Maximization of Water Productivity and Yield of Two Iceberg Lettuce Cultivars in Hydroponic Farming System Using Magnetically Treated Saline Water
Abstract
1. Introduction
2. Materials and Methods
2.1. Experiment Site and Structures
2.2. Iceberg Lettuce
2.3. Analysis of Water and Soil Mixture
2.4. Experimental Design and Treatments
2.5. Nutrient Solution
2.6. Total Soluble Solids (TSS)
2.7. Luminous Intensity
2.8. Lettuce Yield
2.9. Irrigation Water Requirements and Scheduling
2.10. Performance of Drip Irrigation System
2.11. Water Productivity (WP)
2.12. Statistical Analysis
3. Results and Discussion
3.1. Effect of Water Quality (Common Irrigation Water, Magnetically Treated Common Irrigation Water, Saline Water and Magnetically Treated Saline Water) on Total Soluble Solids, Fresh Weight and Water Productivity of Iceberg Lettuce
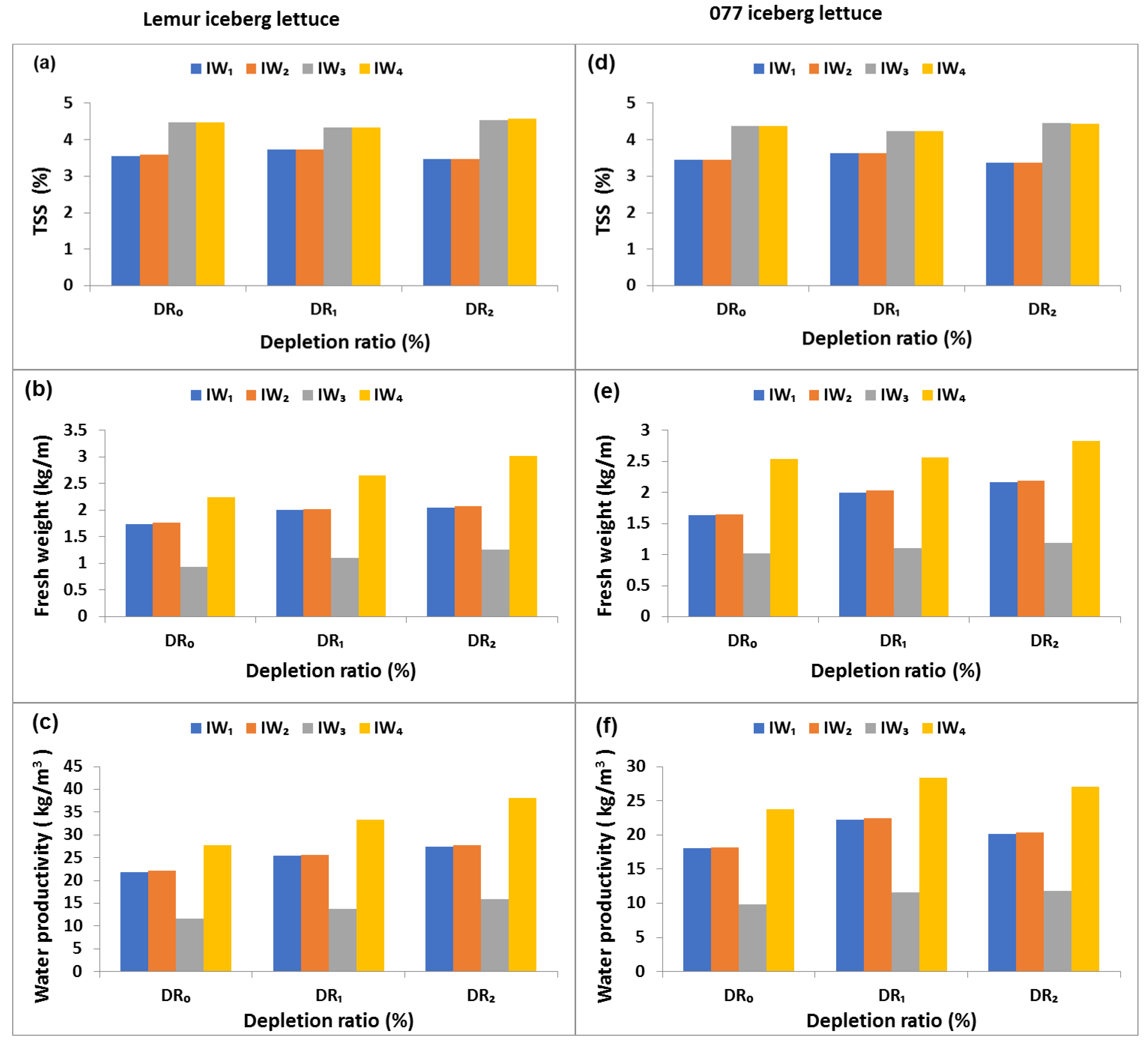
3.2. Effect of Depletion Ratio of Irrigation Water on Total Soluble Solids, Fresh Weight and Water Productivity of Iceberg Lettuce
3.3. Effect of Pipe Slope on Total Soluble Solids, Fresh Weight and Water Productivity of Lettuce
3.4. Interaction between Irrigation Water Type and Pipe Slope on Total Soluble Solids, Fresh Weight and Water Productivity of Lettuce
3.5. Interaction between Irrigation Water Type and Depletion Ratio on Total Soluble Solids, Fresh Weight and Water Productivity of Lettuce Varieties
3.6. Interaction between Depletion Ratio and Pipe Slope on Total Soluble Solids, Fresh Weight and Water Productivity of Iceberg Lettuce
3.7. Interaction among Irrigation Water Type, Depletion Ratio and Pipe Slope on Total Soluble Solids, Fresh Weight and Water Productivity of Both Iceberg Lettuce Cultivars
4. Conclusions
Author Contributions
Funding
Data Availability Statement
Acknowledgments
Conflicts of Interest
Appendix A

Appendix B

Appendix C

References
- Ali, R.R. Geomatics based soil mapping and degradation risk assessment of the cultivated land in El-Fayoum Depression, Egypt. Egypt. J. Soil Sci. 2005, 45, 349. [Google Scholar]
- Khater, A.; Kitamura, Y.; Shimizu, K.; Abou El Hassan, W.; Fujimaki, H. Quantitative analysis of reusing agricultural water to compensate for water supply deficiencies in the Nile Delta irrigation network. Paddy Water Environ. 2015, 13, 367–378. [Google Scholar] [CrossRef]
- El-Hendawy, S.E.; Schmidhalter, U. Optimal coupling combinations between irrigation frequency and rate for drip-irrigated maize grown on sandy soil. Agric. Water Manag. 2010, 97, 439–448. [Google Scholar] [CrossRef]
- Chartzoulakis, K.; Bertaki, M. Sustainable Water Management in Agriculture under Climate Change. Agric. Agric. Sci. Procedia 2015, 4, 88–98. [Google Scholar] [CrossRef]
- Canton, H. Food and Agriculture Organization of the United Nations—FAO. In The Europa Directory of International Organizations 2021; Routledge: Abingdon, UK, 2021; pp. 297–305. ISBN 1003179908. [Google Scholar]
