Biodiversity of Weeds and Arthropods in Five Different Perennial Industrial Crops in Eastern Poland
Abstract
1. Introduction
2. Materials and Methods
2.1. Experiment Setup
2.2. Structure of Field Experiment
2.3. Fauna and Flora Monitoring
2.4. Statistical Analysis
3. Results
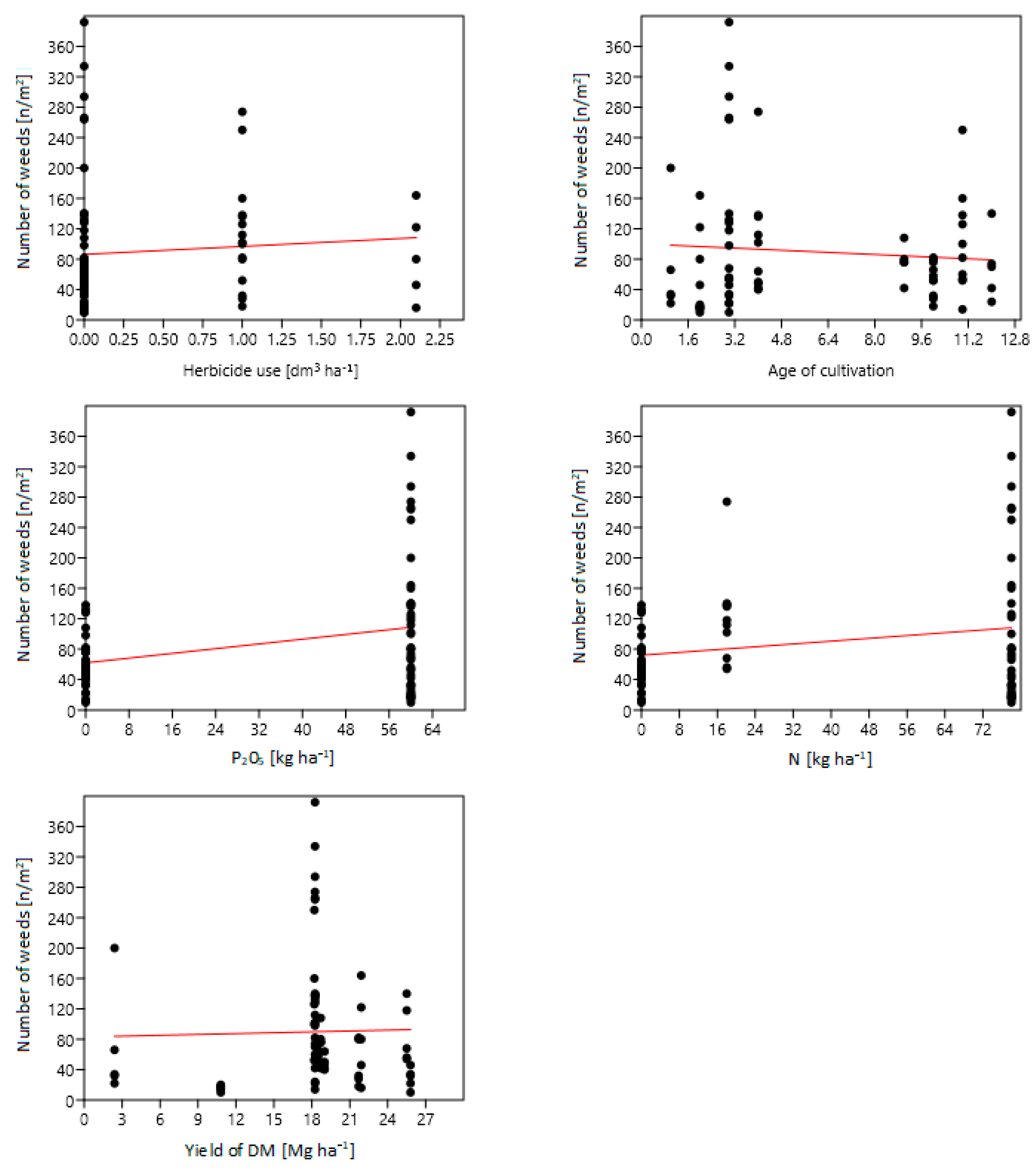
3.1. Diversity of Weeds
3.2. Diversity of Arthropods in Pitfall Traps
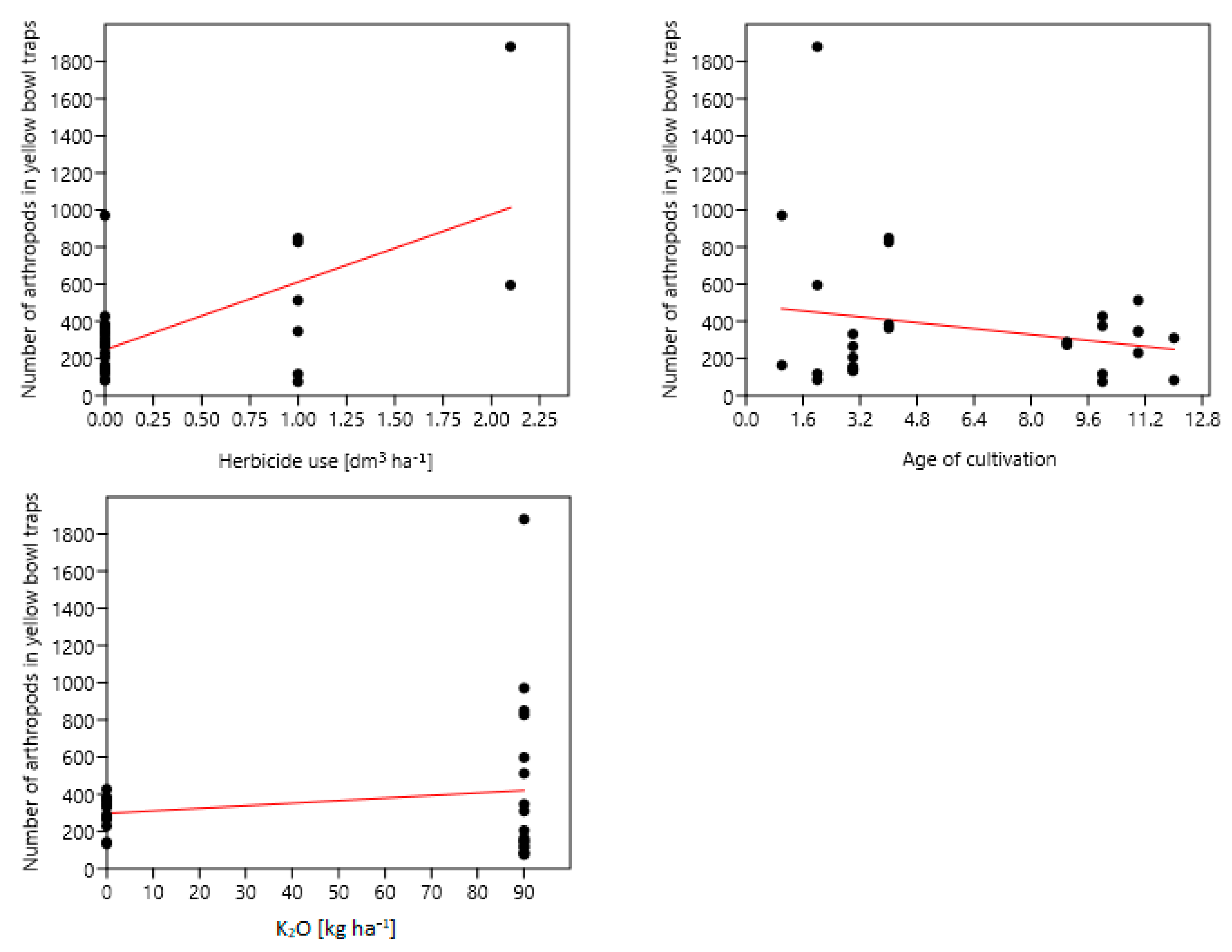
3.3. Diversity of Arthropods in Yellow Bowl Traps
4. Discussion
5. Conclusions
Author Contributions
Funding
Acknowledgments
Conflicts of Interest
References
- Pudełko, R.; Kozak, M.; Jędrejek, A.; Gałczyńska, M.; Pomianek, B. Regionalisation of unutilised agricultural area in Poland. Pol. J. Soil Sci. 2018, 51, 119. [Google Scholar] [CrossRef]
- Stolarski, M.J.; Krzyianiak, M.; Szczukowski, S.; Tworkowski, J.; Bieniek, A. Short rotation woody crops grown on marginal soil for biomass energy. Pol. J. Environ. Stud. 2014, 23, 1727–1739. [Google Scholar]
- Stolarski, M.J.; Krzyżaniak, M.; Załuski, D.; Tworkowski, J.; Szczukowski, S. Effects of Site, Genotype and Subsequent Harvest Rotation on Willow Productivity. Agriculture 2020, 10, 412. [Google Scholar] [CrossRef]
- Dauber, J.; Miyake, S. To integrate or to segregate food crop and energy crop cultivation at the landscape scale? Perspectives on biodiversity conservation in agriculture in Europe. Energy Sustain. Soc. 2016, 6, 25. [Google Scholar] [CrossRef]
- Fletcher, R.J., Jr.; Robertson, B.A.; Evans, J.; Doran, P.J.; Alavalapati, J.R.; Schemske, D.W. Biodiversity conservation in the era of biofuels: Risks and opportunities. Front. Ecol. Environ. 2011, 9, 161–168. [Google Scholar] [CrossRef]
- Feledyn-Szewczyk, B.; Matyka, M.; Staniak, M. Comparison of the Effect of Perennial Energy Crops and Agricultural Crops on Weed Flora Diversity. Agronomy 2019, 9, 695. [Google Scholar] [CrossRef]
- Chmelíková, L.; Wolfrum, S. Mitigating the biodiversity footprint of energy crops—A case study on arthropod diversity. Biomass Bioenergy 2019, 125, 180–187. [Google Scholar]
- Gansberger, M.; Montgomery, L.F.; Liebhard, P. Botanical characteristics, crop management and potential of Silphium perfoliatum L. as a renewable resource for biogas production: A review. Ind. Crop. Prod. 2015, 63, 362–372. [Google Scholar] [CrossRef]
- Purtauf, T.; Roschewitz, I.; Dauber, J.; Thies, C.; Tscharntke, T.; Wolters, V. Landscape context of organic and conventional farms: Influences on carabid beetle diversity. Agr. Ecosyst. Environ. 2005, 108, 165–174. [Google Scholar] [CrossRef]
- Dauber, J.; Purtauf, T.; Allspach, A.; Frisch, J.; Voigtländer, K.; Wolters, V. Local vs. landscape controls on diversity: A test using surface-dwelling soil macroinvertebrates of differing mobility. Global Ecol. Biogeogr. 2005, 14, 213–221. [Google Scholar] [CrossRef]
- Pokluda, P.; Hauck, D.; Cizek, L. Importance of marginal habitats for grassland diversity: Fallows and overgrown tall-grass steppe as key habitats of endangered ground-beetle Carabus hungaricus. Insect Conserv. Diver. 2012, 5, 27–36. [Google Scholar] [CrossRef]
