Dynamics of Clomazone Formulations Combined with Sulfentrazone in Sugarcane (Saccharum spp.) Straw
Abstract
1. Introduction
2. Materials and Methods
2.1. Treatments and Experimental Conditions
2.2. Herbicide Application and Rainfall Simulation
2.3. Herbicide Quantification Procedures
- (A).
- Treatments with emulsifiable concentrate (EC) formulation of clomazone: aliquots of 3 mL of samples were subjected to filtering in 0.45 μm PVDF membranes with 13.0-mm diameter (Millex®-HV, Merck Millipore Ltd., Carrigtwohill, Ireland), and transferred to 2-mL amber flasks (Supelco Park Bellefonte, PA, USA) constituting a phase 50:50 methanol:water (v v−1).
- (A).
- (B). Treatments with microencapsulated formulation of clomazone: the samples were analyzed using methodologies for discrimination of quantities of free clomazone in the solution and clomazone maintained in capsules. Aliquots of 2 mL of the solution were filtered in 0.45 μm PVDF membranes with 13.0-mm diameter (Millex®-HV, Merck Millipore Ltd., Carrigtwohill, Ireland) to retain only the herbicide capsules, and the free herbicide was quantified in the filtered solution. Then, 2 mL of methanol was suctioned to the filters used, which were subsequently subjected to ultrasound bath for 30 min, and the resulting filtered solution was transferred to 2-mL amber flasks (Supelco Park Bellefonte, PA, USA), constituting a phase 50:50 methanol:water (v v−1). This procedure removes and makes available all the clomazone present in the capsules.
2.4. Data Analysis
3. Results and Discussion
4. Conclusions
Author Contributions
Funding
Acknowledgments
Conflicts of Interest
References
- Longati, A.A.; Batista, G.; Cruz, A.J.G. Brazilian integrated sugarcana-soybean biorefinery: Trends and opportunities. Curr. Opin. Green Sustain. Chem. 2020, 26, 100400. [Google Scholar] [CrossRef]
- Conab. Companhia Nacional de Abastacimento. Available online: https://www.conab.gov.br/info-agro/safras/serie-historica-das-safras (accessed on 2 September 2021).
- Victória Filho, R.; Christoffoleti, P.J. Manejo de plantas daninhas e produtividade da cana. Visão Agríc. 2004, 1, 32–37. [Google Scholar]
- Kuva, M.A.; Gravena, R.; Pitelli, R.A.; Christoffoleti, P.J.; Alves, P.L.C.A. Interference periods of weed in the sugarcane crop. II—Brachiaria decumbens. Planta Daninha 2001, 19, 323–330. [Google Scholar] [CrossRef][Green Version]
