Physical Activity Levels Are Low in Inoperable Lung Cancer: Exploratory Analyses from a Randomised Controlled Trial
Abstract
1. Introduction
2. Experimental Section
2.1. Study Design, Participants and Outcomes
2.2. Statistical Analysis
3. Results
3.1. Baseline Characteristics
3.2. Baseline Physical Activity
3.2.1. Physical Activity Levels
3.2.2. Associations Between Physical Activity and Other Variables at Baseline
3.3. Change in Physical Activity Levels over Time
3.3.1. Associations Between Objective Baseline PA and Follow-up Outcomes
3.3.2. Associations between Baseline Variables and Objective PA at Six Months
4. Discussion
5. Conclusions
Author Contributions
Funding
Acknowledgments
Conflicts of Interest
References
- Hupin, D.; Roche, F.; Gremeaux, V.; Chatard, J.C.; Oriol, M.; Gaspoz, J.M.; Barthelemy, J.C.; Edouard, P. Even a low-dose of moderate-to-vigorous physical activity reduces mortality by 22% in adults aged >/=60 years: A systematic review and meta-analysis. Br. J. Sports Med. 2015, 49, 1262–1267. [Google Scholar] [CrossRef] [PubMed]
- Bellettiere, J.; Winkler, E.A.H.; Chastin, S.F.M.; Kerr, J.; Owen, N.; Dunstan, D.W.; Healy, G.N. Associations of sitting accumulation patterns with cardio-metabolic risk biomarkers in Australian adults. PLoS ONE 2017, 12, e0180119. [Google Scholar] [CrossRef] [PubMed]
- de Rezende, L.F.; Rodrigues Lopes, M.; Rey-Lopez, J.P.; Matsudo, V.K.; Luiz Odo, C. Sedentary behavior and health outcomes: An overview of systematic reviews. PLoS ONE 2014, 9, e105620. [Google Scholar] [CrossRef] [PubMed]
- Grontved, A.; Hu, F.B. Television viewing and risk of type 2 diabetes, cardiovascular disease, and all-cause mortality: A meta-analysis. JAMA 2011, 305, 2448–2455. [Google Scholar] [CrossRef] [PubMed]
- Healy, G.N.; Matthews, C.E.; Dunstan, D.W.; Winkler, E.A.; Owen, N. Sedentary time and cardio-metabolic biomarkers in US adults: NHANES 2003-06. Eur. Heart J. 2011, 32, 590–597. [Google Scholar] [CrossRef] [PubMed]
- Brenner, D.R.; Yannitsos, D.H.; Farris, M.S.; Johansson, M.; Friedenreich, C.M. Leisure-time physical activity and lung cancer risk: A systematic review and meta-analysis. Lung Cancer 2016, 95, 17–27. [Google Scholar] [CrossRef] [PubMed]
- Ho, V.; Parent, M.E.; Pintos, J.; Abrahamowicz, M.; Danieli, C.; Richardson, L.; Bourbonnais, R.; Gauvin, L.; Siemiatycki, J.; Koushik, A. Physical activity and lung cancer risk in men and women. Cancer Causes Control. 2017, 28, 309–318. [Google Scholar] [CrossRef] [PubMed]
- Moore, S.C.; Lee, I.M.; Weiderpass, E.; Campbell, P.T.; Sampson, J.N.; Kitahara, C.M.; Keadle, S.K.; Arem, H.; Berrington de Gonzalez, A.; Hartge, P.; et al. Association of Leisure-Time Physical Activity with Risk of 26 Types of Cancer in 1.44 Million Adults. JAMA Intern. Med. 2016, 176, 816–825. [Google Scholar] [CrossRef] [PubMed]
- Zhong, S.; Ma, T.; Chen, L.; Chen, W.; Lv, M.; Zhang, X.; Zhao, J. Physical Activity and Risk of Lung Cancer: A Meta-analysis. Clin. J. Sport Med. 2016, 26, 173–181. [Google Scholar] [CrossRef] [PubMed]
- Friedenreich, C.M.; Neilson, H.K.; Farris, M.S.; Courneya, K.S. Physical Activity and Cancer Outcomes: A Precision Medicine Approach. Clin. Cancer Res. 2016, 22, 4766–4775. [Google Scholar] [CrossRef]
- Schmitz, K.H.; Courneya, K.S.; Matthews, C.; Demark-Wahnefried, W.; Galvao, D.A.; Pinto, B.M.; Irwin, M.L.; Wolin, K.Y.; Segal, R.J.; Lucia, A.; et al. American College of Sports Medicine roundtable on exercise guidelines for cancer survivors. Med. Sci. Sports Exerc. 2010, 42, 1409–1426. [Google Scholar] [CrossRef] [PubMed]
- U.S. Department of Health and Human Services. Physical Activity Guidelines for Americans; U.S. Department of Health and Human Services: Washington, DC, USA, 2018.