- Poschlod, P.; Bakker, J.P.; Kahmen, S. Changing land use and its impact on biodiversity. Basic Appl. Ecol. 2005, 6, 93–98. [Google Scholar] [CrossRef]
- Werling, B.P.; Dickson, T.L.; Isaacs, R.; Gaines, H.; Gratton, C.; Gross, K.L.; Robertson, B.A. Perennial grasslands enhance biodiversity and multiple ecosystem services in bioenergy landscapes. Proc. Natl. Acad. Sci. USA 2014, 111, 1652–1657. [Google Scholar] [CrossRef] [PubMed]
- Decourtye, A.; Mader, E.; Desneux, N. Landscape enhancement of floral resources for honey bees in agro-ecosystems. Apidologie 2010, 41, 264–277. [Google Scholar] [CrossRef]
- Holzschuh, A.; Steffan-Dewenter, I.; Tscharntke, T. How do landscape composition and configuration, organic farming and fallow strips affect the diversity of bees, wasps and their parasitoids? J. Anim. Ecol. 2010, 79, 491–500. [Google Scholar] [CrossRef]
- Blanco-Canqui, H. Growing dedicated energy crops on marginal lands and ecosystem services. Soil Sci. Soc. Am. J. 2016, 80, 845–858. [Google Scholar] [CrossRef]
- Scholz, V.; Ellerbrock, R. The growth productivity, and environmental impact of the cultivation of energy crops on sandy soil in Germany. Biomass Bioenergy 2002, 23, 81–92. [Google Scholar] [CrossRef]
- Soldatos, P. Economic aspects of bioenergy production from perennial grasses in marginal lands of South Europe. Bioenergy Res. 2015, 8, 1562–1573. [Google Scholar] [CrossRef]
- Paoletti, M.G.; Hassall, M. Woodlice (Isopoda: Onisci-dae): Their potential for assessing sustainability and use asbioindicators. Agric. Ecosyst. Environ. 1999, 74, 157–165. [Google Scholar] [CrossRef]
- Semere, T.; Slater, F.M. Invertebrate populations in miscanthus (Miscanthus × giganteus) and reed canary-grass (Phalaris arundinacea) fields. Biomass Bioenergy 2007, 31, 30–39. [Google Scholar] [CrossRef]
- Vítková, M.; Müllerová, J.; Sádlo, J.; Pergl, J.; Pyšek, P. Black locust (Robinia pseudoacacia) beloved and despised: A story of an invasive tree in Central Europe. Forest. Ecol. Manag. 2017, 384, 287–302. [Google Scholar] [CrossRef] [PubMed]
- McCravy, K.W. A review of sampling and monitoring methods for beneficial arthropods in agroecosystems. Insects 2018, 9, 170. [Google Scholar] [CrossRef]
- Shortall, O.K. “Marginal land” for energy crops: Exploring definitions and embedded assumptions. Energy Policy 2013, 62, 19–27. [Google Scholar] [CrossRef]
- Li, X.; Liu, Y.; Duan, M.; Yu, Z.; Axmacher, J.C. Different response patterns of epigaeic spiders and carabid beetles to varying environmental conditions in fields and semi-natural habitats of an intensively cultivated agricultural landscape. Agric. Ecosyst. Environ. 2018, 264, 54–62. [Google Scholar] [CrossRef]
- Shapiro, L.H.; Tepedino, V.J.; Minckley, R.L. Bowling for bees: Optimal sample number for “bee bowl”sampling transects. J. Insect Conserv. 2014, 18, 1105–1113. [Google Scholar] [CrossRef]
- Spence, J.R.; Niemelä, J.K. Sampling carabid assemblages with pitfall traps: The madness and the method. Can. Entomol. 1994, 126, 881–894. [Google Scholar] [CrossRef]
