Gut Microbiota and Metabolic Dysregulation in Elderly Diabetic Patients: Is There a Gender-Specific Effect
Abstract
1. Introduction
2. Materials and Methods
2.1. Materials
2.1.1. Ethics
2.1.2. Study Group
2.1.3. Inclusion Criteria
2.1.4. Exclusion Criteria
2.2. Methods
2.2.1. 3-Day Nutritional Interview
2.2.2. Blood Sample Collection
2.2.3. Stool Sample Collection
2.2.4. Qualitative and Quantitative Analysis of the Intestinal Microbiome
- Isolation of DNA from frozen human stool samples
- 2.
- Amplicon library preparation and sequencing using Illumina SBS technology
- 3.
- Assessment of DNA and library quality
- 4.
- High-throughput sequencing
- 5.
- Bioinformatic analysis
2.2.5. Statistical Analysis
Biochemical Analysis
Statistical Relationships Between Microbiological and Clinical Data
- (A)
- Sex, HbA1c, and G0
- (B)
- Gender, T-C, HDL-C, and TAG (LDL-C was excluded as it is a derivative of the analyzed variables).
3. Results
3.1. Characteristics of the Study Group
3.2. Gut Microbiome Analysis
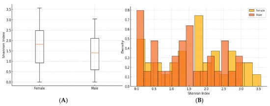
3.3. Alpha and Beta Diversity of the Gut Microbiome
3.4. Correlation Analysis of Microbiological and Clinical Data
| Age | Glu 0′ | HbA1c | TC | HDL−C | LDL | TG | |
|---|---|---|---|---|---|---|---|
| k__Bacteria.p__Actinobacteria | 0.004366 | −0.096310 | −0.084351 | −0.072133 | 0.027258 | −0.092556 | −0.216733 |
| k__Bacteria.p__Bacteroidetes | −0.181849 | 0.072217 | −0.111222 | 0.133148 | −0.174660 | 0.094360 | 0.230008 |
| k__Bacteria.p__Cyanobacteria | 0.131550 | 0.065780 | 0.239915 | −0.049634 | −0.154532 | −0.022733 | 0.003591 |
| k__Bacteria.p__Firmicutes | 0.128621 | −0.044541 | −0.137082 | 0.078355 | 0.272798 | −0.071186 | −0.180217 |
| k__Bacteria.p__Fusobacteria | 0.065568 | −0.020552 | −0.030426 | −0.002493 | −0.102946 | 0.091236 | −0.166058 |
| k__Bacteria.p__Lentisphaerae | −0.138691 | 0.005785 | 0.082054 | −0.074258 | −0.112869 | −0.051308 | 0.119171 |
| k__Bacteria.p__OD1 | 0.106919 | 0.062554 | 0.040379 | −0.165562 | −0.073868 | −0.188618 | 0.113417 |
| k__Bacteria.p__Proteobacteria | 0.085212 | −0.146104 | 0.022203 | −0.226458 | −0.059852 | −0.178138 | −0.119425 |
| k__Bacteria.p__Synergistetes | 0.073574 | −0.187279 | 0.250789 | −0.196845 | −0.244793 | −0.112624 | −0.218001 |
| k__Bacteria.p__TM7 | −0.033153 | −0.110339 | −0.072516 | 0.001142 | 0.164117 | −0.123292 | 0.081520 |
| k__Bacteria.p__Tenericutes | −0.063305 | 0.106805 | 0.321177 | −0.039596 | 0.064411 | −0.042761 | −0.262965 |
| k__Bacteria.p__Verrucomicrobia | 0.107448 | 0.10843 | 0.329106 | −0.035126 | −0.233006 | 0.050656 | 0.069857 |
| Age | Glu 0′ | HbA1c | TC | HDL-C | LDL | TG | |
|---|---|---|---|---|---|---|---|
| k__Bacteria.__ | 0.116224 | 0.098127 | −0.026447 | 0.143268 | 0.009665 | 0.143757 | 0.234049 |
| k__Bacteria.p__Actinobacteria | −0.117699 | −0.120260 | −0.025734 | 0.021337 | 0.203195 | −0.078893 | −0.237553 |
| k__Bacteria.p__Bacteroidetes | −0.220822 | 0.267659 | −0.004599 | 0.224204 | −0.102528 | 0.153737 | 0.215669 |
| k__Bacteria.p__Cyanobacteria | 0.159672 | 0.226343 | 0.153605 | −0.130926 | −0.194769 | −0.057843 | 0.093844 |
| k__Bacteria.p__Firmicutes | 0.313096 | −0.115117 | −0.168090 | 0.075829 | 0.163803 | 0.063574 | −0.303863 |
| k__Bacteria.p__Fusobacteria | −0.024158 | −0.141379 | 0.020784 | −0.050849 | −0.053457 | −0.103933 | −0.173408 |