- Carbonari, C.A.; Matos, A.K.A.; Brito, I.P.F.S.; Velini, E.D.; Dayan, F.E. Impact of Green Cane Harvesting on Pest Management in Sugarcane. Outlooks Pest Manag. 2020, 31, 64–73. [Google Scholar] [CrossRef]
- Velini, E.D.; Tropaldi, L.; Brito, I.P.F.S.; Marchesi, B.B.; Moraes, C.P. Inovações no manejo de plantas daninhas na cultura da cana-de-açúcar. In Proteção de Plantas, 2nd ed.; Baldin, E.L.L., Fujihara, R.T., Kronka, A.Z., Eds.; FEPAF: Botucatu, Brazil, 2015; pp. 22–44. [Google Scholar]
- Eagly, G.H.; Duke, S.O. Physiology of weed seed dormancy and germination. In Weed Physiology, I—Reproduction and Ecophysiology; Duke, S.O., Ed.; CRS Press: Boca Raton, FL, USA, 1985; pp. 27–64. [Google Scholar]
- Rodrigues, B.N.; Almeida, F.S. Guia de Herbicidas, 7th ed.; IAPAR: Londrina, Brazil, 2018. [Google Scholar]
- Shaner, D.L. Herbicide Handbook, 10th ed.; Weed Science Society of America: Lawrence, MA, USA, 2014. [Google Scholar]
- Ferhatoglu, Y.; Barrett, M. Studies of clomazone mode of action. Pestic. Biochem. Physiol. 2006, 85, 7–14. [Google Scholar] [CrossRef]
- Dayan, F.E.; Zaccaro, M.L.M. Chlorophyll fluorescence as a marker for herbicide mechanisms of action. Pestic. Biochem. Physiol. 2012, 102, 189–197. [Google Scholar] [CrossRef]
- Rossi, C.V.S.; Velini, E.D.; Luchini, L.C.; Negrisoli, E.; Correa, M.R.; Pivetta, J.P.; Costa, A.G.F.; Silva, F.M.L. Performance of metribuzin apllied on sugarcane straw. Planta Daninha 2013, 31, 223–230. [Google Scholar] [CrossRef]
- Banks, P.A.; Robinson, E.L. The influence of straw mulch on the soil reception on persistence of metribuzin. Weed Sci. 1982, 30, 164–168. [Google Scholar] [CrossRef]
- Belapart, D. Efeito da Palha de Cana-de-Açúcar No Regime Térmico Do Solo e No Controle de Plantas Daninhas. Ph.D. Thesis, Universidade Estadual Paulista, Botucatu, Brazil, 2016. [Google Scholar]
- Kuva, M.A.; Salgado, T. Manejo de plantas daninhas nas principais culturas perenes no Brasil. In Manejo de Plantas Daninhas nas Culturas Agrícolas; Monqueiro, P.A., Ed.; Rima: São Carlos, Brazil, 2014; pp. 81–113. [Google Scholar]
- Reis, F.C.; Victória Filho, R.; Andrade, M.T.; Barroso, A.A.M. Use of Herbicides in sugarcane in the São Paulo State. Planta Daninha 2019, 37, 1–9. [Google Scholar] [CrossRef]
- Brasileiro, J.S.L. Microencapsulation de Compostos Bioactivos: Inovação em Diferentes Áreas. Ph.D. Thesis, Universidade Fernando Pessoa, Porto, Portugal, 2011. [Google Scholar]