- Stolarski, J.M.; Szczukowski, S.; Tworkowski, J.; Krzyżaniak, M. Extensive Willow Biomass Production Marginal Land. Pol. J. Environ. Stud. 2019, 6, 4359–4367. [Google Scholar] [CrossRef]
- Biesmeijer, J.C.; Roberts, S.P.M.; Reemer, M.; Ohlemüller, R.; Edwards, M.; Peeters, T.; Schaffers, A.P.; Potts, S.G.; Kleukers, R.; Thomas, C.D.; et al. Parallel declines in pollinators and insect-pollinated plants in Britain and the Netherlands. Science 2006, 313, 351–354. [Google Scholar] [CrossRef]
- Landis, D.A.; Wratten, S.D.; Gurr, G.M. Habitat management to conserve natural enemies of arthropod pests in agriculture. Annu. Rev. Entomol. 2000, 45, 175–201. [Google Scholar] [CrossRef]
- Losey, J.E.; Vaughan, M. The economic value of ecological services provided by insects. BioScience 2006, 56, 311–323. [Google Scholar] [CrossRef]
- Bąkowski, M.; Piekarska-Boniecka, H.; Dolańska-Niedbała, E.; Michaud, J.P. Monitoring of the red-belted clearwing moth, Synanthedon myopaeformis, and its parasitoid Liotryphon crassiseta in apple orchards in yellow Moericke traps. J. Insect Sci. 2013, 13, 1–11. [Google Scholar] [CrossRef] [PubMed]
























| Distance | Weeds Frame [0.5 × 1 m] | Arthropods Pitfall Traps | Arthropods Yellow Bowls |
|---|---|---|---|
| 5 m | Edge of field | − | − |
| 5 m | Frame 1 | Trap 1 | − |
| 5 m | Frame 2 | − | Trap 1 |
| 5 m | Frame 3 | Trap 2 | − |
| 5 m | Frame 4 | − | Trap 2 |
| 5 m | Frame 5 | Trap 3 | − |
| 5 m | Edge of field | − | − |
| Taxa | Average Number in the Sample | |||||||
|---|---|---|---|---|---|---|---|---|
| Order | Family | Species | FL | MG | SP | RP | PM | SW |
| Asterales | Asteraceae | Achillea millefolium | − | − | − | − | − | 0.2 |
| Anthemis arvensis | 14 | − | − | − | − | − | ||
| Artemisia vulgaris | − | − | − | − | − | 10.4 | ||
| Centaurea cyanus | 0.6 | − | − | − | − | − | ||
| Erigeron annuus | 1.2 | − | 8.2 | − | − | 3.4 | ||
| Erigeron canadensis | 12.6 | − | 5 | − | 7.8 | 2.6 | ||
| Galinsoga parviflora | − | − | 0.6 | − | 0.4 | − | ||
| Galinsoga quadriradiata | − | − | 0.8 | − | − | − | ||
| Gnaphalium sylvaticum | − | − | − | 0.4 | − | − | ||
| Lapsana communis | − | 2.4 | − | − | − | − | ||
| Senecio vulgaris | − | − | 4.2 | − | − | − | ||
| Solidago canadensis | 8 | − | − | 26 | − | 9.4 | ||
| Sonchus arvensis | 4.2 | − | 4.6 | − | 0.2 | 0.8 | ||
| Taraxacum officinale | 2 | − | 8.2 | − | 0.2 | 6.4 | ||
| Tragopogon pratensis | 1.4 | − | − | − | − | − | ||
| Tripleurospermum maritimum | 20 | − | 1.8 | − | 20.6 | − | ||
| Boraginales | Boraginaceae | Anchusa arvensis | 1.4 | − | − | − | − | − |
| Anchusa officinalis | − | − | 0.2 | − | − | − | ||
| Brassicales | Brassicaceae | Camelina sativa | − | − | 0.2 | − | − | − |
| Capsella bursa-pastoris | 12.2 | 2.4 | 2.6 | − | 1.8 | 0.6 | ||
| Caryophyllales | Amaranthaceae | Amaranthus retroflexus | 18.2 | − | − | − | 0.2 | 0.6 |
| Chenopodium album | 90.8 | 0.2 | 7.2 | 0.8 | 43.2 | 0.4 | ||
| Caryophyllaceae | Cerastium arvense | − | − | 50.2 | − | − | 12 | |
| Silene latifolia | 0.8 | − | − | − | − | 0.4 | ||