| k__Bacteria.p__Lentisphaerae | −0.191739 | 0.234850 | 0.011928 | 0.111180 | −0.143956 | 0.148426 | 0.338753 |
| k__Bacteria.p__OD1 | 0.032102 | 0.276792 | 0.151255 | −0.315146 | −0.238875 | −0.296429 | 0.178980 |
| k__Bacteria.p__Proteobacteria | −0.001096 | −0.291092 | 0.116410 | −0.477102 | −0.213711 | −0.437380 | −0.052197 |
| k__Bacteria.p__Synergistetes | 0.026112 | −0.092562 | 0.251231 | −0.333911 | −0.146191 | −0.308584 | −0.311191 |
| k__Bacteria.p__TM7 | −0.112554 | −0.153672 | −0.008604 | −0.016952 | 0.155371 | −0.125736 | −0.000244 |
| k__Bacteria.p__Tenericutes | −0.165330 | 0.113330 | 0.286782 | 0.005175 | 0.048302 | 0.038217 | −0.307196 |
| k__Bacteria.p__Verrucomicrobia | 0.008276 | 0.246017 | 0.389013 | −0.188830 | −0.359235 | −0.065326 | 0.048799 |
| Age | Glu 0′ | HbA1c | TC | HDL-C | LDL | TG | |
|---|---|---|---|---|---|---|---|
| k__Bacteria.p__Actinobacteria | 0.226191 | 0.051977 | −0.168457 | −0.300000 | −0.288701 | −0.156497 | −0.259887 |
| k__Bacteria.p__Bacteroidetes | 0.049859 | −0.428571 | −0.287006 | −0.010728 | −0.330322 | −0.064935 | 0.156409 |
| k__Bacteria.p__Cyanobacteria | 0.184135 | −0.167781 | 0.351799 | 0.153594 | −0.247970 | 0.083890 | −0.170865 |
| k__Bacteria.p__Firmicutes | −0.077621 | 0.093168 | −0.051977 | 0.059289 | 0.446640 | −0.315641 | 0.264822 |
| k__Bacteria.p__Fusobacteria | 0.109157 | 0.195815 | −0.129671 | 0.140949 | −0.021757 | 0.436091 | −0.209059 |
| k__Bacteria.p__Lentisphaerae | −0.080681 | −0.409604 | 0.211070 | −0.494741 | −0.125814 | −0.415280 | −0.400144 |
| k__Bacteria.p__OD1 | 0.242992 | −0.279060 | −0.123992 | 0.082299 | 0.243114 | −0.038785 | 0.036893 |
| k__Bacteria.p__Proteobacteria | 0.003399 | 0.199322 | −0.158192 | 0.125918 | −0.102202 | 0.230943 | −0.238848 |
| k__Bacteria.p__Synergistetes | 0.213852 | −0.398563 | 0.174627 | 0.107402 | −0.317172 | 0.232425 | −0.077195 |
| k__Bacteria.p__TM7 | −0.106916 | 0.050776 | −0.168195 | −0.064624 | −0.012309 | −0.156945 | 0.426213 |
| k__Bacteria.p__Tenericutes | 0.246659 | 0.089452 | 0.388755 | −0.148176 | 0.197341 | −0.189147 | −0.253333 |
| k__Bacteria.p__Verrucomicrobia | 0.345930 | −0.169384 | 0.204289 | 0.290861 | 0.102657 | 0.252080 | 0.071290 |
4. Disscusion
4.1. Gender-Specific Microbiota–Metabolism Interactions in Elderly Diabetic Patients
4.2. General Microbiota Profile and Microbial Shifts in Patients
4.3. Dietary Patterns and Their Relationship with Gut Microbiota in Elderly Diabetic Patients
4.4. Limitations of the Study
5. Conclusions
Author Contributions
Funding
Institutional Review Board Statement
Informed Consent Statement
Data Availability Statement
Acknowledgments
Conflicts of Interest
References
- Global Burden of Disease Collaborative Network. Global Burden of Disease Study 2021. Results. Institute for Health Metrics and Evaluation. 2024. Available online: https://vizhub.healthdata.org/gbd-results/ (accessed on 2 February 2025).
- Available online: https://www.who.int/news/item/13-11-2024-urgent-action-needed-as-global-diabetes-cases-increase-four-fold-over-past-decades (accessed on 20 February 2025).
- Available online: https://www.emro.who.int/right-teasers/diabetes-info/what-are-the-consequences-of-diabetes.html (accessed on 20 February 2025).
