Decreased Blood Asprosin in Hyperglycemic Menopausal Women as a Result of Whole-Body Cryotherapy Regardless of Metabolic Syndrome
Abstract
1. Introduction
2. Materials and Methods
2.1. Participants
- waist circumference >88 cm
- triglycerides ≥150 mg/dL
- high-density lipoprotein (HDL) <50 mg/dL
- fasting glucose ≥100 mg/dL
- systolic blood pressure (SBP) ≥130 mmHg or diastolic blood pressure (DBP) ≥85 mmHg or antihypertensive therapy.
2.2. Study Design
2.3. Somatic Measurements and Body Composition Assessment
2.4. Whole-Body Cryotherapy Treatments
2.5. Biochemical Markers
2.6. Assessment of Physical Activity and Nutrition
2.7. Statistical Analysis
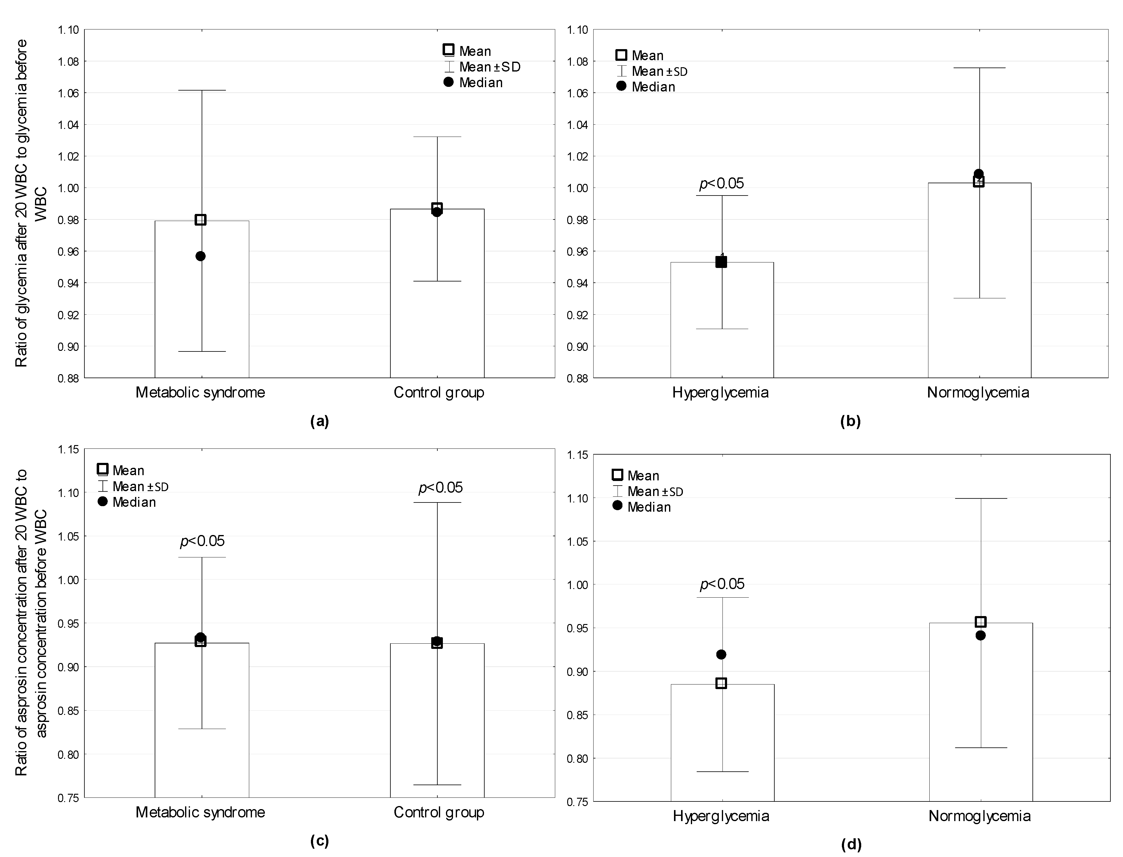
3. Results
3.1. Characteristics of the Participants
3.2. Biochemical Indicators
3.2.1. Glucose
3.2.2. Insulin
3.2.3. HOMA-IR
3.2.4. Asprosin
3.2.5. Irisin
3.2.6. Leptin
3.2.7. Adiponectin
3.2.8. Leptin/Adiponectin Indicators
3.3. Correlations
4. Discussion
5. Conclusions
Author Contributions
Funding
Acknowledgments
Conflicts of Interest
References
- Kassi, E.; Pervanidou, P.; Kaltsas, G.; Chrousos, G. Metabolic syndrome: Definitions and controversies. BMC Med. 2011, 9, 1–13. [Google Scholar] [CrossRef] [PubMed]
- McCracken, E.; Monaghan, M.; Sreenivasan, S. Pathophysiology of the metabolic syndrome. Clin. Dermatol. 2018, 36, 14–20. [Google Scholar] [CrossRef] [PubMed]
- Singh, N.; Scmhrd. Metabolic syndrome: Practice essentials, background, pathophysiology. J. Heart Stroke 2018, 3, 1044. [Google Scholar]
- Aguilar, M.; Bhuket, T.; Torres, S.; Liu, B.; Wong, R.J. Prevalence of the metabolic syndrome in the United States, 2003–2012. JAMA 2015, 313, 1973–1974. [Google Scholar] [CrossRef] [PubMed]
- Rani, V.; Deep, G.; Singh, R.K.; Palle, K.; Yadav, U.C. Oxidative stress and metabolic disorders: Pathogenesis and therapeutic strategies. Life Sci. 2016, 148, 183–193. [Google Scholar] [CrossRef]
- Grundy, S.M. Metabolic syndrome update. Trends Cardiovasc. Med. 2016, 26, 364–373. [Google Scholar] [CrossRef]
- Mbata, O.; Abo El Magd, N.F.; El-Remessy, A.B. Obesity, metabolic syndrome and diabetic retinopathy: Beyond hiperglicemia. World J. Diabetes 2017, 8, 317–329. [Google Scholar] [CrossRef]
- Drygas, W.; Bielecki, W.; Pajak, A.; Piotrowski, W. Multi-centre National Health Evaluation of the Population in Poland. In Epidemiology and Prevention of Cardiovascular Diseases, 1st ed.; Kopec, G., Jankowski, P., Pajak, A., Drygas, W., Eds.; Practical Medicine Publishing House: Krakow, Poland, 2015; pp. 43–56. [Google Scholar]
- Coelho, D.F.; Pereira-Lancha, L.O.; Chaves, D.S.; Diwan, D.; Ferraz, R.; Campos-Ferraz, P.L.; Poortmans, J.R.; Lancha Junior, A.H. Effect of high-fat diets on body composition, lipid metabolism and insulin sensitivity, and the role of exercise on these parameters. Braz. J. Med. Biol. Res. 2011, 44, 966–972. [Google Scholar] [CrossRef]
