Increased Risk of Diabetes in Inflammatory Bowel Disease Patients: A Nationwide Population-Based Study in Korea
Abstract
:1. Introduction
2. Materials and Methods
2.1. Data Sources
2.2. Study Population
2.3. Data Collection
2.4. End Points
2.5. Statistical Analysis
3. Results
3.1. Baseline Characteristics
3.2. Incidence and Risk of Diabetes
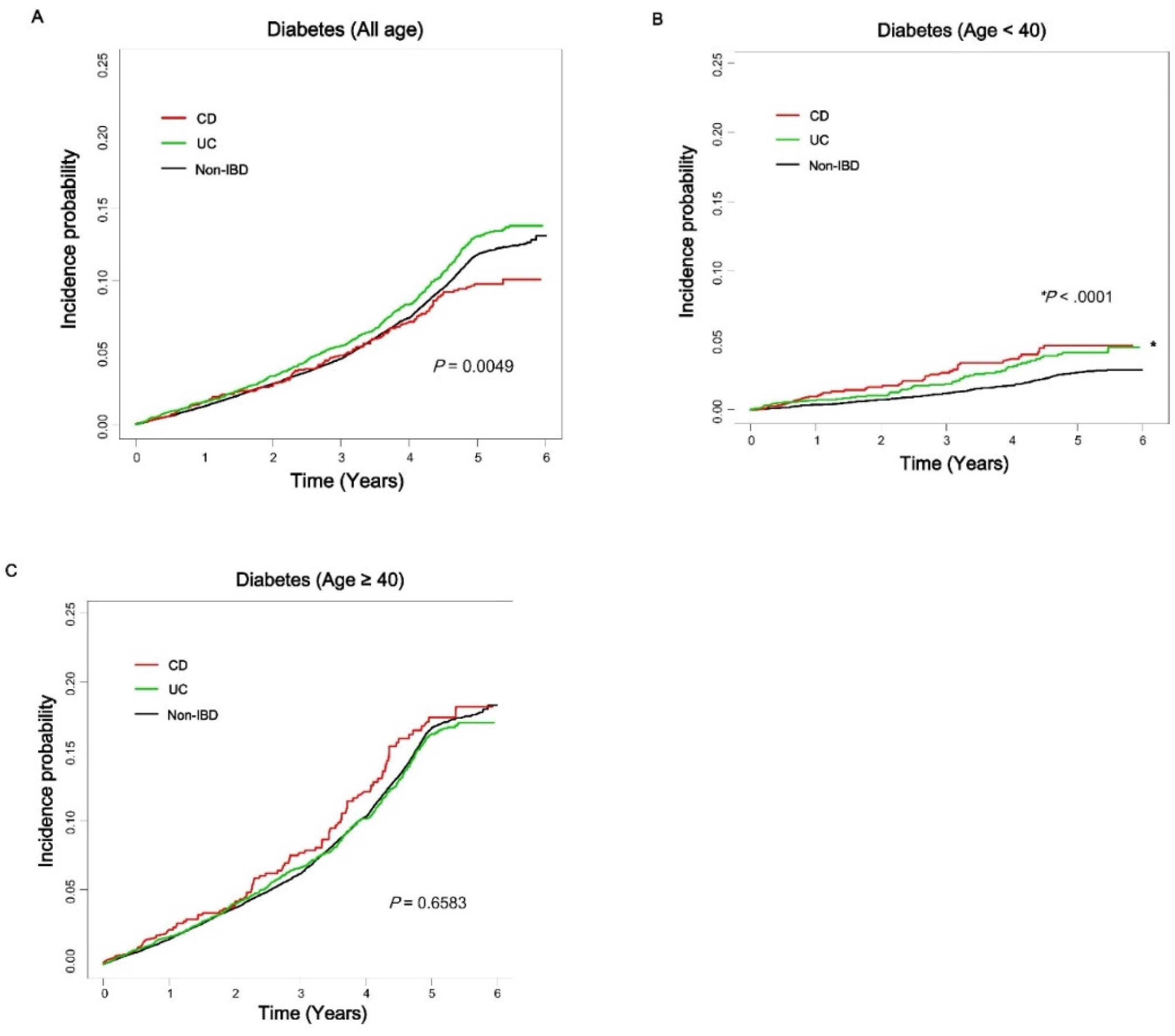
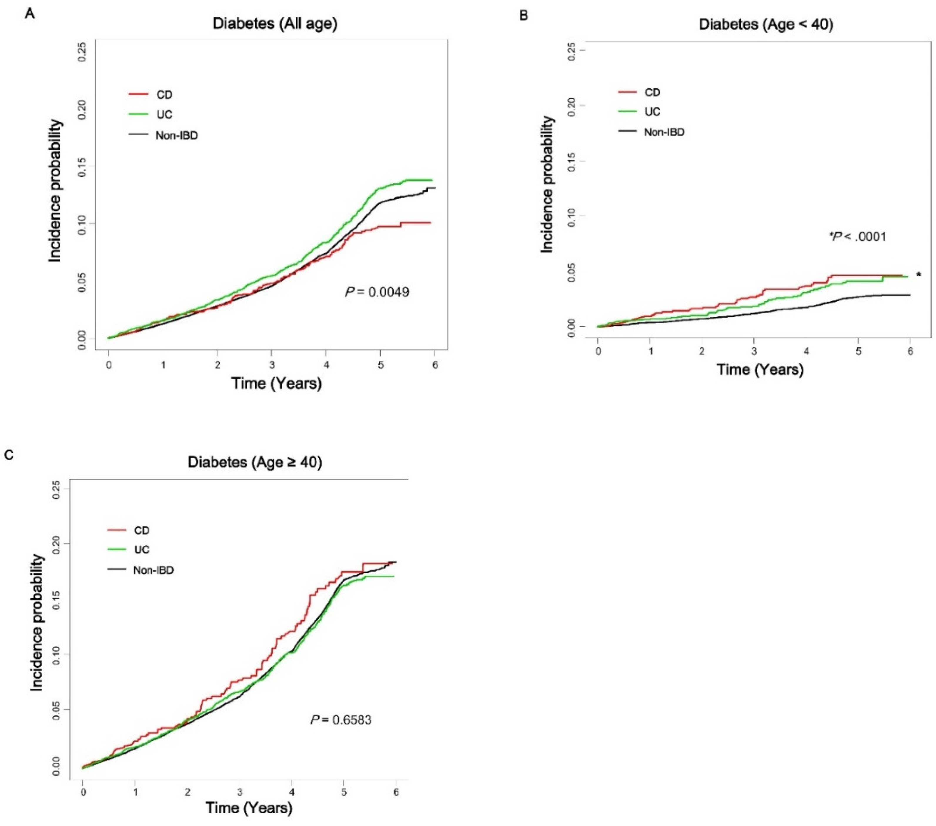
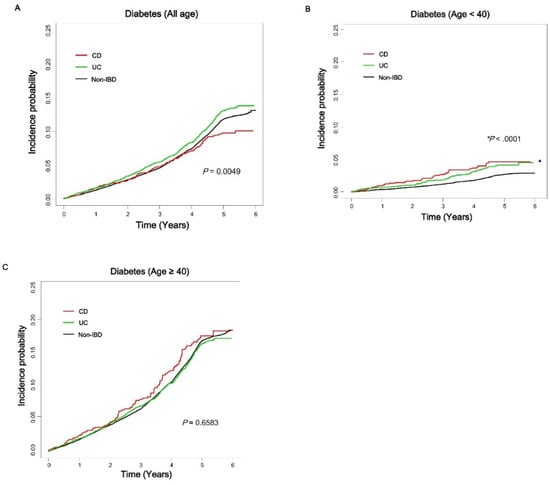
3.3. Subgroup Analysis
4. Discussion
5. Conclusions
Supplementary Materials
Author Contributions
Conflicts of Interest
List of Abbreviations
References
- Cho, N.H.; Shaw, J.E.; Karuranga, S.; Huang, Y.; Fernandes, J.D.D.; Ohlrogge, A.W.; Malanda, B. IDF Diabetes Atlas: Global estimates of diabetes prevalence for 2017 and projections for 2045. Diabetes Res. Clin. Pract. 2018, 138, 271–281. [Google Scholar] [CrossRef] [PubMed]
- Basso, P.J.; Fonseca, M.T.; Bonfa, G.; Alves, V.B.; Sales-Campos, H.; Nardini, V.; Cardoso, C.R. Association among genetic predisposition, gut microbiota, and host immune response in the etiopathogenesis of inflammatory bowel disease. Braz. J. Med. Biol. Res. 2014, 47, 727–737. [Google Scholar] [CrossRef] [PubMed]
- Bernstein, C.N.; Blanchard, J.F.; Rawsthorne, P.; Yu, N. The prevalence of extraintestinal diseases in inflammatory bowel disease: A population–based study. Am. J. Gastroenterol. 2001, 96, 1116–1122. [Google Scholar] [CrossRef] [PubMed]
- Tigas, S.; Tsatsoulis, A. Endocrine and metabolic manifestations in inflammatory bowel disease. Ann. Gastroenterol. 2012, 25, 37–44. [Google Scholar] [PubMed]
- van Raalte, D.H.; Ouwens, D.M.; Diamant, M. Novel insights into glucocorticoid–mediated diabetogenic effects: Towards expansion of therapeutic options? Eur. J. Clin. Investig. 2009, 39, 81–93. [Google Scholar] [CrossRef] [PubMed]
- Song, S.O.; Jung, C.H.; Song, Y.D.; Park, C.Y.; Kwon, H.S.; Cha, B.S.; Park, J.Y.; Lee, K.U.; Ko, K.S.; Lee, B.W. Background and data configuration process of a nationwide population–based study using the korean national health insurance system. Diabetes Metab. J. 2014, 38, 395–403. [Google Scholar] [CrossRef]