- Mei, Z.; Wang, F.; Bhosle, A.; Dong, D.; Mehta, R.; Ghazi, A.; Zhang, Y.; Liu, Y.; Rinott, E.; Ma, S.; et al. Strain-specific gut microbial signatures in type 2 diabetes identified in a cross-cohort analysis of 8117 metagenomes. Nat. Med. 2024, 30, 2265–2276. [Google Scholar] [CrossRef] [PubMed] [PubMed Central]
- Wu, H.; Tremaroli, V.; Schmidt, C.; Lundqvist, A.; Olsson, L.M.; Krämer, M.; Gummesson, A.; Perkins, R.; Bergström, G.; Bäckhed, F. The Gut Microbiota in Prediabetes and Diabetes: A Population-Based Cross-Sectional Study. Cell Metab. 2020, 32, 379–390.e3. [Google Scholar] [CrossRef] [PubMed]
- Zhong, H.; Ren, H.; Lu, Y.; Fang, C.; Hou, G.; Yang, Z.; Chen, B.; Yang, F.; Zhao, Y.; Shi, Z.; et al. Distinct gut metagenomics and metaproteomics signatures in prediabetics and treatment-naïve type 2 diabetics. EBioMedicine 2019, 47, 373–383. [Google Scholar] [CrossRef] [PubMed] [PubMed Central]
- Lederberg, J.; McCray, A.T. ‘Ome Sweet’ Omics-a genealogical treasury of words. Scientist 2001, 15, 8. [Google Scholar]
- Turnbaugh, P.J.; Ley, R.E.; Hamady, M.; Fraser-Liggett, C.M.; Knight, R.; Gordon, J.I. The human microbiome project. Nature 2007, 449, 804–810. [Google Scholar] [CrossRef]
- Human Microbiome Project Consortium. Structure, function and diversity of the healthy human microbiome. Nature 2012, 486, 207–214. [Google Scholar] [CrossRef] [PubMed]
- Qin, J.; Li, Y.; Cai, Z.; Li, S.; Zhu, J.; Zhang, F.; Liang, S.; Zhang, W.; Guan, Y.; Shen, D.; et al. A metagenome-wide association study of gut microbiota in type 2 diabetes. Nature 2012, 490, 55–60. [Google Scholar] [CrossRef] [PubMed]
- Cani, P.D. Human gut microbiome: Hopes, threats and promises. Gut 2018, 67, 1716–1725. [Google Scholar] [CrossRef] [PubMed] [PubMed Central]
- Karlsson, F.; Tremaroli, V.; Nielsen, J.; Bäckhed, F. Assessing the human gut microbiota in metabolic diseases. Diabetes 2013, 62, 3341–3349. [Google Scholar] [CrossRef] [PubMed] [PubMed Central]
- De Vadder, F.; Kovatcheva-Datchary, P.; Goncalves, D.; Vinera, J.; Zitoun, C.; Duchampt, A.; Bäckhed, F.; Mithieux, G. Microbiota-generated metabolites promote metabolic benefits via gut-brain neural circuits. Cell 2014, 156, 84–96. [Google Scholar] [CrossRef] [PubMed]
- Cani, P.D.; Bibiloni, R.; Knauf, C.; Waget, A.; Neyrinck, A.M.; Delzenne, N.M.; Burcelin, R. Changes in Gut Microbiota Control Metabolic Endotoxemia-Induced Inflammation in High-Fat Diet-Induced Obesity and Diabetes in Mice. Diabetes 2008, 57, 1470–1481. [Google Scholar] [CrossRef] [PubMed]
- Yoo, J.Y.; Groer, M.; Dutra, S.; Sarkar, A.; McSkimming, D. Gut Microbiota and Immune System Interactions. Microorganisms 2020, 8, 1587, Erratum in: Microorganisms 2020, 8, E2046. https://doi.org/10.3390/microorganisms8122046. [Google Scholar] [CrossRef] [PubMed] [PubMed Central]
- Zeppa, S.D.; Gervasi, M.; Bartolacci, A.; Ferrini, F.; Patti, A.; Sestili, P.; Stocchi, V.; Agostini, D. Targeting the Gut Microbiota for Prevention and Management of Type 2 Diabetes. Nutrients 2024, 16, 3951. [Google Scholar] [CrossRef]
- Ejtahed, H.S.; Mohtadi-Nia, J.; Homayouni-Rad, A.; Niafar, M.; Asghari-Jafarabadi, M.; Mofid, V. Probiotic yogurt improves antioxidant status in type 2 diabetic patients. Nutrition 2012, 28, 539–543. [Google Scholar] [CrossRef] [PubMed]
- Gupta, S.; Allen-Vercoe, E.; Petrof, E.O. Fecal microbiota transplantation: In perspective. Ther. Adv. Gastroenterol. 2016, 9, 229–239. [Google Scholar] [CrossRef] [PubMed] [PubMed Central]