- Kajimura, S. Advances in the understanding of adipose tissue biology. Nat. Rev. Endocrinol. 2017, 13, 69–70. [Google Scholar] [CrossRef]
- Tilg, H.; Moschen, A.R. Adipocytokines: Mediators linking adipose tissue, inflammation and immunity. Nat. Rev. Immunol. 2006, 6, 772–783. [Google Scholar] [CrossRef]
- Kiec-Klimaczak, M.; Malczewska-Malec, M.; Huszno, B. The ration of adiponectin and leptin concentrations in the blood serum as an indicator of the ristk of developing insulin resistance and atherosclerosis. Med. Rev. 2008, 65, 844–849. [Google Scholar]
- Bostrom, P.; Wu, J.; Jedrychowski, M.P.; Korde, A.; Ye, L.; Lo, J.C.; Rasbach, K.A.; Bostrom, E.A.; Choi, J.H.; Long, J.Z.; et al. A PCG-1α—dependent myokine that drives brown-fatlike development of white fat and thermogenesis. Nature 2012, 481, 463–468. [Google Scholar] [CrossRef] [PubMed]
- Huh, J.Y.; Dincer, F.; Mesfum, E.; Mantzoros, C.S. Irisin stimulates muscle growth-related genes and regulates adipocyte differentiation and metabolism in humans. Int. J. Obes. 2014, 38, 1538–1544. [Google Scholar] [CrossRef] [PubMed]
- Liu, T.Y.; Shi, C.X.; Gao, R.; Sun, H.J.; Xiong, X.Q.; Ding, L.; Chen, Q.; Li, Y.H.; Wang, J.J.; Kang, Y.M.; et al. Irisin inhibits hepatic gluconeogenesis and increases glycogen synthesis via the PI3K/Akt pathway in type 2 diabetic mice and hepatocytes. Clin. Sci. 2015, 129, 839–850. [Google Scholar] [CrossRef] [PubMed]
- Mo, L.; Shen, J.; Liu, Q.; Zhang, Y.; Kuang, J.; Pu, S.; Cheng, S.; Zou, M.; Jiang, W.; Jiang, C.; et al. Irisin is regulated by CAR in liver and is a mediator of hepatic glucose and lipid metabolism. Mol. Endocrinol. 2016, 30, 533–542. [Google Scholar] [CrossRef] [PubMed]
- Nigro, E.; Scudiero, O.; Ludovica Monaco, M.; Polito, R.; Schettino, P.; Grandone, A.; Perrone, L.; Miraglia Del Giudice, E.; Daniele, A. Adiponectin profile and irisin expression in italian obese children: Association with insulin-resistance. Cytokine 2017, 94, 8–13. [Google Scholar] [CrossRef] [PubMed]
- Palacios-Gonzalez, B.; Vadillo-Ortega, F.; Polo-Oteyza, E.; Sanchez, T.; Ancira-Moreno, M.; Romero-Hidalgo, S.; Meraz, N.; Antuna-Puente, B. Irisin levels before and after physical activity among school-age children with different BMI: A direct relation with leptin. Obesity 2015, 23, 729–732. [Google Scholar] [CrossRef]
- Romere, C.; Duerrschmid, C.; Bournat, J.; Constable, P.; Jain, M.; Xia, F.; Saha, P.K.; Del Solar, M.; Zhu, B.; York, B.; et al. Asprosin, a fasting-induced glucogenic protein hormone. Cell 2016, 165, 566–579. [Google Scholar] [CrossRef]
- Davis, M.R.; Arner, E.; Duffy, C.R.E.; De Sousa, P.A.; Dahlman, I.; Arner, P.; Summers, K.M. Expression of FBN1 during adipogenesis: Relevance to the lipodystrophy phenotype in Marfan syndrome and related conditions. Mol. Genet. Metab. 2016, 119, 174–185. [Google Scholar] [CrossRef]
