Is There Any Improvement of the Coagulation Imbalance in Sickle Cell Disease after Hematopoietic Stem Cell Transplantation?
Abstract
1. Introduction
2. Materials and Methods
2.1. Patients
2.2. Controls
2.3. Blood Collection and Handling
2.4. Thrombin Generation Assay
2.5. Evaluation of Hemolysis and HbS
2.6. Statistical Analysis
3. Results
3.1. Demographic Data
3.2. Clinical Data
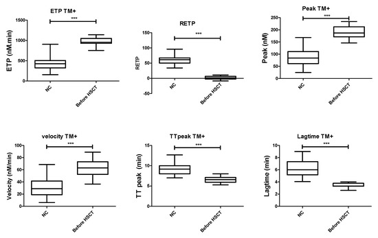
3.3. Thrombin Generation Parameters
3.4. Evolution Ofhemoglobin, HbS and LDH
4. Discussion
5. Conclusions
Supplementary Materials
Author Contributions
Funding
Acknowledgments
Conflicts of Interest
References
- De Franceschi, L.; Cappellini, M.D.; Olivieri, O. Thrombosis and sickle cell disease. Semin. Thromb. Hemost. 2011, 37, 226–236. [Google Scholar] [CrossRef] [PubMed]
- Austin, H.; Key, N.S.; Benson, J.M.; Lally, C.; Dowling, N.F.; Whitsett, C.; Hooper, W.C. Sickle cell trait and the risk of venous thromboembolism among blacks. Blood 2007, 1, 908–912. [Google Scholar] [CrossRef] [PubMed]
- Ataga, K.I.; Key, N.S. Hypercoagulability in sickle cell disease: New approaches to an old problem. Hematol. Am. Soc. Hematol. Educ. Program. 2007, 91–96. [Google Scholar] [CrossRef]
- Noubouossie, D.; Key, N.S.; Ataga, K.I. Coagulation abnormalities of sickle cell disease: Relationship with clinical outcomes and the effect of disease modifying therapies. Blood Rev. 2016, 30, 245–256. [Google Scholar] [CrossRef] [PubMed]
- Hemker, H.C.; Giesen, P.; Al Dieri, R.; Regnault, V.; de Smedt, E.; Wagenvoord, R.; Lecompte, T.; Béguin, S. Calibrated automated thrombin generation measurement in clotting plasma. Pathophysiol. Haemost. Thromb. 2003, 33, 4–15. [Google Scholar] [CrossRef] [PubMed]
- Duarte, R.C.F.; Ferreira, C.N.; Rios, D.R.A.; Reis, H.J.D.; Carvalho, M.D.G. Thrombin generation assays for global evaluation of the hemostatic system: Perspectives and limitations. Rev. Bras. Hematol. Hemoter. 2017, 39, 259–265. [Google Scholar] [CrossRef]
- Noubouossie, D.F.; Lê, P.Q.; Corazza, F.; Debaugnies, F.; Rozen, L.; Ferster, A.; Demulder, A. Thrombin generation reveals high procoagulant potential in the plasma of sickle cell disease children. Am. J. Hematol. 2012, 87, 145–149. [Google Scholar] [CrossRef]
- Gerotziafas, G.T.; Van Dreden, P.; Chaari, M.; Galea, V.; Khaterchi, A.; Lionnet, F.; Stankovic-Stojanovic, K.; Blanc-Brude, O.; Woodhams, B.; Maier-Redelsperger, M.; et al. The acceleration of the propagation phase of thrombin generation in patients with steady-state sickle cell disease is associated with circulating erythrocyte-derived microparticles. Thromb. Haemost. 2012, 107, 1044–1052. [Google Scholar] [CrossRef]
- Noubouossie, D.C.; Lê, P.Q.; Rozen, L.; Ziereisen, F.; Willems, D.; Demulder, A.; Ferster, A. Thrombin generation in children with sickle cell disease: Relationship with age, hemolysis, transcranial Doppler velocity, and hydroxyurea treatment. Eur. J. Haematol. 2013, 91, 46–54. [Google Scholar] [CrossRef]