| Stellaria media | 6.6 | − | 16.2 | 0.4 | − | 14.4 | ||
| Polygonaceae | Fallopia convolvulus | − | − | 0.4 | − | − | 0.4 | |
| Polygonum aviculare | − | − | 2.4 | − | 0.4 | 0.2 | ||
| Polygonum lapathifolium | − | − | − | − | 1.2 | − | ||
| Polygonum persicaria | 2.6 | − | − | − | − | − | ||
| Fabales | Fabaceae | Trifolium repens | − | − | 0.6 | − | − | 0.8 |
| Vicia cracca | − | − | 0.6 | − | 0.2 | − | ||
| Vicia villosa | 0.2 | − | − | − | − | − | ||
| Gentianales | Rubiaceae | Galium aparine | − | − | − | 45.2 | − | 29.8 |
| Geraniales | Geraniaceae | Erodium cicutarium | 7.2 | − | 1.4 | − | 6.8 | 2.4 |
| Geranium pratense | 0.2 | − | 3.8 | − | − | − | ||
| Geranium pusillum | − | − | 0.6 | − | − | − | ||
| Geranium robertianum | − | − | − | 3.2 | − | − | ||
| Lamiales | Lamiaceae | Galeopsis tetrahit | − | − | 1 | − | 0.6 | − |
| Plantaginaceae | Plantago major | − | − | − | − | 0.2 | − | |
| Veronica arvensis | − | 0.4 | − | − | − | 0.2 | ||
| Veronica chamaedrys | − | 1.4 | 0.6 | − | 0.4 | 0.2 | ||
| Veronica persica | 1.4 | − | − | − | − | − | ||
| Malpighiales | Violaceae | Viola arvensis | 3 | 2.6 | 1.8 | 1.4 | 5 | 7 |
| Malvales | Malvaceae | Malva sylvestris | 0.2 | − | 0.2 | − | − | − |
| Sida hermaphrodita | − | − | − | − | − | 1.4 | ||
| Oxalidales | Oxalidaceae | Oxalis acetosella | − | − | − | − | 0.2 | − |
| Ranunculales | Papaveraceae | Papaver rhoeas | 2.6 | − | − | − | − | − |
| Rosales | Rosaceae | Geum rivale | − | − | − | − | − | 0.4 |
| Urticaceae | Urtica dioica | − | − | − | 2.6 | − | − | |
| Solanales | Convolvulaceae | Convolvulus arvensis | 3.2 | − | 1 | 0.2 | − | − |
| Poales | Cyperaceae | Carex sp. | − | − | − | 2 | − | − |
| Juncaceae | Luzula campestris | − | − | − | − | 0.2 | − | |
| Poaceae | Agrostis capillaris | 2 | − | − | − | 0.8 | − | |
| Apera spica-venti | 2.6 | 23.2 | − | − | 2.8 | − | ||
| Bromus inermis | 89.2 | 22.8 | − | − | − | − | ||
| Calamagrostis epigejos | − | − | − | 4.8 | − | − | ||
| Echinochloa crus-galli | 19.8 | − | 0.4 | − | − | − | ||
| Elymus repens | 69.2 | 58.8 | 1 | 16 | 2 | 4 | ||
| Elymus elongatus | − | − | 4 | − | − | − | ||
| Festuca rubra | − | − | − | − | − | 24 | ||
| Holcus mollis | − | − | − | − | − | 0.2 | ||
| Lolium perenne | − | − | 0.2 | − | − | − | ||
| Poa annua | 29.6 | 13.6 | 66.6 | − | 2.4 | 11.2 | ||
| Secale cereale | − | − | − | 0.2 | − | − | ||
| xTriticosecale | 12 | − | − | − | 1.6 | − | ||
| Equisetales | Equisetaceae | Equisetum arvense | 1.2 | − | 1.6 | 0.2 | 1.4 | 0.4 |
| Flora by the Frame Method | Crop | |||||
|---|---|---|---|---|---|---|
| FL | MG | SP | RP | PM | SW | |
| Number of weed species | 9 ± 1 a | 3 ± 0.3 d | 7± 0.7 a | 3 ± 0.4 cd | 5 ± 0.5 bc | 7 ± 0.7 ab |
| Number of weeds [m2] | 288 ± 67 a | 74 ± 20 b | 34 ± 45 b | 66 ± 9 b | 46 ± 16 b | 68 ± 19 b |
| Number of melliferous [m2] | 62 ± 21 a | 2 ± 3 b | 14 ± 35 a | 52 ± 6 ab | 18 ± 9 ab | 54 ± 11 ab |
| Number of non-melliferous [m2] | 190 ± 63 a | 60 ± 20 b | 18 ± 27 b | 2 ± 7 b | 18 ± 13 b | 12 ± 18 b |
| Taxa | Average Number in the Sample | |||||||
|---|---|---|---|---|---|---|---|---|
