.; Lei, Y. Modeling of soil available phosphorus surplus in an intensive wheat–maize rotation production area of the North China Plain. Agric. Ecosyst. Environ. 2019, 269, 22–29. [Google Scholar] [CrossRef]
- Rivas-Ubach, A.; Sardans, J.; Pérez-Trujillo, M.; Estiarte, M.; Peñuelas, J. Strong relationship between elemental sotichiometry and metabolome in plants. Proc. Natl. Acad. Sci. USA 2012, 109, 4181–4186. [Google Scholar] [CrossRef] [Green Version]
- Sardans, J.; Peñuelas, J. Climate and taxonomy underlie different elemental concentrations and stoichiometries of forest species: The optimum“biogeochemical niche”. Plant Ecol. 2014, 215, 441–455. [Google Scholar] [CrossRef] [PubMed] [Green Version]
- Sardans, J.; Peñuelas, J. Potassium: A neglected nutrient in global change. Glob. Ecol. Biogeogr. 2015, 24, 261–275. [Google Scholar] [CrossRef] [Green Version]
- Ren, S.J.; Yu, G.R.; Tao, B.; Wang, S.Q. Leaf Nitrogen and Phosphorus Stoichiometry Across 654 Terrestrial Plant Species in NSTEC. Environ. Sci. 2007, 28, 2665–2673. [Google Scholar]
- Yin, X.R.; Liang, C.Z.; Wang, L.X.; Wang, W.; Liu, Z.L.; Liu, X.P. Ecological stoichiometry of plant nutrients at different restoration succession stages in typical steppe of Inner Mongolia, China. Chinese J. Plant Ecol. 2010, 1, 39–47. [Google Scholar]
- Williamson, T.J.; Cross, W.F.; Benstead, J.P.; Gíslason, G.M.; Hood, J.M.; Huryn, A.D.; Johnson, P.W.; Welter, J.R. Warming alters coupled carbon and nutrient cycles in experimental streams. Glob. Chang. Biol. 2016, 22, 2152–2164. [Google Scholar] [CrossRef] [Green Version]
- Tian, L.M.; Zhao, L.; Wu, X.D.; Fang, H.B.; Zhao, Y.H.; Hu, G.J.; Yue, G.Y.; Sheng, Y.; Wu, J.C.; Chen, J.; et al. Soil moisture and texture primarily control the soil nutrient stoichiometry across the Tibetan grassland. Sci. Total Environ. 2018, 622, 192–202. [Google Scholar] [CrossRef]
- Wang, W.; Sardans, J.; Zeng, C.; Zhong, C.; Li, Y.; Peñuelas, J. Responses of soil nutrient concentrations and stoichiometry to different human land uses in a subtropical tidal wetland. Geoderma 2014, 232, 459–470. [Google Scholar] [CrossRef] [Green Version]
- Zhang, H.D.; Ru, H.L.; Jiao, F.; Xue, C.; Guo, M. C, N, P, K Stoichiometric Characteristic of Leaves, Root and Soil in Different Abandoned Years in Loess Plateau. Environ. Sci. 2016, 37, 1128–1138. [Google Scholar]
- Dise, N.B.; Matzner, E.; Forsius, M. Evaluation of organic horizon C: N ratio as an indicator of nitrate leaching in conifer forests across Europe. J. Environ. Pollut. 1998, 102, 453–456. [Google Scholar] [CrossRef]
- Qin, J.; Kong, H.Y.; Liu, H. Stoichiometric characteristics of soil C, N, P and K in different Pinus massonianaforests. J. Northwest. Univ. 2016, 44, 68–82. [Google Scholar]
- Gong, L.; Li, H.L.; Liu, Y.T.; An, S.Q. Effects of nitrogen and phosphorus fertilizers on carbon, nitrogen, and phosphorus stoichiometry of oasis cotton in the upper reaches of Tarim River, Xinjiang, China. Acta Ecol. Sin. 2017, 37, 7689–7697. [Google Scholar]
- Wang, F.K.; Xue, K.; Fu, W.G. Effects of soil nitrogen and phosphorus contents on ecological stoichiometry of wheat leaf. Chin. J. Eco-Agric. 2019, 27, 60–71. [Google Scholar]