- Młynarska, E.; Wasiak, J.; Gajewska, A.; Steć, G.; Jasińska, J.; Rysz, J.; Franczyk, B. Exploring the Significance of Gut Microbiota in Diabetes Pathogenesis and Management—A Narrative Review. Nutrients 2024, 16, 1938. [Google Scholar] [CrossRef]
- Crudele, L.; Gadaleta, R.M.; Cariello, M.; Moschetta, A. Gut microbiota in the pathogenesis and therapeutic approaches of diabetes. EBioMedicine 2023, 97, 104821. [Google Scholar] [CrossRef] [PubMed] [PubMed Central]
- D’argenio, V.; Salvatore, F. The role of the gut microbiome in the healthy adult status. Clin. Chim. Acta 2015, 451, 97–102. [Google Scholar] [CrossRef] [PubMed]
- Fan, Y.; Pedersen, O. Gut microbiota in human metabolic health and disease. Nat. Rev. Microbiol. 2021, 19, 55–71. [Google Scholar] [CrossRef]
- Stefaniak, A.; Janion, K.; Stanuch, B. The role of intestinal microbiota in the pathophysiology of depression. Postep. Hig. I Med. Dosw. 2018, 72, 795–805. [Google Scholar] [CrossRef]
- Loh, J.S.; Mak, W.Q.; Tan, L.K.S.; Ng, C.X.; Chan, H.H.; Yeow, S.H.; Foo, J.B.; Ong, Y.S.; How, C.W.; Khaw, K.Y. Microbiota–gut–brain axis and its therapeutic applications in neurodegenerative diseases. Signal Transduct. Target. Ther. 2024, 9, 37. [Google Scholar] [CrossRef] [PubMed] [PubMed Central]
- Yadav, H.; Jaldhi; Bhardwaj, R.; Anamika; Bakshi, A.; Gupta, S.; Maurya, S.K. Unveiling the role of gut-brain axis in regulating neurodegenerative diseases: A comprehensive review. Life Sci. 2023, 330, 122022. [Google Scholar] [CrossRef] [PubMed]
- Kim, Y.S. Sex and gender-related issues in biomedical science. Sci. Ed. 2018, 5, 66–69. [Google Scholar] [CrossRef]
- Santos-Marcos, J.A.; Rangel-Zuñiga, O.A.; Jimenez-Lucena, R.; Quintana-Navarro, G.M.; Garcia-Carpintero, S.; Malagon, M.M.; Landa, B.B.; Tena-Sempere, M.; Perez-Martinez, P.; Lopez-Miranda, J.; et al. Influence of gender and menopausal status on gut microbiota. Maturitas 2018, 116, 43–53. [Google Scholar] [CrossRef] [PubMed]
- Burda, K. Influence of Age and Sex on Human Microbiome’s Composition; Jagiellonian University: Cracow, Poland, 2016. [Google Scholar]
- So, S.Y.; Savidge, T.C. Gut feelings: The microbiota-gut-brain axis on steroids. Am. J. Physiol. Liver Physiol. 2022, 322, G1–G20. [Google Scholar] [CrossRef]
- Kverka, M.; Stepan, J.J. Associations Among Estrogens, the Gut Microbiome and Osteoporosis. Curr. Osteoporos. Rep. 2024, 23, 2. [Google Scholar] [CrossRef] [PubMed] [PubMed Central]
- Sakamuri, A.; Bardhan, P.; Tummala, R.; Mauvais-Jarvis, F.; Yang, T.; Joe, B.; Ogola, B.O. Sex hormones, sex chromosomes, and microbiota: Identification of Akkermansia muciniphila as an estrogen-responsive bacterium. Microbiota Host 2023, 1, e230010. [Google Scholar] [CrossRef] [PubMed] [PubMed Central]
- Baker, J.M.; Al-Nakkash, L.; Herbst-Kralovetz, M.M. Estrogen–gut microbiome axis: Physiological and clinical implications. Maturitas 2017, 103, 45–53. [Google Scholar] [CrossRef]
- Zhao, L.; Zhang, F.; Ding, X.; Wu, G.; Lam, Y.Y.; Wang, X.; Fu, H.; Xue, X.; Lu, C.; Ma, J.; et al. Gut bacteria selectively promoted by dietary fibers alleviate type 2 diabetes. Science 2018, 359, 1151–1156. [Google Scholar] [CrossRef] [PubMed]
- Ghosh, T.S.; Shanahan, F.; O’toole, P.W. The gut microbiome as a modulator of healthy ageing. Nat. Rev. Gastroenterol. Hepatol. 2022, 19, 565–584. [Google Scholar] [CrossRef] [PubMed] [PubMed Central]
- Szponar, L. Album Fotografii Produktów i Potraw: Album of Photographs of Food Products and Dishes; Instytut Żywności i Żywienia: Warszawa, Poland, 2008; ISBN 8386060697, 9788386060696. ISSN 0860-2352. [Google Scholar]
- Available online: https://www.pzh.gov.pl/uslugi/ (accessed on 26 March 2025).
