Changes in Red Blood Cell Properties and Platelet Function during Extracorporeal Membrane Oxygenation
Abstract
1. Introduction
2. Experimental Section
2.1. Trial Design and Patients
2.2. Study Population
2.3. ECMO Management
2.4. Blood Sampling
2.5. Laser-Assisted Optical Rotational Red Cell Analyzer
2.6. Multiple Electrode Aggregometry
2.7. Statistics
3. Results
3.1. Population
3.2. Laser-Assisted Optical Rotational Red Cell Analyzer
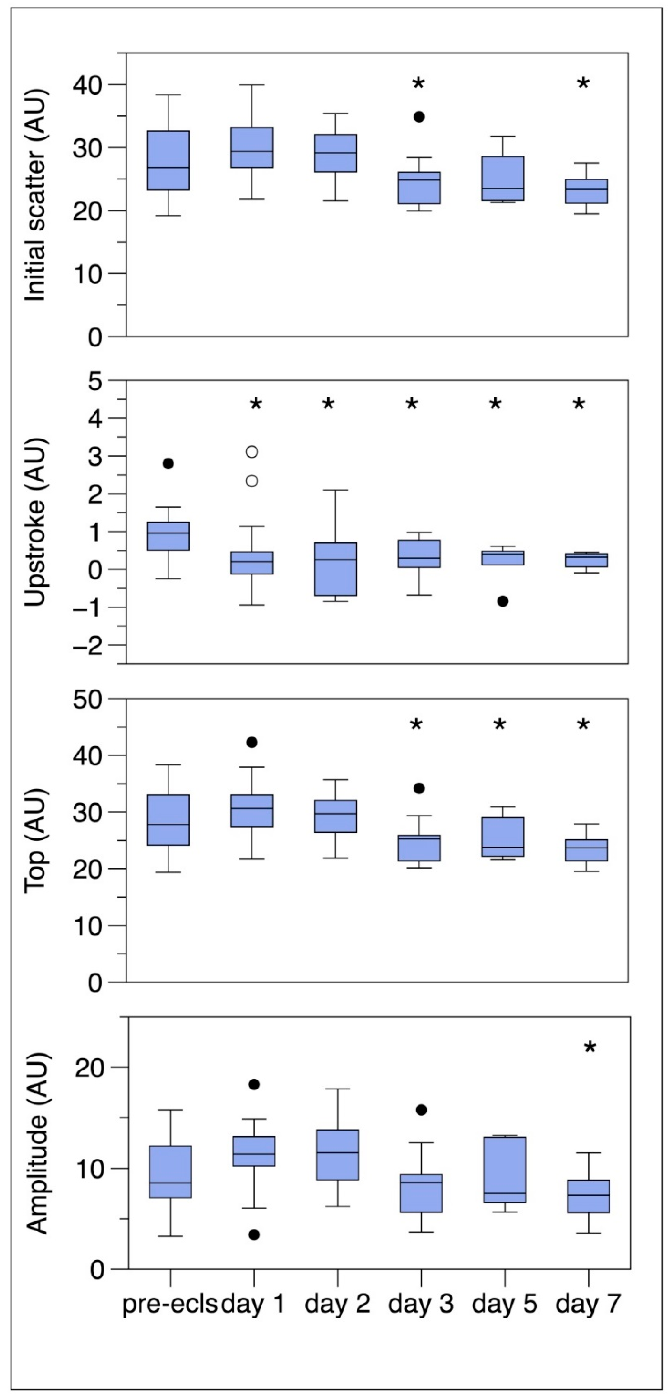
3.2.1. Red Blood Cell Aggregation
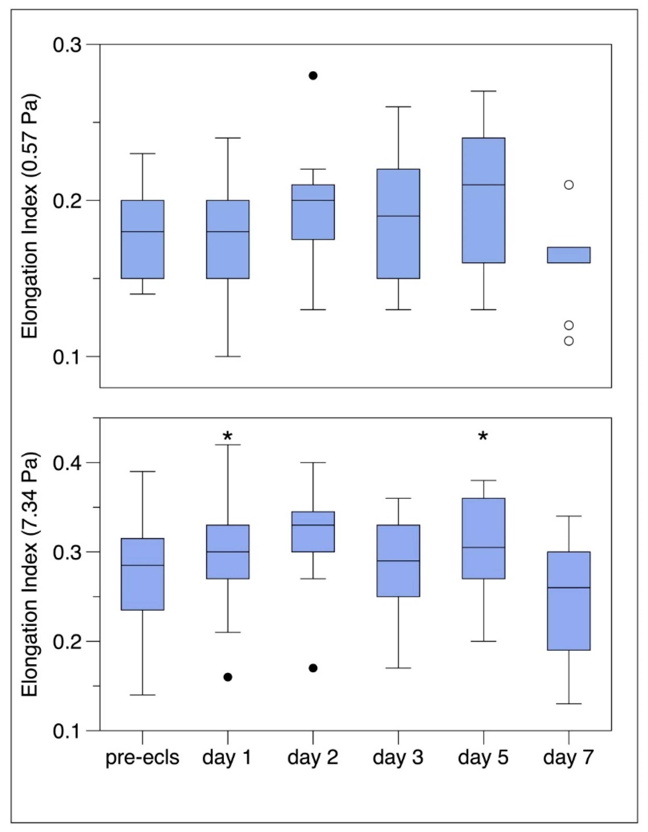
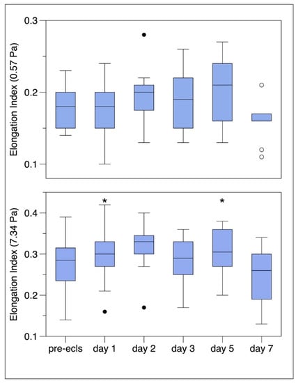
3.2.2. Red Blood Cell Deformability
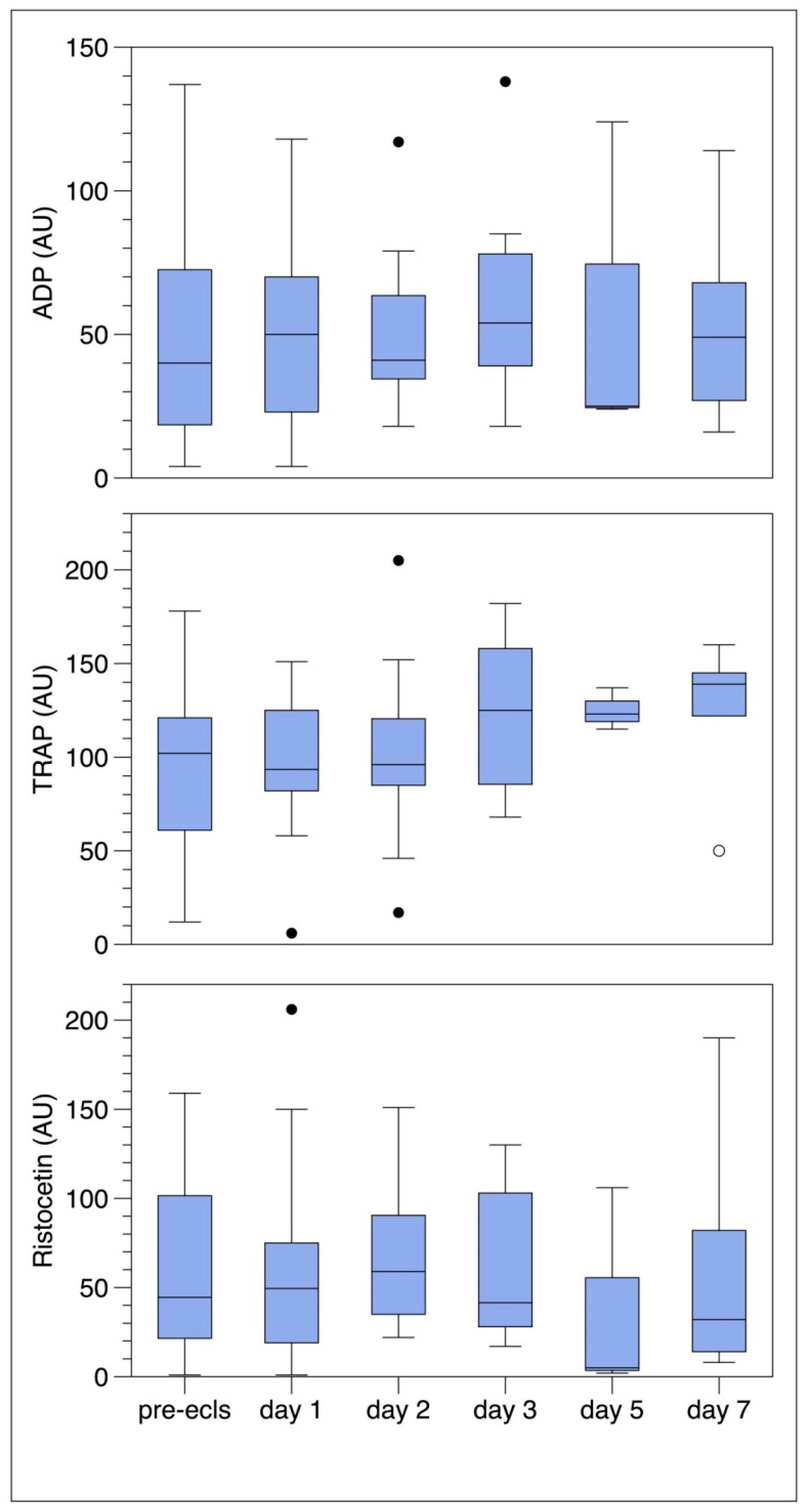
3.3. Platelet Function Analysis with Multiplate
4. Discussion
5. Conclusions
Author Contributions
Funding
Acknowledgments
Conflicts of Interest
References
- Thiagarajan, R.R.; Barbaro, R.P.; Rycus, P.T.; Mcmullan, D.M.; Conrad, S.A.; Fortenberry, J.D.; Paden, M.L.; ELSO Member Centers. Extracorporeal life support organization registry international report 2016. ASAIO J. 2017, 63, 60–67. [Google Scholar] [CrossRef] [PubMed]
- Lehle, K.; Philipp, A.; Zeman, F.; Lunz, D.; Lubnow, M.; Wendel, H.P.; Göbölös, L.; Schmid, C.; Müller, T. Technical-induced hemolysis in patients with respiratory failure supported with veno-venous ECMO—Prevalence and risk factors. PLoS ONE 2015, 10, e0143527. [Google Scholar] [CrossRef] [PubMed]
- Da, Q.; Teruya, M.; Guchhait, P.; Teruya, J.; Olson, J.S.; Cruz, M.A. Free hemoglobin increases von Willebrand factor-mediated platelet adhesion in vitro: Implications for circulatory devices. Blood 2015, 126, 2338–2341. [Google Scholar] [CrossRef] [PubMed]
- Donadello, K.; Piagnerelli, M.; Reggiori, G.; Gottin, L.; Scolletta, S.; Occhipinti, G.; Zouaoui Boudjeltia, K.; Vincent, J.L. Reduced red blood cell deformability over time is associated with a poor outcome in septic patients. Microvasc. Res. 2015, 101, 8–14. [Google Scholar] [CrossRef] [PubMed]