- Wu, H.Y.; Wang, Y.; Zhao, T.H.; Tian, R.R.; Zhang, M.; Sun, M.Y. Elevated ozone affects N and P ecological stoichiometry of soybean. Ecol. Environ. Sci. 2019, 28, 299–306. [Google Scholar]
- Luo, Y.; Gong, L.; Li, Y.M. Stoichiometry characteristics of root, stem and leaf of maize in different growth stages in the upper reaches of the Tarim River. Res. Soil Water Conserv. 2018, 25, 112–119. [Google Scholar]
- Song, G.X.; Zhang, J.; Wang, K. Selection of Optimal Auxiliary Soil Nutrient Variables for Cokriging Interpolation. PLoS ONE 2014, 9, e99695. [Google Scholar] [CrossRef] [PubMed]
- Zhao, C.J.; Xue, X.Z.; Wang, X.; Chen, L.P.; Pan, Y.C.; Meng, Z.J. Advance and prospects of precision agriculture technology system. Trans. CSAE 2003, 19, 7–12. [Google Scholar]
- Gemtos, T.; Fountas, S.; Tagarakis, A.; Liakos, V. Precision Agriculture Application in Fruit Crops: Experience in Handpicked. Fruits. Proc. Technol. 2013, 8, 324–332. [Google Scholar] [CrossRef] [Green Version]
- Wang, D.F.; Wei, Z.Y.; Qi, Z.P. Research on the degradation of tropical arable land soil: Part II the distribution of soil nutrients in Eastern part of Hainan Island. In Proceedings of the 3rd International Conference on Photonics and Image in Agriculture Engineering (PIAGENG), Sanya, China, 27–28 January 2013; SPIE: Bellingham, WA, USA, 2013; Volume 8762. [Google Scholar]
- Chen, Y.L.; Chen, L.Y.; Peng, Y.F.; Ding, J.Z.; Li, F.; Yang, G.B.; Kou, D.; Liu, L.; Fang, K.; Zhang, B.B.; et al. Linking microbial C: N: P stoichiometry to microbial community and abiotic factors along a 3500-km grassland transect on the Tibetan Plateau. Glob. Ecol. Biogeogr. 2016, 25, 1416–1427. [Google Scholar] [CrossRef]
- Lauber, C.L.; Ramirez, K.S.; Aanderud, Z.; Lennon, J.; Fierer, N. Temporal variability in soil microbial communities across land-use types. ISME J. 2013, 7, 1641–1650. [Google Scholar] [CrossRef]
- Wang, H.; Yang, S.H.; Yang, J.P.; Lv, Y.; Zhao, X.; Pang, J.L. Temporal changes in soil bacterial and archaeal communities with different fertilizers in tea orchards. J. Zhejiang Univ. Sci. 2014, 15, 953–965. [Google Scholar] [CrossRef] [PubMed] [Green Version]
- Sprenger, M.; Tetzlaff, D.; Buttle, J.; Carey, S.K.; McNamara, J.P.; Laudon, H.; Shatilla, N.J.; Soulsby, C. Storage, mixing, and fluxes of water in the critical zone across northern environments inferred by stable isotopes of soil water. Hydrol. Processes 2018, 32, 1720–1737. [Google Scholar] [CrossRef] [Green Version]
- Zhang, B.B.; Xu, Q.; Gao, D.; Jiang, C.; Liu, F.; Jiang, J.; Ma, Y. Higher soil capacity of intercepting heavy rainfall in mixed stands than in pure stands in riparian forests. Sci. Total Environ. 2019, 658, 1514–1522. [Google Scholar] [CrossRef] [PubMed]
- Jiang, W.; Hou, Q.Y.; Yang, Z.F.; Yu, T.; Zhong, C.; Yang, Y.; Fu, Y.R. Annual input fluxes of heavy metals in agricultural soil of Hainan Island, China. Environ. Sci. Pollut. Res. 2014, 21, 7876–7885. [Google Scholar] [CrossRef]
- Soil System Classification Research Group of Nanjing Institute of Soil Research; Chinese Academy of Sciences. Classification of Soil System in China (Amendment Scheme); China Agricultural Science and Technology Press: Beijing, China, 1995; pp. 5–23. [Google Scholar]
- Hainan History Net. Section 1 Land Resources. Available online: http://www.hnszw.org.cn/data/news/2009/07/44585/ (accessed on 16 July 2009).