- Duerrschmid, C.; He, Y.; Wang, C.; Li, C.; Bournat, J.C.; Romere, C.; Saha, P.K.; Lee, M.E.; Phillips, K.J.; Jain, M.; et al. Asprosin is a centrally acting orexigenic hormone. Nat. Med. 2017, 23, 1444–1453. [Google Scholar] [CrossRef]
- Zhang, L.; Chen, C.; Zhou, N.; Fu, Y.; Cheng, X. Circulating asprosin concentrations are increased in type 2 diabetes mellitus and independently associated with fasting glucose and triglyceride. Clin. Chim. Acta 2019, 489, 183–188. [Google Scholar] [CrossRef] [PubMed]
- Alan, M.; Gurlek, B.; Yilmaz, A.; Aksit, M.; Aslanipour, B.; Gulhan, I.; Mehmet, C.; Taner, C.E. Asprosin: A novel peptide hormone related to insulin resistance in women with polycystic ovary syndrome. Gynecol. Endocrinol. 2019, 35, 220–223. [Google Scholar] [CrossRef] [PubMed]
- Wang, Y.; Qu, H.; Xiong, X.; Qiu, Y.; Liao, Y.; Chen, Y.; Zheng, Y.; Zheng, H. Plasma asprosin concentrations are increased in individuals with glucose dysregulation and correlated with insulin resistance and first-phase insulin secretion. Mediat. Inflamm. 2018, 2018, 9471583. [Google Scholar] [CrossRef] [PubMed]
- Long, W.; Xie, X.; Du, C.; Zhao, Y.; Zhang, C.; Zhan, D.; Li, Z.; Ning, Q.; Luo, X. Decreased circulating levels of asprosin in obese children. Horm. Res. Paediatr. 2019, 18, 1–7. [Google Scholar] [CrossRef] [PubMed]
- Jung, T.W.; Kim, H.C.; Kim, H.U.; Park, T.; Park, J.; Kim, U.; Kim, M.K.; Jeong, J.H. Asprosin attenuates insulin signaling pathway through PKCδ-activated ER stress and inflammation in skeletal muscle. J. Cell Physiol. 2019, 234, 20888–20899. [Google Scholar] [CrossRef] [PubMed]
- Lee, T.; Yun, S.; Jeong, J.H.; Jung, T.W. Asprosin impairs insulin secretion in response to glucose and viability through TLR4/JNK-mediated inflammation. Mol. Cell. Endocrinol. 2019, 486, 96–104. [Google Scholar] [CrossRef] [PubMed]
- Zhang, Z.; Tan, Y.; Zhu, L.; Zhang, B.; Feng, P.; Gao, E.; Xu, C.; Wang, X.; Yi, W.; Sun, Y. Asprosin improves the survival of mesenchymal stromal cells in myocardial infarction by inhibiting apoptosis via the activated ERK1/2-SOD2 pathway. Life Sci. 2019, 231, 116554. [Google Scholar] [CrossRef] [PubMed]
- Lombardi, G.; Ziemann, E.; Banfi, G. Whole-body cryotherapy in athletes: From therapy to stimulation. an updated review of the literature. Front. Physiol. 2017, 8, 258. [Google Scholar] [CrossRef] [PubMed]
- Lubkowska, A.; Banfi, G.; Dołęgowska, B.; Melzi D’eril, G.V.; Luczak, J.; Barassi, A. Changes in lipid profile in response to three different protocols of whole-body cryostimulation treatments. Cryobiology 2010, 61, 22–26. [Google Scholar] [CrossRef]
- Lubkowska, A.; Dudzińska, W.; Bryczkowska, I.; Dołęgowska, B. Body composition, lipid profile, adipokine concentration, and antioxidant capacity changes during interventions to treat overweight with exercise programme and whole-body cryostimulation. Oxid. Med. Cell. Longev. 2015, 803197. [Google Scholar] [CrossRef]