- Elmetwalli, A.H.; El-Hendawy, S.; Al-Suhaibani, N.; Alotaibi, M.; Tahir, M.U.; Mubushar, M.; Hassan, W.M.; Elsayed, S. Potential of Hyperspectral and Thermal Proximal Sensing for Estimating Growth Performance and Yield of Soybean Exposed to Different Drip Irrigation Regimes Under Arid Conditions. Sensors 2020, 20, 6569. [Google Scholar] [CrossRef] [PubMed]
- Walters, K.J.; Currey, C.J. Hydroponic Greenhouse Basil Production: Comparing Systems and Cultivars. Horttechnology 2015, 25, 645–650. [Google Scholar] [CrossRef]
- Asaduzzaman, M.; Talukder, M.R.; Tanaka, H.; Ueno, M.; Kawaguchi, M.; Yano, S.; Ban, T.; Asao, T. Production of Low-Potassium Content Melon Through Hydroponic Nutrient Management Using Perlite Substrate. Front. Plant Sci. 2018, 9, 1382. [Google Scholar] [CrossRef] [PubMed]
- Mattson, N.; Lieth, J.H. Liquid Culture Hydroponic System Operation. Soil. Cult. 2019, 567–585. [Google Scholar] [CrossRef]
- Levine, C.P.; Mattson, N.S. Potassium-Deficient Nutrient Solution Affects the Yield, Morphology, and Tissue Mineral Elements for Hydroponic Baby Leaf Spinach (Spinacia oleracea L.). Horticulturae 2021, 7, 213. [Google Scholar] [CrossRef]
- Butler, J.D.; Oebker, N.F. Hydroponics as a hobby: Growing plants without soil. Circular 1962, 844, 1–16. [Google Scholar]
- Jovicich, E.; Cantliffe, D.J.; Stoffella, P.J.; Vansickle, J.J. Reduced fertigation of soilless greenhouse peppers improves fruit yield and quality. Acta Hortic. 2003, 609, 193–196. [Google Scholar] [CrossRef]
- Sharma, N.; Acharya, S.; Kumar, K.; Singh, N.; Chaurasia, O.P. Hydroponics as an advanced technique for vegetable production: An overview. J. Soil Water Conserv. 2018, 17, 364–371. [Google Scholar] [CrossRef]
- Jensen, M.H. Hydroponics. HortScience 1997, 32, 1018–1021. [Google Scholar] [CrossRef]
- Majid, M.; Khan, J.N.; Ahmad Shah, Q.M.; Masoodi, K.Z.; Afroza, B.; Parvaze, S. Evaluation of hydroponic systems for the cultivation of Lettuce (Lactuca sativa L., var. Longifolia) and comparison with protected soil-based cultivation. Agric. Water Manag. 2021, 245, 106572. [Google Scholar] [CrossRef]
- Salman, S.A.; Shahid, S.; Afan, H.A.; Shiru, M.S.; Al-Ansari, N.; Yaseen, Z.M. Changes in Climatic Water Availability and Crop Water Demand for Iraq Region. Sustainability 2020, 12, 3437. [Google Scholar] [CrossRef]
- Fereres, E.; Soriano, M.A. Deficit irrigation for reducing agricultural water use. J. Exp. Bot. 2006, 58, 147–159. [Google Scholar] [CrossRef] [PubMed]
- Perry, C.; Steduto, P.; Allen, R.G.; Burt, C.M. Increasing productivity in irrigated agriculture: Agronomic constraints and hydrological realities. Agric. Water Manag. 2009, 96, 1517–1524. [Google Scholar] [CrossRef]
- Tiyasha, T.; Bhagat, S.K.; Fituma, F.; Tung, T.M.; Shahid, S.; Yaseen, Z.M. Dual water choices: The assessment of the influential factors on water sources choices using unsupervised machine learning market basket analysis. IEEE Access 2021, 9, 150532–150544. [Google Scholar] [CrossRef]