- Shen, R.P.; Sun, B.; Zhao, Q.G. Spatial and temporal variability of N, P and K balances for agro-ecosystems in China. Pedosphere 2005, 15, 347–355. [Google Scholar]
- Lu, R.K.; Shi, Z.Y.; Shi, J.P. Evaluation of farmland nutrient balance in 6 provinces in southern China Price and dynamic change studies. Agric. Sci. China 2000, 33, 63–67. [Google Scholar]
- Gou, L.H.; Sun, Z.D.; Nie, L.S.; Luo, P.P.; Wu, J.G.; Xu, W.D. Vertical distribution patterns of nitrogen, phosphorus, and potassium in Chinese pine forest soils developed from different parent materials in Songshan Mountain Nature Reserve, Beijing of China. Chin. J. Appl. Ecol. 2013, 24, 961–966. [Google Scholar]
- Gao, X.S.; Xiao, Y.; Deng, L.J.; Li, Q.Q.; Wang, C.Q.; Li, B.; Deng, O.P.; Zeng, M. Spatial variability of soil total nitrogen, phosphorus and potassium in Renshou County of Sichuan Basin, China. J. Integr. Agric. 2019, 18, 279–289. [Google Scholar] [CrossRef] [Green Version]
- Tian, L.M.; Zhao, L.; Wu, X.D.; Fang, H.B.; Zhao, Y.H.; Yue, G.Y.; Liu, G.M.; Chen, H. Vertical patterns and controls of soil nutrients in alpine grassland: Implications for nutrient uptake. Sci. Total Environ. 2017, 607, 855–864. [Google Scholar] [CrossRef]
- Shangguan, W.; Dai, Y.J.; Liu, B.Y.; Zhu, A.X.; Duan, Q.Y.; Wu, L.Z.; Ji, D.Y.; Ye, A.Z.; Yuan, H.; Zhang, Q.; et al. A China data set of soil properties for land surface modeling. J. Adv. Model. 2013, 5, 212–224. [Google Scholar] [CrossRef]
- Li, Y.; Wu, J.; Liu, S.; Shen, J.; Huang, D.; Su, Y.; Wei, W.; Syers, J. Is the C: N: P stoichiometry in soil and soil microbial biomass related to the landscape and land use in southern subtropical China? Glob. Biogeochem. Cycles 2012, 26, GB4002. [Google Scholar] [CrossRef]
- Jian, Z.Y.; Wang, W.Q.; You, P.J. Analysis of Element Content in Soil for Continuous Cropping Panax Notoginseng. Mod. Chin. Med. 2009, 11, 10–11. [Google Scholar]
- Liu, D.H.; Wang, L.; Cui, X.M.; Guo, L.P.; Jin, H.; Zhu, X.Y.; Yang, Y. Study on dynamic change law of N, P and K in Panax notoginseng plant soils with different interval year. Chin. J. Chin. Materia Medica 2014, 39, 572–579. [Google Scholar]
- Yang, Y.H.; Fang, J.Y.; Ji, C.J.; Datta, A.; Li, P.; Ma, W.H.; Mohammat, A.; Shen, H.H.; Hu, H.F.; Knapp, B.O.; et al. Stoichiometric shifts in surface soils over broad geographic scales: Evidence from China’s grasslands. Glob. Ecol. Biogeogr. 2014, 23, 947–955. [Google Scholar] [CrossRef]
- Yue, K.; Fornara, D.A.; Yang, W.Q.; Peng, Y.; Li, Z.J.; Wu, F.Z.; Peng, C.H. Effects of three global change drivers on terrestrial C: N: P stoichiometry: A global synthesis. Glob. Chang. Biol. 2017, 23, 2450–2463. [Google Scholar] [CrossRef] [PubMed]
- Goll, D.S. Coupled cycling of carbon, nitrogen, and phosphorus. In Soil Phosphorus; Lal, R., Stewart, B.A., Eds.; CRC Press: Boca Raton, FL, USA; Taylor & Francis Group: Boca Raton, FL, USA, 2016; pp. 43–64. [Google Scholar]
- Augusto, L.; Achat, D.L.; Jonard, M.; Vidal, D.; Ringeval, B. Soil parent material—A major driver of plant nutrient limitations in terrestrial ecosystems. Glob. Chang. Biol. 2017, 23, 3808–3824. [Google Scholar] [CrossRef]
- Liu, J.L.; Zhang, L.L.; Fu, Q.; Ren, G.Q.; Liu, L.; Yu, P.; Tan, S.Y. Spatial variability of soil particle-size distribution heterogeneity in farmland. Trans ASABE 2018, 61, 591–601. [Google Scholar] [CrossRef]
- Liu, C.; Song, X.X.; Wang, L.; Wang, D.L.; Zhou, X.M.; Liu, J.; Lin, H.J. Effects of grazing on soil nitrogen spatial heterogeneity depend on herbivore assemblage and pre-grazing plant diversity. J. Appl. Ecol. 2016, 53, 242–250. [Google Scholar] [CrossRef]
- Yang, Y.; Dou, Y.X.; Liu, D.; An, S.S. Spatial pattern and heterogeneity of soil moisture along a transect in a small catchment on the Loess Plateau. J. Hydrol. 2017, 550, 466–477. [Google Scholar] [CrossRef]