- Hardeman, M.R.; Goedhart, P.T.; Dobbe, J.G.; Lettinga, K.P. Laser-assisted optical rotational cell analyser (L.O.R.C.A.); I. A new instrument for measurement of various structural hemorheological parameters. Clin. Hemorheol. 1994, 14, 605–618. [Google Scholar] [CrossRef]
- Kara, A.; Akin, S.; Dos Reis Miranda, D.; Struijs, A.; Caliskan, K.; van Thiel, R.J.; Dubois, E.A.; de Wilde, W.; Zijlstra, F.; Gommers, D.; et al. Microcirculatory assessment of patients under VA-ECMO. Crit. Care 2016, 20, 344. [Google Scholar] [CrossRef] [PubMed]
- Chommeloux, J.; Montero, S.; Franchineau, G.; Bréchot, N.; Hékimian, G.; Lebreton, G.; Le Guennec, L.; Bourcier, S.; Nieszkowska, A.; Leprince, P.; et al. Microcirculation evolution in patients on venoarterial extracorporeal membrane oxygenation for refractory cardiogenic shock. Crit. Care Med. 2020, 48, e9–e17. [Google Scholar] [CrossRef] [PubMed]
- Abrams, D.; Baldwin, M.R.; Champion, M.; Agerstrand, C.; Eisenberger, A.; Bacchetta, M.; Brodie, D. Thrombocytopenia and extracorporeal membrane oxygenation in adults with acute respiratory failure: A cohort study. Intensive Care Med. 2016, 42, 844–852. [Google Scholar] [CrossRef] [PubMed]
- Heilmann, C.; Geisen, U.; Beyersdorf, F.; Nakamura, L.; Benk, C.; Trummer, G.; Berchtold-Herz, M.; Schlensak, C.; Zieger, B. Acquired von Willebrand syndrome in patients with extracorporeal life support (ECLS). Intensive Care Med. 2012, 38, 62–68. [Google Scholar] [CrossRef] [PubMed]
- Kalbhenn, J.; Schlagenhauf, A.; Rosenfelder, S.; Schmutz, A.; Zieger, B. Acquired von Willebrand syndrome and impaired platelet function during venovenous extracorporeal membrane oxygenation: Rapid onset and fast recovery. J. Heart Lung Transplant. 2018, 37, 985–991. [Google Scholar] [CrossRef] [PubMed]