- Klindworth, A.; Pruesse, E.; Schweer, T.; Peplies, J.; Quast, C.; Horn, M.; Glöckner, F.O. Evaluation of general 16s ribosomal rna gene pcr primers for classical and next-generation sequencing-based diversity studies. Nucleic Acids Res. 2013, 41, e1. [Google Scholar] [CrossRef]
- Dzięgielewska-Gęsiak, S.; Fatyga, E.; Piłot, M.; Wierzgoń, A.; Muc-Wierzgoń, M. Are There Differences in Gut Microbiome in Patients with Type 2 Diabetes Treated by Metformin or Metformin and Insulin? Diabetes Metab. Syndr. Obes. Targets Ther. 2022, 15, 3589–3599. [Google Scholar] [CrossRef] [PubMed] [PubMed Central]
- Rinninella, E.; Raoul, P.; Cintoni, M.; Franceschi, F.; Miggiano, G.A.D.; Gasbarrini, A.; Mele, M.C. What Is the Healthy Gut Microbiota Composition? A Changing Ecosystem across Age, Environment, Diet, and Diseases. Microorganisms 2019, 7, 14. [Google Scholar] [CrossRef] [PubMed]
- Bolyen, E.; Rideout, J.R.; Dillon, M.R.; Bokulich, N.A.; Abnet, C.C.; Al-Ghalith, G.A.; Alexander, H.; Alm, E.J.; Arumugam, M.; Asnicar, F.; et al. Reproducible, Interactive, Scalable and Extensible Microbiome Data Science using QIIME 2. Nat. Biotechnol. 2019, 37, 852–857. [Google Scholar] [CrossRef] [PubMed]
- Chao, A. Nonparametric estimation of the number of classes in a population. Scand. J. Stat. 1984, 11, 265–270. [Google Scholar]
- McMurdie, P.J.; Holmes, S. Phyloseq: An R package for reproducible interactive analysis and graphics of microbiome census data. PLoS ONE 2013, 8, e61217. [Google Scholar] [CrossRef] [PubMed]
- Lozupone, C.; Hamady, M.; Knight, R. UniFrac—An online tool for comparing microbial community diversity in a phylogenetic context. BMC Bioinform. 2006, 7, 371. [Google Scholar] [CrossRef] [PubMed] [PubMed Central]
- Mauvais-Jarvis, F. Sex differences in metabolic homeostasis, diabetes, and obesity. Biol. Sex Differ. 2015, 6, 14. [Google Scholar] [CrossRef]
- Fransen, F.; van Beek, A.A.; Borghuis, T.; Meijer, B.; Hugenholtz, F.; van der Gaast-De Jongh, C.; Savelkoul, H.F.; De Jonge, M.I.; Faas, M.M.; Boekschoten, M.V.; et al. The Impact of Gut Microbiota on Gender-Specific Differences in Immunity. Front. Immunol. 2017, 8, 754. [Google Scholar] [CrossRef] [PubMed] [PubMed Central]
- Takagi, T.; Naito, Y.; Inoue, R.; Kashiwagi, S.; Uchiyama, K.; Mizushima, K.; Tsuchiya, S.; Dohi, O.; Yoshida, N.; Kamada, K.; et al. Differences in gut microbiota associated with age, sex, and stool consistency in healthy Japanese subjects. J. Gastroenterol. 2018, 54, 53–63, Erratum in J. Gastroenterol. 2019, 54, 96–98. https://doi.org/10.1007/s00535-018-1504-9. [Google Scholar] [CrossRef] [PubMed]
- Mogna-Peláez, P.; Riezu-Boj, J.I.; Milagro, F.I.; Clemente-Larramendi, I.; Echeverría, S.E.; Herrero, J.I.; Elorz, M.; Benito-Boillos, A.; Tobaruela-Resola, A.L.; González-Muniesa, P.; et al. Sex-Dependent Gut Microbiota Features and Functional Signatures in Metabolic Disfunction-Associated Steatotic Liver Disease. Nutrients 2024, 16, 4198. [Google Scholar] [CrossRef] [PubMed] [PubMed Central]
- García-Llorca, A.; Kararigas, G. Sex-Related Effects of Gut Microbiota in Metabolic Syndrome-Related Diabetic Retinopathy. Microorganisms 2023, 11, 447. [Google Scholar] [CrossRef] [PubMed] [PubMed Central]
- Paschou, S.A.; Papanas, N. Type 2 diabetes mellitus and menopausal hormone therapy: An update. Diabetes Ther. 2019, 10, 2313–2320. [Google Scholar] [CrossRef]
- Chen, K.L.; Madak-Erdogan, Z. Estrogen and microbiota cross¬talk: Should we pay attention? Trends Endocrinol. Metab. 2016, 27, 752–755. [Google Scholar] [CrossRef] [PubMed]
- Liu, S.; Cao, R.; Liu, L.; Lv, Y.; Qi, X.; Yuan, Z.; Fan, X.; Yu, C.; Guan, Q. Correlation Between Gut Microbiota and Testosterone in Male Patients with Type 2 Diabetes Mellitus. Front. Endocrinol. 2022, 13, 836485. [Google Scholar] [CrossRef] [PubMed] [PubMed Central]