- Roy, A.; Singh, S.K.; Bajpai, J.; Bajpai, A.K. Controlled pesticide release from biodegradable polymers. Cent. Eur. J. Chem. 2014, 12, 453–469. [Google Scholar] [CrossRef]
- Schreiber, F.; Avila, L.A.; Scherner, A.; Gehrke, V.R.; Agostinetto, D. Volatility of different formulations of clomazone herbicide. Planta Daninha 2015, 33, 315–321. [Google Scholar] [CrossRef][Green Version]
- Tropaldi, L.; Brito, I.P.F.S.; Dias, R.C.; Trindade, M.L.B.; Carbonari, C.A.; Velini, E.D. Dynamics of clomazone formulations under different applications conditions. Planta Daninha 2019, 37, 1–10. [Google Scholar] [CrossRef]
- Grey, T.L.; Walker, R.H.; Wehtje, G.R.; Adams, J.; Dayan, F.E.; Weete, J.D.; Hancock, H.G.; Kwon, O. Behavior of sulfentrazone in ionic exchange resins, electrophoresis gels, and cation-saturated soils. Weed Sci. 2000, 48, 239–247. [Google Scholar] [CrossRef]
- Polubesova, T.; Shlomo, N.; Rabinovitz, O.; Borisover, M.; Rubin, B. Sulfentrazone adsorbed on micellemontmorillonite complexes for slow release in soils. J. Agric. Food Chem. 2003, 51, 3410–3414. [Google Scholar] [CrossRef]
- Araldi, R.; Velini, E.D.; Gomes, G.L.G.C.; Tropaldi, L.; Silva, I.P.F.; Carbonari, C.A. Performance of herbicides in sugarcane straw. Ciênc. Rural. 2015, 45, 2106–2112. [Google Scholar] [CrossRef]
- Sopeña, F.; Villaverde, J.; Maqueda, C.; Morillo, E. Photostabilization of the herbicide norflurazon microencapsulated with ethyl-cellulose in the soil-water system. J. Hazard. Mater. 2011, 195, 298–305. [Google Scholar] [CrossRef]
- Cao, L.; Liu, Y.; Xu, C.; Zhou, Z.; Zhao, P.; Niu, S.; Huang, Q. Biodegradable poly(3-hydroxybutyrate-co-4-hydroxybutyrate) mi-crocapsules for controlled release of trifluralin with improved photostability and herbicidal activity. Mater. Sci. Eng. C 2019, 102, 134–141. [Google Scholar] [CrossRef] [PubMed]
- Bloomfield, J.P.; Williams, R.J.; Gooddy, D.C.; Cape, J.N.; Guh, P. Impacts of climate change on the fate and behaviour of pesticides in surface and groundwater—A UK perspective. Sci. Total Environ. 2006, 369, 163–177. [Google Scholar] [CrossRef] [PubMed]
- Arias-Estévez, M.; López-Periago, E.; Martínez-Carballo, E.; Simal-Gándara, J.; Mejuto, J.; García-Río, L. The mobility and degradation of pesticides in soils and the pollution of groundwater resources. Agric. Ecosyst. Environ. 2008, 123, 247–260. [Google Scholar] [CrossRef]