- Higashitani, K.; Oshitani, J.; Ohmura, N. Effects of magnetic field on water investigated with fluorescent probes. Colloids Surf. A Physicochem. Eng. Asp. 1996, 109, 167–173. [Google Scholar] [CrossRef]
- Amiri, M.C.; Dadkhah, A.A. On reduction in the surface tension of water due to magnetic treatment. Colloids Surf. A Physicochem. Eng. Asp. 2006, 278, 252–255. [Google Scholar] [CrossRef]
- Saravanan, G.; Ozeki, S. Magnetic field control of electron tunneling pathways in the monolayer of (ferrocenylmethyl)dodecyldimethylammonium bromide on a gold electrode. J. Phys. Chem. B 2008, 112, 3–6. [Google Scholar] [CrossRef] [PubMed]
- Surendran, U.; Sushanth, C.M.; Joseph, E.J.; Al-Ansari, N.; Yaseen, Z.M. FAO CROPWAT Model-Based Irrigation Requirements for Coconut to Improve Crop and Water Productivity in Kerala, India. Sustainability 2019, 11, 5132. [Google Scholar] [CrossRef]
- Jalili Darbandi Sofla, M.; Norouzi-Apourvari, S.; Schaffie, M. The effect of magnetic field on stability of conventional and pickering water-in-crude oil emulsions stabilized with fumed silica and iron oxide nanoparticles. J. Mol. Liq. 2020, 314, 113629. [Google Scholar] [CrossRef]
- Ali, Y.; Samaneh, R.; Kavakebian, F. Applications of Magnetic Water Technology in Farming and Agriculture Development: A Review of Recent Advances. Curr. World Environ. 2014, 9, 695–703. [Google Scholar] [CrossRef]
- Maheshwari, B.L.; Grewal, H.S. Magnetic treatment of irrigation water: Its effects on vegetable crop yield and water productivity. Agric. Water Manag. 2009, 96, 1229–1236. [Google Scholar] [CrossRef]
- Shukla, S.; Wagh, S.; Vaishamapayan, V.; Gaopande, M.; Vishnoi, A.S.; Wagh, K.K. Magnetic Field Effect on Plant Growth in Hydroponic Farming. Orig. Res. Artic. J. Basic Appl. Res. Int. 2016, 19, 259–262. [Google Scholar]
- Taimourya, H.; Oussible, M.; Baamal, L.; Bourarach, E.H.; Hassanain, N.; Masmoudi, L.; Harif, A. El Magnetically Treated Irrigation Water Improves the Production and the Fruit Quality of Strawberry Plants (Fragaria × ananassa Duch.) in the Northwest of Morocco. J. Agric. Sci. Technol. B 2018, 8, 145–156. [Google Scholar] [CrossRef][Green Version]
- Fakhri, N.; Mehdaoui, H.Y.; Elloumi, N.; Kallel, M. Magnetic Treatment Effects on Salt Water and Tomato Plants Growth. Recent Adv. Environ. Sci. from Euro-Mediterr. Surround. Reg. 2017, 1095–1097. [Google Scholar] [CrossRef]
- Kareem, N.S.A. Evaluation of Magnetizing Irrigation Water Impacts on the Enhancement of Yield and Water Productivity for Some Crops. J. Agric. Sci. Technol. A 2018, 8, 271–283. [Google Scholar] [CrossRef][Green Version]
- Yusuf, K.O.; Ogunbamowo, T.R.; Obalowu, R.O. Effect of magnetized water on water use efficiency, yield and nutritional qualities of watermelon under deficit irrigation. Agric. Eng. Int. CIGR J. 2020, 22, 51–60. [Google Scholar]