- Yoon, K.; Kim, N. Roles of Sex Hormones and Gender in the Gut Microbiota. J. Neurogastroenterol. Motil. 2021, 27, 314–325. [Google Scholar] [CrossRef]
- Cheung, K.K.T.; Luk, A.O.Y.; So, W.Y.; Ma, R.C.W.; Kong, A.P.S.; Chow, F.C.C.; Chan, J.C.N. Testosterone Level in Men with Type 2 Diabetes Mellitus and Related Metabolic Effects: A Review of Current Evidence. J. Diabetes Investig. 2014, 6, 112–123. [Google Scholar] [CrossRef]
- Qin, J.; Li, R.; Raes, J.; Arumugam, M.; Burgdorf, K.S.; Manichanh, C.; Nielsen, T.; Pons, N.; Levenez, F.; Yamada, T.; et al. A human gut microbial gene catalogue established by metagenomic sequencing. Nature 2010, 464, 59–65. [Google Scholar] [CrossRef]
- Piłot, M.; Dzięgielewska-Gęsiak, S.; Wolińska-Grabowska, A.; Muc-Wierzgoń, M. Individual gut microbiological signature in obese diabetic spouses-case report and literature review. Ann. Acad. Med. Sil. 2024, 78, 31–40. [Google Scholar] [CrossRef]
- Stojanov, S.; Berlec, A.; Štrukelj, B. The Influence of Probiotics on the Firmicutes/Bacteroidetes Ratio in the Treatment of Obesity and Inflammatory Bowel disease. Microorganisms 2020, 8, 1715. [Google Scholar] [CrossRef] [PubMed] [PubMed Central]
- Badal, V.D.; Vaccariello, E.D.; Murray, E.R.; Yu, K.E.; Knight, R.; Jeste, D.V.; Nguyen, T.T. The Gut Microbiome, Aging, and Longevity: A Systematic Review. Nutrients 2020, 12, 3759. [Google Scholar] [CrossRef] [PubMed] [PubMed Central]
- de la Cuesta-Zuluaga, J.; Kelley, S.T.; Chen, Y.; Escobar, J.S.; Mueller, N.T.; Ley, R.E.; McDonald, D.; Huang, S.; Swafford, A.D.; Knight, R.; et al. Age- and Sex-Dependent Patterns of Gut Microbial Diversity in Human Adults. mSystems 2019, 4, e00261-19. [Google Scholar] [CrossRef] [PubMed] [PubMed Central]
- Hou, K.; Wu, Z.-X.; Chen, X.-Y.; Wang, J.-Q.; Zhang, D.; Xiao, C.; Zhu, D.; Koya, J.B.; Wei, L.; Li, J.; et al. Microbiota in health and diseases. Signal Transduct. Target. Ther. 2022, 7, 135. [Google Scholar] [CrossRef] [PubMed] [PubMed Central]
- Matute, S.P.; Iyavoo, S. Exploring the gut microbiota: Lifestyle choices, disease associations, and personal genomics. Front. Nutr. 2023, 10, 1225120. [Google Scholar] [CrossRef] [PubMed] [PubMed Central]
- Magne, F.; Gotteland, M.; Gauthier, L.; Zazueta, A.; Pesoa, S.; Navarrete, P.; Balamurugan, R. The Firmicutes/Bacteroidetes Ratio: A Relevant Marker of Gut Dysbiosis in Obese Patients? Nutrients 2020, 12, 1474. [Google Scholar] [CrossRef] [PubMed] [PubMed Central]
- Vaiserman, A.; Romanenko, M.; Piven, L.; Moseiko, V.; Lushchak, O.; Kryzhanovska, N.; Guryanov, V.; Koliada, A. Differences in the gut Firmicutes to Bacteroidetes ratio across age groups in healthy Ukrainian population. BMC Microbiol. 2020, 20, 221. [Google Scholar] [CrossRef] [PubMed]
- Larsen, N.; Vogensen, F.K.; Van Den Berg, F.W.J.; Nielsen, D.S.; Andreasen, A.S.; Pedersen, B.K.; Al-Soud, W.A.; Sørensen, S.J.; Hansen, L.H.; Jakobsen, M. Gut Microbiota in Human Adults with Type 2 Diabetes Differs from Non-Diabetic Adults. PLoS ONE 2010, 5, e9085. [Google Scholar] [CrossRef] [PubMed] [PubMed Central]
- Zhang, X.; Shen, D.; Fang, Z.; Jie, Z.; Qiu, X.; Zhang, C.; Chen, Y.; Ji, L. Human gut microbiota changes reveal the progression of glucose intolerance. PLoS ONE 2013, 8, e71108. [Google Scholar] [CrossRef]
- Rodrigues, V.F.; Elias-Oliveira, J.; Pereira, Í.S.; Pereira, J.A.; Barbosa, S.C.; Machado, M.S.G.; Carlos, D. Akkermansia muciniphila and Gut Immune System: A Good Friendship That Attenuates Inflammatory Bowel Disease, Obesity, and Diabetes. Front. Immunol. 2022, 13, 934695. [Google Scholar] [CrossRef] [PubMed] [PubMed Central]
- Sinha, T.; Vila, A.V.; Garmaeva, S.; Jankipersadsing, S.A.; Imhann, F.; Collij, V.; Bonder, M.J.; Jiang, X.; Gurry, T.; Alm, E.J.; et al. Analysis of 1135 gut metagenomes identifies sex-specific resistome profiles. Gut Microbes 2018, 10, 358–366. [Google Scholar] [CrossRef] [PubMed] [PubMed Central]