- Deng, L.H.; Barbenel, J.C.; Lowe, G.D. Influence of hematocrit on erythrocyte aggregation kinetics for suspensions of red blood cells in autologous plasma. Biorheology 1994, 31, 193–205. [Google Scholar] [CrossRef] [PubMed]
- Hardeman, M.R.; Dobbe, J.G.; Ince, C. The Laser-assisted Optical Rotational Cell Analyzer (LORRCA) as red blood cell aggregometer. Clin. Hemorheol. Microcirc. 2001, 25, 1–11. [Google Scholar] [PubMed]
- Gu, Y.J.; Vermeijden, W.J.; de Vries, A.J.; Hagenaars, J.A.; Graaff, R.; van Oeveren, W. Influence of mechanical cell salvage on red blood cell aggregation, deformability, and 2,3-diphosphoglycerate in patients undergoing cardiac surgery with cardiopulmonary bypass. Ann. Thorac. Surg. 2008, 86, 1570–1575. [Google Scholar] [CrossRef] [PubMed]
- Salaria, O.N.; Barodka, V.M.; Hogue, C.W.; Berkowitz, D.E.; Ness, P.M.; Wasey, J.O.; Frank, S.M. Impaired red blood cell deformability after transfusion of stored allogeneic blood but not autologous salvaged blood in cardiac surgery patients. Anesth. Analg. 2014, 118, 1179–1187. [Google Scholar] [CrossRef] [PubMed]
- Wand, S.; Huber-Petersen, J.F.; Schaeper, J.; Binder, C.; Moerer, O. Platelet function disturbance during veno-venous ECMO in ARDS patients assessed by multiple electrode aggregometry—A prospective, observational cohort study. J. Clin. Med. 2019, 19, 1056. [Google Scholar] [CrossRef] [PubMed]
- Balle, C.M.; Jeppesen, A.N.; Christensen, S.; Hvas, A.M. Platelet function during extracorporeal membrane oxygenation in adult patients. Front. Cardiovasc. Med. 2019, 6, 114. [Google Scholar] [CrossRef] [PubMed]





| Patients (n) | 16 |
|---|---|
| Age, mean | 50 ± 12 |
| Gender, male | 10 (63%) |
| Body mass index (kg/m2), mean | 26 ± 4 |