| Order | Family | Species | FL | MG | SP | RP | PM | SW |
| Acari | − | − | 2.9 | 0.2 | 0.7 | 3.1 | 1.4 | 1.8 |
| Trombidiidae | Trombidium holosericeum | − | − | − | − | 0.1 | − | |
| Araneae | Agelenidae | − | 0.8 | 0.1 | 0.1 | 0.1 | 0.2 | 0.2 |
| Araneidae | − | 0.1 | 0.1 | 0.1 | 0.3 | 0.2 | 1.2 | |
| Clubionidae | − | 0.6 | 0.1 | 0.4 | 1.3 | 0.9 | 0.2 | |
| Eutichuridae | Cheiracanthium punctorium | − | − | − | − | − | 0.1 | |
| Linyphiidae | − | 2.6 | 2.4 | 4.4 | 3.2 | 47.0 | 38.4 | |
| Lycosidae | − | 25.2 | 18.2 | 1.9 | 19.4 | 5.4 | 5.7 | |
| Salticidae | − | − | 0.1 | 0.1 | − | − | − | |
| Tetragnathidae | − | − | 0.1 | − | − | − | − | |
| Thomisidae | − | 0.4 | 1.2 | − | 2.3 | 0.4 | 1.3 | |
| Blattodea | Ectobiidae | Ectobius lapponicus | − | − | − | 0.2 | − | − |
| Coleoptera | Cantharidae | - | 0.1 | 0.2 | − | − | − | − |
| Carabidae | - | 52.0 | 38.7 | 32.6 | 30.9 | 66.8 | 52.2 | |
| Cicindela hybrida | 0.3 | − | − | − | − | − | ||
| Chrysomelidae | Chrysomela populi | − | − | − | − | 0.1 | − | |
| − | 6.4 | 0.2 | 1.6 | 2.2 | 1.3 | 1.3 | ||
| Coccinellidae | − | 4.6 | 1.7 | 6.1 | 2.2 | 1.4 | 1.2 | |
| − | − | 1.8 | 4.4 | 3.9 | 5.0 | 2.0 | 0.4 | |
| Curculionidae | − | 0.3 | 0.1 | 2.2 | − | − | 0.8 | |
| Otiorhynchus sp. | 0.2 | 5.8 | − | 0.1 | 0.1 | 1.3 | ||
| Dytiscidae | − | − | − | − | − | 0.1 | − | |
| Elateridae | − | − | 1.0 | 0.2 | 0.1 | 1.4 | 0.6 | |
| Geotrupidae | Geotrupes stercorarius | − | − | − | 0.3 | − | − | |
| Histeridae | − | 0.7 | − | − | 0.1 | − | − | |
| Scarabaeidae | Amphimallon solstitiale | 0.1 | − | − | 0.1 | − | 2.2 | |
| Anomala dubia | 1.4 | − | 0.1 | − | 0.1 | − | ||
| Cetoniinae sp. | − | − | − | 0.1 | − | − | ||
| Melolonthinae sp. | − | 0.2 | − | − | 0.1 | − | ||
| Phyllopertha horticola | 0.1 | − | − | − | − | − | ||
| Silphidae | − | − | − | − | − | 0.6 | − | |
| Sphecidae sp. | 0.3 | − | − | − | − | − | ||
| Staphylinidae | Staphylinidae sp. | 7.6 | 6.6 | 36.6 | 10.9 | 7.6 | 15.3 | |
| Tenebrionidae | − | 0.2 | 6.1 | 1.1 | − | 0.7 | − | |
| Dermaptera | Forficulidae | Forficula auricularia | − | 3.6 | 0.7 | 0.1 | 1.3 | 2.7 |
| Diptera | Asilidae | − | 0.2 | − | − | − | 0.1 | − |
| Bibionidae | − | 0.3 | 2.2 | 6.8 | 3.6 | 0.6 | 5.9 | |
| Culicidae | − | − | − | − | − | 0.1 | − | |
| Muscidae | − | 34.1 | 23.4 | 30.4 | 26.3 | 25.4 | 41.9 | |
| Empididae | − | − | 0.1 | − | 0.1 | − | − | |
| Syrphidae | − | 15.0 | 0.6 | 0.9 | 2.3 | 0.4 | 0.4 | |
| Tipulidae | − | − | − | − | 0.3 | 1.4 | 0.4 | |
| Entomobryomorpha | Entomobryidae | − | 120.1 | 5.4 | 14.2 | 31.8 | 15.0 | 10.2 |
| Hemiptera | Aphididae | − | 6.6 | 3.3 | 20.3 | 1.9 | 1.1 | 5.9 |
| Cicadellidae | − | 2.8 | 2.9 | 2.8 | 7.7 | 1.3 | 7.6 | |
| − | − | − | − | 2.9 | 0.8 | 0.9 | 1.1 | |
| Miridae | − | 27.3 | 0.6 | 3.0 | 1.8 | 1.2 | 0.6 | |
| Nabidae | − | 0.2 | − | − | − | − | − | |
| Pentatomidae | − | 0.4 | − | − | − | − | − | |
| Scutelleridae | − | 0.2 | − | − | − | − | − | |
| Hymenoptera | Apidae | − | 0.6 | 0.1 | 0.1 | − | − | 0.1 |
| Apis mellifera | 0.1 | − | − | − | − | − | ||
| Cephidae | − | − | − | − | − | − | 0.1 | |