- Liang, E.R.; Wang, X.B.; Cai, D.X.; Liu, S.; Wang, Y. Spatial autocorrelation analysis on soil organic carbon distribution in Henan Province. J. Appl. Ecol. 2007, 18, 1305–1310. [Google Scholar]
- Kim, D. Incorporation of multi-scale spatial autocorrelation in soil moisture-landscape modeling. Phys. Geogr. 2013, 34, 441–455. [Google Scholar] [CrossRef]
- Yang, A.F.; Wang, T.Z.; Tang, S.M. Spatial Variation of Soil Main Nutrients on Arable Land in Ding’an County. Chin. J. Trop Crop. 2007, 1, 44–50. [Google Scholar]
- Fang, Y.; Zhang, D.M. Soil Nutrient Survey and Evaluation of Farmland in Haikou. Chin. J. Trop Agric. 2020, 9, 20–23. [Google Scholar]
- He, C.C.; Feng, H.D.; Wei, Z.Y.; Hou, X.W.; Chen, Y.Y. Investigation of Current Situation of Fertilization and Analysis of Soil Nutrients of Mango Orchard in Hainan Island. Chin. J. Trop Crop. 2018, 12, 2336–2348. [Google Scholar]
- Wang, H.; Feng, H.D.; Wang, R.X.; Wang, T.Z.; Wang, D.F. The Investigation and Evaluation of Soil Nutrients of Arable Land in Wuzhishan City. Chin. J. Trop Agric. 2017, 1, 21–25. [Google Scholar]
- Weintraub, S.R.; Taylor, P.G.; Porder, S.; Cleveland, C.C.; Asner, G.P.; Townsend, A.R. Topographic controls on soil nitrogen availability in a lowland tropical forest. Ecology 2015, 96, 1561–1574. [Google Scholar] [CrossRef]
- Wu, X.D.; Zhao, L.; Fang, H.B.; Zhao, Y.G.; Smoak, J.M.; Pang, Q.Q.; Ding, Y.J. Environmental controls on soil organic carbon and nitrogen stocks in the high-altitude arid western Qinghai-Tibetan Plateau permafrost region. J. Geophys. Res. Biogeosci. 2016, 121, 176–187. [Google Scholar] [CrossRef] [Green Version]
- Rezaei, S.A.; Gilkes, R.J. The effects of landscape attributes and plant community on soil chemical properties in rangelands. Geoderma 2005, 125, 167–176. [Google Scholar] [CrossRef]
- Rodney, L.G.; Rintaro, K.; Tsutomu, S.; Daigo, A.; Jiwan, P.P.; Masayuki, T. Available Soil Nutrients and NPK Application Impacts on Yield, Quality, and Nutrient Composition of Potatoes Growing during the Main Season in Japan. Am. J. Potato Res. 2020, 12, 234–245. [Google Scholar]
- Mousumi, G.; Waqar, A.; Hiteshkumar, B.V.; Duminda, N.; Vidana, G.; Prasanta, K.; Patral, A.B. Short-Term Carbon Sequestration and Changes of Soil Organic Carbon Pools in Rice under Integrated Nutrient Management in India. Agriculture 2021, 11, 348. [Google Scholar]
- Oimahmad, R.; Robert, K.; Dorota, Ś.J.; Smolarek-Lach, J. Vegetation and Environmental Changes on Non-Reclaimed Spoil Heaps in Southern Poland. Biology 2020, 9, 164. [Google Scholar]






Publisher’s Note: MDPI stays neutral with regard to jurisdictional claims in published maps and institutional affiliations. |
© 2021 by the authors. Licensee MDPI, Basel, Switzerland. This article is an open access article distributed under the terms and conditions of the Creative Commons Attribution (CC BY) license (https://creativecommons.org/licenses/by/4.0/).
Share and Cite
Ji, C.; Liu, H.; Cha, Z.; Lin, Q.; Feng, G. Spatial-Temporal Variation of N, P, and K Stoichiometry in Cropland of Hainan Island. Agriculture 2022, 12, 39. https://doi.org/10.3390/agriculture12010039
Ji C, Liu H, Cha Z, Lin Q, Feng G. Spatial-Temporal Variation of N, P, and K Stoichiometry in Cropland of Hainan Island. Agriculture. 2022; 12(1):39. https://doi.org/10.3390/agriculture12010039
Chicago/Turabian StyleJi, Chunhua, Hailin Liu, Zhengzao Cha, Qinghuo Lin, and Gu Feng. 2022. "Spatial-Temporal Variation of N, P, and K Stoichiometry in Cropland of Hainan Island" Agriculture 12, no. 1: 39. https://doi.org/10.3390/agriculture12010039
APA StyleJi, C., Liu, H., Cha, Z., Lin, Q., & Feng, G. (2022). Spatial-Temporal Variation of N, P, and K Stoichiometry in Cropland of Hainan Island. Agriculture, 12(1), 39. https://doi.org/10.3390/agriculture12010039