- Quinn, C.T.; Rogers, Z.R.; McCavit, T.L.; Buchanan, G.R. Improved Survival of Children and Adolescents with Sickle Cell Disease. Blood 2010, 115, 3447–3452. [Google Scholar] [CrossRef]
- Hamideh, D.; Alvarez, O. Sickle Cell Disease Related Mortality in the United States (1999–2009). Pediatric Blood Cancer 2013, 60, 1482–1486. [Google Scholar] [CrossRef] [PubMed]
- Talano, J.A.; Cairo, M.S. Hematopoietic stem cell transplantation for sickle cell disease: State of the science. Eur. J. Haematol. 2015, 94, 391–399. [Google Scholar] [CrossRef] [PubMed]
- Locatelli, F.; Pagliara, D. Allogeneic hematopoietic stem cell transplantation in children with sickle cell disease. Pediatric Blood Cancer 2012, 59, 372–376. [Google Scholar] [CrossRef] [PubMed]
- Powars, D.; Weidman, J.A.; Odom-Maryon, T.; Niland, J.C.; Johnson, C. Sickle cell chronic lung disease: Prior morbidity and the risk of pulmonary failure. Medicine 1988, 67, 66–76. [Google Scholar] [CrossRef] [PubMed]
- Bernaudin, F.; Verlhac, S.; Peffault de Latour, R.; Dalle, J.H.; Brousse, V.; Petras, E.; Thuret, I.; Paillard, C.; Neven, B.; Galambrun, C.; et al. Association of Matched Sibling Donor Hematopoietic Stem Cell Transplantation with Transcranial Doppler Velocities in Children with Sickle Cell Anemia. JAMA 2019, 321, 266–276. [Google Scholar] [CrossRef]
- Bhatia, M.; Walters, M.C. Hematopoietic Cell Transplantation for Thalassemia and Sickle Cell Disease: Past, Present and Future. Bone Marrow Transpl. 2008, 41, 109–117. [Google Scholar] [CrossRef]
- Bernaudin, F.; Socie, G.; Kuentz, M.; Chevret, S.; Duval, M.; Bertrand, Y.; Vannier, J.P.; Yakouben, K.; Thuret, I.; Bordigoni, P.; et al. Long-term Results of Related Myeloablative Stem-cell Transplantation to Cure Sickle Cell Disease. Blood 2007, 110, 2749–2756. [Google Scholar] [CrossRef]
- Dedeken, L.; Lê, P.Q.; Azzi, N.; Brachet, C.; Heijmans, C.; Huybrechts, S.; Devalck, C.; Rozen, L.; Ngalula, M.; Ferster, A. Haematopoietic stem cell transplantation for severe sickle cell disease in childhood: A single centre experience of 50 patients. Br. J. Haematol. 2014, 165, 402–408. [Google Scholar] [CrossRef]
- Gluckman, E.; Cappelli, B.; Bernaudins, F.; Labopins, M.; Volts, F.; Carreras, J.; Pinto Simões, B.; Ferster, A.; Dupont, S.; de la Fuente, J.; et al. Eurocord, the Pediatric Working Party of the European Society for Blood and Marrow Transplantation, and the Center for International Blood and Marrow Transplant Research. Sickle cell disease: An international survey of results of HLA-identical sibling hematopoietic stem cell transplantation. Blood 2017, 129, 1548–1556. [Google Scholar] [CrossRef]
- Cappelli, B.; Volt, F.; Tozatto-Maio, K.; Scigliuolo, G.M.; Ferster, A.; Dupont, S.; Pinto Simões, B.; Al-Seraihy, A.; Aljurf, M.D.; Almohareb, F.; et al. Risk factors and outcomes according to age at transplantation with an HLA-identical sibling for sickle cell disease. Haematologica 2019, 104. [Google Scholar] [CrossRef]