| ECMO modus, VA (%) | 9 (56%) |
| Diagnosis: | |
| Pulmonary | 7 (44%) |
| Cardiac | 6 (37%) |
| ECPR | 3 (19%) |
| APACHE IV score, mean | 101 ± 35 |
| Duration of ECMO, days median (IQR) | 5.5 (2.25–14.5) |
| Successful weaning of ECMO | 7 (44%) |
| Hemoglobin, prior to start ECMO, mean | 6.7 ± 1.6 mmol/L |
| Platelets, prior to start ECMO, mean | 223 ± 101 × 109/L |
| D-dimers, on the first day of ECMO, mean | 6795 ± 12,878 μg/L |
| Fibrinogen, on the first day of ECMO, mean | 4.4 ± 2.7 g/L |
© 2020 by the authors. Licensee MDPI, Basel, Switzerland. This article is an open access article distributed under the terms and conditions of the Creative Commons Attribution (CC BY) license (http://creativecommons.org/licenses/by/4.0/).
Share and Cite
Lansink-Hartgring, A.O.; Hoffmann, R.; van den Bergh, W.; de Vries, A. Changes in Red Blood Cell Properties and Platelet Function during Extracorporeal Membrane Oxygenation. J. Clin. Med. 2020, 9, 1168. https://doi.org/10.3390/jcm9041168
Lansink-Hartgring AO, Hoffmann R, van den Bergh W, de Vries A. Changes in Red Blood Cell Properties and Platelet Function during Extracorporeal Membrane Oxygenation. Journal of Clinical Medicine. 2020; 9(4):1168. https://doi.org/10.3390/jcm9041168
Chicago/Turabian StyleLansink-Hartgring, Annemieke Oude, Roland Hoffmann, Walter van den Bergh, and Adrianus de Vries. 2020. "Changes in Red Blood Cell Properties and Platelet Function during Extracorporeal Membrane Oxygenation" Journal of Clinical Medicine 9, no. 4: 1168. https://doi.org/10.3390/jcm9041168
APA StyleLansink-Hartgring, A. O., Hoffmann, R., van den Bergh, W., & de Vries, A. (2020). Changes in Red Blood Cell Properties and Platelet Function during Extracorporeal Membrane Oxygenation. Journal of Clinical Medicine, 9(4), 1168. https://doi.org/10.3390/jcm9041168