- Abdulraheem, L.H.; Jameel, W. Effects of magnetic treatment of different qualities of irrigation water on plant growth. IOP Conf. Ser. Earth Environ. Sci. 2021, 779, 12030. [Google Scholar] [CrossRef]
- Lin, I.J.; Yotvat, J. Exposure of irrigation and drinking water to a magnetic field with controlled power and direction. J. Magn. Magn. Mater. 1990, 83, 525–526. [Google Scholar] [CrossRef]
- Hozayn, M.; Saeed, A.M.; Qados, A. A Magnetic water application for improving wheat (Triticum aestivum L.) crop production. Agric. Biol. J. N. Am. 2010, 1, 677–682. [Google Scholar]
- Moussa, H. The impact of magnetic water application for improving common bean (Phaseolus vulgaris L.) production. N. Y. Sci. J. 2011, 4, 15–20. [Google Scholar]
- Fernando, F.P.; Luis, R.A.G.F.; Antonio, E.K.; da Silva Junior, J.F.; Camila, P.C.; Rafael, L. Response of lettuce crop to magnetically treated irrigation water and different irrigation depths. Afr. J. Agric. Res. 2015, 10, 2300–2308. [Google Scholar] [CrossRef]
- Wang, Y.; Wei, H.; Li, Z. Effect of magnetic field on the physical properties of water. Results Phys. 2018, 8, 262–267. [Google Scholar] [CrossRef]
- Khater, R.M. Effect of fertilization and irrigation with magnetic water on the productivity of marjoram plant. Arab. J. Agric. Sci. 2020, 3, 1–30. [Google Scholar] [CrossRef]
- Hozayn, M.; Elaoud, A.; Attia Abd El-Monem, A.; Ben Salah, N. Effect of magnetic field on growth and yield of barley treated with different salinity levels. Arab. J. Geosci. 2021, 14, 701. [Google Scholar] [CrossRef]
- Zhou, B.; Yang, L.; Chen, X.; Ye, S.; Peng, Y.; Liang, C. Effect of magnetic water irrigation on the improvement of salinized soil and cotton growth in Xinjiang. Agric. Water Manag. 2021, 248, 106784. [Google Scholar] [CrossRef]
- Smith, D.C.; Hughes, J.C. Changes in chemical properties and temperature during the degradation of organic wastes subjected to simple composting protocols suitable for small-scale farming, and quality of the mature compost. S. Afr. J. Plant Soil 2002, 19, 53–60. [Google Scholar]
- Jackson, M.L. Soil Chemical Analysis. J. Agric. Food Chem. 1959, 7, 138. [Google Scholar] [CrossRef]
- James, L.G. Principles of Farm Irrigation Systems Design; John Wiley and Sons Limited: Hoboken, NJ, USA, 1988; ISBN 047183954X. [Google Scholar]
- Burt, C.M.; Clemmens, A.J.; Strelkoff, T.S.; Solomon, K.H.; Bliesner, R.D.; Hardy, L.A.; Howell, T.A.; Eisenhauer, D.E. Irrigation Performance Measures: Efficiency and Uniformity. J. Irrig. Drain. Eng. 1997, 123, 423–442. [Google Scholar] [CrossRef]
- American Society of Agricultural Engineers. Test Procedure for Determining the Uniformity of Water Distribution of Center Pivot and Lateral Move Irrigation Machines Equipped with Spray or Sprinkler Nozzles. 2003. Available online: https://www.canr.msu.edu/uploads/235/67987/ASAE_S436.1.pdf (accessed on 8 January 2022).
