Atherogenic Index of Plasma Is a Potential Biomarker for Severe Acute Pancreatitis: A Prospective Observational Study
Abstract
1. Introduction
2. Materials and Methods
2.1. Study Population
2.2. Diagnostic Criteria
2.3. Data Collection
2.4. Statistical Analysis
3. Results
3.1. Baseline Characteristics of Patients
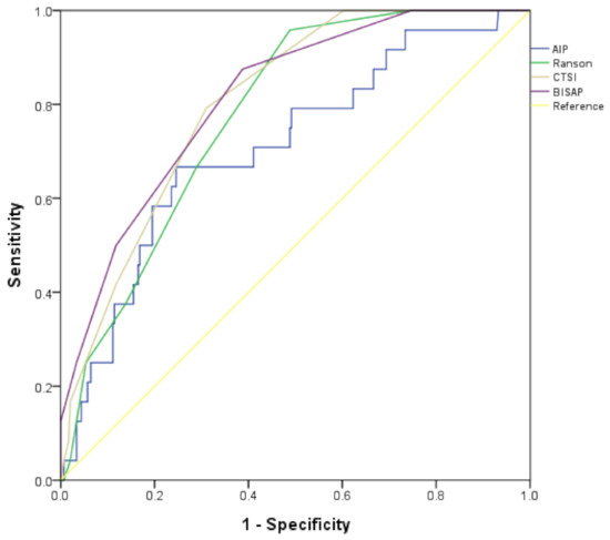
3.2. The AIP and Scoring Systems for Predicting SAP
3.3. Predictive Factors Affecting SAP and ICU Admission
4. Discussion
Author Contributions
Funding
Acknowledgments
Conflicts of Interest
References
- Yadav, D.; Lowenfels, A.B. Trends in the epidemiology of the first attack of acute pancreatitis: A systematic review. Pancreas 2006, 33, 323–330. [Google Scholar] [CrossRef]
- Crockett, S.D.; Wani, S.; Gardner, T.B.; Falck-Ytter, Y.; Barkun, A.N.; American Gastroenterological Association Institute Clinical Guidelines, Committee. American gastroenterological association institute guideline on initial management of acute pancreatitis. Gastroenterology 2018, 154, 1096–1101. [Google Scholar] [CrossRef] [PubMed]
- Koutroumpakis, E.; Slivka, A.; Furlan, A.; Dasyam, A.K.; Dudekula, A.; Greer, J.B.; Whitcomb, D.C.; Yadav, D.; Papachristou, G.I. Management and outcomes of acute pancreatitis patients over the last decade: A us tertiary-center experience. Pancreatology 2017, 17, 32–40. [Google Scholar] [CrossRef] [PubMed]
- Banks, P.A.; Bollen, T.L.; Dervenis, C.; Gooszen, H.G.; Johnson, C.D.; Sarr, M.G.; Tsiotos, G.G.; Vege, S.S.; Acute Pancreatitis Classification Working, G. Classification of acute pancreatitis-2012: Revision of the atlanta classification and definitions by international consensus. Gut 2013, 62, 102–111. [Google Scholar] [CrossRef] [PubMed]
- Van Dijk, S.M.; Hallensleben, N.D.L.; van Santvoort, H.C.; Fockens, P.; van Goor, H.; Bruno, M.J.; Besselink, M.G.; Dutch Pancreatitis Study, G. Acute pancreatitis: Recent advances through randomised trials. Gut 2017, 66, 2024–2032. [Google Scholar] [CrossRef] [PubMed]
- Ranson, J.H.; Rifkind, K.M.; Roses, D.F.; Fink, S.D.; Eng, K.; Localio, S.A. Objective early identification of severe acute pancreatitis. Am. J. Gastroenterol. 1974, 61, 443–451. [Google Scholar]
- Larvin, M.; McMahon, M.J. Apache-ii score for assessment and monitoring of acute pancreatitis. Lancet 1989, 2, 201–205. [Google Scholar] [CrossRef]
- Balthazar, E.J.; Robinson, D.L.; Megibow, A.J.; Ranson, J.H. Acute pancreatitis: Value of CT in establishing prognosis. Radiology 1990, 174, 331–336. [Google Scholar] [CrossRef] [PubMed]
- Wu, B.U.; Johannes, R.S.; Sun, X.; Tabak, Y.; Conwell, D.L.; Banks, P.A. The early prediction of mortality in acute pancreatitis: A large population-based study. Gut 2008, 57, 1698–1703. [Google Scholar] [CrossRef]
- Riche, F.C.; Cholley, B.P.; Laisne, M.J.; Vicaut, E.; Panis, Y.H.; Lajeunie, E.J.; Boudiaf, M.; Valleur, P.D. Inflammatory cytokines, c reactive protein, and procalcitonin as early predictors of necrosis infection in acute necrotizing pancreatitis. Surgery 2003, 133, 257–262. [Google Scholar] [CrossRef]
- Zhang, X.; Zhang, X.; Li, X.; Feng, J.; Chen, X. Association of metabolic syndrome with atherogenic index of plasma in an urban chinese population: A 15-year prospective study. Nutr. Metab. Cardiovasc. Dis. 2019, 29, 1214–1219. [Google Scholar] [CrossRef]