| Formicidae | Formica fusca | − | 0.2 | − | 0.1 | − | 0.1 | |
| Formica rufa | 0.1 | − | − | − | − | − | ||
| − | 0.4 | − | − | 0.2 | − | − | ||
| Lasius niger | 44.8 | 55.6 | 50.8 | 8.8 | 4.8 | 16.0 | ||
| Myrmica rubra | 0.3 | 11.1 | 0.4 | 0.6 | − | 2.7 | ||
| Sphecidae | − | 0.1 | − | − | − | − | − | |
| Tenthredinidae | − | − | 0.9 | 1.8 | 1.0 | 3.1 | 3.4 | |
| Vespidae | Aphidiinae sp. | 2.2 | 1.0 | 3.0 | 4.1 | 2.8 | 3.9 | |
| Ichneumonidae sp. | 0.7 | 0.1 | − | 0.6 | 0.3 | 0.6 | ||
| − | 3.2 | 0.1 | - | − | − | − | ||
| Vespinae sp. | 5.4 | 0.1 | 0.2 | − | 0.1 | − | ||
| Isopoda | Porcellionidae | Porcellio scaber | − | − | 0.1 | − | − | − |
| Julida | Blaniulidae | − | − | − | − | 0.1 | 0.2 | − |
| Julidae | − | − | − | − | 0.1 | − | − | |
| Lepidoptera | − | − | 2.6 | 0.9 | 0.8 | 3.7 | 1.7 | 0.6 |
| Nymphalidae | − | − | − | 0.3 | 0.2 | − | − | |
| Pieridae | − | − | − | 0.1 | − | − | − | |
| Silphidae | − | − | − | − | − | − | 0.1 | |
| Tineidae | − | − | - | 0.1 | 1.0 | − | − | |
| Lithobiomorpha | Lithobiidae | Lithobius forficatus | − | 1.7 | 0.7 | 0.3 | 3.3 | 3.7 |
| Neuroptera | Chrysopidae | Chrysopa sp. | − | − | − | − | 0.2 | 0.1 |
| Hemerobiidae | 2212 | − | − | − | − | 0.1 | 0.1 | |
| Opiliones | 2212 | 2212 | 0.7 | 3.0 | 3.8 | 0.2 | 9.9 | 2.9 |
| Orthoptera | Acrididae | Acridinae sp. | − | 0.1 | − | − | − | − |
| Chorthippus albomarginatus | − | − | 0.1 | − | − | − | ||
| Chrysochraon dispar | − | 0.1 | − | − | − | − | ||
| Gryllidae | Gryllus campestris | 0.4 | − | − | − | − | − | |
| Tetrigidae | Tetrix sp. | − | − | − | − | − | 0.2 | |
| Tetrix subulata | 0.2 | − | − | − | − | − | ||
| Tettigoniidae | Pholidoptera griseoaptera | − | 0.1 | − | − | − | − | |
| − | − | 0.1 | − | 0.2 | − | − | ||
| Siphonaptera | Pulicidae | − | 0.2 | − | − | 0.1 | − | − |
| Symphypleona | Sminthuridae | − | 0.8 | 1.4 | 0.1 | 0.8 | − | 1.9 |
| Thysanoptera | − | − | 1.4 | 0.3 | 0.2 | − | 0.1 | 1.4 |
| Arthropods in Pitfall Traps | Crop | |||||
|---|---|---|---|---|---|---|
| FL | MG | SP | RP | PM | SW | |
| Number of arthropods | 357 ± 98 a | 214 ± 41 a | 192 ± 43 a | 186 ± 24 a | 125 ± 75 a | 193 ± 57 a |
| Number of species | 21 ± 1.5 a | 19 ± 1.3 ab | 18 ± 0.6 b | 19 ± 1.1 ab | 19 ± 0.6 b | 22 ± 1.5 ab |
| Number of natural enemies of pests | 109 ± 27 a | 93 ± 18 a | 67 ± 25 a | 73 ± 13 a | 61 ± 65 a | 59 ± 51 a |
| Number of potential pests | 86 ± 25 a | 64 ± 29 a | 92 ± 21 a | 34 ± 7 ab | 20 ± 4 b | 59 ± 7 ab |
| Number of detritivores | 161 ± 94 a | 65 ± 29 a | 105 ± 21 a | 79 ± 19 a | 61 ± 32 a | 99 ± 32 a |
| Taxa | Average Number in the Sample | |||||||
|---|---|---|---|---|---|---|---|---|
| Order | Family | Species | FL | MG | SP | RP | PM | SW |
| Acari | − | − | − | 1.0 | − | 6.8 | 0.5 | 0.2 |
| Trombidiidae | Trombidium holosericeum | − | 0.2 | − | − | − | − | |
| Araneae | Araneidae | − | 1.3 | 2.2 | 0.8 | 0.5 | 0.7 | 0.5 |
| Clubionidae | − | 0.2 | 0.2 | − | 0.3 | 0.3 | 0.2 | |
| Linyphiidae | − | 1.0 | 0.2 | 0.3 | − | 1.0 | 1.5 | |
| Lycosidae | − | 0.3 | − | 0.2 | − | − | − | |