- Ziemann, E.; Olek, R.A.; Grzywacz, T.; Kaczor, J.J.; Antosiewicz, J.; Skrobot, W.; Kujach, S.; Laskowski, R. Whole-body cryostimulation as an effective way of reducing exercise-induced inflammation and blood cholesterol in young men. Eur. Cytokine Netw. 2014, 25, 14–23. [Google Scholar] [CrossRef]
- Stanek, A.; Cholewka, A.; Wielkoszynski, T.; Romuk, E.; Sieron, A. Whole-body cryotherapy decreases the levels of inflammatory, oxidative stress, and atherosclerosis plaque markers in male patients with active-phase ankylosing spondylitis in the absence of classical cardiovascular risk factors. Mediat. Inflamm. 2018, 2018, 8592532. [Google Scholar] [CrossRef] [PubMed]
- Dulian, K.; Laskowski, R.; Grzywacz, T.; Kujach, S.; Flis, D.J.; Smaruj, M.; Ziemann, E. The whole body cryostimulation modifies irisin concentration and reduces inflammation in middle aged, obese men. Cryobiology 2015, 71, 398–404. [Google Scholar] [CrossRef] [PubMed]
- Chang, C.L.; Huang, S.Y.; Hsu, Y.C.; Chin, T.H.; Soong, Y.K. The serum level of irisin, but not asprosin, is abnormal in polycystic ovary syndrome patients. Sci. Rep. 2019, 9, 6447. [Google Scholar] [CrossRef] [PubMed]
- Lubkowska, A. Cryotherapy: Physiological considerations and applications to physical therapy. In Physical Therapy Perspectives in the 21st Century—Challenges and Possibilities, 1st ed.; Bettany-Saltikov, J., Ed.; Intech Europe: Rijeka, Croatia, 2012; pp. 155–176. [Google Scholar]
- Hartwich, J.; Zdziencka, A.; Maziarz, B. The values of basic test results in laboratory diagnostics. In Laboratory Diagnostics with Elements of Clinical Biochemics, 3rd ed.; Dembinska-Kiec, A., Naskalski, J.W., Eds.; Elsevier Urban & Partner: Wroclaw, Poland, 2009; pp. 1035–1056. [Google Scholar]
- Lubkowska, A.; Szyguła, Z. Changes in blood pressure with compensatory heart rate decrease and in the level in aerobic capacity in response to repeated whole-body cryostimulation in normotensive, young and physically active men. Int. J. Occup. Med. Environ. Health 2010, 23, 367–375. [Google Scholar] [CrossRef] [PubMed]
- Biernat, E.; Stupnicki, R.; Gajewski, A.K. International Physical Activity Questionnaire (IPAQ)—Polish version. Phys. Educ. Sport 2007, 51, 47–54. [Google Scholar]
- Szponar, L.; Wolnicka, K.; Rychli, E. Album of Photographs of Food Products and Dishes; National Food and Nutrition Institute: Warsaw, Poland, 2000; pp. 1–82. [Google Scholar]
- Li, X.; Liao, M.; Shen, R.; Zhang, L.; Hu, H.; Wu, J.; Wang, X.; Qu, H.; Guo, S.; Long, M.; et al. Plasma asprosin levels are associated with glucose metabolism, lipid, and sex hormone profiles in females with metabolic-related diseases. Mediat. Inflamm. 2018, 2018, 7375294. [Google Scholar] [CrossRef] [PubMed]
- Ugur, K.; Aydin, S. Saliva and blood asprosin hormone concentration associated with obesity. Int. J. Endocrinol. 2019, 2019, 2521096. [Google Scholar] [CrossRef] [PubMed]
