Metabolic Fingerprint of Turner Syndrome
Abstract
1. Introduction
2. Methods
Statistical Analysis
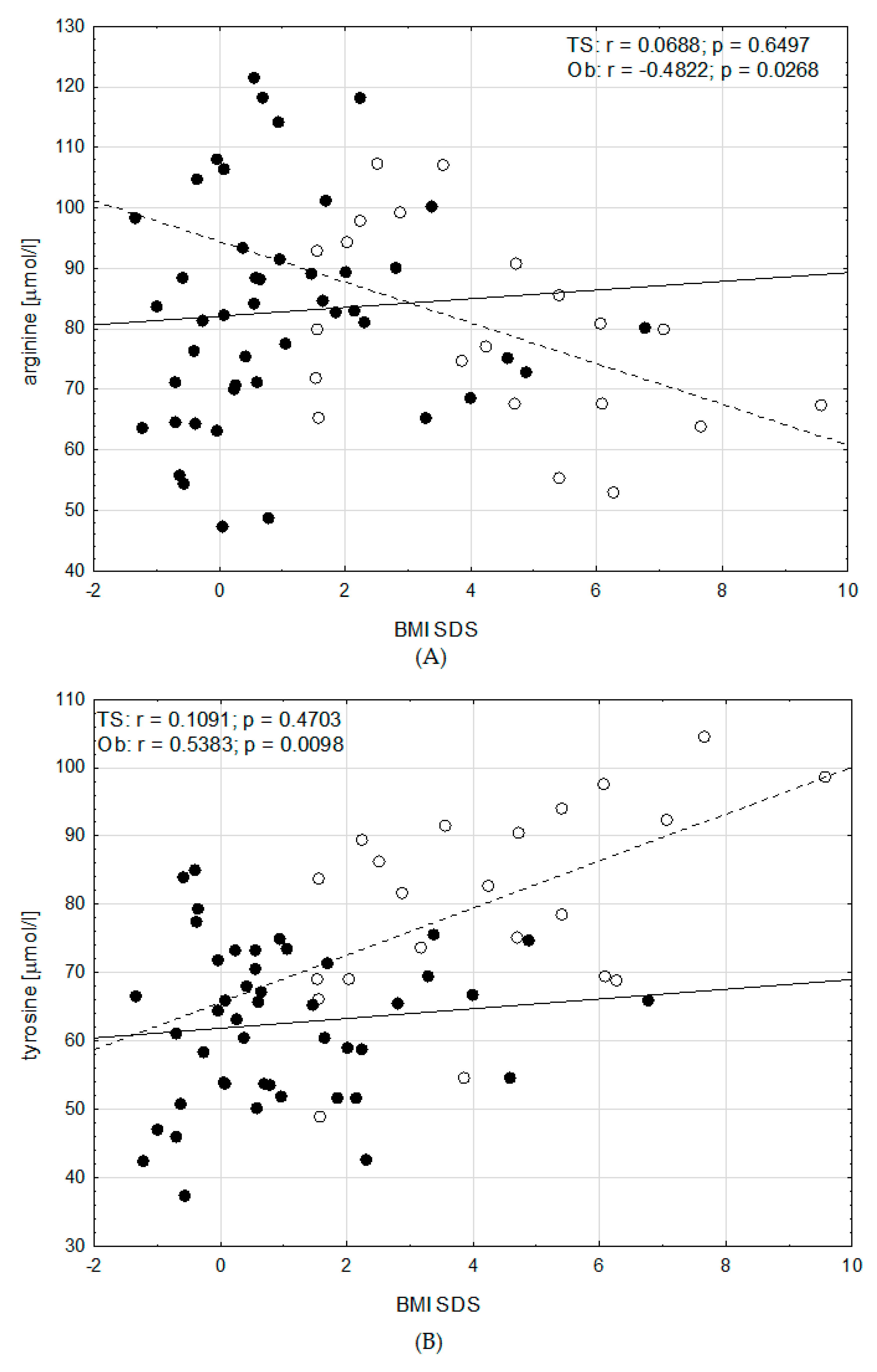
3. Results
4. Discussion
5. Conclusions
Author Contributions
Funding
Conflicts of Interest
Data Availability
References
- Gravholt, C.H.; Hjerrild, B.E.; Mosekilde, L.; Hansen, T.K.; Rasmussen, L.M.; Frystyk, J.; Flyvbjerg, A.; Christiansen, J.S. Body composition is distinctly altered in Turner syndrome: Relations to glucose metabolism, circulating adipokines, and endothelial adhesion molecules. Eur. J. Endocrinol. 2006, 155, 583–592. [Google Scholar] [CrossRef]
- Elsheikh, M.; Conway, G.S. The impact of obesity on cardiovascular risk factors in Turner’s syndrome. Clin. Endocrinol. (Oxf.) 1998, 49, 447–450. [Google Scholar] [CrossRef]
- Gravholt, C.H.; Juul, S.; Naeraa, R.W.; Hansen, J. Morbidity in Turner syndrome. J. Clin. Epidemiol. 1998, 51, 147–158. [Google Scholar] [CrossRef]
- Mavinkurve, M.; O′Gorman, C.S. Cardiometabolic and vascular risks in young and adolescent girls with Turner syndrome. BBA Clin. 2015, 3, 304–309. [Google Scholar] [CrossRef]
- Sagi, L.; Zuckerman-Levin, N.; Gawlik, A.; Ghizzoni, L.; Buyukgebiz, A.; Rakover, Y.; Bistritzer, T.; Admoni, O.; Vottero, A.; Baruch, O.; et al. Clinical significance of the parental origin of the X chromosome in turner syndrome. J. Clin. Endocrinol. Metab. 2007, 92, 846–852. [Google Scholar] [CrossRef]
- Wooten, N.; Bakalov, V.K.; Hill, S.; Bondy, C.A. Reduced abdominal adiposity and improved glucose tolerance in growth hormone-Treated girls with Turner syndrome. J. Clin. Endocrinol. Metab. 2008, 93, 2109–2114. [Google Scholar] [CrossRef]
- Child, C.J.; Zimmermann, A.G.; Scott, R.S.; Cutler, G.B.J.; Battelino, T.; Blum, W.F. Prevalence and incidence of diabetes mellitus in GH-Treated children and adolescents: Analysis from the GeNeSIS observational research program. J. Clin. Endocrinol. Metab. 2011, 96, E1025–E1034. [Google Scholar] [CrossRef]
- Bogl, L.H.; Kaye, S.M.; Rämö, J.T.; Kangas, A.J.; Soininen, P.; Hakkarainen, A.; Lundbom, J.; Lundbom, N.; Ortega-Alonso, A.; Rissanen, A.; et al. Abdominal obesity and circulating metabolites: A twin study approach. Metabolism 2016, 65, 111–121. [Google Scholar] [CrossRef]
- Takashina, C.; Tsujino, I.; Watanabe, T.; Sakaue, S.; Ikeda, D.; Yamada, A.; Sato, T.; Ohira, H.; Otsuka, Y.; Oyama-Manabe, N.; et al. Associations among the plasma amino acid profile, obesity, and glucose metabolism in Japanese adults with normal glucose tolerance. Nutr. Metab. (Lond.) 2016, 13, 5. [Google Scholar] [CrossRef]