| Pisauridae | Pisaura mirabilis | − | 0,2 | 0.2 | − | − | − | |
| Salticidae | − | − | − | − | − | − | 0.2 | |
| Tetragnathidae | − | 0.7 | 1.3 | 0.2 | 0.2 | 0.2 | − | |
| Thomisidae | − | 0.2 | 0.3 | 0.2 | − | 0.2 | − | |
| Coleoptera | Anthicidae | Notoxus monoceros | 0.2 | − | 0.2 | − | − | 0.3 |
| Cantharidae | − | 1.0 | − | − | 0.3 | 1.2 | 1.2 | |
| Carabidae | − | 2.0 | 1.5 | 0.2 | 2.0 | 1.2 | 0.8 | |
| Cicindela hybrida | 0.2 | − | − | − | − | − | ||
| Cerambycidae | − | − | − | 0.2 | 0.2 | − | − | |
| Chrysomelidae | Alticinae sp. | − | − | − | − | − | 0.7 | |
| Chrysomela populi | − | − | − | − | 0.5 | − | ||
| − | 26.8 | 16.3 | 3.2 | 5.5 | 4.0 | 16.5 | ||
| Oulema sp. | − | − | − | − | 0.7 | 0.8 | ||
| Coccinellidae | − | 1.2 | 1.2 | 2.7 | 1.7 | 2.7 | 0.3 | |
| − | − | 24.5 | 5.2 | 52.5 | 18.5 | 24.5 | 7.2 | |
| Curculionidae | − | 1.7 | 0.3 | − | 0.7 | 0.7 | 12.3 | |
| Otiorhynchus sp. | − | 0.3 | − | − | 0.2 | 0.8 | ||
| Elateridae | − | 0.7 | − | − | 0.3 | − | 0.3 | |
| Histeridae | − | 0.3 | − | − | − | − | − | |
| Scarabaeidae | Amphimallon solstitiale | 0.5 | 0.7 | − | − | − | 16.2 | |
| Anomala dubia | 0.8 | 0.2 | 0.2 | − | − | 0.2 | ||
| Cetoniinae sp. | 0.5 | 0.8 | − | 0.2 | - | 0.2 | ||
| Melolonthinae sp. | − | − | 0.2 | 0.2 | 0.8 | − | ||
| Oxythyrea funesta | 3.2 | 7.0 | 0.2 | − | − | 1.0 | ||
| Phyllopertha horticola | 0.2 | − | − | 0.2 | − | 0.7 | ||
| Rutelinae sp. | − | − | − | 0.2 | − | − | ||
| Silphidae | Nicrophorus vespillo | − | − | 0.5 | − | − | − | |
| Staphylinidae | − | 4.5 | 3.0 | 6.0 | 2.8 | 3.5 | 2.0 | |
| Dermaptera | Forficulidae | Forficula auricularia | − | 0.5 | 0.7 | − | − | 0.7 |
| Diptera | Asilidae | − | 1.8 | 0.7 | 0.2 | − | 0.3 | 0.7 |
| Bibionidae | − | 5.8 | 6.2 | 10.8 | 4.5 | 17.2 | 33.8 | |
| Bombyliidae | Bombylius major | − | − | − | 0.2 | − | − | |
| Cecidomyiidae | − | 0.3 | 1.2 | 0.7 | 3.5 | 0.8 | 2.5 | |
| Culicidae | − | 0.5 | − | − | 0.3 | 0.2 | 1.0 | |
| Muscidiale | − | 116.2 | 77.2 | 91.0 | 105.0 | 290.0 | 191.0 | |
| Empididae | − | 0.2 | 0.8 | − | 0.7 | − | 0.8 | |
| Syrphidae | Eristalis tenax | − | − | − | − | − | 0.3 | |
| 70.2 | 11.3 | 7.5 | 41.2 | 10.0 | 20.5 | |||
| Tabanidae | − | 0.3 | 0.2 | − | − | − | 0.2 | |
| Tipulidae | − | 1.3 | 0.2 | − | − | 5.7 | 1.3 | |
| Entomobryomorpha | Entomobryidae | − | 5.7 | 0.5 | 2.3 | 1.0 | 1.8 | 0.5 |
| Hemiptera | Aphididae | − | 42.0 | 30.0 | 44.3 | 27.2 | 31.8 | 38.3 |
| Cicadellidae | − | 5.3 | 2.0 | 2.0 | 5.7 | 63.3 | 15.8 | |
| − | − | 0.2 | 0.5 | 1.5 | − | 1.5 | 0.8 | |
| Miridae | − | 12.5 | 0.7 | 0.8 | 0.8 | 0.5 | 7.3 | |
| Nabidae | − | 0.5 | 0.2 | − | 0.2 | 0.2 | 0.3 | |
| Hymenoptera | Apidae | − | 11.8 | 2.7 | 6.5 | 3.0 | 1.7 | 3.5 |
| Apis mellifera | 1.0 | - | 1.2 | 0.8 | 0.5 | 2.7 | ||
| Bombus sp. | 0.7 | 0.2 | 2.2 | 0.2 | 0.7 | 0.5 | ||
| Cephidae | − | 1.0 | 1.3 | 1.3 | 1.3 | 3.5 | 6.3 | |
| Formicidae | − | 3.5 | − | − | − | 2.2 | − | |
| Lasius niger | 2.8 | 4.8 | 1.0 | 2.0 | 3.7 | 0.8 | ||
| Myrmica rubra | 0.2 | 0.2 | − | 0.2 | 0.5 | − | ||
| Pamphiliidae | − | 0.2 | − | − | 1.3 | 0.2 | 0.2 | |