- Surendran, U.; Sandeep, O.; Joseph, E.J. The impacts of magnetic treatment of irrigation water on plant, water and soil characteristics. Agric. Water Manag. 2016, 178, 21–29. [Google Scholar] [CrossRef]
- Yang, F.; Fan, Y.; Wu, X.; Cheng, Y.; Liu, Q.; Feng, L.; Chen, J.; Wang, Z.; Wang, X.; Yong, T.; et al. Auxin-to-Gibberellin Ratio as a Signal for Light Intensity and Quality in Regulating Soybean Growth and Matter Partitioning. Front. Plant Sci. 2018, 9, 56. [Google Scholar] [CrossRef] [PubMed]
- Yang, F.; Liao, D.; Wu, X.; Gao, R.; Fan, Y.; Raza, M.A.; Wang, X.; Yong, T.; Liu, W.; Liu, J.; et al. Effect of aboveground and belowground interactions on the intercrop yields in maize-soybean relay intercropping systems. F. Crop. Res. 2017, 203, 16–23. [Google Scholar] [CrossRef]
- Zlotopolski, V. Magnetic Treatment Reduces Water Usage in Irrigation Without Negatively Impacting Yield, Photosynthesis and Nutrient Uptake in Lettuce. Int. J. Appl. Agric. Sci. 2017, 3, 117. [Google Scholar] [CrossRef]




| Water Type | EC, dS/m | pH | Cations | Anions | ||||||
|---|---|---|---|---|---|---|---|---|---|---|
| Ca2+ meq/L | Mg2+ meq/L | Na+ meq/L | K+ meq/L | Cl− meq/L | HCO3− meq/L | SO42− meq/L | ||||
| Water | Common irrigation water | 0.96 | 8.48 | 3.20 | 6.60 | 5.84 | 0.18 | 3.00 | 3.00 | 4.82 |
| Seawater | 44.00 | 7.44 | 26.77 | 67.01 | 400.85 | 9.07 | 427.16 | 2.98 | 73.56 | |
| Mixed water | 4.56 | 8.24 | 4.60 | 12.60 | 33.77 | 1.37 | 38.00 | 4.40 | 9.94 | |
| Soil mixture | 1.37 | 7.55 | 1.80 | 2.00 | 8.10 | 1.80 | 11.90 | 1.80 | 0.00 | |
| Irrigation Water Type | TSS, % | Fresh Weight, kg/m | Water Productivity, kg/m3 | |||
|---|---|---|---|---|---|---|
| Lemur | 077 | Lemur | 077 | Lemur | 077 | |
| IW1 | 3.58 ± 0.223 b | 3.48 ± 0.215 b | 1.94 ± 0.282 c | 1.63 ± 0.279 c | 24.91 ± 4.337 b | 20.17 ± 3.680 b |
| IW2 | 3.59 ± 0.215 b | 3.48 ± 0.211 b | 1.96 ± 0.286 b | 1.64 ± 0.279 b | 25.17 ± 4.393 b | 20.31 ± 3.679 b |
| IW3 | 4.45 ± 0.307 a | 4.36 ± 0.297 a | 1.10 ± 0.153 d | 0.91 ± 0.131 d | 13.82 ± 2.079 c | 11.08 ± 1.658 c |
| IW4 | 4.46 ± 0.311 a | 4.35 ± 0.302 a | 2.64 ± 0.360 a | 2.16 ± 0.315 a | 33.04 ± 4.866 a | 26.37 ± 4.080 a |
| F-VALUE | 1323.49 | 992.23 | 80,750.5 | 162,157 | 5692.08 | 1174.75 |
| F-TEST | *** | *** | *** | *** | *** | *** |
| LSD 0.05 | 0.0490 | 0.0552 | 7.658 × 10−03 | 4.425 × 10−03 | 0.3625 | 0.6363 |
| Depletion Ratio | TSS, % | Fresh Weight, kg/m | Water Productivity, kg/m3 | |||
|---|---|---|---|---|---|---|