- Långström, S.; Koskenvuo, M.; Huttunen, P.; Lassila, R.; Taskinen, M.; Ranta, S.; Heikinheimo, M.; Mäkipernaa, A. Haematopoietic Stem Cell Transplantation in Children Shifts the Coagulation System towards a Pro-Coagulant State. Thromb. Haemost. 2018, 118, 1390–1396. [Google Scholar] [CrossRef] [PubMed]
- Nagasawa, M.; Ohkawa, T.; Endo, A.; Mitsuiki, N.; Ono, T.; Aoki, Y.; Isoda, T.; Tomizawa, D.; Takagi, M.; Kajiwara, M.; et al. Early coagulation disorder after allogeneic stem cell transplantation is a strong prognostic factor for transplantation-related mortality, and intervention with recombinant human thrombomodulin improves the outcome: A single-center experience. Int. J. Hematol. 2013, 98, 533–542. [Google Scholar] [CrossRef] [PubMed]
- Dvorak, C.C.; Higham, C.; Shimano, K.A. Transplant-Associated Thrombotic Microangiopathy in Pediatric Hematopoietic Cell Transplant Recipients: A Practical Approach to Diagnosis and Management. Front. Pediatric 2019, 7, 133. [Google Scholar] [CrossRef] [PubMed]
- Rosenthal, J. Hematopoietic cell transplantation-associated thrombotic microangiopathy: A review of pathophysiology, diagnosis, and treatment. J. Blood Med. 2016, 7, 181–186. [Google Scholar] [CrossRef] [PubMed][Green Version]
- Rozen, L.; Noubouossie, D.; Dedeken, L.; Huybrechts, S.; Le, P.Q.; Ferster, A.; Demulder, A. Different profile of thrombin generation in children with acute lymphoblastic leukaemia treated with native or pegylated asparaginase–A cohort study. Pediatric Blood Cancer 2017, 64, 294–301. [Google Scholar] [CrossRef]
- Noubouossie, D.F.; Emmerechts, J.; Debaugnies, F.; Le, P.Q.; Rozen, L.; Hoylaerts, M.F.; Demulder, A.; Ferster, A. Towards an Improvement of the Coagulation Imbalance in Sickle Cell Disease After Hematopoietic Stem Cell Transplantation: A Preliminary Study. Blood 2011, 118, 4840. [Google Scholar] [CrossRef]
- Yee, D.L.; Edwards, R.M.; Mueller, B.U.; Teruya, J. Thromboelastographic and hemostatic characteristics in pediatric patients with sickle cell disease. Arch. Pathol. Lab. Med. 2005, 129, 760–765. [Google Scholar] [CrossRef]
- Bezeaud, A.; Venisse, L.; Helley, D.; Trichet, C.; Girot, R.; Guillin, M.-C. Red blood cells from patients with homozygous sickle cell disease provide a catalytic surface for factor Va inactivation by activated protein C. Br. J. Haematol. 2002, 117, 409–413. [Google Scholar] [CrossRef]
- Bayazit, A.K.; Kilinç, Y. Natural coagulation inhibitors (protein C, protein S, antithrombin) in patients with sickle cell anemia in a steady state. Pediatric Int. 2001, 43, 592–596. [Google Scholar] [CrossRef]
- Wright, J.G.; Malia, R.; Cooper, P.; Thomas, P.; Preston, F.E.; Serjeant, G.R. Protein C and protein S in homozygous sickle cell disease: Does hepatic dysfunction contribute to low levels? Br. J. Haematol. 1997, 98, 627–631. [Google Scholar] [CrossRef]
- Westerman, M.P.; Green, D.; Gilman-Sachs, A.; Beaman, K.; Freels, S.; Boggio, L.; Allen, S.; Zuckerman, L.; Schlegel, R.; Williamson, P. Antiphospholipid antibodies, proteins C and S, and coagulation changes in sickle cell disease. J. Lab. Clin. Med. 1999, 134, 352–362. [Google Scholar] [CrossRef]