- Tudor-Locke, C.; Bassett, D.R., Jr. How many steps/day are enough? Preliminary pedometer indices for public health. Sports Med. 2004, 34, 1–8. [Google Scholar] [CrossRef] [PubMed]
- Stevinson, C.; Lydon, A.; Amir, Z. Adherence to physical activity guidelines among cancer support group participants. Eur J. Cancer Care (Engl.) 2014, 23, 199–205. [Google Scholar] [CrossRef] [PubMed]
- Karvinen, K.H.; Vallance, J.; Walker, P.R. Newly diagnosed lung cancer patients’ preferences for and beliefs about physical activity prior to chemotherapy. Psychol. Health Med. 2016, 21, 593–600. [Google Scholar] [CrossRef] [PubMed]
- Granger, C.L.; McDonald, C.F.; Irving, L.; Clark, R.A.; Gough, K.; Murnane, A.; Mileshkin, L.; Krishnasamy, M.; Denehy, L. Low physical activity levels and functional decline in individuals with lung cancer. Lung Cancer 2014, 83, 292–299. [Google Scholar] [CrossRef] [PubMed]
- Albrecht, T.A.; Taylor, A.G. Physical activity in patients with advanced-stage cancer: A systematic review of the literature. Clin J. Oncol Nurs 2012, 16, 293–300. [Google Scholar] [CrossRef] [PubMed]
- Blair, C.K.; Morey, M.C.; Desmond, R.A.; Cohen, H.J.; Sloane, R.; Snyder, D.C.; Demark-Wahnefried, W. Light-intensity activity attenuates functional decline in older cancer survivors. Med. Sci Sports Exerc. 2014, 46, 1375–1383. [Google Scholar] [CrossRef] [PubMed]
- Fong, D.Y.; Ho, J.W.; Hui, B.P.; Lee, A.M.; Macfarlane, D.J.; Leung, S.S.; Cerin, E.; Chan, W.Y.; Leung, I.P.; Lam, S.H.; et al. Physical activity for cancer survivors: Meta-analysis of randomised controlled trials. BMJ 2012, 344, e70. [Google Scholar] [CrossRef] [PubMed]
- Schmitz, K.H.; Holtzman, J.; Courneya, K.S.; Masse, L.C.; Duval, S.; Kane, R. Controlled physical activity trials in cancer survivors: A systematic review and meta-analysis. Cancer Epidemiol. Biomark. Prev. 2005, 14, 1588–1595. [Google Scholar] [CrossRef] [PubMed]
- Jones, L.W.; Hornsby, W.E.; Goetzinger, A.; Forbes, L.M.; Sherrard, E.L.; Quist, M.; Lane, A.T.; West, M.; Eves, N.D.; Gradison, M.; et al. Prognostic significance of functional capacity and exercise behavior in patients with metastatic non-small cell lung cancer. Lung Cancer 2012, 76, 248–252. [Google Scholar] [CrossRef] [PubMed]
- Coups, E.J.; Park, B.J.; Feinstein, M.B.; Steingart, R.M.; Egleston, B.L.; Wilson, D.J.; Ostroff, J.S. Correlates of physical activity among lung cancer survivors. Psycho-oncology 2009, 18, 395–404. [Google Scholar] [CrossRef] [PubMed]