- Wang, T.J.; Larson, M.G.; Vasan, R.S.; Cheng, S.; Rhee, E.P.; McCabe, E.; Lewis, G.D.; Fox, C.S.; Jacques, P.F.; Fernandez, C.; et al. Metabolite profiles and the risk of developing diabetes. Nat. Med. 2011, 17, 448–453. [Google Scholar] [CrossRef]
- Haufe, S.; Witt, H.; Engeli, S.; Kaminski, J.; Utz, W.; Fuhrmann, J.C.; Rein, D.; Schulz-Menger, J.; Luft, F.C.; Boschmann, M.; et al. Branched-Chain and aromatic amino acids, insulin resistance and liver specific ectopic fat storage in overweight to obese subjects. Nutr. Metab. Cardiovasc. Dis. 2016, 26, 637–642. [Google Scholar] [CrossRef]
- Palczewska, I.; Niedzwiedzka, Z. Somatic development indices in children and youth of Warsaw. Med. Wieku Rozwoj. 2001, 5 (Suppl. 1), 18–118. [Google Scholar]
- Keskin, M.; Kurtoglu, S.; Kendirci, M.; Atabek, M.E.; Yazici, C. Homeostasis model assessment is more reliable than the fasting glucose/insulin ratio and quantitative insulin sensitivity check index for assessing insulin resistance among obese children and adolescents. Pediatrics 2005, 115, e500–e503. [Google Scholar] [CrossRef]
- Bramnert, M.; Segerlantz, M.; Laurila, E.; Daugaard, J.R.; Manhem, P.; Groop, L. Growth hormone replacement therapy induces insulin resistance by activating the glucose-Fatty acid cycle. J. Clin. Endocrinol. Metab. 2003, 88, 1455–1463. [Google Scholar] [CrossRef]
- Sas, T.C.; de Muinck Keizer-Schrama, S.M.; Stijnen, T.; Aanstoot, H.J.; Drop, S.L. Carbohydrate metabolism during long-Term growth hormone (GH) treatment and after discontinuation of GH treatment in girls with Turner syndrome participating in a randomized dose-Response study. Dutch Advisory Group on Growth Hormone. J. Clin. Endocrinol. Metab. 2000, 85, 769–775. [Google Scholar]
- Fernholm, R.; Thoren, M.; Hoybye, C.; Anderstam, B.; Pernow, Y.; Saaf, M.; Hall, K. Amino acid profiles in adults with growth hormone (GH) deficiency before and during GH replacement therapy. Growth Horm. IGF Res. 2009, 19, 206–211. [Google Scholar] [CrossRef]
- Lundeberg, S.; Belfrage, M.; Wernerman, J.; von der Decken, A.; Thunell, S.; Vinnars, E. Growth hormone improves muscle protein metabolism and whole body nitrogen economy in man during a hyponitrogenous diet. Metabolism 1991, 40, 315–322. [Google Scholar] [CrossRef]
- Wang, W.W.; Qiao, S.Y.; Li, D.F. Amino acids and gut function. Amino Acids. 2009, 37, 105–110. [Google Scholar] [CrossRef]