- Cani, P.D.; Depommier, C.; Derrien, M.; Everard, A.; de Vos, W.M. Akkermansia muciniphila: Paradigm for next-generation beneficial microorganisms. Nat. Rev. Gastroenterol. Hepatol. 2022, 19, 625–637. [Google Scholar]
- Yu, F.; Han, W.; Zhan, G.; Li, S.; Jiang, X.; Wang, L.; Xiang, S.; Zhu, B.; Yang, L.; Luo, A.; et al. Abnormal gut microbiota composition contributes to the development of type 2 diabetes mellitus in db/db mice. Aging 2019, 11, 10454–10467. [Google Scholar] [CrossRef] [PubMed] [PubMed Central]
- de Vos, W.M. Microbe Profile: Akkermansia muciniphila: A conserved intestinal symbiont that acts as the gatekeeper of our mucosa. Microbiology 2017, 163, 646–648. [Google Scholar] [CrossRef]
- Zhu, X.; Shen, J.; Feng, S.; Huang, C.; Wang, H.; Huo, F.; Liu, H. Akkermansia muciniphila, which is enriched in the gut microbiota by metformin, improves cognitive function in aged mice by reducing the proinflammatory cytokine interleukin-6. Microbiome 2023, 11, 120. [Google Scholar] [CrossRef] [PubMed]
- Petakh, P.; Kamyshna, I.; Kamyshnyi, A. Effects of metformin on the gut microbiota: A systematic review. Mol. Metab. 2023, 77, 101805. [Google Scholar] [CrossRef] [PubMed] [PubMed Central]
- Nakajima, H.; Takewaki, F.; Hashimoto, Y.; Kajiyama, S.; Majima, S.; Okada, H.; Senmaru, T.; Ushigome, E.; Nakanishi, N.; Hamaguchi, M.; et al. The Effects of Metformin on the Gut Microbiota of Patients with Type 2 Diabetes: A Two-Center, Quasi-Experimental Study. Life 2020, 10, 195. [Google Scholar] [CrossRef]
- Houghton, D.; Hardy, T.; Stewart, C.; Errington, L.; Day, C.P.; Trenell, M.I.; Avery, L. Systematic review assessing the effectiveness of dietary intervention on gut microbiota in adults with type 2 diabetes. Diabetologia 2018, 61, 1700–1711. [Google Scholar] [CrossRef] [PubMed] [PubMed Central]
- Farahbod, K.; Slouha, E.; Gerts, A.; Rezazadah, A.; Clunes, L.A.; Kollias, T.F. The Effects of Diet Intervention on the Gut Microbiota in Type 2 Diabetes Mellitus: A Systematic Review. Cureus 2024, 16, e56737. [Google Scholar] [CrossRef] [PubMed] [PubMed Central]
- Dominianni, C.; Sinha, R.; Goedert, J.J.; Pei, Z.; Yang, L.; Hayes, R.B.; Ahn, J. Sex, body mass index, and dietary fiber intake influence the human gut microbiome. PLoS ONE 2015, 10, e0124599. [Google Scholar] [CrossRef] [PubMed] [PubMed Central]
- Defeudis, G.; Rossini, M.; Khazrai, Y.M.; Pipicelli, A.M.V.; Brucoli, G.; Veneziano, M.; Strollo, F.; On behalf of the AMD-SID-SIEDP-Lifestyle Study Group Lazio; Bellia, A.; Bitterman, O.; et al. The gut microbiome as possible mediator of the beneficial effects of very low calorie ketogenic diet on type 2 diabetes and obesity: A narrative review. Eat. Weight. Disord. 2022, 27, 2339–2346. [Google Scholar] [CrossRef]
- Howard, E.J.; Lam, T.K.; Duca, F.A. The Gut Microbiome: Connecting Diet, Glucose Homeostasis, and Disease. Annu. Rev. Med. 2022, 73, 469–481. [Google Scholar] [CrossRef] [PubMed]
- Rinninella, E.; Tohumcu, E.; Raoul, P.; Fiorani, M.; Cintoni, M.; Mele, M.C.; Cammarota, G.; Gasbarrini, A.; Ianiro, G. The role of diet in shaping human gut microbiota. Best Pract. Res. Clin. Gastroenterol. 2023, 62–63, 101828. [Google Scholar] [CrossRef] [PubMed]
- Malesza, I.J.; Malesza, M.; Walkowiak, J.; Mussin, N.; Walkowiak, D.; Aringazina, R.; Bartkowiak-Wieczorek, J.; Mądry, E. High-Fat, Western-Style Diet, Systemic Inflammation, and Gut Microbiota: A Narrative Review. Cells 2021, 10, 3164. [Google Scholar] [CrossRef] [PubMed] [PubMed Central]
- Zheng, Y.; Qin, C.; Wen, M.; Zhang, L.; Wang, W. The Effects of Food Nutrients and Bioactive Compounds on the Gut Microbiota: A Comprehensive Review. Foods 2024, 13, 1345. [Google Scholar] [CrossRef] [PubMed] [PubMed Central]






| Parameter | All Patients | Females (F) | Males (M) | p |
|---|---|---|---|---|
| N = 60 | N = 38 | N = 22 | ||