- Cai, G.; Liu, W.; Lv, S.; Wang, X.; Guo, Y.; Yan, Z.; Du, Y.; Zhou, Y. Gender-specific associations between atherogenic index of plasma and the presence and severity of acute coronary syndrome in very young adults: A hospital-based observational study. Lipids Health Dis. 2019, 18, 99. [Google Scholar] [CrossRef] [PubMed]
- Navina, S.; Acharya, C.; DeLany, J.P.; Orlichenko, L.S.; Baty, C.J.; Shiva, S.S.; Durgampudi, C.; Karlsson, J.M.; Lee, K.; Bae, K.T.; et al. Lipotoxicity causes multisystem organ failure and exacerbates acute pancreatitis in obesity. Sci. Transl. Med. 2011, 3, 107ra110. [Google Scholar] [CrossRef] [PubMed]
- Khan, J.; Nordback, I.; Sand, J. Serum lipid levels are associated with the severity of acute pancreatitis. Digestion 2013, 87, 223–228. [Google Scholar] [CrossRef] [PubMed]
- Zhang, Y.; Guo, F.; Li, S.; Wang, F.; Meng, Z.; Zhao, J.; Liu, Z.; Wang, B.; Fan, P.; Wang, C.; et al. Decreased high density lipoprotein cholesterol is an independent predictor for persistent organ failure, pancreatic necrosis and mortality in acute pancreatitis. Sci. Rep. 2017, 7, 8064. [Google Scholar] [CrossRef] [PubMed]
- Nawaz, H.; Koutroumpakis, E.; Easler, J.; Slivka, A.; Whitcomb, D.C.; Singh, V.P.; Yadav, D.; Papachristou, G.I. Elevated serum triglycerides are independently associated with persistent organ failure in acute pancreatitis. Am. J. Gastroenterol. 2015, 110, 1497–1503. [Google Scholar] [CrossRef]
- Working Group IAP/APA Acute Pancreatitis Guidelines. IAP/APA evidence-based guidelines for the management of acute pancreatitis. Pancreatology 2013, 13, e1–e15. [Google Scholar] [CrossRef] [PubMed]
- Zerem, E. Treatment of severe acute pancreatitis and its complications. World J. Gastroenterol. 2014, 20, 13879–13892. [Google Scholar] [CrossRef]
- Papachristou, G.I. Prediction of severe acute pancreatitis: Current knowledge and novel insights. World J. Gastroenterol. 2008, 14, 6273–6275. [Google Scholar] [CrossRef]
- Krishna, S.G.; Hinton, A.; Oza, V.; Hart, P.A.; Swei, E.; El-Dika, S.; Stanich, P.P.; Hussan, H.; Zhang, C.; Conwell, D.L. Morbid obesity is associated with adverse clinical outcomes in acute pancreatitis: A propensity-matched study. Am. J. Gastroenterol. 2015, 110, 1608–1619. [Google Scholar] [CrossRef]
- Mikolasevic, I.; Milic, S.; Orlic, L.; Poropat, G.; Jakopcic, I.; Franjic, N.; Klanac, A.; Kristo, N.; Stimac, D. Metabolic syndrome and acute pancreatitis. Eur. J. Intern. Med. 2016, 32, 79–83. [Google Scholar] [CrossRef] [PubMed]
- Mazidi, M.; Katsiki, N.; Mikhailidis, D.P.; Banach, M. Association of ideal cardiovascular health metrics with serum uric acid, inflammation and atherogenic index of plasma: A population-based survey. Atherosclerosis 2019, 284, 44–49. [Google Scholar] [CrossRef] [PubMed]
- Zhu, X.; Yu, L.; Zhou, H.; Ma, Q.; Zhou, X.; Lei, T.; Hu, J.; Xu, W.; Yi, N.; Lei, S. Atherogenic index of plasma is a novel and better biomarker associated with obesity: A population-based cross-sectional study in china. Lipids Health Dis. 2018, 17, 37. [Google Scholar] [CrossRef] [PubMed]