- Kim, H.J.; Hann, H.J.; Hong, S.N.; Kim, K.H.; Ahn, I.M.; Song, J.Y.; Lee, S.H.; Ahn, H.S. Incidence and natural course of inflammatory bowel disease in Korea, 2006–2012: A nationwide population–based study. Inflamm. Bowel Dis. 2015, 21, 623–630. [Google Scholar] [CrossRef]
- Park, S.; Chun, J.; Han, K.D.; Soh, H.; Choi, K.; Kim, J.H.; Lee, J.; Lee, C.; Im, J.P.; Kim, J.S. Increased end–stage renal disease risk in patients with inflammatory bowel disease: A nationwide population–based study. World J. Gastroenterol. 2018, 24, 4798–4808. [Google Scholar] [CrossRef]
- Task Force on Community Preventive Services. A recommendation to improve employee weight status through worksite health promotion programs targeting nutrition, physical activity, or both. Am. J. Prev. Med. 2009, 37, 358–359. [Google Scholar] [CrossRef]
- Choi, K.M.; Han, K.; Park, S.; Chung, H.S.; Kim, N.H.; Yoo, H.J.; Seo, J.A.; Kim, S.G.; Kim, N.H.; Baik, S.H.; et al. Implication of liver enzymes on incident cardiovascular diseases and mortality: A nationwide population-based cohort study. Sci. Rep. 2018, 8, 3764. [Google Scholar] [CrossRef]
- Lee, Y.H.; Han, K.; Ko, S.H.; Ko, K.S.; Lee, K.U. Data Analytic Process of a Nationwide Population-Based Study Using National Health Information Database Established by National Health Insurance Service. Diabetes Metab. J. 2016, 40, 79–82. [Google Scholar] [CrossRef]
- Weng, X.; Liu, L.; Barcellos, L.F.; Allison, J.E.; Herrinton, L.J. Clustering of inflammatory bowel disease with immune mediated diseases among members of a northern california-managed care organization. Am. J. Gastroenterol. 2007, 102, 1429–1435. [Google Scholar] [CrossRef]
- Cohen, R.; Robinson, D., Jr.; Paramore, C.; Fraeman, K.; Renahan, K.; Bala, M. Autoimmune disease concomitance among inflammatory bowel disease patients in the United States, 2001–2002. Inflamm. Bowel Dis. 2008, 14, 738–743. [Google Scholar] [CrossRef]
- Xu, F.; Dahlhamer, J.M.; Zammitti, E.P.; Wheaton, A.G.; Croft, J.B. Health-Risk Behaviors and Chronic Conditions Among Adults with Inflammatory Bowel Disease—United States, 2015 and 2016. MMWR Morb. Mortal. Wkly. Rep. 2018, 67, 190–195. [Google Scholar] [CrossRef]