| Tenthredinidae | − | 14.8 | 6.5 | 4.5 | 16.3 | 13.7 | 7.2 | |
| Vespidae | Aphidiinae sp. | 10.7 | 30.0 | 11.7 | 30.3 | 30.2 | 30.5 | |
| Ichneumonidae sp. | 5.7 | 3.2 | 1.0 | 3.8 | 9.0 | 10.7 | ||
| − | 1.2 | 0.3 | − | − | 0.3 | 0.7 | ||
| Vespinae sp. | 4.5 | 2.2 | 5.0 | 5.0 | 15.5 | 5.3 | ||
| Lepidoptera | Lycaenidae | − | − | − | - | 1.5 | − | − |
| − | − | 0.7 | 0.7 | 0.7 | 9.0 | 2.5 | 2.8 | |
| Noctuidae | − | - | − | 0.7 | − | − | − | |
| Nymphalidae | − | - | 0.2 | − | 6.0 | 0.8 | 0.8 | |
| Tineidae | − | 0.2 | − | − | 5.7 | − | − | |
| Mecoptera | − | − | 0.2 | − | − | − | − | − |
| Neuroptera | Chrysopidae | Chrysopa sp. | 0.2 | − | 0.3 | 1.3 | 1.8 | 0.7 |
| Hemerobiidae | − | − | 0.2 | 0.3 | − | 0.5 | − | |
| Opiliones | − | − | − | − | 0.8 | − | − | − |
| Orthoptera | Acridinae | − | 0.2 | − | − | − | − | − |
| Tettigoniidae | Tettigonia viridissima | − | − | 0.2 | − | − | − | |
| − | − | 0.2 | − | − | − | − | ||
| Raphidioptera | − | − | − | − | − | − | − | 0.2 |
| Symphypleona | Sminthuridae | − | − | 0.2 | − | 0.7 | 0.2 | − |
| Thysanoptera | − | − | 14.3 | 14.2 | 6.5 | 3.8 | 4.5 | 8.8 |
| Zygoptera | Calopterygidae | − | − | − | − | − | 0.2 | − |
| Arthropods in Yellow Bowls | Crop | |||||
|---|---|---|---|---|---|---|
| FL | MG | SP | RP | PM | SW | |
| Number of arthropods | 404 ± 101 a | 213 ± 91 a | 151 ± 175 a | 318 ± 37 a | 299±342 a | 374 ± 156 a |
| Number of species | 27 ± 3.4 a | 19 ± 3.6 a | 16 ± 1 a | 21 ± 4.2 a | 24 ± 1.9 a | 26 ± 3.7 a |
| Number of natural enemies | 121 ± 64 a | 35 ± 29 a | 29 ± 12 a | 58 ± 36 a | 86 ± 11 a | 51 ± 29 a |
| Number of potential pests | 118 ± 59 a | 85 ± 39 a | 87 ± 82 a | 111 ± 16 a | 152 ± 91 a | 95 ± 92 a |
| Number of pollinators | 74 ± 68 a | 26 ± 29 a | 28 ± 17 a | 116 ± 42 a | 77 ± 15 a | 78 ± 24 a |
Publisher’s Note: MDPI stays neutral with regard to jurisdictional claims in published maps and institutional affiliations. |
© 2020 by the authors. Licensee MDPI, Basel, Switzerland. This article is an open access article distributed under the terms and conditions of the Creative Commons Attribution (CC BY) license (http://creativecommons.org/licenses/by/4.0/).
Share and Cite
Radzikowski, P.; Matyka, M.; Berbeć, A.K. Biodiversity of Weeds and Arthropods in Five Different Perennial Industrial Crops in Eastern Poland. Agriculture 2020, 10, 636. https://doi.org/10.3390/agriculture10120636
Radzikowski P, Matyka M, Berbeć AK. Biodiversity of Weeds and Arthropods in Five Different Perennial Industrial Crops in Eastern Poland. Agriculture. 2020; 10(12):636. https://doi.org/10.3390/agriculture10120636
Chicago/Turabian StyleRadzikowski, Paweł, Mariusz Matyka, and Adam Kleofas Berbeć. 2020. "Biodiversity of Weeds and Arthropods in Five Different Perennial Industrial Crops in Eastern Poland" Agriculture 10, no. 12: 636. https://doi.org/10.3390/agriculture10120636
APA StyleRadzikowski, P., Matyka, M., & Berbeć, A. K. (2020). Biodiversity of Weeds and Arthropods in Five Different Perennial Industrial Crops in Eastern Poland. Agriculture, 10(12), 636. https://doi.org/10.3390/agriculture10120636