- Timmerman, J.G.; Dekker-van Weering, M.; Wouters, M.; Stuiver, M.M.M.; de Kanter, W.W.; Vollenbroek-Hutten, M. Physical behavior and associations with health outcomes in operable NSCLC patients: A prospective study. Lung Cancer 2018, 119, 91–98. [Google Scholar] [CrossRef] [PubMed]
- Edbrooke, L.; Denehy, L.; Parry, S.M.; Astin, R.; Jack, S.; Granger, C.L. How is physical activity measured in lung cancer?A systematic review of outcome measures and their psychometric properties. Respirology 2017, 22, 263–277. [Google Scholar] [CrossRef] [PubMed]
- Cavalheri, V.; Jenkins, S.; Cecins, N.; Phillips, M.; Sanders, L.H.; Hill, K. Patterns of sedentary behaviour and physical activity in people following curative intent treatment for non-small cell lung cancer. Chronic Respir. Dis. 2016, 13, 82–85. [Google Scholar] [CrossRef] [PubMed]
- Bade, B.C.; Brooks, M.C.; Nietert, S.B.; Ulmer, A.; Thomas, D.D.; Nietert, P.J.; Scott, J.B.; Silvestri, G.A. Assessing the correlation between physical activity and quality of life in advanced lung cancer. Integr. Cancer Ther. 2018, 17, 73–79. [Google Scholar] [CrossRef] [PubMed]
- Edbrooke, L.; Denehy, L.; Granger, C.L.; Kapp, S.; Aranda, S. Home-based rehabilitation in inoperable non-small cell lung cancer-the patient experience. Support. Care Cancer 2019. [Google Scholar] [CrossRef] [PubMed]
- Althoff, T.; Sosic, R.; Hicks, J.L.; King, A.C.; Delp, S.L.; Leskovec, J. Large-scale physical activity data reveal worldwide activity inequality. Nature 2017, 547, 336–339. [Google Scholar] [CrossRef]
- Granger, C.L.; Denehy, L.; Remedios, L.; Retica, S.; Phongpagdi, P.; Hart, N.; Parry, S.M. Barriers to Translation of Physical Activity into the Lung Cancer Model of Care. A Qualitative Study of Clinicians’ Perspectives. Ann. Am. Thorac. Soc. 2016, 13, 2215–2222. [Google Scholar] [CrossRef]
- Granger, C.L.; Connolly, B.; Denehy, L.; Hart, N.; Antippa, P.; Lin, K.Y.; Parry, S.M. Understanding factors influencing physical activity and exercise in lung cancer: A systematic review. Support. Care Cancer 2017, 25, 983–999. [Google Scholar] [CrossRef]
- Edbrooke, L.; Aranda, S.; Granger, C.L.; McDonald, C.F.; Krishnasamy, M.; Mileshkin, L.; Clark, R.A.; Gordon, I.; Irving, L.; Denehy, L. Multidisciplinary home-based rehabilitation in inoperable lung cancer: A randomised controlled trial. Thorax 2019. [Google Scholar] [CrossRef]