- Halling, M.L.; Kjeldsen, J.; Knudsen, T.; Nielsen, J.; Hansen, L.K. Patients with inflammatory bowel disease have increased risk of autoimmune and inflammatory diseases. World J. Gastroenterol. 2017, 23, 6137–6146. [Google Scholar] [CrossRef]
- Kappelman, M.D.; Galanko, J.A.; Porter, C.Q.; Sandler, R.S. Association of paediatric inflammatory bowel disease with other immune-mediated diseases. Arch. Dis. Child. 2011, 96, 1042–1046. [Google Scholar] [CrossRef]
- Abrahami, D.; Douros, A.; Yin, H.; Yu, O.H.Y.; Renoux, C.; Bitton, A.; Azoulay, L. Dipeptidyl peptidase-4 inhibitors and incidence of inflammatory bowel disease among patients with type 2 diabetes: Population based cohort study. BMJ 2018, 360, k872. [Google Scholar] [CrossRef]
- Jurjus, A.; Eid, A.; Al Kattar, S.; Zeenny, M.N.; Gerges-Geagea, A.; Haydar, H.; Hilal, A.; Oueidat, D.; Matar, M.; Tawilah, J.; et al. Inflammatory bowel disease, colorectal cancer and type 2 diabetes mellitus: The links. BBA Clin. 2016, 5, 16–24. [Google Scholar] [CrossRef]
- Kamada, N.; Seo, S.U.; Chen, G.Y.; Nunez, G. Role of the gut microbiota in immunity and inflammatory disease. Nat. Rev. Immunol. 2013, 13, 321–335. [Google Scholar] [CrossRef]
- Morris, G.; Berk, M.; Carvalho, A.F.; Caso, J.R.; Sanz, Y.; Maes, M. The Role of Microbiota and Intestinal Permeability in the Pathophysiology of Autoimmune and Neuroimmune Processes with an Emphasis on Inflammatory Bowel Disease Type 1 Diabetes and Chronic Fatigue Syndrome. Curr. Pharm. Des. 2016, 22, 6058–6075. [Google Scholar] [CrossRef]
- Arif, S.; Moore, F.; Marks, K.; Bouckenooghe, T.; Dayan, C.M.; Planas, R.; Vives-Pi, M.; Powrie, J.; Tree, T.; Marchetti, P.; et al. Peripheral and islet interleukin-17 pathway activation characterizes human autoimmune diabetes and promotes cytokine-mediated beta-cell death. Diabetes 2011, 60, 2112–2119. [Google Scholar] [CrossRef]
- Karmiris, K.; Koutroubakis, I.E.; Xidakis, C.; Polychronaki, M.; Voudouri, T.; Kouroumalis, E.A. Circulating levels of leptin, adiponectin, resistin, and ghrelin in inflammatory bowel disease. Inflamm. Bowel Dis. 2006, 12, 100–105. [Google Scholar] [CrossRef] [PubMed]