- Kah, M.; Hofmann, T. Nanopesticide research: Current trends and future priorities. Environ. Int. 2014, 63, 224–235. [Google Scholar] [CrossRef]
- Yáñez, C.; Cañete-Rosales, P.; Castillo, J.P.; Catalán, N.; Undabeytia, T.; Morillo, E. Cyclodextrin Inclusion Complex to Improve Physicochemical Properties of Herbicide Bentazon: Exploring Better Formulations. PLoS ONE 2012, 7, e41072. [Google Scholar]
- Cavenaghi, A.L.; Rossi, C.V.S.; Negrisoli, E.; Costa, E.A.D.; Velini, E.D.; Toledo, R.E.B. Performance of amicarbazone applied on sugarcane straw. Planta Daninha 2003, 25, 831–837. [Google Scholar] [CrossRef]
- Carbonari, C.A.; Gomes, G.L.G.C.; Trindade, M.L.B.; Silva, J.R.M.; Velini, E.D. Dynamics of sulfentrazone applied to sugarcane crop residues. Weed Sci. 2016, 64, 201–206. [Google Scholar] [CrossRef]
- Mervosh, T.L.; Sims, G.K.; Stoller, E.W. Clomazone fate in soil as affected by microbial activity, temperature, and soil moisture. J. Agric. Food Chem. 1995, 43, 537–543. [Google Scholar] [CrossRef]
- Berté, L.N.; Costa, N.V.; Ramella, J.R.P. Effects of clomazone formulations at the initial development of Jatropha curcas. Pesq. Agropec. Trop. 2015, 45, 304–364. [Google Scholar] [CrossRef][Green Version]
- Quayle, W.C.; Oliver, D.P.; Zrna, S. Field dissipation and environmental hazard assessment of clomazone, molinate, and thiobencarb in Australian rice culture. J. Agric. Food Chem. 2006, 54, 7213–7220. [Google Scholar] [CrossRef] [PubMed]
- Gunasekara, A.S.; Cruz, I.D.P.D.; Curtis, M.J.; Claassen, V.P.; Tjeerdema, R.S. The behavior of clomazone in the soil environment. Pest Manag. Sci. 2009, 65, 711–716. [Google Scholar] [CrossRef]
- Wibowo, D.; Zhao, C.; Peters, B.C.; Middelberg, A.P.J. Sustained Release of Fipronil Insecticide in Vitro and in Vivo from Biocompatible Silica Nanocapsules. J. Agric. Food Chem. 2014, 62, 12504–12511. [Google Scholar] [CrossRef] [PubMed]
- Seaman, D. Trends in the formulation of pesticides: An overview. Pestic. Sci. 1990, 29, 437–449. [Google Scholar] [CrossRef]
- Whorton, C. Factors Influencing Volatile Release from Encapsulation Matrices; ACS: Washington, DC, USA, 1995. [Google Scholar]
- Schampheleire, M.; Nuyttens, D.; Baetens, K.; Cornelis, W.; Gabriels, D.; Spanoghe, P. Effects on pesticide spray drift of the physicochemical properties of the spray liquid. Precis. Agric. 2009, 10, 409–420. [Google Scholar] [CrossRef]