- Edbrooke, L.; Aranda, S.; Granger, C.L.; McDonald, C.F.; Krishnasamy, M.; Mileshkin, L.; Irving, L.; Braat, S.; Clark, R.A.; Gordon, I.; et al. Benefits of home-based multidisciplinary exercise and supportive care in inoperable non-small cell lung cancer—Protocol for a phase II randomised controlled trial. BMC Cancer 2017, 17, 663. [Google Scholar] [CrossRef] [PubMed]
- Moher, D.; Hopewell, S.; Schulz, K.F.; Montori, V.; Gotzsche, P.C.; Devereaux, P.J.; Elbourne, D.; Egger, M.; Altman, D.G. CONSORT 2010 explanation and elaboration: Updated guidelines for reporting parallel group randomised trials. Int. J. Surg. 2012, 10, 28–55. [Google Scholar] [CrossRef] [PubMed]
- Hoffmann, T.C.; Glasziou, P.P.; Boutron, I.; Milne, R.; Perera, R.; Moher, D.; Altman, D.G.; Barbour, V.; Macdonald, H.; Johnston, M.; et al. Better reporting of interventions: Template for intervention description and replication (TIDieR) checklist and guide. BMJ 2014, 348, g1687. [Google Scholar] [CrossRef]
- Demeyer, H.; Burtin, C.; Van Remoortel, H.; Hornikx, M.; Langer, D.; Decramer, M.; Gosselink, R.; Janssens, W.; Troosters, T. Standardizing the analysis of physical activity in patients with COPD following a pulmonary rehabilitation program. Chest 2014, 146, 318–327. [Google Scholar] [CrossRef] [PubMed]
- Demeyer, H.; Burtin, C.; Hornikx, M.; Camillo, C.A.; Van Remoortel, H.; Langer, D.; Janssens, W.; Troosters, T. The Minimal Important Difference in Physical Activity in Patients with COPD. PLoS ONE 2016, 11, e0154587. [Google Scholar] [CrossRef] [PubMed]
- Koolen, E.H.; van Hees, H.W.; van Lummel, R.C.; Dekhuijzen, R.; Djamin, R.S.; Spruit, M.A.; van ‘t Hul, A.J. “Can do” versus “do do”: A Novel Concept to Better Understand Physical Functioning in Patients with Chronic Obstructive Pulmonary Disease. J. Clin. Med. 2019, 8, 340. [Google Scholar] [CrossRef] [PubMed]
- Holland, A.E.; Mahal, A.; Hill, C.J.; Lee, A.L.; Burge, A.T.; Cox, N.S.; Moore, R.; Nicolson, C.; O’Halloran, P.; Lahham, A.; et al. Home-based rehabilitation for COPD using minimal resources: A randomised, controlled equivalence trial. Thorax 2017, 72, 57–65. [Google Scholar] [CrossRef]
- Tudor-Locke, C.; Craig, C.L.; Aoyagi, Y.; Bell, R.C.; Croteau, K.A.; De Bourdeaudhuij, I.; Ewald, B.; Gardner, A.W.; Hatano, Y.; Lutes, L.D.; et al. How many steps/day are enough? For older adults and special populations. Int. J. Behav. Nutr. Phys. Act. 2011, 8, 80. [Google Scholar] [CrossRef]
- Chambers, S.K.; Baade, P.; Youl, P.; Aitken, J.; Occhipinti, S.; Vinod, S.; Valery, P.C.; Garvey, G.; Fong, K.M.; Ball, D.; et al. Psychological distress and quality of life in lung cancer: The role of health-related stigma, illness appraisals and social constraints. Psycho-oncology 2015, 24, 1569–1577. [Google Scholar] [CrossRef]