- Bhatia, M.; Wong, F.L.; Cao, Y.; Lau, H.Y.; Huang, J.; Puneet, P.; Chevali, L. Pathophysiology of acute pancreatitis. Pancreatology 2005, 5, 132–144. [Google Scholar] [CrossRef] [PubMed]
- Danckwardt, S.; Hentze, M.W.; Kulozik, A.E. Pathologies at the nexus of blood coagulation and inflammation: Thrombin in hemostasis, cancer, and beyond. J. Mol. Med. 2013, 91, 1257–1271. [Google Scholar] [CrossRef]
- Dumnicka, P.; Maduzia, D.; Ceranowicz, P.; Olszanecki, R.; Drozdz, R.; Kusnierz-Cabala, B. The interplay between inflammation, coagulation and endothelial injury in the early phase of acute pancreatitis: Clinical implications. Int. J. Mol. Sci. 2017, 18, 354. [Google Scholar] [CrossRef] [PubMed]
- Stirling, A.D.; Moran, N.R.; Kelly, M.E.; Ridgway, P.F.; Conlon, K.C. The predictive value of c-reactive protein (crp) in acute pancreatitis—is interval change in crp an additional indicator of severity? HPB 2017, 19, 874–880. [Google Scholar] [CrossRef]
- Khatua, B.; El-Kurdi, B.; Singh, V.P. Obesity and pancreatitis. Curr. Opin. Gastroenterol. 2017, 33, 374–382. [Google Scholar] [CrossRef] [PubMed]
- Bakker, O.J.; van Santvoort, H.; Besselink, M.G.; Boermeester, M.A.; van Eijck, C.; Dejong, K.; van Goor, H.; Hofker, S.; Ahmed Ali, U.; Gooszen, H.G.; et al. Extrapancreatic necrosis without pancreatic parenchymal necrosis: A separate entity in necrotising pancreatitis? Gut 2013, 62, 1475–1480. [Google Scholar] [CrossRef] [PubMed]
- Mosztbacher, D.; Hanak, L.; Farkas, N.; Szentesi, A.; Miko, A.; Bajor, J.; Sarlos, P.; Czimmer, J.; Vincze, R.; Hegyi, P.J.; et al. Hypertriglyceridemia-induced acute pancreatitis: A prospective, multicenter, international cohort analysis of 716 acute pancreatitis cases. Pancreatology 2020, 20, 606–608. [Google Scholar] [CrossRef]
- De Pretis, N.; Amodio, A.; Frulloni, L. Hypertriglyceridemic pancreatitis: Epidemiology, pathophysiology and clinical management. United Eur. Gastroenterol. J. 2018, 6, 649–655. [Google Scholar] [CrossRef] [PubMed]
- Murphy, A.J.; Woollard, K.J. High-density lipoprotein: A potent inhibitor of inflammation. Clin. Exp. Pharmacol. Physiol. 2010, 37, 710–718. [Google Scholar] [CrossRef] [PubMed]
- Dobiasova, M.; Frohlich, J. The plasma parameter log (tg/hdl-c) as an atherogenic index: Correlation with lipoprotein particle size and esterification rate in apob-lipoprotein-depleted plasma (fer(hdl)). Clin. Biochem. 2001, 34, 583–588. [Google Scholar] [CrossRef]


| Variable | N = 323 | SAP (n = 24) | Non-SAP (n = 299) | p-Value |
|---|---|---|---|---|
| Gender (Male: Female) | 271(68.8%):123(31.2%) | 14(58.3%):10(41.7%) | 209(69.9%):90(30.1%) | 0.238 |
| Age, years | 56.2 ± 18.3 | 54.7 ± 21.4 | 56.3 ± 18.1 | 0.689 |
| Etiology of acute pancreatitis | 0.134 | |||
| Gallstone | 171 (52.9%) | 8 (33.3%) | 163 (54.5%) | |
| Alcohol | 122 (37.8%) | 13 (54.2%) | 109 (36.5%) | |
| Hypertriglyceridemia | 30 (9.3%) | 3 (12.5%) | 27 (9%) | |
| Smoking | 143 (44.3%) | 12 (50%) | 131 (43.8%) | 0.557 |
| Hypertension | 124 (38.4%) | 10 (41.7%) | 114 (38.1%) | 0.732 |
| Diabetes Mellitus | 87 (26.9%) | 6 (25%) | 81 (27.1%) | 0.824 |
| Body mass index, kg/m2 | 24.3 ± 4.6 | 25.6 ± 5.4 | 24.2 ± 4.5 | 0.162 |
| Atlanta classification | ||||
| Mild | 181 (56%) | |||
| Moderately severe | 118 (36.5%) | |||
| Severe | 24 (7.4%) | |||