| Lemur | 077 | Lemur | 077 | Lemur | 077 | |
| DR0 | 4.03 ± 0.516 b | 3.91 ± 0.510 a | 1.68 ± 0.498 c | 1.43 ± 0.437 c | 20.84 ± 6.242 c | 17.46 ± 5.316 c |
| DR1 | 4.06 ± 0.369 a | 3.94 ± 0.358 a | 1.95 ± 0.609 b | 1.71 ± 0.587 a | 24.54 ± 7.624 b | 21.16 ± 7.357 a |
| DR2 | 4.01 ± 0.643 ab | 3.92 ± 0.629 a | 2.10 ± 0.659 a | 1.62 ± 0.487 b | 27.33 ± 8.650 a | 19.83 ± 6.067 b |
| F-VALUE | 3.36 | 2.58 | 12,864.4 | 28,227.1 | 202.60 | 232.01 |
| F-TEST | ns | ns | *** | *** | *** | *** |
| LSD 0.05 | 0.0379 | 0.0387 | 5.676 × 10−03 | 2.553 × 10−03 | 0.6852 | 0.3691 |
| Pipe Slope | TSS, % | Fresh Weight, kg/m | Water Productivity, kg/m3 | |||
|---|---|---|---|---|---|---|
| Lemur | 077 | Lemur | 077 | Lemur | 077 | |
| S1 | 3.95 ± 0.578 c | 3.85 ± 0.569 c | 1.70 ± 0.580 b | 1.44 ± 0.422 c | 21.66 ± 7.352 c | 17.56 ± 5.159 c |
| S2 | 4.10 ± 0.630 a | 3.99 ± 0.616 a | 1.93 ± 0.570 ab | 1.48 ± 0.471 b | 24.13 ± 7.240 b | 18.23 ± 5.730 ab |
| S3 | 4.01 ± 0.274 b | 3.91 ± 0.269 b | 2.09 ± 0.638 a | 1.83 ± 0.568 a | 26.92 ± 8.541 a | 22.67 ± 7.152 a |
| F-VALUE | 16.92 | 17.06 | 8941.73 | 31,758.5 | 202.60 | 232.01 |
| F-TEST | *** | *** | *** | *** | *** | *** |
| LSD 0.05 | 0.0496 | 0.0476 | 5.907 × 10−03 | 3.398 × 10−03 | 0.5234 | 0.3056 |
| Treatment | Parameter | |||||||
|---|---|---|---|---|---|---|---|---|
| Irrigation Water Type | Depletion Ratio | Pipe Slope | TSS, % | Fresh Weight, kg/m | Water Productivity, kg/m3 | |||
| Lemur | 077 | Lemur | 077 | Lemur | 077 | |||
| IW1 | DR0 | S1 | 3.50 ± 0 efg | 3.40 ± 0 efg | 1.48 ± 0.01 p | 1.38 ± 0.01 o | 18.93 ± 0.22 kl | 16.39 ± 0.96 j |
| IW1 | DR0 | S2 | 3.50 ± 0.21 efg | 3.40 ± 0.2 efg | 1.86 ± 0.01 m | 1.36 ± 0.03 p | 22.48 ± 2.15 ij | 17.38 ± 0.56 hij |
| IW1 | DR0 | S3 | 3.63 ± 0.12 ef | 3.53 ± 0.12 ef | 1.90 ± 0 l | 1.69 ± 0.01 k | 24.08 ± 1.55 ghi | 20.45 ± 0.83 g |
| IW1 | DR1 | S1 | 3.50 ± 0.21 efg | 3.40 ± 0.2 efg | 1.62 ± 0 o | 1.41 ± 0.01 n | 21.04 ± 1.08 jk | 17.79 ± 0.16 hij |
| IW1 | DR1 | S2 | 3.73 ± 0.16 e | 3.63 ± 0.15 e | 2.19 ± 0.01 i | 1.78 ± 0 j | 26.58 ± 1.01 efg | 22.03 ± 0.91 ef |
| IW1 | DR1 | S3 | 3.97 ± 0.06 d | 3.87 ± 0.06 d | 2.21 ± 0 hi | 2.13 ± 0 d | 28.60 ± 0.64 de | 26.96 ± 0.74 b |
| IW1 | DR2 | S1 | 3.30 ± 0 g | 3.20 ± 0 g | 1.80 ± 0 n | 1.34 ± 0 q | 23.52 ± 1.06 hij | 16.94 ± 0.78 ij |
| IW1 | DR2 | S2 | 3.40 ± 0.10 fg | 3.30 ± 0.1 fg | 1.96 ± 0.01 k | 1.59 ± 0 l | 25.17 ± 0.55 fghi | 18.54 ± 0.49 hi |