- Cooley, M.E.; Short, T.H.; Moriarty, H.J. Symptom prevalence, distress, and change over time in adults receiving treatment for lung cancer. Psycho-oncology 2003, 12, 694–708. [Google Scholar] [CrossRef]
- Byrom, B.; Rowe, D.A. Measuring free-living physical activity in COPD patients: Deriving methodology standards for clinical trials through a review of research studies. Contemp. Clin. Trials 2016, 47, 172–184. [Google Scholar] [CrossRef] [PubMed]
- Santos-Lozano, A.; Hernandez-Vicente, A.; Perez-Isaac, R.; Santin-Medeiros, F.; Cristi-Montero, C.; Casajus, J.A.; Garatachea, N. Is the SenseWear Armband accurate enough to quantify and estimate energy expenditure in healthy adults? Ann. Transl. Med. 2017, 5, 97. [Google Scholar] [CrossRef]
- Jakicic, J.M.; Marcus, M.; Gallagher, K.I.; Randall, C.; Thomas, E.; Goss, F.L.; Robertson, R.J. Evaluation of the SenseWear Pro Armband to assess energy expenditure during exercise. Med. Sci. Sports Exerc. 2004, 36, 897–904. [Google Scholar] [CrossRef] [PubMed]
- Harvie, M.N.; Howell, A.; Thatcher, N.; Baildam, A.; Campbell, I. Energy balance in patients with advanced NSCLC, metastatic melanoma and metastatic breast cancer receiving chemotherapy--a longitudinal study. Br. J. Cancer 2005, 92, 673–680. [Google Scholar] [CrossRef] [PubMed][Green Version]
- Lee, I.M.; Shiroma, E.J.; Kamada, M.; Bassett, D.R.; Matthews, C.E.; Buring, J.E. Association of Step Volume and Intensity with All-Cause Mortality in Older Women. JAMA Intern. Med. 2019. [Google Scholar] [CrossRef] [PubMed]


| Intervention Group (n = 39) | Usual Care (n = 41) | |
|---|---|---|
| Age (years) | 64.3 (13.5) | 61.9 (11.0) |
| Sex (male) | 19 (49%) | 26 (63%) |
| BMI (kg/m2) | 26.1 (4.4) | 25.8 (4.7) |
| Time since diagnosis (days) | 37.0 (21.5 to 50.0) | 41.0 (26.0 to 54.0) |
| Disease stage | ||
| IA/IB | 2 (5%) | 1 (2%) |
| IIIA | 9 (23%) | 13 (32%) |
| IIIB | 6 (15%) | 3 (7%) |
| IV | 18 (46%) | 23 (56%) |
| Recurrence | 4 (10%) | 1 (2%) |
| Treatment intent | ||
| Radical | 19 (49%) | 18 (44%) |
| Palliative | 20 (51%) | 23 (56%) |
| Time from randomisation to commencing treatment * (days) | 6.5 (17.6) | 4.5 (16.8) |
| ECOG-PS (patient rated) | ||
| 0 | 11 (28%) | 13 (32%) |
| 1 | 24 (62%) | 23 (56%) |
| 2 | 4 (10%) | 5 (12%) |
| Colinet Co-morbidity score | 8.0 (7.0 to 9.0) | 8.0 (7.0 to 9.0) |
| Smoking history | ||
| Never smoker | 9 (23%) | 6 (15%) |
| Ex-smoker | 22 (56%) | 21 (51%) |