- Stevens, V.L.; Wang, Y.; Carter, B.D.; Gaudet, M.M.; Gapstur, S.M. Serum metabolomic profiles associated with postmenopausal hormone use. Metabolomics 2018, 14, 97. [Google Scholar] [CrossRef]
- Zang, H.; Moritz, T.; Norstedt, G.; Hirschberg, A.L.; Tollet-Egnell, P. Effects of oestrogen and testosterone therapy on serum metabolites in postmenopausal women. Clin. Endocrinol. (Oxf.) 2012, 77, 288–295. [Google Scholar] [CrossRef]
- Carpenter, K. Branched Chain Amino Acids in Clinical Nutrition. 2015, Volume 1. Available online: http://link.springer.com/10.1007/978-1-4939-1923-9 (accessed on 2 January 2020).
- Yoon, M.-S. The Emerging Role of Branched-Chain Amino Acids in Insulin Resistance and Metabolism. Nutrient 2016, 8, 405. [Google Scholar] [CrossRef] [PubMed]
- Guevara-Cruz, M.; Vargas-Morales, J.M.; Mendez-Garcia, A.L.; Lopez-Barradas, A.M.; Granados-Portillo, O.; Ordaz-Nava, G.; Rocha-Viggiano, A.K.; Gutierrez-Leyte, C.A.; Medina-Cerda, E.; Rosado, J.L.; et al. Amino acid profiles of young adults differ by sex, body mass index and insulin resistance. Nutr. Metab. Cardiovasc. Dis. 2018, 28, 393–401. [Google Scholar] [CrossRef] [PubMed]
- Tavares, C.D.J.; Sharabi, K.; Dominy, J.E.; Lee, Y.; Isasa, M.; Orozco, J.M.; Jedrychowski, M.P.; Kamenecka, T.M.; Griffin, P.R.; Gygi, S.P.; et al. The Methionine Transamination Pathway Controls Hepatic Glucose Metabolism through Regulation of the GCN5 Acetyltransferase and the PGC-1alpha Transcriptional Coactivator. J. Biol. Chem. 2016, 291, 10635–10645. [Google Scholar] [CrossRef]
- Ables, G.P.; Perrone, C.E.; Orentreich, D.; Orentreich, N. Methionine-Restricted C57BL/6J mice are resistant to diet-Induced obesity and insulin resistance but have low bone density. PLoS ONE 2012, 7, e51357. [Google Scholar] [CrossRef]
- Stone, K.P.; Wanders, D.; Orgeron, M.; Cortez, C.C.; Gettys, T.W. Mechanisms of increased in vivo insulin sensitivity by dietary methionine restriction in mice. Diabetes 2014, 63, 3721–3733. [Google Scholar] [CrossRef]
- Newgard, C.B.; An, J.; Bain, J.R.; Muehlbauer, M.J.; Stevens, R.D.; Lien, L.F.; Haqq, A.M.; Shah, S.H.; Arlotto, M.; Slentz, C.A.; et al. A branched-Chain amino acid-Related metabolic signature that differentiates obese and lean humans and contributes to insulin resistance. Cell Metab. 2009, 9, 311–326. [Google Scholar] [CrossRef]
- Caprio, S.; Boulware, S.; Diamond, M.; Sherwin, R.S.; Carpenter, T.O.; Rubin, K.; Amiel, S.; Press, M.; Tamborlane, W.V. Insulin resistance: An early metabolic defect of Turner’s syndrome. J. Clin. Endocrinol. Metab. 1991, 72, 832–836. [Google Scholar] [CrossRef]