- Dielis, A.W.J.H.; Castoldi, E.; Spronk, H.M.H.; van Oerle, R.; Hamulyák, K.; Ten Cate, H.; Rosing, J. Coagulation factors and the protein C system as determinants of thrombin generation in a normal population. J. Thromb. Haemost. 2008, 6, 125–131. [Google Scholar] [CrossRef] [PubMed]
- Whelihan, M.F.; Lim, M.Y.; Mooberry, M.J.; Piegore, M.G.; Ilich, A.; Wogu, A.; Cai, J.; Monroe, D.M.; Ataga, K.I.; Mann, K.G.; et al. Thrombin generation and cell-dependent hypercoagulability in sickle cell disease. J. Thromb. Haemost. 2016, 14, 1941–1952. [Google Scholar] [CrossRef] [PubMed]
- Noubouossie, D.; Lê, P.Q.; Rozen, L.; Willems, D.; Mujinga, N.M.; Ferster, A.; Demulder, A. Factor VIII level correlates with hemolysis and may contribute to the hypercoagulability of children with sickle cell disease. PB 2.55–1. J. Thromb. Haemost. 2013, 11, 710–711. [Google Scholar]
- Van Beers, E.J.; Schaap, M.C.L.; Berckmans, R.J.; Nieuwland, R.; Sturk, A.; van Doormaal, F.F.; Meijers, J.C.; Biemond, B.J.; CURAMA study group. Circulating erythrocyte-derived microparticles are associated with coagulation activation in sickle cell disease. Haematologica 2009, 94, 1513–1519. [Google Scholar] [CrossRef]
- Van Tits, L.J.; van Heerde, W.L.; Landburg, P.P.; Boderie, M.J.; Muskiet, F.A.J.; Jacobs, N.; Duits, A.J.; Duits, A.J.; Schnog, J.B. Plasma annexin A5 and microparticle phosphatidylserine levels are elevated in sickle cell disease and increase further during painful crisis. Biochem. Biophys. Res. Commun. 2009, 390, 161–164. [Google Scholar] [CrossRef]
- Shet, A.S.; Aras, O.; Gupta, K.; Hass, M.J.; Rausch, D.J.; Saba, N.; Koopmeiners, L.; Key, N.S.; Hebbel, R.P. Sickle blood contains tissue factor-positive microparticles derived from endothelial cells and monocytes. Blood 2003, 102, 2678–2683. [Google Scholar] [CrossRef]
- Westerman, M.; Pizzey, A.; Hirschman, J.; Cerino, M.; Weil-Weiner, Y.; Ramotar, P.; Eze, A.; Lawrie, A.; Purdy, G.; Mackie, I.; et al. Microvesicles in haemoglobinopathies offer insights into mechanisms of hypercoagulability, haemolysis and the effects of therapy. Br. J. Haematol. 2008, 142, 126–135. [Google Scholar] [CrossRef]
- Noubouossie, D.C.; Lê, P.Q.; Rozen, L.; Debaugnies, F.; Ferster, A.; Demulder, A. Evaluation of the procoagulant activity of endogenous phospholipids in the platelet-free plasma of children with sickle cell disease using functional assays. Thromb. Res. 2012, 130, 259–264. [Google Scholar] [CrossRef]
- Tripodi, A. Modified endogenous thrombin potential with results expressed as ratio of values with-to-without thrombomodulin. Thromb. Haemost. 2017, 117, 830–836. [Google Scholar] [CrossRef]
- White, R.H.; Zhou, H.; Gage, B.F. Effect of age on the incidence of venous thromboembolism following major surgery. J. Thromb. Haemost. 2004, 2, 1327–1333. [Google Scholar] [CrossRef] [PubMed]