- Trejo-Vazquez, F.; Garza-Veloz, I.; Villela-Ramirez, G.A.; Ortiz-Castro, Y.; Mauricio-Saucedo, P.; Cardenas-Vargas, E.; Diaz-Baez, M.; Cid-Baez, M.A.; Castaneda-Miranda, R.; Ortiz-Rodriguez, J.M.; et al. Positive association between leptin serum levels and disease activity on endoscopy in inflammatory bowel disease: A case-control study. Exp. Ther. Med. 2018, 15, 3336–3344. [Google Scholar] [CrossRef] [PubMed]
- Peng, Y.J.; Shen, T.L.; Chen, Y.S.; Mersmann, H.J.; Liu, B.H.; Ding, S.T. Adiponectin and adiponectin receptor 1 overexpression enhance inflammatory bowel disease. J. Biomed. Sci. 2018, 25, 24. [Google Scholar] [CrossRef] [PubMed]
- Andlujar, I.; Recio, M.C.; Giner, R.M.; Cienfuegos-Jovellanos, E.; Laghi, S.; Muguerza, B.; Rios, J.L. Inhibition of Ulcerative Colitis in Mice after Oral Administration of a Polyphenol-Enriched Cocoa Extract Is Mediated by the Inhibition of STAT1 and STAT3 Phosphorylation in Colon Cells. J. Agric. Food Chem. 2011, 59, 6474–6483. [Google Scholar] [CrossRef] [PubMed]
- Bahler, C.; Schoepfer, A.M.; Vavricka, S.R.; Brungger, B.; Reich, O. Chronic comorbidities associated with inflammatory bowel disease: Prevalence and impact on healthcare costs in Switzerland. Eur. J. Gastroenterol. Hepatol. 2017, 29, 916–925. [Google Scholar] [CrossRef]
- Sharp, R.C.; Abdulrahim, M.; Naser, E.S.; Naser, S.A. Genetic Variations of PTPN2 and PTPN22: Role in the Pathogenesis of Type 1 Diabetes and Crohn’s Disease. Front. Cell. Infect. Microbiol. 2015, 5, 95. [Google Scholar] [CrossRef]
- Santin, I.; Moore, F.; Colli, M.L.; Gurzov, E.N.; Marselli, L.; Marchetti, P.; Eizirik, D.L. PTPN2, a candidate gene for type 1 diabetes, modulates pancreatic beta-cell apoptosis via regulation of the BH3-only protein Bim. Diabetes 2011, 60, 3279–3288. [Google Scholar] [CrossRef]
- McCole, D.F. Regulation of epithelial barrier function by the inflammatory bowel disease candidate gene, PTPN2. Ann. N. Y. Acad. Sci. 2012, 1257, 108–114. [Google Scholar] [CrossRef]
- Spalinger, M.R.; Kasper, S.; Chassard, C.; Raselli, T.; Frey-Wagner, I.; Gottier, C.; Lang, S.; Atrott, K.; Vavricka, S.R.; Mair, F.; et al. PTPN2 controls differentiation of CD4(+) T cells and limits intestinal inflammation and intestinal dysbiosis. Mucosal Immunol. 2015, 8, 918–929. [Google Scholar] [CrossRef]