- El Hafidi, M.; Perez, I.; Zamora, J.; Soto, V.; Carvajal-Sandoval, G.; Banos, G. Glycine intake decreases plasma free fatty acids, adipose cell size, and blood pressure in sucrose-Fed rats. Am. J. Physiol. Regul. Integr. Comp. Physiol. 2004, 287, R1387–R1393. [Google Scholar] [CrossRef]
- Tastesen, H.S.; Keenan, A.H.; Madsen, L.; Kristiansen, K.; Liaset, B. Scallop protein with endogenous high taurine and glycine content prevents high-Fat, high-Sucrose-Induced obesity and improves plasma lipid profile in male C57BL/6J mice. Amino Acids 2014, 46, 1659–1671. [Google Scholar] [CrossRef]






| Variables | Turner Syndrome | Children with Obesity | p |
|---|---|---|---|
| Mean ± SD or Median (Interquartile Range) | |||
| Age [years] | 12.4 ± 4.2 | 14.0 ± 2.9 | 0.11 |
| Body height [cm] | 140.1 (123.3–149.6) | 165.0 (152.0–171.3) | 0.000001 |
| Body mass [kg] | 39.4 ± 15.7 | 80.1 ± 16.3 | <0.000001 |
| Body mass index [SDS] | 0.56 (−0.28–1.85) | 4.05 (2.23–6.06) | <0.000001 |
| Variables | Turner Syndrome | p | Turner Syndrome | Children with Obesity | p | |
|---|---|---|---|---|---|---|
| with Growth Hormone (GH) Therapy | without GH Therapy | |||||
| n = 36 | n = 10 | n = 46 | n = 22 | |||
| Mean ± SD or Median (Interquartile Range) | Mean±SD or Median (Interquartile Range) | |||||
| Fasting glucose level [mmol/L] | 4.69 ± 0.57 | 4.60 ± 0.32 | 0.63 | 4.67 ± 0.52 | 4.43 ± 0.39 | 0.06 |
| Fasting insulin level [µIU/mL] | 9.75 (6.7–13.8) | 7.05 (3.7–12.2) | 0.15 | 9.3 (6.3–13.45) | 17.3 (11.6–24.8) | 0.0008 |
| Fasting FFAs level [mmol/L] | 1.20 ± 0.62 | 0.98 ± 0.45 | 0.33 | 1.16 ± 0.59 | 0.85 ± 0.59 | <0.05 |
| HOMA-IR | 1.95 (1.34–3.26) | 1.38 (0.77–2.66) | 0.15 | 1.92 (1.21–3.26) | 3.3 (2.27–4.44) | 0.005 |
| Variables | Turner Syndrome | p | Turner Syndrome | Children with Obesity | p | |
|---|---|---|---|---|---|---|
| without Obesity | with Obesity | |||||
| n = 32 | n = 14 | n = 46 | n = 22 | |||
| Mean ± SD or Median (Interquartile Range) | Mean ± SD or Median (Interquartile Range) | |||||
| Essential amino acids [µmol/L] | ||||||
| Valine | 199.9 ± 29.4 | 204.2 ± 36.4 | 0.68 | 201.2 ± 31.3 | 241.9 ± 50.7 | 0.0001 |
| Isoleucine | 69.5 ± 13.3 | 69.2 ±15.4 | 0.94 | 69.4 ± 13.8 | 82.2 ± 15.3 | 0.001 |
| Leucine | 93.2 ± 12.1 | 98.5 ± 19.3 | 0.27 | 94.8 ± 14.7 | 110.3 ± 16.8 | 0.0002 |
| Threonine | 124.2 ± 34.3 | 124.2 ± 33.6 | 0.99 | 124.2 ± 33.7 | 137.9 ± 32.6 | 0.12 |
| Methionine | 20.3 ± 3.7 | 19.9 ± 2.7 | 0.70 | 20.1 ± 3.4 | 24.2 ± 2.7 | 0.000007 |