| IW1 | DR2 | S3 | 3.70 ± 0 e | 3.57 ± 0.06 ef | 2.40 ± 0 f | 1.99 ± 0.01 h | 33.78 ± 1.4 b | 25.08 ± 0.09 c |
| IW2 | DR0 | S1 | 3.53 ± 0.06 efg | 3.37 ± 0.06 efg | 1.49 ± 0.01 p | 1.39 ± 0.01 o | 19.06 ± 0.17 kl | 16.54 ± 1.01 j |
| IW2 | DR0 | S2 | 3.53 ± 0.12 efg | 3.40 ± 0 efg | 1.90 ± 0.06 l | 1.36 ± 0.01 p | 23.01 ± 2.69 hij | 17.38 ± 0.57 hij |
| IW2 | DR0 | S3 | 3.70 ± 0 e | 3.57 ± 0.06 ef | 1.92 ± 0.01 l | 1.70 ± 0 k | 24.341.59 fghi | 20.58 ± 0.8 g |
| IW2 | DR1 | S1 | 3.50 ± 0.21 efg | 3.40 ± 0.2 efg | 1.64 ± 0.01 o | 1.43 ± 0 m | 21.29 ± 1.13 jk | 18.00 ± 0.1 hij |
| IW2 | DR1 | S2 | 3.73 ± 0.16 e | 3.63 ± 0.15 e | 2.22 ± 0.02 hi | 1.79 ± 0 i | 26.93 ± 1.07 ef | 22.21 ± 0.93 ef |
| IW2 | DR1 | S3 | 3.97 ± 0.06 d | 3.87 ± 0.0.6 d | 2.22 ± 0.01 hi | 2.14 ± 0 d | 28.73 ± 0.62 de | 27.05 ± 0.77 b |
| IW2 | DR2 | S1 | 3.30 ± 0 g | 3.20 ± 0 g | 1.81 ± 0 n | 1.36 ± 0 p | 23.68 ± 1.09 hij | 17.16 ± 0.79 hij |
| IW2 | DR2 | S2 | 3.40 ± 0.1 fg | 3.30 ± 0.1 fg | 1.97 ± 0.01 k | 1.60 ± 0 l | 25.38 ± 0.6 fgh | 18.63 ± 0.52 h |
| IW2 | DR2 | S3 | 3.67 ± 0.06 ef | 3.60 ± 0 e | 2.43 ± 0 e | 2.00 ± 0 g | 34.15 ± 1.46 b | 25.25 ± 0.01 c |
| IW3 | DR0 | S1 | 4.80 ± 0.1 b | 4.70 ± 0.1 b | 0.85 ± 0 w | 0.89 ± 0 u | 10.34 ± 0.44 q | 10.22 ± 0.1 m |
| IW3 | DR0 | S2 | 4.40 ± 0.1 c | 4.30 ± 0.1 c | 0.98 ± 0 v | 0.70 ± 0 x | 12.66 ± 0.45 op | 8.78 ± 0.18 n |
| IW3 | DR0 | S3 | 4.20 ± 0.11 cd | 4.10 ± 0.1 cd | 1.00 ± 0 uv | 0.85 ± 0 v | 12.00 ± 0.57 pq | 10.61 ± 0.24 m |
| IW3 | DR1 | S1 | 4.40 ± 0.1 c | 4.30 ± 0.1 c | 1.02 ± 0 u | 0.88 ± 0 u | 12.83 ± 0.2 op | 10.52 ± 0.6 m |
| IW3 | DR1 | S2 | 4.40 ± 0.1 c | 4.30 ± 0.1 c | 1.09 ± 0 t | 0.80 ± 0 w | 13.69 ± 1.2 nop | 9.79 ± 0.42 mn |
| IW3 | DR1 | S3 | 4.23 ± 0.06 c | 4.13 ± 0.06 c | 1.20 ± 0 s | 1.17 ± 0 r | 14.98 ± 0.15 mno | 14.46 ± 0.29 k |
| IW3 | DR2 | S1 | 4.20 ± 0.01 cd | 4.17 ± 0.05 c | 1.18 ± 0 s | 0.99 ± 0 t | 14.87 ± 0.35 mno | 12.43 ± 0.25 l |
| IW3 | DR2 | S2 | 5.10 ± 0 a | 5.00 ± 0 a | 1.25 ± 0 r | 0.88 ± 0 u | 15.78 ± 0.48 mn | 10.70 ± 0.44 m |
| IW3 | DR2 | S3 | 4.30 ± 0 c | 4.20 ± 0 c | 1.36 ± 0 q | 1.02 ± 0 s | 17.23 ± 0.39 lm | 12.25 ± 0.59 l |
| IW4 | DR0 | S1 | 4.80 ± 0.1 b | 4.70 ± 0. 1 b | 2.13 ± 0.01 j | 2.02 ± 0 f | 25.84 ± 1.09 fgh | 23.24 ± 0.23 de |
| IW4 | DR0 | S2 | 4.40 ± 0.1 c | 4.30 ± 0.1 c | 2.23 ± 0.01 h | 1.70 ± 0.01 k | 28.78 ± 1.02 de | 21.42 ± 0.44 fg |
| IW4 | DR0 | S3 | 4.20 ± 0.1 cd | 4.10 ± 0.1 cd | 2.38 ± 0 g | 2.13 ± 0.01 d | 28.58 ± 1.35 de | 26.54 ± 0.6 b |