- Scharl, M.; Paul, G.; Weber, A.; Jung, B.C.; Docherty, M.J.; Hausmann, M.; Rogler, G.; Barrett, K.E.; McCole, D.F. Protection of epithelial barrier function by the Crohn’s disease associated gene protein tyrosine phosphatase n2. Gastroenterology 2009, 137, 2030–2040.e2035. [Google Scholar] [CrossRef] [PubMed]
- Wang, K.; Baldassano, R.; Zhang, H.; Qu, H.Q.; Imielinski, M.; Kugathasan, S.; Annese, V.; Dubinsky, M.; Rotter, J.I.; Russell, R.K.; et al. Comparative genetic analysis of inflammatory bowel disease and type 1 diabetes implicates multiple loci with opposite effects. Hum. Mol. Genet. 2010, 19, 2059–2067. [Google Scholar] [CrossRef] [PubMed]
- Labbe, A.; Ganopolsky, J.G.; Martoni, C.J.; Prakash, S.; Jones, M.L. Bacterial bile metabolising gene abundance in Crohn’s, ulcerative colitis and type 2 diabetes metagenomes. PLoS ONE 2014, 9, e115175. [Google Scholar] [CrossRef] [PubMed]
- Shanahan, F.; Sheehan, D. Microbial contributions to chronic inflammation and metabolic disease. Curr. Opin. Clin. Nutr. Metab. Care 2016, 19, 257–262. [Google Scholar] [CrossRef] [PubMed]
- Shanahan, F. The gut microbiota-a clinical perspective on lessons learned. Nature reviews. Gastroenterol. Hepatol. 2012, 9, 609–614. [Google Scholar] [CrossRef]
- Bernstein, C.N.; Shanahan, F. Disorders of a modern lifestyle: Reconciling the epidemiology of inflammatory bowel diseases. Gut 2008, 57, 1185–1191. [Google Scholar] [CrossRef] [PubMed]
- Shaw, S.Y.; Blanchard, J.F.; Bernstein, C.N. Association between the use of antibiotics in the first year of life and pediatric inflammatory bowel disease. Am. J. Gastroenterol. 2010, 105, 2687–2692. [Google Scholar] [CrossRef] [PubMed]


| IBD | Non-IBD | p-Value | |
|---|---|---|---|
| No. of patients | 8070 | 40,350 | |
| Age, years * | 45.0 ± 12.8 | 44.9 ± 13.1 | 0.3230 |
| Male† (%) | 5371 (66.6) | 26,880 (66.6) | 0.9142 |
| Height, cm * | 166.4 ± 8.8 | 166.4 ± 8.6 | 0.5713 |
| Body weight, kg * | 63.4 ± 11.2 | 63.3 ± 11.0 | 0.4491 |
| BMI, kg/m2 * | 22.8 ± 3.0 | 22.8 ± 2.9 | 0.6091 |
| <18.5 † | 518 (6.4) | 2549 (6.3) | 0.6280 |
| 18.5–25.0 † | 5762 (71.4) | 29,023 (71.9) | |
| >25.0 † | 1790 (22.2) | 8778 (21.8) | |
| Waist circumference, cm * | 78.8 ± 8.7 | 78.6 ± 8.7 | 0.1619 |