| Current smoker | 8 (21%) | 14 (34%) |
| Intervention Group (n = 39) | Usual Care (n = 41) | |
|---|---|---|
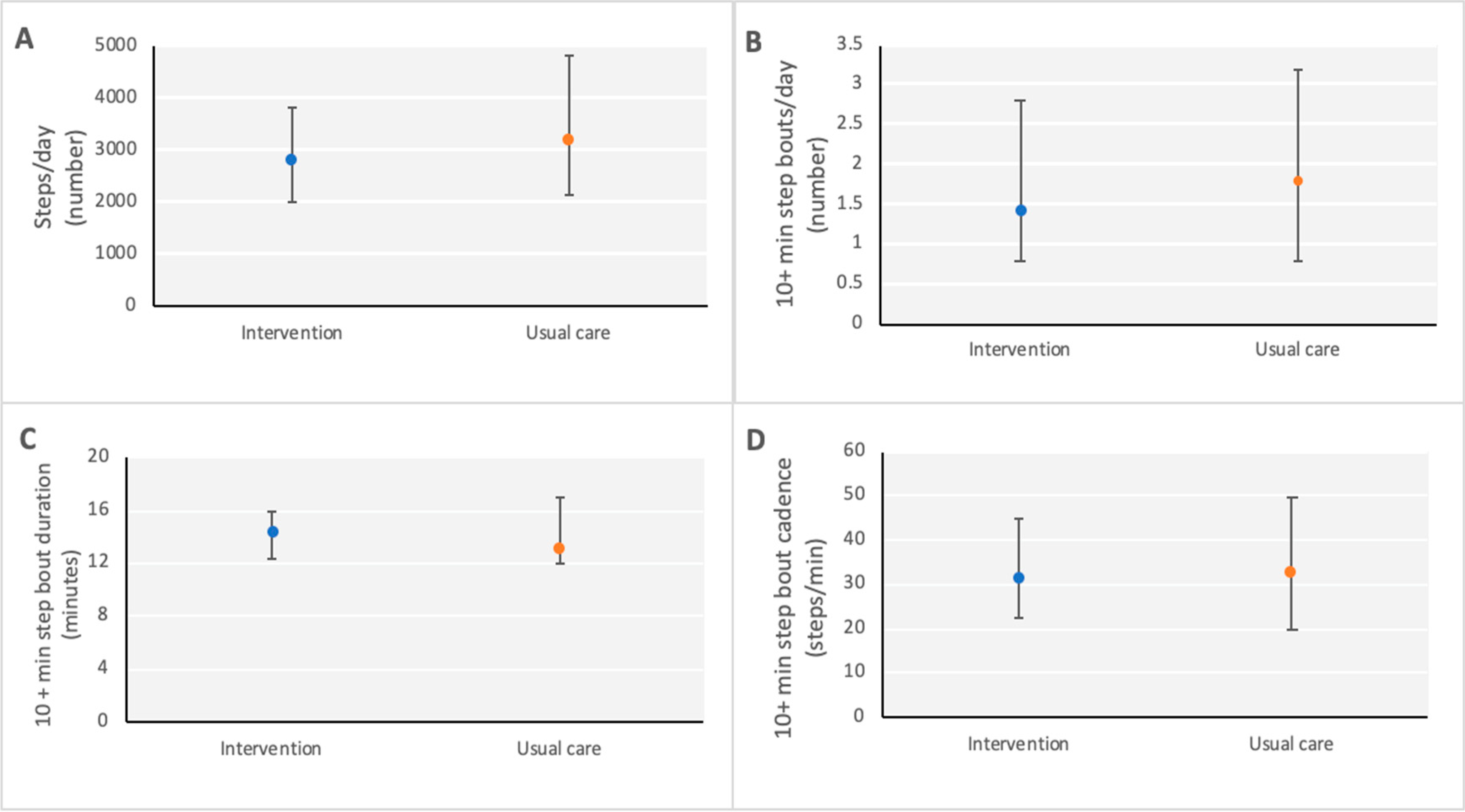
| Accelerometry | ||
| Steps per day | 2859.6 (2034.0 to 3849.2) | 3195.2 (2161.3 to 4839.0) |
| 3382.0 (1972.5) | 3801.1 (2414.4) | |
| Number of 10+ min step bouts/day | 1.4 (0.8 to 2.8) | 1.8 (0.8 to 3.2) |
| Duration of 10+ min bouts (mins) | 14.3 (12.4 to 15.9) | 13.1 (12.0 to 17.0) |
| Cadence of 10+ min bouts (steps/min) | 31.6 (22.4 to 44.7) | 33.3 (19.8 to 49.4) |
| Self-reported | ||
| IPAQ (meeting PA guidelines) | 10/42 (24%) | 12/42 (29%) |
| Variable | n | Steps Per Day | p-Value | Number of 10+ Minute Step Bouts | p-Value |
|---|---|---|---|---|---|
| Age | 80 | −0.33 | 0.002 | −0.31 | 0.005 |
| 6MWD | 80 | 0.39 | <0.005 | 0.38 | 0.001 |
| Quadriceps strength | 80 | 0.21 | 0.069 | 0.11 | 0.314 |
| Handgrip strength | 80 | 0.12 | 0.273 | −0.00 | 0.986 |
| IPAQ | 76 | 0.45 | <0.005 | 0.45 | <0.005 |
| FACT-L score | 76 | 0.29 | 0.011 | 0.36 | 0.002 |
| FACT-L TOI | 77 | 0.33 | 0.004 | 0.39 | 0.001 |
| FACT-L LCS | 77 | 0.26 | 0.025 | 0.27 | 0.017 |
| HADS - anxiety | 78 | −0.04 | 0.762 | −0.02 | 0.872 |
| HADS - depression | 78 | −0.24 | 0.038 | −0.29 | 0.011 |
| MDASI-LC symptom severity | 76 | −0.22 | 0.056 | −0.31 | 0.007 |
| MDASI-LC symptom distress | 77 | −0.31 | 0.007 | −0.32 | 0.005 |
| Within Group Differences | Between Group Differences | |||||||||
|---|---|---|---|---|---|---|---|---|---|---|
| Intervention Group * | Usual Care * | 9-Weeks, n = 78 (40 UC, 38 IG) * | 6-Months, n = 70 (36 UC, 34 IG) * | |||||||
| 9 Weeks (n = 38) | 6 Months (n = 34) | 9 Weeks (n = 40) | 6 Months (n = 36) | Mean Difference (95% CI) | p-Value | ES | Mean Difference (95% CI) | p-Value | ES | |
| Steps per day | −254.55 (602.31) | 361.02 (643.64) | −429.04 (593.82) | −212.96 (634.55) | 174.49 (−1504.66 to 1853.65) | 0.838 | 0.05 | 573.98 (−1162.33 to 2310.29) | 0.516 | 0.15 |
| Number of 10+ min step bouts/day | 0.21 (0.54) | 0.74 (0.62) | −0.10 (0.47) | −0.37 (0.69) | 0.30 (−1.13 to 1.74) | 0.680 | 0.10 | 1.12 (−0.76 to 2.99) | 0.242 | 0.29 |
| Duration of 10+ min bouts (mins) | −1.75 (1.44) | −1.39 (1.74) | −1.31 (1.56) | −1.98 (1.91) | −0.44 (−4.42 to 3.54) | 0.828 | 0.05 | 0.59 (−4.61 to 5.78) | 0.824 | 0.06 |
| Cadence of 10+ min bouts (steps/min) | −9.27 (6.71) | −5.22 (5.88) | −1.70 (7.64) | −7.95 (6.52) | −7.57 (−27.29 to 12.15) | 0.448 | 0.17 | 2.72 (−16.59 to 22.02) | 0.780 | 0.07 |
| Variable | n | Steps per Day | p-Value | 10+ Minute Step Bouts | p-Value |