| IW4 | DR1 | S1 | 4.40 ± 0.1 c | 4.30 ± 0.1 c | 2.48 ± 0 d | 2.01 ± 0 g | 31.30 ± 0.48 c | 23.90 ± 1.37 cd |
| IW4 | DR1 | S2 | 4.40 ± 0.1 c | 4.30 ± 0.1 c | 2.49 ± 0.01 d | 2.06 ± 0 e | 31.10 ± 2.73 cd | 25.11 ± 1.08 c |
| IW4 | DR1 | S3 | 4.23 ± 0.06 c | 4.13 ± 0.06 c | 3.00 ± 0.01 b | 2.93 ± 0 a | 37.44 ± 0.39 a | 36.15 ± 0.74 a |
| IW4 | DR2 | S1 | 4.20 ± 0.1 cd | 4.10 ± 0.1 cd | 2.94 ± 0.01 c | 2.20 ± 0 c | 37.18 ± 0.88 a | 27.62 ± 0.55 b |
| IW4 | DR2 | S2 | 5.20 ± 0.1 a | 5.00 ± 0 a | 3.01 ± 0 b | 2.21 ± 0 c | 38.01 ± 1.17 a | 26.75 ± 1.09 b |
| IW4 | DR2 | S3 | 4.30 ± 0 c | 4.20 ± 0 c | 3.10 ± 0 a | 2.22 ± 0 b | 39.15 ± 0.88 a | 26.62 ± 1.28 b |
| F-VALUE | 10.43 | 10.50 | 227.23 | 890.26 | 5.95 | 23.14 | ||
| F-TEST | *** | *** | *** | *** | *** | *** | ||
| LSD 0.05 | 0.167 | 0.167 | 0.021 | 0.013 | 1.813 | 1.058 | ||
Publisher’s Note: MDPI stays neutral with regard to jurisdictional claims in published maps and institutional affiliations. |
© 2022 by the authors. Licensee MDPI, Basel, Switzerland. This article is an open access article distributed under the terms and conditions of the Creative Commons Attribution (CC BY) license (https://creativecommons.org/licenses/by/4.0/).
Share and Cite
Okasha, A.M.; Eldib, E.M.; Elmetwalli, A.H.; Farooque, A.A.; Yaseen, Z.M.; Elsayed, S. Maximization of Water Productivity and Yield of Two Iceberg Lettuce Cultivars in Hydroponic Farming System Using Magnetically Treated Saline Water. Agriculture 2022, 12, 101. https://doi.org/10.3390/agriculture12010101
Okasha AM, Eldib EM, Elmetwalli AH, Farooque AA, Yaseen ZM, Elsayed S. Maximization of Water Productivity and Yield of Two Iceberg Lettuce Cultivars in Hydroponic Farming System Using Magnetically Treated Saline Water. Agriculture. 2022; 12(1):101. https://doi.org/10.3390/agriculture12010101
Chicago/Turabian StyleOkasha, Abdelaziz M., Eman M. Eldib, Adel H. Elmetwalli, Aitazaz Ahsan Farooque, Zaher Mundher Yaseen, and Salah Elsayed. 2022. "Maximization of Water Productivity and Yield of Two Iceberg Lettuce Cultivars in Hydroponic Farming System Using Magnetically Treated Saline Water" Agriculture 12, no. 1: 101. https://doi.org/10.3390/agriculture12010101
APA StyleOkasha, A. M., Eldib, E. M., Elmetwalli, A. H., Farooque, A. A., Yaseen, Z. M., & Elsayed, S. (2022). Maximization of Water Productivity and Yield of Two Iceberg Lettuce Cultivars in Hydroponic Farming System Using Magnetically Treated Saline Water. Agriculture, 12(1), 101. https://doi.org/10.3390/agriculture12010101