| Ranson | 2.7 ± 1.6 | 4.2 ± 1.3 | 2.6 ± 1.6 | <0.001 |
| CTSI | 2.1 ± 1.4 | 3.5 ± 1.4 | 1.9 ± 1.3 | <0.001 |
| BISAP | 1.3 ± 1.1 | 2.7 ± 1.2 | 1.2 ± 1.0 | <0.001 |
| Hospital stay, days | 6.5 ± 5.5 | 13.2 ± 7.1 | 6.0 ± 5.0 | <0.001 |
| Intensive care unit admission | 40 (12.4%) | 14 (58.3%) | 26 (8.7%) | <0.001 |
| Mortality | 6 (1.9%) | 5 (20.8%) | 1 (0.3%) | <0.001 |
| Laboratory findings | ||||
| C-reactive protein, mg/dL | 4.6 ± 7.1 | 6.4 ± 9.6 | 4.5 ± 6.8 | 0.355 |
| Procalcitonin, ng/mL | 5.4 ± 21.8 | 19.8 ± 52.6 | 4.3 ± 16.8 | 0.163 |
| HDL, mg/dL | 37.7 ± 18.3 | 33.9 ± 18.9 | 38.0 ± 18.3 | 0.296 |
| Triglycerides, mg/dL | 302.1 ± 723 | 544.3 ± 860.5 | 282.7 ± 709.2 | 0.088 |
| AIP | 0.6 ± 0.5 | 1.0 ± 0.6 | 0.5 ± 0.5 | <0.001 |
| Variable | AUC | Standard Error | 95% CI | p-Value |
|---|---|---|---|---|
| AIP | 0.709 | 0.056 | 0.600–0.819 | 0.001 |
| TG | 0.683 | 0.040 | 0.606–0.761 | 0.003 |
| HDL | 0.371 | 0.057 | 0.260–0.482 | 0.035 |
| CTSI | 0.805 | 0.037 | 0.734–0.877 | <0.001 |
| Ranson score | 0.778 | 0.038 | 0.704–0.852 | <0.001 |
| BISAP | 0.813 | 0.040 | 0.734–0.892 | <0.001 |
| Statistics | Body Mass Index | White Blood Cell | C-Reactive Protein | Atlanta Classification |
|---|---|---|---|---|
| AIP | ||||
| R | 0.134 | 0.146 | 0.236 | 0.256 |
| p-Value | 0.016 | 0.009 | <0.001 | <0.001 |
| Variable | OR | p-Value * | OR | 95% CI | p-Value # |
|---|---|---|---|---|---|
| Gender (Male) | 0.603 | 0.242 | 0.406 | 0.152–1.084 | 0.406 |
| Age | 0.995 | 0.688 | 1.006 | 0.975–1.038 | 0.708 |
| Gallstone | 0.417 | 0.051 | 2.069 | 0.288–14.870 | 0.470 |
| Alcohol | 2.060 | 0.090 | 5.782 | 1.111–30.088 | 0.037 |
| Smoking | 1.282 | 0.558 | |||
| Hypertension | 1.159 | 0.732 | |||
| Diabetes mellitus | 0.897 | 0.824 | |||
| Body mass index | 1.067 | 0.157 | 1.077 | 0.975–1.189 | 0.143 |
| C-reactive protein | 1.031 | 0.214 | |||
| Procalcitonin | 1.015 | 0.008 | 1.013 | 1.000–1.025 | 0.043 |
| AIP | 3.119 | <0.001 | 4.571 | 1.913–10.922 | 0.001 |
© 2020 by the authors. Licensee MDPI, Basel, Switzerland. This article is an open access article distributed under the terms and conditions of the Creative Commons Attribution (CC BY) license (http://creativecommons.org/licenses/by/4.0/).
Share and Cite
Cho, S.K.; Kim, J.W.; Huh, J.H.; Lee, K.J. Atherogenic Index of Plasma Is a Potential Biomarker for Severe Acute Pancreatitis: A Prospective Observational Study. J. Clin. Med. 2020, 9, 2982. https://doi.org/10.3390/jcm9092982
Cho SK, Kim JW, Huh JH, Lee KJ. Atherogenic Index of Plasma Is a Potential Biomarker for Severe Acute Pancreatitis: A Prospective Observational Study. Journal of Clinical Medicine. 2020; 9(9):2982. https://doi.org/10.3390/jcm9092982
Chicago/Turabian StyleCho, Seung Kook, Jae Woo Kim, Ji Hye Huh, and Kyong Joo Lee. 2020. "Atherogenic Index of Plasma Is a Potential Biomarker for Severe Acute Pancreatitis: A Prospective Observational Study" Journal of Clinical Medicine 9, no. 9: 2982. https://doi.org/10.3390/jcm9092982
APA StyleCho, S. K., Kim, J. W., Huh, J. H., & Lee, K. J. (2020). Atherogenic Index of Plasma Is a Potential Biomarker for Severe Acute Pancreatitis: A Prospective Observational Study. Journal of Clinical Medicine, 9(9), 2982. https://doi.org/10.3390/jcm9092982

