Heat and Mass Transfer on the Microwave Drying of Rough Rice Grains: An Experimental Analysis
Abstract
1. Introduction
2. Methodology
2.1. The Geometry and Physical Problem
- (a)
- Méssen digital caliper (São Paulo, SP, Brazil), with 0.01 mm precision. Used to measure the dimensions of rice grains (length, thickness and width);
- (b)
- Digital electronic scale, Marte model AL 500 (São Paulo, SP, Brazil) with accuracy of 0.001 g. Used for weighing samples of rice husk samples;
- (c)
- Household microwave oven, Electrolux model MEP37 (Stockholm, Sweden), with the following characteristics: capacity 27 L, power key, weight/portion key, height 283 × width 486 × depth 405 mm, voltage 220 V, electric current 6.5 A, 54% efficiency, microwave frequency 2450 MHz and frequency 60 Hz. Used for heating and drying rice grain samples.
- (d)
- Oven with air mechanical circulation, FANEM model 320 E (Guarulhos, SP, Brazil) with general temperature controller. Used to determine the dry matter of rice grains, at 105 °C for 24 h;
- (e)
- Infrared thermometer, Instrutherm model TI-890 (São Paulo, SP, Brazil), with laser sight and scale from 50 to 1000 °C. Used to measure the surface temperature of the rice grain;
- (f)
- Thermohygrometer, ICEL model HT-208 (Manaus, AM, Brazil). Used to obtain the temperature and relative humidity of the ambient air outside of the household microwave oven and oven with air mechanical circulation during the drying process;
- (g)
- Glass Petri dish with diameter 60 × 15 mm, manufactured by Pyrex (Corning, NY, USA) and used as a container for the samples.
2.2. Experimental Procedures
2.2.1. Drying
2.2.2. Auxiliary Parameters
3. Results and Discussion
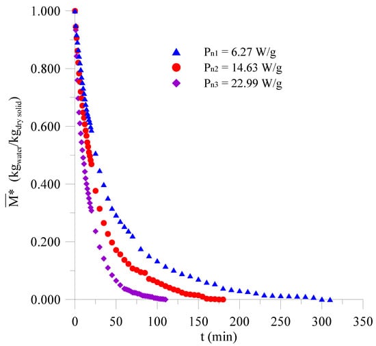
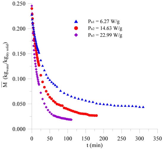
3.1. Mass Loss of Rice Grains during Drying
3.2. Heating of Rice Grains during Drying
3.3. Quality Evaluation of Rice Grains before and after Drying
3.4. Energy Consumption Analysis
4. Conclusions
- (a)
- In the microwave drying of unprocessed rice grains in shell (BRSMG Conai variety), the behavior of the drying rate was shown to be decreasing and independent of the applied microwave power;
- (b)
- The applied microwave power, the temperature inside the grain and the geometry of the product, influence the drying and heating kinetics. The greater the applied microwave power, the greater the rates of moisture removal and the rise in the temperature of the rice grain, and the shorter the drying time;
- (c)
- The time required for the paddy rice grain to reach the average equilibrium moisture content, decreases with an increase in the applied microwave power, from 310 min to 6.27 W/g, 180 min to 14.63 W/g and 110 min to 22.99 W/g;
- (d)
- Microwave powers equal to or greater than 22.99 W/g affect the quality of the product, causing discoloration of the rice grain. For this operational condition, the grain reached a maximum temperature of approximately 130 °C in 64 min of processing;
- (e)
- Maximum absorbed per incident microwave power relationship found in the microwave drying process is 3.4% at the initial stage of drying providing that the drying thermal system is improved and optimized, in order to save energy.
Author Contributions
Funding
Institutional Review Board Statement
Informed Consent Statement
Data Availability Statement
Acknowledgments
Conflicts of Interest
References
- Pereira Filho, E.R. Mechanized Systems Coupled to a Microwave Oven for in-Line Mineralization of Samples of Nutritional Interest: Determination of Iron and Cobalt. Master’s Thesis, State University of Campinas, Campinas, Brazil, 1999. Available online: http://repositorio.unicamp.br/bitstream/REPOSIP/248571/1/PereiraFilho_EdenirRodrigues_M.pdf (accessed on 5 April 2020). (In Portuguese).