- Maciel, C.D.G.; Guerra, N.; Oliveira Neto, A.M.; Poletine, J.P.; Bastos, S.L.W.; Dias, N.M.S. Tensão superficial estática de misturas em tanque de glyphosate + chlorimuron-ethyl isoladas ou associadas com adjuvantes. Planta Daninha 2010, 28, 673–685. [Google Scholar] [CrossRef]
- Matos, A.K.A. Uniformidade na Deposição e Dinâmica de Formulações de Diuron e Sulfentrazone em Solo, Palha e Plantas de Cana-de-Açúcar. Ph.D. Thesis, Universidade Estadual Paulista, Botucatu, Brazil, 2018. [Google Scholar]
- Simoni, F.; Victoria-Filho, R.; San-Martin, H.A.M.; Salvador, F.L.; Alves, A.S.R.; Bremer-Neto, H. Efficacy of imazapic and sulfentrazone applied on Cyperus rotundus under different rain and sugarcane straw conditions. Planta Daninha 2006, 24, 769–778. [Google Scholar] [CrossRef][Green Version]
- Correia, N.M.; Camilo, E.H.; Santos, E.A. Sulfentrazone efficiency on Ipomoea hederifolia and Ipomoea quamoclit as influenced by rain and sugarcane straw. Planta Daninha 2013, 31, 165–174. [Google Scholar] [CrossRef][Green Version]




| Treatment | Herbicide | Formulation | Commercial Product 1 | Rate (g ha−1) |
|---|---|---|---|---|
| 1 | Clomazone | capsule suspension (CS) | Gamit 360 CS® | 1200 |
| 2 | Clomazone | emulsifiable concentrate (EC) | Gamit Star® | 1200 |
| 3 | Clomazone + Sulfentrazone | capsule suspension (CS)/suspension concentred (SC) | Gamit 360 CS® + Boral® 500 CS | 1200 + 600 |
| 4 | Clomazone + Sulfentrazone | emulsifiable concentrate (EC) + suspension concentred (SC) | Gamit Star® + Boral® 500 CS | 1200 + 600 |
| Parameters | |
|---|---|
| Analytical column | C18 Synergi 2.5 µ Hydro RP 100 Å |
| Injection volume | 20 µL |
| Mobile phase (pH 7.0) | Phase A (PA) = 0.5% acetic acid in water Phase B (PB) = 0.5% acetic acid in methanol |
| Gradient | 0–1 min = 50% PB and 50% PA 1–3 min = 95% PB and 5% PA 3–6 min = 95% PB and 5% PA 6–8 min = 30% PB and 70% PA 8–10 min = 30% PB and 70% PA |
| Flux | 0.60 mL min−1 |
| Oven temperature | 40 °C |
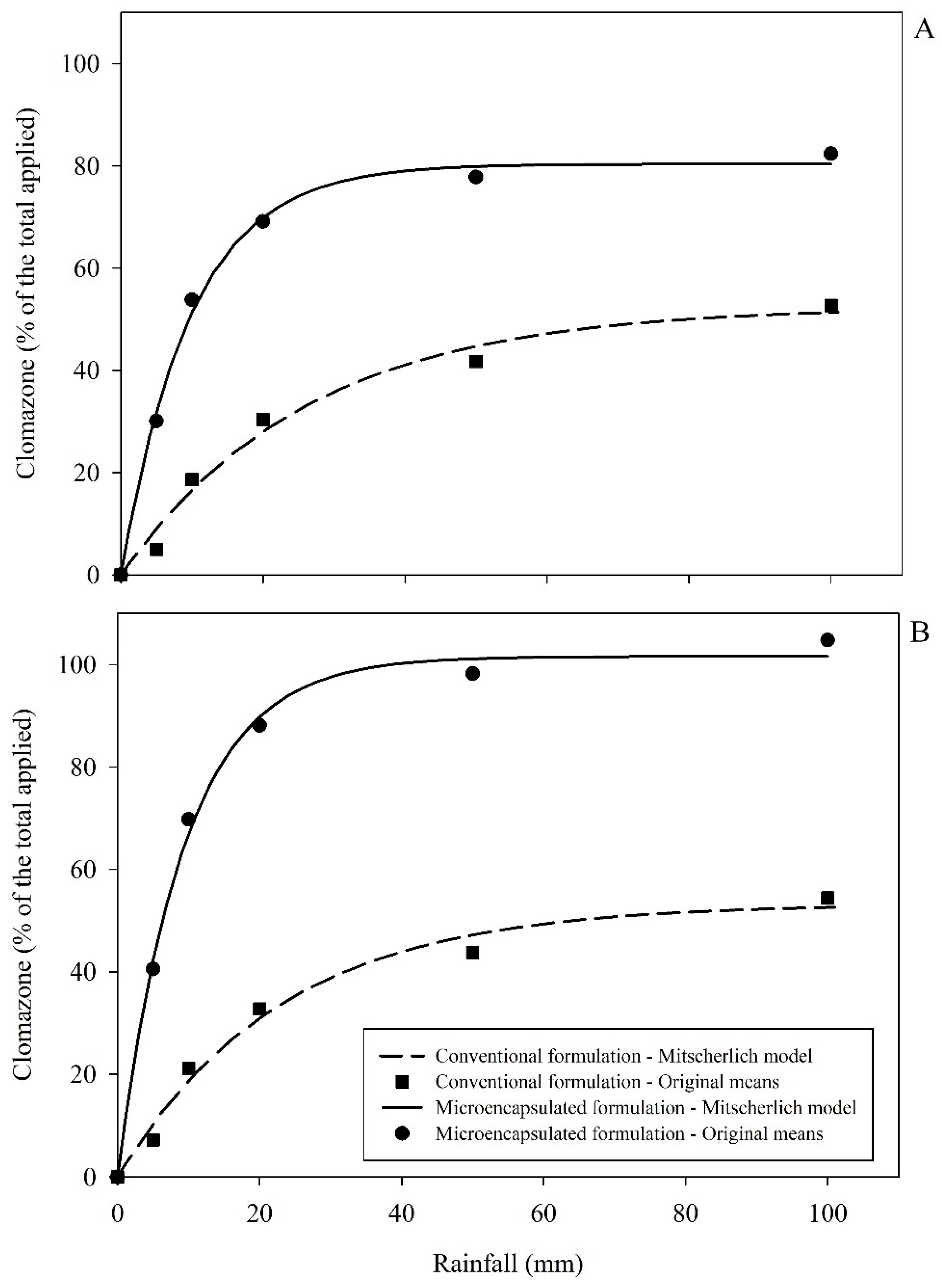
| Treatment | Formulation | Estimates of Parameters | F | |||
|---|---|---|---|---|---|---|
| a | b | c | R2 | |||
| Clomazone | CS 1 | 80.355 | 0.00 | 0.044 | 0.999 | 2288.00 ** |
| EC 2 | 52.511 | 0.00 | 0.017 | 0.994 | 309.95 ** | |