- Wiecek, M.; Szymura, J.; Maciejczyk, M.; Kantorowicz, M.; Szygula, Z. Acute anaerobic exercise affects the secretion of asprosin, irisin, and other cytokines—A comparison between sexes. Front. Physiol. 2018, 9, 1782. [Google Scholar] [CrossRef]
- Schumann, U.; Qiu, S.; Enders, K.; Bosnyak, E.; Laszlo, R.; Machus, K.; Trajer, E.; Jaganathan, S.; Zugel, M.; Steinacker, J.M. Asprosin, a newly identified fasting-induced hormone is not elevated in obesity and is insensitive to acute exercise. Med. Sci. Sports Exerc. 2017, 49, 1023. [Google Scholar] [CrossRef]
- Peres Valgas da Silva, C.; Hernandez-Saavedra, D.; White, J.D.; Stanford, K.I. Cold and exercise: Therapeutic tools to activate brown adipose tissue and combat obesity. Biology 2019, 8, 9. [Google Scholar] [CrossRef] [PubMed]
- Nedergaard, J.; Bengtsson, T.; Cannon, B. New powers of brown fat: Fighting the metabolic syndrome. Cell Metab. 2011, 13, 238–240. [Google Scholar] [CrossRef] [PubMed]
- Bartelt, A.; Bruns, O.T.; Reimer, R.; Hohenberg, H.; Ittrich, H.; Peldschus, K.; Kaul, M.G.; Tromsdorf, U.I.; Weller, H.; Waurisch, C.; et al. Brown adipose tissue activity controls triglyceride clearance. Nat. Med. 2011, 17, 200–205. [Google Scholar] [CrossRef] [PubMed]
- Leppaluoto, J.; Westerlund, T.; Huttunen, P.; Oksa, J.; Smolander, J.; Dugue, B.; Mikkelsson, M. Effects of long-term whole-body cold exposures on plasma concentrations of ACTH, beta-endorphin, cortisol, catecholamines and cytokines in healthy females. Scand. J. Clin. Lab. Investig. 2008, 68, 145–153. [Google Scholar] [CrossRef] [PubMed]
- Choi, C.H.J.; Cohen, P. Adipose crosstalk with other cell types in health and disease. Exp. Cell Res. 2017, 360, 6–11. [Google Scholar] [CrossRef] [PubMed]
- Ziemann, A.; Olek, R.A.; Grzywacz, T.; Antosiewicz, J.; Kujach, S.; Luszczyk, M.; Smaruj, M.; Sledziewska, E.; Laskowski, R. Whole-body cryostimulation as an effective method of reducing low-grade inflammation in obese men. J. Physiol. Sci. 2013, 63, 333–343. [Google Scholar] [CrossRef]
- Lubkowska, A.; Bryczkowska, I.; Szygula, Z.; Giemza, C.; Skrzek, A.; Rotter, I.; Lombardi, G.; Banfi, G. The effect of repeated whole-body cryostimulation on the HSP-70 and lipid metabolisms in healthy subjects. Physiol. Res. 2019, 68, 419–429. [Google Scholar] [CrossRef]
- Cypess, A.M.; Lehman, S.; Williams, G.; Tal, I.; Rodman, D.; Goldfine, A.B.; Kuo, F.C.; Palmer, E.L.; Tseng, Y.H.; Doria, A.; et al. Identification and importance of brown adipose tissue in adult humans. N. Engl. J. Med. 2009, 360, 1509–1517. [Google Scholar] [CrossRef]
- Lubkowska, A.; Dolegowska, B.; Szygula, Z. Whole-body cryostimulation—Potential beneficial treatment for improving antioxidant capacity in healthy men—Significance of the number of sessions. PLoS ONE 2012, 7, e46352. [Google Scholar] [CrossRef]