- Magalhães, R.S.; Lima, R.M.F.; de Souza, H.A. The use of microwaves to determine bauxite moisture. Rem Rev. Esc. Minas 2003, 56, 255–259. (In Portuguese) [Google Scholar] [CrossRef]
- Barboza, A.C.; Cruz, C.V.M.S.; Graziani, M.B.; Lorenzetti, M.C.F.; Sabadini, E. Heating in microwave ovens/developing of basic concepts. Química Nova 2001, 24, 901–904. (In Portuguese) [Google Scholar] [CrossRef]
- Menezes, R.R.; Souto, P.M.; Kiminami, R. Microwave sintering of ceramics. Part I: Fundamental aspects. Cerâmica 2007, 53, 1–10. [Google Scholar] [CrossRef]
- Metaxas, A.C.; Meredith, R.J. Industrial Microwave Heating; Peter Peregrinus Ltd: London, UK, 1983; ISBN 0906048893. [Google Scholar]
- Zhao, X.; Yan, L.; Huang, K. Review of numerical simulation of microwave heating process. In Advances in Induction and Microwave Heating of Mineral and Organic Materials; Grundas, S., Ed.; InTech: Rijeka, Croatia, 2011; pp. 27–48. [Google Scholar]
- Hansson, L.; Antti, L. Modeling microwave heating and moisture redistribution in wood. Dry. Technol. 2008, 26, 552–559. [Google Scholar] [CrossRef]
- Haghi, A.K.; Amanifard, N. Analysis of heat and mass transfer during microwave drying of food products. Braz. J. Chem. Eng. 2008, 25, 491–501. [Google Scholar] [CrossRef]
- Soysal, Y. Mathematical modeling and evaluation of microwave drying kinetics of mint (Mentha spicata L.). J. Appl. Sci. 2005, 5, 1266–1274. [Google Scholar] [CrossRef]
- Zhang, M.; Tang, J.; Mujumdar, A.S.; Wang, S. Trends in microwave-related drying of fruits and vegetables. Trends Food Sci. Technol. 2006, 17, 524–534. [Google Scholar] [CrossRef]
- Dunaeva, T.; Manturov, A. The phenomenological model microwave drying kinetics of food products. In Proceedings of the 2010 International Kharkov Symposium on Physics and Engineering of Microwaves, Millimeter and Submillimeter Waves (MSMW 2010); Kharkov, Ukraine, 21–26 June 2010, Institute of Electrical and Electronics Engineers (IEEE): Piscataway, NJ, USA, 2010; pp. 1–3. ISBN 9781424479009. [Google Scholar]
- Khraisheh, M.A.M.; Cooper, T.J.R.; Magee, T.R.A. Microwave and air drying I. Fundamental considerations and assumptions for the simplified thermal calculations of volumetric power absorption. J. Food Eng. 1997, 33, 207–219. [Google Scholar] [CrossRef]
- Maskan, M. Microwave/air and microwave finish drying of banana. J. Food Eng. 2000, 44, 71–78. [Google Scholar] [CrossRef]
- Prabhanjan, D.G.; Ramaswamy, H.S.; Raghavan, G.S.V. Microwave-assisted convective air drying of thin layer carrots. J. Food Eng. 1995, 25, 283–293. [Google Scholar] [CrossRef]
- Bingol, G.; Pan, Z.; Roberts, J.S.; Devres, Y.O.; Balaban, M.O. Mathematical modeling of microwave-assisted convective heating and drying of grapes. Int. J. Agric. Biol. Eng. 2008, 1, 46–54. [Google Scholar] [CrossRef]
- Tang, J.; Feng, H.; Lau, M. Microwave heating in food processing. In Advances in Bioprocessing Engineering; Yang, X.H., Tang, J., Eds.; World Scientific Publishing Co. Pte. Ltd.: Singapore, 2002; Volume 1, pp. 1–43. [Google Scholar]
- Zhang, H.; Datta, A.K. Electromagnetics of microwave heating: Magnitude and uniformity of energy absorption in an oven. In Handbook of Microwave Technology for Food Application; Datta, A.K., Anantheswaran, R.C., Eds.; Marcel Dekker AG: New York, NY, USA, 2001; pp. 33–68. [Google Scholar]