| Clomazone + Sulfentrazone | CS | 100.00 | 0.00 | 0.047 | 0.999 | 2141.11 ** |
| EC | 53.254 | 0.00 | 0.019 | 0.995 | 375.62 ** | |
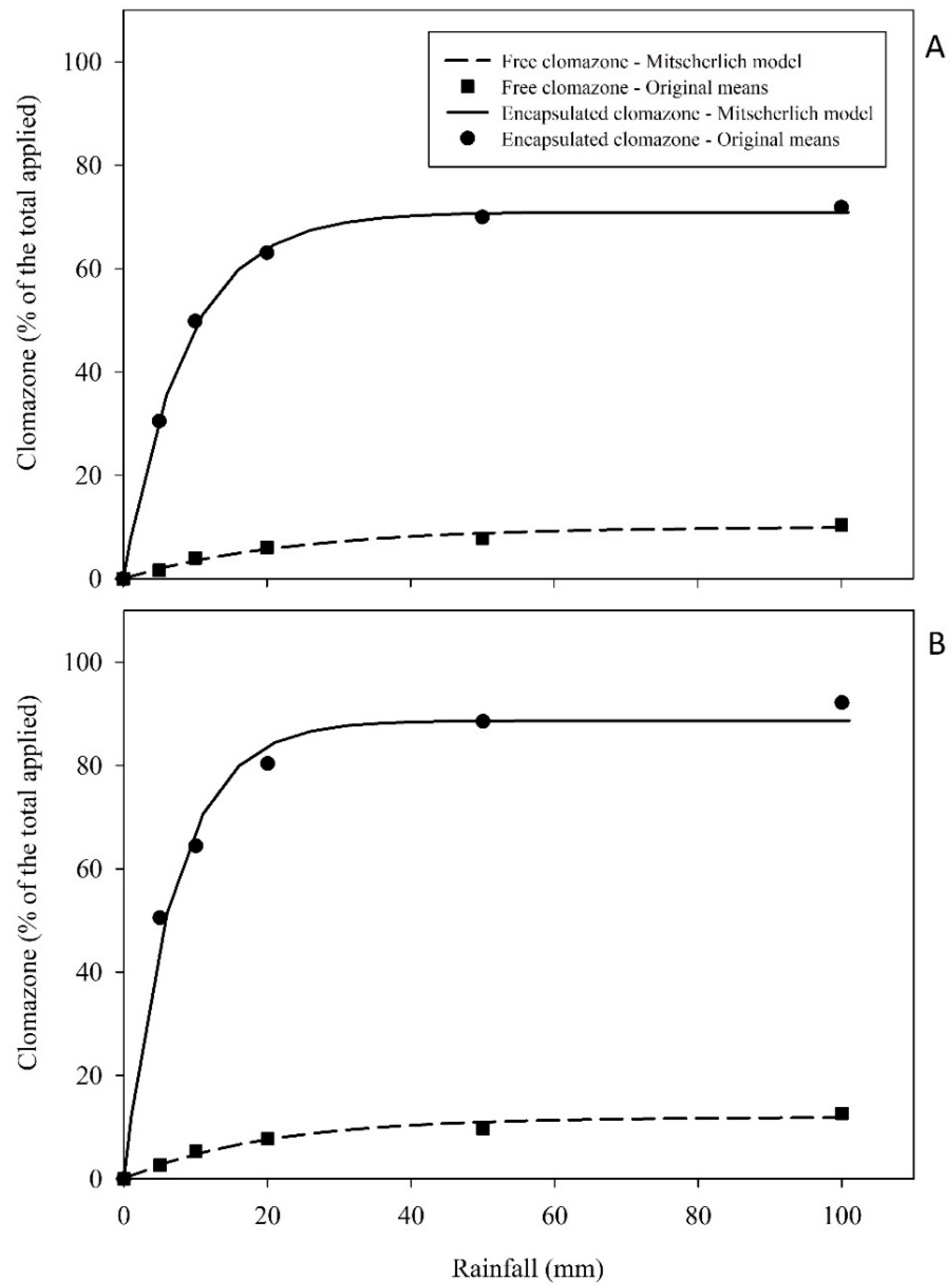
| Treatment | Formulation | Form | Estimates of Parameters | F | |||
|---|---|---|---|---|---|---|---|
| a | b | c | R2 | ||||
| Clomazone | CS 1 | Free 2 | 10.062 | 0.00 | 0.018 | 0.992 | 249.24 ** |
| Encapsulated 3 | 70.898 | 0.00 | 0.050 | 0.999 | 8633.51 ** | ||
| Clomazone + Sulfentrazone | CS | Free | 11.888 | 0.00 | 0.022 | 0.993 | 262.15 ** |
| Encapsulated | 88.682 | 0.00 | 0.063 | 0.998 | 1003.47 ** | ||
| Treatment | Formulation | Estimates of Parameters | F | |||
|---|---|---|---|---|---|---|
| a | b | c | R2 | |||
| Sulfentrazone + Clomazone | EC 1 | 78.684 | 0.00 | 0.048 | 0.997 | 859.23 ** |
| Sulfentrazone + Clomazone | CS 2 | 80.857 | 0.00 | 0.040 | 0.995 | 394.87 ** |
Publisher’s Note: MDPI stays neutral with regard to jurisdictional claims in published maps and institutional affiliations. |
© 2021 by the authors. Licensee MDPI, Basel, Switzerland. This article is an open access article distributed under the terms and conditions of the Creative Commons Attribution (CC BY) license (https://creativecommons.org/licenses/by/4.0/).
Share and Cite
Tropaldi, L.; Carbonari, C.A.; de Brito, I.P.F.S.; de Matos, A.K.A.; de Moraes, C.P.; Velini, E.D. Dynamics of Clomazone Formulations Combined with Sulfentrazone in Sugarcane (Saccharum spp.) Straw. Agriculture 2021, 11, 854. https://doi.org/10.3390/agriculture11090854
Tropaldi L, Carbonari CA, de Brito IPFS, de Matos AKA, de Moraes CP, Velini ED. Dynamics of Clomazone Formulations Combined with Sulfentrazone in Sugarcane (Saccharum spp.) Straw. Agriculture. 2021; 11(9):854. https://doi.org/10.3390/agriculture11090854
Chicago/Turabian StyleTropaldi, Leandro, Caio A. Carbonari, Ivana Paula F. S. de Brito, Ana Karollyna A. de Matos, Carolina P. de Moraes, and Edivaldo D. Velini. 2021. "Dynamics of Clomazone Formulations Combined with Sulfentrazone in Sugarcane (Saccharum spp.) Straw" Agriculture 11, no. 9: 854. https://doi.org/10.3390/agriculture11090854
APA StyleTropaldi, L., Carbonari, C. A., de Brito, I. P. F. S., de Matos, A. K. A., de Moraes, C. P., & Velini, E. D. (2021). Dynamics of Clomazone Formulations Combined with Sulfentrazone in Sugarcane (Saccharum spp.) Straw. Agriculture, 11(9), 854. https://doi.org/10.3390/agriculture11090854