- Shimizu, Y.; Nikami, H.; Tsukazaki, K.; Machado, U.F.; Yano, H.; Seino, Y.; Saito, M. Increased expression of glucose transporter GLUT-4 in brown adipose tissue of fasted rats after cold exposure. Am. J. Physiol. 1993, 264, E890–E895. [Google Scholar] [CrossRef]
- Orava, J.; Nuutila, P.; Lidell, M.E.; Oikonen, V.; Noponen, T.; Viljanen, T.; Scheinin, M.; Taittonen, M.; Niemi, T.; Enerback, S.; et al. Different metabolic responses of human brown adipose tissue to activation by cold and insulin. Cell Metab. 2011, 14, 272–279. [Google Scholar] [CrossRef] [PubMed]
- Nakhaei, H.; Moogharnasi, M.; Fanaei, H. Effect of swimming training on levels of asprosin, lipid profile, glucose and insulin resistance in rats with metabolic syndrome. Obes. Med. 2019, 15, 100111. [Google Scholar] [CrossRef]
- Ko, J.R.; Seo, D.Y.; Kim, T.N.; Park, S.H.; Kwak, H.B.; Ko, K.S.; Rhee, B.D.; Han, J. Aerobic exercise training decreases hepatic asprosin in diabetic rats. J. Clin. Med. 2019, 8, 666. [Google Scholar] [CrossRef] [PubMed]

| Variable | MetS (n = 19) | CON (n = 18) | HG (n = 15) | NG (n = 22) | ALL (n = 37) |
|---|---|---|---|---|---|
| Age (years) | 61.53 ± 3.99 | 60.28 ± 3.63 | 60.47 ± 3.38 | 62.00 (56.00–64.00) | 62.00 (58.00–64.00) |
| Body mass (kg) | 77.36 ± 11.95 * | 66.32 ± 6.23 | 72.87 ± 12.76 | 68.25 (65.90–74.10) | 69.60 (65.90–76.60) |
| BMI (kg/m2) | 30.09 ± 4.98 * | 25.5 ± 2.37 | 27.74 ± 5.20 | 26.58 (25.15–28.96) | 26.60 (25.15–29.23) |
| LBM (kg) | 44.19 ± 4.75 * | 40.76 ± 3.31 | 43.86 ± 5.22 | 42.00 ± 3.81 | 42.52 ± 4.41 |
| FAT (kg) | 33.17 ± 8.04 * | 25.56 ± 4.08 | 30.57 ± 9.95 | 29.76 ± 67.18 | 28.14 (25.43–32.68) |
| FAT (%) | 42.42 ± 4.32 * | 38.38 ± 3.49 | 39.99 ± 4.59 | 40.76 ± 4.32 | 40.45 ± 4.39 |
| FAT visceral (%) | 48.98 ± 5.94 * | 42.74 ± 5.58 | 46.05 ± 6.42 | 45.87 ± 6.71 | 45.95 ± 6.51 |
| FAT hip region (%) | 44.24 ± 4.66 | 41.60 ± 3.40 | 42.03 ± 4.91 | 43.59 ± 3.73 | 42.95 ± 4.26 |
| FAT visceral/hip | 1.11 ± 0.10 * | 1.03 ± 0.11 | 1.10 ± 0.12 | 1.05 ± 0.10 | 1.07 ± 0.11 |
| WHR | 1.00 ± 0.02 | 1.01 ± 0.01 | 1.00 ± 0.02 | 1.01 ± 0.01 | 1.01 ± 0.02 |
| Variable | MetS (n = 19) | CON (n = 18) | HG (n = 15) | NG (n = 22) | ALL (n = 37) |
|---|---|---|---|---|---|
| Waist circumference (cm) | 94.62 ± 9.50 * | 82.52 ± 8.48 | 90.29 ± 13.49 | 87.71 ± 8.70 | 88.78 ± 10.79 |
| TG (mg/dL) | 130.65 ± 41.40 | 111.47 ± 38.47 | 120.46 ± 28.81 | 103.69 (84.88–166.25) | 112.00 (87.50–147.00) |
| HDL (mg/dL) | 51.47 * (47.60–58.82) | 60.95 (56.50–73.53) | 56.50 (50.31–65.79) | 57.08 (51.47–63.08) | 56.50 (51.08–63.08) |
| Glucose (mg/dL) | 102.39 ± 9.81 * | 92.93 ± 6.94 | 103.50 * (100.80–106.02) | 94.71 ± 9.31 | 97.79 ± 9.69 |
| SBP (mmHg) | 127.63 ± 17.27 | 120.28 ± 16.84 | 125.33 ± 19.86 | 123.10 ± 15.59 | 124.00 ± 17.22 |
| DBP (mmHg) | 82.63 ± 7.88 | 77.78 ± 7.71 | 82.33 ± 7.53 | 78.91 ± 8.28 | 80.30 ± 8.06 |