- Khodifad, B.C.; Dhamsaniya, N.K. Drying of food materials by microwave energy—A review. Int. J. Curr. Microbiol. Appl. Sci. 2020, 9, 1950–1973. [Google Scholar] [CrossRef]
- Majetich, G.; Hicks, R. Applications of microwave-accelerated organic synthesis. Radiat. Phys. Chem. 1995, 45, 567–579. [Google Scholar] [CrossRef]
- Ren, G.; Chen, F. Drying of American ginseng (Panax quinquefolium roots by microwave-hot air combination. J. Food Eng. 1998, 35, 433–443. [Google Scholar] [CrossRef]
- Luz, C.; Baudet, L.; Frandoloso, V. Determination of the water content of rice seeds by microwave drying. Rev. Bras. Sementes 1998, 20, 70–74. (In Portuguese) [Google Scholar] [CrossRef]
- Berteli, M.N.; Nogueira, T.L.; Marsaioli, A., Jr. Determination of the temperature distributions in a paddy rice bed during heat treatment with microwaves. Braz. J. Food Technol. 2014, 17, 319–328. (In Portuguese) [Google Scholar] [CrossRef][Green Version]
- Valentini, S.R.T.; Castro, M.F.P.; Almeida, F.H. Determination of moisture content of corn by using a microwave oven. Food Sci. Technol. 1998, 18, 237–240. (In Portuguese) [Google Scholar] [CrossRef]
- Torringa, E.; Esveld, E.; Scheewe, I.; van den Berg, R.; Bartels, P. Osmotic dehydration as a pre-treatment before combined microwave-hot-air drying of mushrooms. J. Food Eng. 2001, 49, 185–191. [Google Scholar] [CrossRef]
- Maskan, M. Drying, shrinkage and rehydration characteristics of kiwifruits during hot air and microwave drying. J. Food Eng. 2001, 48, 177–182. [Google Scholar] [CrossRef]
- Díaz, G.R.; Martınez-Monzo, J.; Fito, P.; Chiralt, A. Modelling of dehydration-rehydration of orange slices in combined microwave/air drying. Innov. Food Sci. Emerg. Technol. 2003, 4, 203–209. [Google Scholar] [CrossRef]
- Fumagalli, F. Pear Drying in Microwave Dryer. Master’s Thesis, Federal University of São Carlos, São Carlos, Brazil, 2003. Available online: https://repositorio.ufscar.br/bitstream/handle/ufscar/4056/DissFF.pdf?sequence=1 (accessed on 10 April 2020). (In Portuguese).
- Monks, L.F.; Costa, C.S.; Soares, G.J.D. Microwave effects on wheat drying (T. aestivum, L.) and flour quality. Aliment. Nutr. Araraquara 2003, 14, 219–224. Available online: https://www.researchgate.net/profile/Cristina_Simoes_Da_Costa/publication/49600120_EFEITO_DE_MICROONDAS_NA_SECAGEM_DO_TRIGO_T_aestivum_L_E_NA_QUALIDADE_REOLOGICA_DA_FARINHA/links/5b1ad47eaca272021cf350c6/EFEITO-DE-MICROONDAS-NA-SECAGEM-DO-TRIGO-T-aestivum (accessed on 2 April 2020). (In Portuguese).
- Andrés, A.; Bilbao, C.; Fito, P. Drying kinetics of apple cylinders under combined hot air–microwave dehydration. J. Food Eng. 2004, 63, 71–78. [Google Scholar] [CrossRef]
- Wang, J.; Xi, Y.S. Drying characteristics and drying quality of carrot using a two-stage microwave process. J. Food Eng. 2005, 68, 505–511. [Google Scholar] [CrossRef]
- Srikiatden, J.; Roberts, J.S. Measuring moisture diffusivity of potato and carrot (core and cortex) during convective hot air and isothermal drying. J. Food Eng. 2006, 74, 143–152. [Google Scholar] [CrossRef]
- Bouraoui, M.; Richard, P.; Durance, T. Microwave and convective drying of potato slices. J. Food Process Eng. 1994, 17, 353–363. [Google Scholar] [CrossRef]
- Ribeiro, R.C. Semi-Dehydrated Tomatoes Obtained by Convective Microwave Drying Preceded by Osmotic Dehydration. Master’s Thesis, Federal University of Lavras, Lavras, Brazil, 2013. Available online: http://repositorio.ufla.br/jspui/handle/1/1154 (accessed on 8 April 2020).