| Phenylalanine | 53.4 ± 8.1 | 54.2 ± 7.2 | 0.76 | 53.6 ± 7.7 | 65.2 ± 7.3 | <0.000001 |
| Lysine | 174.7 ± 26.8 | 183.4 ± 29.5 | 0.33 | 177.3 ± 27.6 | 216.4± 29.0 | 0.000002 |
| Tryptophan | 54.8 ± 12.1 | 57.7 ± 8.3 | 0.42 | 55.7 ± 11.1 | 71.0 ± 10.0 | 0.000001 |
| Histidine | 75.2 ± 8.4 | 80.7 ± 9.6 | 0.06 | 76.8 ± 9.0 | 84.7 ± 9.9 | 0.0025 |
| Non-essential amino acids [µmol/L] | ||||||
| Arginine | 81.8 ± 19.7 | 85.2 ± 14.1 | 0.56 | 82.8 ± 18.1 | 80.0 ± 15.9 | 0.54 |
| Tyrosine | 62.8 ± 12.1 | 62.0 ± 9.6 | 0.83 | 62.6 ± 11.3 | 80.3 ± 14.4 | 0.00001 |
| Aspartic acid | 7.94 ± 1.68 | 7.49 ± 2.71 | 0.50 | 7.80 ± 2,04 | 6.35 ± 1.42 | 0.005 |
| Glutamic acid | 28.8 (20.2–46.3) | 22.2 (15.2–41.9) | 0.36 | 27.4 (19.5–45.1) | 35.1 (24.7–68.3) | 0.10 |
| Serine | 112.6 ± 22.9 | 101.6 ± 14.9 | 0.11 | 109.3 ± 21.3 | 114,3± 21.8 | 0.36 |
| Asparagine | 40.9 ± 7.6 | 39.3 ± 7.4 | 0.52 | 40.4 ± 7.5 | 41.2± 8.8 | 0.71 |
| Glycine | 226.9 ± 39.3 | 208.0 ± 42.6 | 0.15 | 221.1 ± 40.8 | 212.8 ± 40.5 | 0.44 |
| Glutamine | 617.0 ± 95.8 | 604.2 ± 72.2 | 0.66 | 613.1± 88.6 | 593.4 ± 75.6 | 0.38 |
| Taurine | 52.6 ± 12.0 | 47.3 ± 9.2 | 0.14 | 51.0 ± 11.3 | 49.7 ± 6.6 | 0.65 |
| Citrulline | 27.1 ± 7.0 | 27.6± 8.2 | 0.83 | 27.2 ± 7.3 | 26.4 ± 6.7 | 0.67 |
| Alanine | 343.2 ± 93.4 | 349.0 ± 80.9 | 0.84 | 344.9 ±88.9 | 408.1 ± 85.2 | 0.0007 |
| Proline | 196.4 ± 66.1 | 179.6± 58.5 | 0.42 | 191.3 ± 63.7 | 193.8 ± 53.7 | 0.87 |
| Ornithine | 41.6± 9.2 | 42.4 ± 9.8 | 0.81 | 41.9 ± 9.3 | 51.3 ± 11.6 | 0.0006 |
© 2020 by the authors. Licensee MDPI, Basel, Switzerland. This article is an open access article distributed under the terms and conditions of the Creative Commons Attribution (CC BY) license (http://creativecommons.org/licenses/by/4.0/).
Share and Cite
Bugajska, J.; Berska, J.; Wójcik, M.; Starzyk, J.B.; Sztefko, K. Metabolic Fingerprint of Turner Syndrome. J. Clin. Med. 2020, 9, 664. https://doi.org/10.3390/jcm9030664
Bugajska J, Berska J, Wójcik M, Starzyk JB, Sztefko K. Metabolic Fingerprint of Turner Syndrome. Journal of Clinical Medicine. 2020; 9(3):664. https://doi.org/10.3390/jcm9030664
Chicago/Turabian StyleBugajska, Jolanta, Joanna Berska, Małgorzata Wójcik, Jerzy B. Starzyk, and Krystyna Sztefko. 2020. "Metabolic Fingerprint of Turner Syndrome" Journal of Clinical Medicine 9, no. 3: 664. https://doi.org/10.3390/jcm9030664
APA StyleBugajska, J., Berska, J., Wójcik, M., Starzyk, J. B., & Sztefko, K. (2020). Metabolic Fingerprint of Turner Syndrome. Journal of Clinical Medicine, 9(3), 664. https://doi.org/10.3390/jcm9030664