| Variable | MetS (n = 19) | CON (n = 18) | HG (n = 15) | NG (n = 22) | ALL (n = 37) |
|---|---|---|---|---|---|
| Erythrocytes (mln/µL) | 4.62 ± 0.22 | 4.59 (4.40–4.70) | 4.51 ± 0.14 * | 4.67 ± 0.25 | 4.61 ± 0.23 |
| Hemoglobin (g/dL) | 13.89 ± 0.55 | 13.94 ± 0.55 | 13.96 ± 0.43 | 13.75 (13.30–14.30) | 13.92 ± 0.55 |
| Hematocrit (%) | 40.30 (39.30–42.40) | 41.14 ± 1.62 | 40.77 ± 1.37 | 41.12 ± 1.87 | 40.60 (39.60–42.10) |
| ESR (mm/h) | 19.58 ± 10.67 | 16.11 ± 9.65 | 19.07 ± 9.27 | 17.09 ± 10.92 | 17.89 ± 10.19 |
| Platelets (tys/µL) | 246.53 ± 77.69 | 254.89 ± 56.59 | 242.13 ± 76.12 | 245.50 (222.0–278.0) | 250.59 ± 67.44 |
| Leukocytes (tys/µL) | 6.16 ± 1.25 * | 5.29 ± 1.06 | 6.01 ± 1.26 | 5.55 ± 1.20 | 5.74 ± 1.23 |
| Neutrophils (%) | 49.31 ± 8.08 | 48.36 ± 7.10 | 51.04 ± 7.06 | 47.35 ± 7.63 | 48.85 ± 7.53 |
| Lymphocytes (%) | 38.68 ± 8.14 | 37.56 ± 6.60 | 36.47 ± 7.26 | 39.27 ± 7.36 | 38.14 ± 7.35 |
| Monocytes (%) | 8.12 ± 1.57 * | 9.00 (8.00–11.70) | 8.67 ± 2.10 | 9.00 ± 1.91 | 8.87 ± 1.97 |
| Eosinophils (%) | 3.00 (2.00–4.00) | 3.00 (2.30–4.50) | 3.02 ± 1.68 | 3.00 (2.30–4.40) | 3.00 (2.20–4.00) |
| Basophils (%) | 0.90 (0.20–1.00) | 0.84 ± 0.59 | 0.59 ± 0.44 | 1.00 (0.60–1.00) | 0.80 (0.40–1.00) |
| HbA1c (%) | 5.84 ± 0.28 * | 5.60 (5.50–5.90) | 5.88 ± 0.30 * | 5.55 (5.50–5.90) | 5.75 ± 0.29 |
| AIP (log10TG/HDL) | 0.38 ± 0.23 * | 0.22 ± 0.20 | 0.35 ± 0.25 | 0.27 ± 0.21 | 0.30 ± 0.23 |
| CRP (mg/L) | 1.74 * (0.92–3.64) | 0.92 (0.48–1.82) | 2.47 ± 3.88 | 1.45 (0.61–3.07) | 1.48 (0.61–2.37) |
| Variable | Time | MetS (n = 19) | CON (n = 28) | F(p) | HG (n = 15) | NG (n = 22) | F(p) | TOTAL (n = 37) | ||||
|---|---|---|---|---|---|---|---|---|---|---|---|---|
| GROUP | WBC | GROUP×WBC | GROUP | WBC | GROUP×WBC | |||||||
| Glucose | pre WBC | 5.56 ± 0.50 * | 5.22 ± 0.43 | 5.58 | 3.32 | 0.25 | 5.89 ± 0.26 * | 5.05 ± 0.27 | 6.52 | 6.06 | 6.90 | 5.39 ± 0.50 |
| (mmol/L) | after WBC | 5.42 ± 0.44 | 5.14 ± 0.39 | (0.02) | (0.08) | (0.62) | 5.61 ± 0.27 *# | 5.06 ± 0.38 | (<0.01) | (0.02) | (0.01) | 5.28 ± 0.43 # |
| Insulin | pre WBC | 12.12 ± 5.65 * | 8.28 ± 2.50 | 8.94 | 0.28 | 0.00 | 12.07 ± 6.15 | 9.01 ± 3.13 | 2.54 | 0.60 | 1.67 | 10.25 ± 4.77 |
| (µIU/mL) | after WBC | 11.79 ± 5.28 * | 7.94±2.89 | (0.01) | (0.60) | (0.99) | 10.78 ± 4.84 | 9.33 ± 4.54 | (0.12) | (0.44) | (0.21) | 9.92 ± 4.65 |
| HOMA-IR | pre WBC | 3.03 ± 1.52 * | 1.92±0.61 | 10.37 | 0.51 | 0.02 | 3.16 ± 1.60 * | 2.04 ± 0.78 | 5.35 | 1.10 | 2.77 | 2.49 ± 1.29 |
| after WBC | 2.89 ± 1.41 * | 1.83±0.71 | (<0.01) | (0.48) | (0.88) | 2.71 ± 1.27 | 2.14 ± 1.18 | (0.03) | (0.30) | (0.11) | 2.37 ± 1.23 | |
| Asprosin | pre WBC | 5.35 ± 6.46 | 4.66 ± 2.13 | 0.17 | 7.19 | 0.27 | 6.70 ± 7.19 * | 3.66 ± 0.64 | 4.56 | 10.18 | 4.35 | 5.01 ± 4.81 |
| (nmol/L) | after WBC | 4.77 ± 5.17 # | 4.26 ± 2.05 # | (0.68) | (0.01) | (0.61) | 6.07 ± 5.89 *# | 3.47 ± 0.56 | (0.04) | (<0.01) | (0.04) | 4.52 ± 3.93 # |