- Celen, S.; Kahveci, K. Microwave drying behaviour of tomato slices. Czech J. Food Sci. 2013, 31, 132–138. [Google Scholar] [CrossRef]
- Cunha, M.L.; Canto, M.W.; Marsaioli, A., Jr. Drying pulped coffee cherry beans by means of hot air ond microwaves. Food Sci. Technol. 2003, 23, 381–385. (In Portuguese) [Google Scholar] [CrossRef]
- Dadali, G.; Demirhan, E.; Özbek, B. Microwave heat treatment of spinach: Drying kinetics and effective moisture diffusivity. Dry. Technol. 2007, 25, 1703–1712. [Google Scholar] [CrossRef]
- Rodriguez, A.; Bruno, E.; Paola, C.; Campañone, L.; Mascheroni, R.H. Experimental study of dehydration processes of raspberries (Rubus Idaeus) with microwave and solar drying. Food Sci. Technol. 2019, 39, 336–343. [Google Scholar] [CrossRef]
- Ozcan-Sinir, G.; Ozkan-Karabacak, A.; Tamer, C.E.; Copur, O.U. The effect of hot air, vacuum and microwave drying on drying characteristics, rehydration capacity, color, total phenolic content and antioxidant capacity of Kumquat (Citrus japonica). Food Sci. Technol. 2019, 39, 475–484. [Google Scholar] [CrossRef]
- Oomah, B.D.; Liang, J.; Godfrey, D.; Mazza, G. Microwave heating of grapeseed: Effect on oil quality. J. Agric. Food Chem. 1998, 46, 4017–4021. [Google Scholar] [CrossRef]
- Cabral, R.A.F.; Telis-Romero, J.; Telis, V.R.N.; Gabas, A.L.; Finzer, J.R.D. Effect of apparent viscosity on fluidized bed drying process parameters of guava pulp. J. Food Eng. 2007, 80, 1096–1106. [Google Scholar] [CrossRef]
- Almeida, D.; Rocha, J.; Lages, S.; Coimbra, H. Microwave: General Food Processing; Escola Superior Agrária de Coimbra (ESAC): Coimbra, Portugal, 2010; Available online: http://www.esac.pt/noronha/pga/0910/trabalho_mod2/PGA_microondas_T2_word.pdf (accessed on 18 April 2020). (In Portuguese)
- Tang, J.; Resurreccion, F.P., Jr. Electromagnetic basis of microwave heating. In Development of Packaging and Products for Use in Microwave Ovens; Lorence, M.W., Pesheck, P.S., Eds.; Elsevier: Amsterdam, The Netherlands, 2009; pp. 3e–38e. [Google Scholar]
- Feng, H.; Yin, Y.; Tang, J. Microwave drying of food and agricultural materials: Basics and heat and mass transfer modeling. Food Eng. Rev. 2012, 4, 89–106. [Google Scholar] [CrossRef]
- Laguerre, J.C.; Tauzin, V.; Grenier, E. Hot air and microwave drying of onions: A comparative study. Dry. Technol. 1999, 17, 1471–1480. [Google Scholar] [CrossRef]
- Liu, S.; Fukuoka, M.; Sakai, N. A finite element model for simulating temperature distributions in rotating food during microwave heating. J. Food Eng. 2013, 115, 49–62. [Google Scholar] [CrossRef]
- Fonseca, J.R.; Brondani, C.; Brondani, R.P.V.; Rangel, P.H.N. Genetic resources. In The Rice Culture in Brazil; Santos, A.B., Stone, L.F., Vieira, N.R.A., Eds.; Embrapa Arroz e Feijão: Santo Antônio de Goiás, Goiás, Brasil, 2006; pp. 257–288. ISBN 85-7437-030-4. (In Portuguese) [Google Scholar]
- Amato, G.W.; Elias, M.C.; Gariboldi, F. Parboiling Rice; Editora Ricardo Lenz Ziede: Porto Alegre, Brazil, 2005; ISBN 8587787411. (In Portuguese) [Google Scholar]
- Silva, J.V. Drying of Rough Rice Grains in Fixed Bed: Modeling, Simulation and Experimentation. Ph.D. Thesis, Federal University of Campina Grande, Campina Grande, Brazil, 2016. Available online: http://dspace.sti.ufcg.edu.br:8080/jspui/handle/riufcg/951 (accessed on 8 April 2020). (In Portuguese).