| Residence; Urban † (%) | 3902 (48.4) | 18,677 (46.3) | 0.0008 |
| Smoking; Current † (%) | 1133 (14.0) | 5961 (14.8) | 0.0889 |
| Drinking; No † (%) | 7809 (96.8) | 38,997 (96.7) | 0.5868 |
| Exercise; Yes † (%) | 4705 (58.3) | 23,480 (58.2) | 0.8529 |
| Underlying illness | |||
| Hypertension † | 1295 (16.1) | 7376 (18.3) | <0.0001 |
| Systolic BP, mmHg * | 118.5 ± 13.7 | 120.2 ± 14.1 | <0.0001 |
| Diastolic BP, mmHg * | 74.1 ± 9.4 | 75.1 ± 9.7 | <0.0001 |
| Dyslipidemia † | 912 (11.3) | 5896 (14.6) | <0.0001 |
| Corticosteroid use; Yes † (%) | 4080 (50.6) | 14,810 (36.7) | <0.0001 |
| Initial laboratory findings * | |||
| Glucose, mg/dL | 91.4 ± 10.9 | 92.6 ± 11.2 | <0.0001 |
| Total cholesterol, mg/dL | 182.6 ± 35.6 | 191.7 ± 35.4 | <0.0001 |
| Hemoglobin, g/dL | 13.8 ± 1.7 | 14.2 ± 1.6 | <0.0001 |
| ALT, IU/L ‡ | 19.3 (19.1–19.5) | 21.5 (21.4–21.6) | <0.0001 |
| AST, IU/L ‡ | 22.8 (22.6–22.9) | 23.8 (23.7–23.9) | <0.0001 |
| GGT, IU/L ‡ | 23.1 (22.8–23.4) | 25.2 (25.0–25.4) | <0.0001 |
| Triglyceride, mg/d L ‡ | 99.0 (97.9–100.2) | 103.8 (103.2–104.4) | <0.0001 |
| N | Diabetes | IR | HR (95% CI) * | |||||
|---|---|---|---|---|---|---|---|---|
| Model 1 † | Model 2 ‡ | Model 3 § | Model 4 ‖ | Model 5 | ||||
| Control | 40,350 | 3724 | 22.02 | 1 (Ref.) | 1 (Ref.) | 1 (Ref.) | 1 (Ref.) | 1 (Ref.) |
| IBD | 8070 | 743 | 23.19 | 1.064 (0.984–1.152) | 1.088 (1.006–1.177) | 1.091 (1.008–1.180) | 1.154 (1.067–1.249) | 1.135 (1.048–1.228) |
| p–value | 0.1209 | 0.0356 | 0.0307 | 0.0004 | 0.0018 | |||
| CD | 1735 | 132 | 18.83 | 0.859 (0.722–1.021) | 1.420 (1.193–1.691) | 1.410 (1.185–1.679) | 1.697 (1.425–2.020) | 1.677 (1.408–1.997) |
| UC | 6335 | 611 | 24.41 | 1.122 (1.030–1.223) | 1.036 (0.951–1.129) | 1.040 (0.955–1.133) | 1.080 (0.991–1.176) | 1.061 (0.973–1.156) |
| p–value | 0.0049 | 0.0004 | 0.0005 | <0.0001 | <0.0001 | |||
| Subgroup | IBD | HR (95% CI) | p-Value * | p-Value for Interaction Analysis † | |
|---|---|---|---|---|---|
| Age | <40 | CD | 2.395 (1.715–3.345) | <0.0001 | 0.0026 |
| UC | 1.589 (1.198–2.108) | ||||
| ≥40 | CD | 1.563 (1.27–1.924) | 0.0001 | ||
| UC | 1.020 (0.932–1.116) | ||||
| Sex | Male | CD | 1.674 (1.352–2.072) | <0.0001 | 0.8492 |