- White, R.H.; Zhou, H.; Murin, S.; Harvey, D. Effect of ethnicity and gender on the incidence of venous thromboembolism in a diverse population in California. Thromb. Haemost. 2005, 93, 298–305. [Google Scholar] [PubMed]
- Roberts, L.N.; Patel, R.K.; Chitongo, P.; Bonner, L.; Arya, R. African-Caribbean ethnicity is associated with a hypercoagulable state as measured by thrombin generation. Blood Coagul. Fibrinolysis 2013, 24, 40–49. [Google Scholar] [CrossRef] [PubMed]


| Genotype patient | 16 HbSS, 1 HbSB+ | ||||||
| Sex | 5 females, 12 males | ||||||
| Age at transplant (years) | 9.6 (3.6–16.5) | ||||||
| Donor Genotype | 11 HbAS, 5 HbAA, 1 HbAC | ||||||
| Donor sex | 7 females, 10 males | ||||||
| HSCT complications | Acute renal insuffisency | 1, resolved 3 months after transplant, due to drug toxicities) | |||||
| Hemorrhagic cystitis | 1, with mild hemorrhagic cystitis resolved less than1 month after transplant | ||||||
| VOD | 0 | ||||||
| Acute GVHD | 0 | ||||||
| Chronic GVHD | 1, with no more immuno-suppressive treatment 12 months after transplant | ||||||
| Before HSCT | 6 months after HSCT | 15 months after HSCT | Friedmann test | Dunn’s post-test | |||
| Before versus 6 months after HSCT | Before versus 15 months after HSCT | 6 months versus 15 months after HSCT | |||||
| Hb (g/dL) | 8.3 (7.2–11.4) | 11.7 (10.5–14.5) | 12.4 (10.9–13.5) | p < 0.0001 | ** | *** | NS |
| HbS (%) | 70 (26–88) | 32 (0–40) | 34 (0–42) | p = 0.0001 | *** | * | NS |
| LDH | 466 (256–823) | 243 (185–488) | 235 (177–317) | p < 0.0001 | ** | *** | NS |
© 2019 by the authors. Licensee MDPI, Basel, Switzerland. This article is an open access article distributed under the terms and conditions of the Creative Commons Attribution (CC BY) license (http://creativecommons.org/licenses/by/4.0/).
Share and Cite
Rozen, L.; Noubouossie, D.F.; Dedeken, L.; Lê, P.Q.; Ferster, A.; Demulder, A. Is There Any Improvement of the Coagulation Imbalance in Sickle Cell Disease after Hematopoietic Stem Cell Transplantation? J. Clin. Med. 2019, 8, 1796. https://doi.org/10.3390/jcm8111796
Rozen L, Noubouossie DF, Dedeken L, Lê PQ, Ferster A, Demulder A. Is There Any Improvement of the Coagulation Imbalance in Sickle Cell Disease after Hematopoietic Stem Cell Transplantation? Journal of Clinical Medicine. 2019; 8(11):1796. https://doi.org/10.3390/jcm8111796
Chicago/Turabian StyleRozen, Laurence, Denis F. Noubouossie, Laurence Dedeken, Phu Quoc Lê, Alina Ferster, and Anne Demulder. 2019. "Is There Any Improvement of the Coagulation Imbalance in Sickle Cell Disease after Hematopoietic Stem Cell Transplantation?" Journal of Clinical Medicine 8, no. 11: 1796. https://doi.org/10.3390/jcm8111796
APA StyleRozen, L., Noubouossie, D. F., Dedeken, L., Lê, P. Q., Ferster, A., & Demulder, A. (2019). Is There Any Improvement of the Coagulation Imbalance in Sickle Cell Disease after Hematopoietic Stem Cell Transplantation? Journal of Clinical Medicine, 8(11), 1796. https://doi.org/10.3390/jcm8111796