- Walter, M.; Marchezan, E.; Avila, L.A. de Rice: Composition and nutritional characteristics. Ciência Rural 2008, 38, 1184–1192. (In Portuguese) [Google Scholar] [CrossRef]
- Ferrari Filho, E. Methods and Drying Temperatures on the Physical-Chemical and Microbiological Quality of Corn Kernels in Storage. Master’s Thesis, Federal University of Rio Grande do Sul, Porto Alegre, Brazil, 2011. Available online: https://www.lume.ufrgs.br/bitstream/handle/10183/29535/000776604.pdf?sequence=1 (accessed on 2 April 2020). (In Portuguese).
- de Alencar, E.R.; Faroni, L.R.D.; Lacerda Filho, A.F.; Peternelli, L.A.; Costa, A.R. Quality of soy bean grains stored under different conditions. Rev. Bras. Eng. Agrícola Ambient. 2009, 13, 606–613. (In Portuguese) [Google Scholar] [CrossRef]
- Corrêa, P.C.; Ribeiro, D.M.; Resende, O.; Botelho, F.M. Determination and modeling of physical properties and shrinkage of wheat grains during the drying process. Rev. Bras. Eng. Agrícola Ambient. 2006, 10, 665–670. (In Portuguese) [Google Scholar] [CrossRef]
- Oliveira, L.d.C.; Gutkoski, L.C.; Elias, M.C.; Mazzutti, S.; Aosani, E.; Rocha, J.C. da Effect of drying temperature on the quality of white oat grains. Ciência Agrotecnologia 2010, 34, 313–319. (In Portuguese) [Google Scholar] [CrossRef]
- Soares, A.A.; Sousa Reis, M.; Cornélio, V.M.O.; Soares, P.C.; Santos, P.G.; Sousa, M.A. BRSMG Conai: Super early rice cultivar for upland crop. Rev. Ceres 2005, 52, 721–727. Available online: http://www.ceres.ufv.br/ojs/index.php/ceres/article/view/3082/966 (accessed on 17 April 2020). (In Portuguese).
- Pólya, G.; Szegö, G. Inequalities for the capacity of a condenser. Am. J. Math. 1945, 67, 1–32. [Google Scholar] [CrossRef]









| Test | Psup (W/g) | Drying Parameters of Rice Grains | t (min) | |||
|---|---|---|---|---|---|---|
| ms (g) | ||||||
| 1 | 6.27 | 10.01 ± 0.161 | 0.025 ± 0.0013 | 30.6 ± 0.53 | 74.5 ± 1.03 | 310 |
| 2 | 14.63 | 10.02 ± 0.153 | 0.027 ± 0.0016 | 30.7 ± 0.72 | 97.1 ± 1.53 | 180 |
| 3 | 22.99 | 10.01 ± 0.172 | 0.025 ± 0.0010 | 28.8 ± 0.43 | 130.0 ± 1.42 | 110 |
| Test | Drying Parameters of Rice Grains | |||
|---|---|---|---|---|
| 1 | 0.228 ± 0.0016 | 0.044 ± 0.0010 | 0.186 ± 0.0016 | 0.042 ± 0.0010 |
| 2 | 0.240 ± 0.0022 | 0.027± 0.0011 | 0.194 ± 0.0022 | 0.026 ± 0.0011 |
| 3 | 0.245 ± 0.0018 | 0.019 ± 0.0009 | 0.197 ± 0.0018 | 0.018 ± 0.0009 |
| Test | Nt | Geometric Parameters of Paddy Rice Grains | ||||||
|---|---|---|---|---|---|---|---|---|
| A (mm) | B (mm) | C (mm) | St (mm2) | |||||
| 1 | 327 | 9.79 ± 0.82 | 2.47 ± 0.27 | 1.98 ± 0.32 | 1.112 | 4.895 | 25.354 | 54.89 |