| Age [years] | 64.0 (59.5–72.0) | 69.5 (61.0–75.0) | 60.0 (55.0–63.0) | 0.004 |
| G0 [mmol/L] | 7.3 (6.2–9.7) | 6.7 (5.9–10.4) | 7.9 (6.6–9.2) | NS |
| HbA1c [%] | 7.2 (6.2–8.7) | 7.0 (6.2–8.9) | 7.4 (6.2–8.5) | NS |
| TC [mg/dL] | 179.7 (147.4–199.8) | 186.8 (158.2–205.8) | 172.6 (143.6–192.6) | NS |
| HDL [mg/dL] | 48.4 (38.2–58.0) | 52.8 (41.4–66.6) | 37.7 (32.9–51.4) | 0.0005 |
| LDL [mg/dL] | 95.7 (67.1–120.8) | 94.6 (68.2–123.0) | 95.7 (65.3–118.7) | NS |
| Non-HDL [mg/dL] | 125.7 (93.8–148.2) | 125.7 (88.6–148.7) | 125.8 (94.2–146.4) | NS |
| TAG [mg/dL] | 141.8 (117.3–184.0) | 134.7 (104.8–183.4) | 144.7 (133.7–202.0) | NS |
| Cre [umol/L] | 68.0 (58.8–89.9) | 63.7 (54.7–79.2) | 74.8 (62.0–93.1) | NS |
| Parameter | All Patients (Mean ± SD) | Women (Mean ± SD) | Men (Mean ± SD) | p-Value |
|---|---|---|---|---|
| Energy (kJ) | 8457.1 ± 824 | 8087.9 ± 824 | 8960.7 ± 796 | 0.000125 |
| Energy (kcal) | 2013.6 ± 297 | 1925.7 ± 297 | 2133.5 ± 307 | 0.005937 |
| Protein (g) | 72.9 ± 9.6 | 68.6 ± 9.6 | 79.4 ± 9.8 | 0.000055 |
| % Energy from Protein | 14.5 ± 2.7 | 14.3 ± 2.7 | 14.9 ± 2.9 | 0.386249 |
| Fat (g) | 71.2 ± 11.3 | 68.4 ± 10.8 | 75.6 ± 12.3 | 0.028 |
| % Energy from Fat | 31.7 ± 14.2 | 31.9 ± 15.6 | 33.9 ± 13.6 | 0.635 |
| Saturated Fatty Acids (g) | 30.3 ± 12.4 | 25.1 ± 11.6 | 36.1 ± 13.1 | 0.001073 |
| Monounsaturated Fatty Acids (g) | 31.1 ± 10.9 | 24.6 ± 10.3 | 34.7 ± 11.7 | 0.001073 |
| Carbohydrates (g) | 265.1 ± 74 | 244.4 ± 86 | 299.7 ± 71 | 0.008693 |
| % Energy from Carbohydrates | 52.8 ± 12.3 | 52.8 ± 12.6 | 54.2 ± 11.6 | 0.41856 |
| Dietary Fiber (g) | 22.9 ± 5.9 | 22.6 ± 6.7 | 23.7 ± 5.8 | 0.512300 |
| Vitamin A [µg] | 1348.2 ± 768 | 1468.5 ± 845 | 1157.6 ± 729 | 0.0139 |
| Vitamin B6 [mg] | 1.64 ± 0.72 | 1.42 ± 0.86 | 1.70 ± 0.57 | 0.136 |
| Vitamin D [µg] | 4.05 ± 2.3 | 3.90 ± 2.2 | 4.78 ± 2.5 | 0.178 |
| Vitamin E [mg] | 11.6 ± 3.6 | 9.98 ± 3.8 | 12.5 ± 3.4 | 0.109 |
| Vitamin C [mg] | 91.9 ± 52 | 89.7 ± 57 | 94.2 ± 45 | 0.138 |
Disclaimer/Publisher’s Note: The statements, opinions and data contained in all publications are solely those of the individual author(s) and contributor(s) and not of MDPI and/or the editor(s). MDPI and/or the editor(s) disclaim responsibility for any injury to people or property resulting from any ideas, methods, instructions or products referred to in the content. |
© 2025 by the authors. Licensee MDPI, Basel, Switzerland. This article is an open access article distributed under the terms and conditions of the Creative Commons Attribution (CC BY) license (https://creativecommons.org/licenses/by/4.0/).
Share and Cite
Piłot, M.; Dzięgielewska-Gęsiak, S.; Walkiewicz, K.W.; Bednarczyk, M.; Waniczek, D.; Muc-Wierzgoń, M. Gut Microbiota and Metabolic Dysregulation in Elderly Diabetic Patients: Is There a Gender-Specific Effect. J. Clin. Med. 2025, 14, 3103. https://doi.org/10.3390/jcm14093103
Piłot M, Dzięgielewska-Gęsiak S, Walkiewicz KW, Bednarczyk M, Waniczek D, Muc-Wierzgoń M. Gut Microbiota and Metabolic Dysregulation in Elderly Diabetic Patients: Is There a Gender-Specific Effect. Journal of Clinical Medicine. 2025; 14(9):3103. https://doi.org/10.3390/jcm14093103
Chicago/Turabian StylePiłot, Magdalena, Sylwia Dzięgielewska-Gęsiak, Katarzyna Weronika Walkiewicz, Martyna Bednarczyk, Dariusz Waniczek, and Małgorzata Muc-Wierzgoń. 2025. "Gut Microbiota and Metabolic Dysregulation in Elderly Diabetic Patients: Is There a Gender-Specific Effect" Journal of Clinical Medicine 14, no. 9: 3103. https://doi.org/10.3390/jcm14093103
APA StylePiłot, M., Dzięgielewska-Gęsiak, S., Walkiewicz, K. W., Bednarczyk, M., Waniczek, D., & Muc-Wierzgoń, M. (2025). Gut Microbiota and Metabolic Dysregulation in Elderly Diabetic Patients: Is There a Gender-Specific Effect. Journal of Clinical Medicine, 14(9), 3103. https://doi.org/10.3390/jcm14093103