| UC | 1.074 (0.965–1.195) | ||||
| Female | CD | 1.745 (1.284–2.371) | 0.0017 | ||
| UC | 1.045 (0.903–1.201) | ||||
| Waist Circumference | No | CD | 1.661 (1.352–2.040) | <0.0001 | 0.7684 |
| UC | 1.075 (0.967–1.195) | ||||
| Yes | CD | 1.714 (1.229–2.391) | 0.0063 | ||
| UC | 1.036 (0.892–1.202) | ||||
| Metabolic syndrome | No | CD | 1.832 (1.480–2.269) | <0.0001 | 0.3152 |
| UC | 1.147 (1.020–1.290) | ||||
| Yes | CD | 1.576 (1.160–2.141) | 0.0120 | ||
| UC | 1.052 (0.926–1.195) | ||||
| Overweight | No | CD | 1.682 (1.364–2.073) | <0.0001 | 0.4154 |
| UC | 1.006 (0.902–1.122) | ||||
| Yes | CD | 1.656 (1.203–2.28) | 0.0011 | ||
| UC | 1.172 (1.018–1.348) | ||||
| Steroid use | No | CD | 1.558 (1.204–2.016) | 0.0027 | 0.4088 |
| UC | 1.060 (0.932–1.206) | ||||
| Yes | CD | 1.781 (1.403–2.260) | <0.0001 | ||
| UC | 1.051 (0.936–1.180) | ||||
© 2019 by the authors. Licensee MDPI, Basel, Switzerland. This article is an open access article distributed under the terms and conditions of the Creative Commons Attribution (CC BY) license (http://creativecommons.org/licenses/by/4.0/).
Share and Cite
Kang, E.A.; Han, K.; Chun, J.; Soh, H.; Park, S.; Im, J.P.; Kim, J.S. Increased Risk of Diabetes in Inflammatory Bowel Disease Patients: A Nationwide Population-Based Study in Korea. J. Clin. Med. 2019, 8, 343. https://doi.org/10.3390/jcm8030343
Kang EA, Han K, Chun J, Soh H, Park S, Im JP, Kim JS. Increased Risk of Diabetes in Inflammatory Bowel Disease Patients: A Nationwide Population-Based Study in Korea. Journal of Clinical Medicine. 2019; 8(3):343. https://doi.org/10.3390/jcm8030343
Chicago/Turabian StyleKang, Eun Ae, Kyungdo Han, Jaeyoung Chun, Hosim Soh, Seona Park, Jong Pil Im, and Joo Sung Kim. 2019. "Increased Risk of Diabetes in Inflammatory Bowel Disease Patients: A Nationwide Population-Based Study in Korea" Journal of Clinical Medicine 8, no. 3: 343. https://doi.org/10.3390/jcm8030343
APA StyleKang, E. A., Han, K., Chun, J., Soh, H., Park, S., Im, J. P., & Kim, J. S. (2019). Increased Risk of Diabetes in Inflammatory Bowel Disease Patients: A Nationwide Population-Based Study in Korea. Journal of Clinical Medicine, 8(3), 343. https://doi.org/10.3390/jcm8030343