| 2 | 298 | 9.85 ± 0.76 | 2.45 ± 0.18 | 1.92 ± 0.25 | 1.092 | 4.925 | 24.600 | 54.18 |
| 3 | 331 | 9.37 ± 0.87 | 2.45 ± 0.23 | 1.93 ± 0.21 | 1.095 | 4.685 | 23.530 | 51.79 |
| Test | Drying Parameters of Rice Grains | |||||
|---|---|---|---|---|---|---|
| t (min) | t (min) | t (min) | ||||
| 1 | 20 | 15.2 ± 0.21 | 20 | 15.0 | 310 | 4.4 ± 0.10 |
| 2 | 20 | 12.7 ± 0.17 | 13 | 15.0 | 180 | 2.7 ± 0.11 |
| 3 | 20 | 8.8 ± 0.12 | 7 | 15.0 | 110 | 1.9 ± 0.09 |
| t (min) | ||||||
|---|---|---|---|---|---|---|
| 3 | 0.92919 | 1.50487 | 2.43406 | 0.24340 | 71.4 | 0.03409 |
| 310 | 0.03143 | 0.00775 | 0.03918 | 0.00392 | 71.4 | 0.00055 |
| 3 | 0.18401 | 2.99545 | 3.17946 | 0.31794 | 142.8 | 0.02226 |
| 180 | 0.16892 | 0 | 0.16892 | 0.01689 | 142.8 | 0.00118 |
| 3 | 1.17076 | 6.00754 | 7.17830 | 0.71783 | 214.2 | 0.03351 |
| 110 | 0.15901 | 0.03823 | 0.19724 | 0.01972 | 214.2 | 0.00092 |
Publisher’s Note: MDPI stays neutral with regard to jurisdictional claims in published maps and institutional affiliations. |
© 2020 by the authors. Licensee MDPI, Basel, Switzerland. This article is an open access article distributed under the terms and conditions of the Creative Commons Attribution (CC BY) license (http://creativecommons.org/licenses/by/4.0/).
Share and Cite
Silva, E.G.; Gomez, R.S.; Gomes, J.P.; Silva, W.P.; Porto, K.Y.N.; Rolim, F.D.; Carmo, J.E.F.; Andrade, R.O.; Santos, I.B.; Sousa, R.A.A.; et al. Heat and Mass Transfer on the Microwave Drying of Rough Rice Grains: An Experimental Analysis. Agriculture 2021, 11, 8. https://doi.org/10.3390/agriculture11010008
Silva EG, Gomez RS, Gomes JP, Silva WP, Porto KYN, Rolim FD, Carmo JEF, Andrade RO, Santos IB, Sousa RAA, et al. Heat and Mass Transfer on the Microwave Drying of Rough Rice Grains: An Experimental Analysis. Agriculture. 2021; 11(1):8. https://doi.org/10.3390/agriculture11010008
Chicago/Turabian StyleSilva, Edna G., Ricardo S. Gomez, Josivanda P. Gomes, Wilton P. Silva, Ketinlly Y. N. Porto, Fagno D. Rolim, João E. F. Carmo, Romário O. Andrade, Ivonete B. Santos, Rodrigo A. A. Sousa, and et al. 2021. "Heat and Mass Transfer on the Microwave Drying of Rough Rice Grains: An Experimental Analysis" Agriculture 11, no. 1: 8. https://doi.org/10.3390/agriculture11010008
APA StyleSilva, E. G., Gomez, R. S., Gomes, J. P., Silva, W. P., Porto, K. Y. N., Rolim, F. D., Carmo, J. E. F., Andrade, R. O., Santos, I. B., Sousa, R. A. A., Diniz, D. D. S., Aragão, M. M. C. A., & Lima, A. G. B. (2021). Heat and Mass Transfer on the Microwave Drying of Rough Rice Grains: An Experimental Analysis. Agriculture, 11(1), 8. https://doi.org/10.3390/agriculture11010008