| Irisin | pre WBC | 1.87 ± 0.24 | 1.89 ± 0.22 | 0.29 | 2.14 | 0.09 | 1.80 ± 0.25 * | 1.94 ± 0.19 | 5.09 | 2.30 | 0.19 | 1.88 ± 0.23 |
| (µg/mL) | after WBC | 1.92 ± 0.19 | 1.96 ± 0.21 | (0.60) | (0.15) | (0.77) | 1.87 ± 0.22 | 1.98 ± 0.18 | (0.03) | (0.14) | (0.66) | 1.94 ± 0.20 |
| Leptin | pre WBC | 19.21 ± 7.25 * | 14.09 ± 5.42 | 6.43 | 2.02 | 0.37 | 15.45 ± 8.08 | 17.58 ± 5.91 | 0.68 | 1.71 | 0.14 | 16.72 ± 6.85 |
| (ng/mL) | after WBC | 18.80 ± 6.99 * | 13.07 ± 6.86 | (0.02) | (0.16) | 0.55 | 14.97 ± 8.27 | 16.73 ± 6.89 | (0.41) | (0.20) | (0.72) | 16.01 ± 7.42 |
| Adiponectin | pre WBC | 8.38 ± 3.06 | 10.82 ± 4.88 | 3.77 | 3.52 | 2.56 | 7.77 ± 2.85 * | 10.79 ± 4.54 | 4.97 | 0.00 | 0.32 | 9.56 ± 4.18 |
| (µg/mL) | after WBC | 8.26 ± 2.94 | 11.02 ± 6.13 | (0.06) | (0.07) | (0.12) | 7.62 ± 3.07 * | 10.95 ± 5.50 | (0.03) | (0.97) | (0.57) | 9.60 ± 4.90 |
| Lept/Adipo | pre WBC | 2.56 ± 1.47 * | 1.40 ± 0.56 | 11.38 | 0.89 | 0.02 | 2.29 ± 1.65 | 1.79 ± 0.88 | 1.66 | 0.86 | 0.00 | 2.00 ± 1.25 |
| after WBC | 2.47 ± 1.20 * | 1.34 ± 0.73 | (<0.01) | (0.35) | (0.88) | 2.22 ± 1.42 | 1.72 ± 0.88 | (0.21) | (0.36) | (0.98) | 1.92 ± 1.14 |
| Variable | Plasma Asprosin Level | |
|---|---|---|
| pre WBC | pre WBC | Change after 20 WBC |
| Glucose | 0.55 * | NS |
| Insulin | NS | NS |
| HOMA-IR | NS | NS |
| Irisin | NS | NS |
| Leptin | NS | NS |
| Adiponectin | NS | NS |
| Leptin/Adiponectin | 0.59 * | −0.48 * |
| TG | 0.62 * | −0.55 * |
| HDL | NS | NS |
| AIP | 0.41 * | −0.37 * |
| HbA1c | NS | NS |
| CRP | NS | NS |
© 2019 by the authors. Licensee MDPI, Basel, Switzerland. This article is an open access article distributed under the terms and conditions of the Creative Commons Attribution (CC BY) license (http://creativecommons.org/licenses/by/4.0/).
Share and Cite
Wiecek, M.; Szymura, J.; Sproull, J.; Szygula, Z. Decreased Blood Asprosin in Hyperglycemic Menopausal Women as a Result of Whole-Body Cryotherapy Regardless of Metabolic Syndrome. J. Clin. Med. 2019, 8, 1428. https://doi.org/10.3390/jcm8091428
Wiecek M, Szymura J, Sproull J, Szygula Z. Decreased Blood Asprosin in Hyperglycemic Menopausal Women as a Result of Whole-Body Cryotherapy Regardless of Metabolic Syndrome. Journal of Clinical Medicine. 2019; 8(9):1428. https://doi.org/10.3390/jcm8091428
Chicago/Turabian StyleWiecek, Magdalena, Jadwiga Szymura, Justyna Sproull, and Zbigniew Szygula. 2019. "Decreased Blood Asprosin in Hyperglycemic Menopausal Women as a Result of Whole-Body Cryotherapy Regardless of Metabolic Syndrome" Journal of Clinical Medicine 8, no. 9: 1428. https://doi.org/10.3390/jcm8091428
APA StyleWiecek, M., Szymura, J., Sproull, J., & Szygula, Z. (2019). Decreased Blood Asprosin in Hyperglycemic Menopausal Women as a Result of Whole-Body Cryotherapy Regardless of Metabolic Syndrome. Journal of Clinical Medicine, 8(9), 1428. https://doi.org/10.3390/jcm8091428