|---|---|---|---|---|---|
| 9-week follow-up | |||||
| 6MWD | 35 | 0.25 | 0.150 | 0.27 | 0.113 |
| Quadriceps strength | 33 | 0.04 | 0.845 | 0.10 | 0.596 |
| Handgrip strength | 35 | 0.05 | 0.770 | −0.02 | 0.893 |
| FACT-L score | 34 | 0.03 | 0.857 | 0.11 | 0.548 |
| FACT-L TOI | 34 | 0.02 | 0.898 | 0.05 | 0.798 |
| FACT-L LCS | 34 | −0.03 | 0.861 | 0.01 | 0.959 |
| HADS - anxiety | 34 | −0.06 | 0.744 | −0.17 | 0.335 |
| HADS - depression | 34 | −0.08 | 0.644 | −0.15 | 0.405 |
| MDASI symptom severity | 34 | −0.003 | 0.987 | −0.10 | 0.579 |
| MDASI symptom distress | 34 | −0.05 | 0.762 | −0.07 | 0.678 |
| 6-month follow-up | |||||
| 6MWD | 28 | 0.31 | 0.115 | 0.41 | 0.031 |
| Quadriceps strength | 28 | 0.24 | 0.222 | 0.25 | 0.202 |
| Handgrip strength | 29 | −0.03 | 0.885 | −0.09 | 0.630 |
| FACT-L score | 29 | 0.34 | 0.076 | 0.42 | 0.024 |
| FACT-L TOI | 29 | 0.41 | 0.028 | 0.51 | 0.005 |
| FACT-L LCS | 29 | 0.23 | 0.239 | 0.37 | 0.049 |
| HADS - anxiety | 29 | 0.06 | 0.776 | 0.05 | 0.796 |
| HADS - depression | 29 | −0.22 | 0.257 | −0.31 | 0.101 |
| MDASI symptom severity | 29 | −0.03 | 0.893 | −0.11 | 0.587 |
| MDASI symptom distress | 29 | −0.31 | 0.098 | −0.29 | 0.134 |
© 2019 by the authors. Licensee MDPI, Basel, Switzerland. This article is an open access article distributed under the terms and conditions of the Creative Commons Attribution (CC BY) license (http://creativecommons.org/licenses/by/4.0/).
Share and Cite
Edbrooke, L.; Granger, C.L.; Clark, R.A.; Denehy, L. Physical Activity Levels Are Low in Inoperable Lung Cancer: Exploratory Analyses from a Randomised Controlled Trial. J. Clin. Med. 2019, 8, 1288. https://doi.org/10.3390/jcm8091288
Edbrooke L, Granger CL, Clark RA, Denehy L. Physical Activity Levels Are Low in Inoperable Lung Cancer: Exploratory Analyses from a Randomised Controlled Trial. Journal of Clinical Medicine. 2019; 8(9):1288. https://doi.org/10.3390/jcm8091288
Chicago/Turabian StyleEdbrooke, Lara, Catherine L. Granger, Ross A. Clark, and Linda Denehy. 2019. "Physical Activity Levels Are Low in Inoperable Lung Cancer: Exploratory Analyses from a Randomised Controlled Trial" Journal of Clinical Medicine 8, no. 9: 1288. https://doi.org/10.3390/jcm8091288
APA StyleEdbrooke, L., Granger, C. L., Clark, R. A., & Denehy, L. (2019). Physical Activity Levels Are Low in Inoperable Lung Cancer: Exploratory Analyses from a Randomised Controlled Trial. Journal of Clinical Medicine, 8(9), 1288. https://doi.org/10.3390/jcm8091288

