Evaluation of the Decrease in DPOAE Levels After VEMP Testing in Clinical Patients Referred to the Vertigo Outpatient Clinic
Abstract
1. Introduction
2. Methods
2.1. VEMP
2.2. DPOAE
2.3. Statistical Analysis
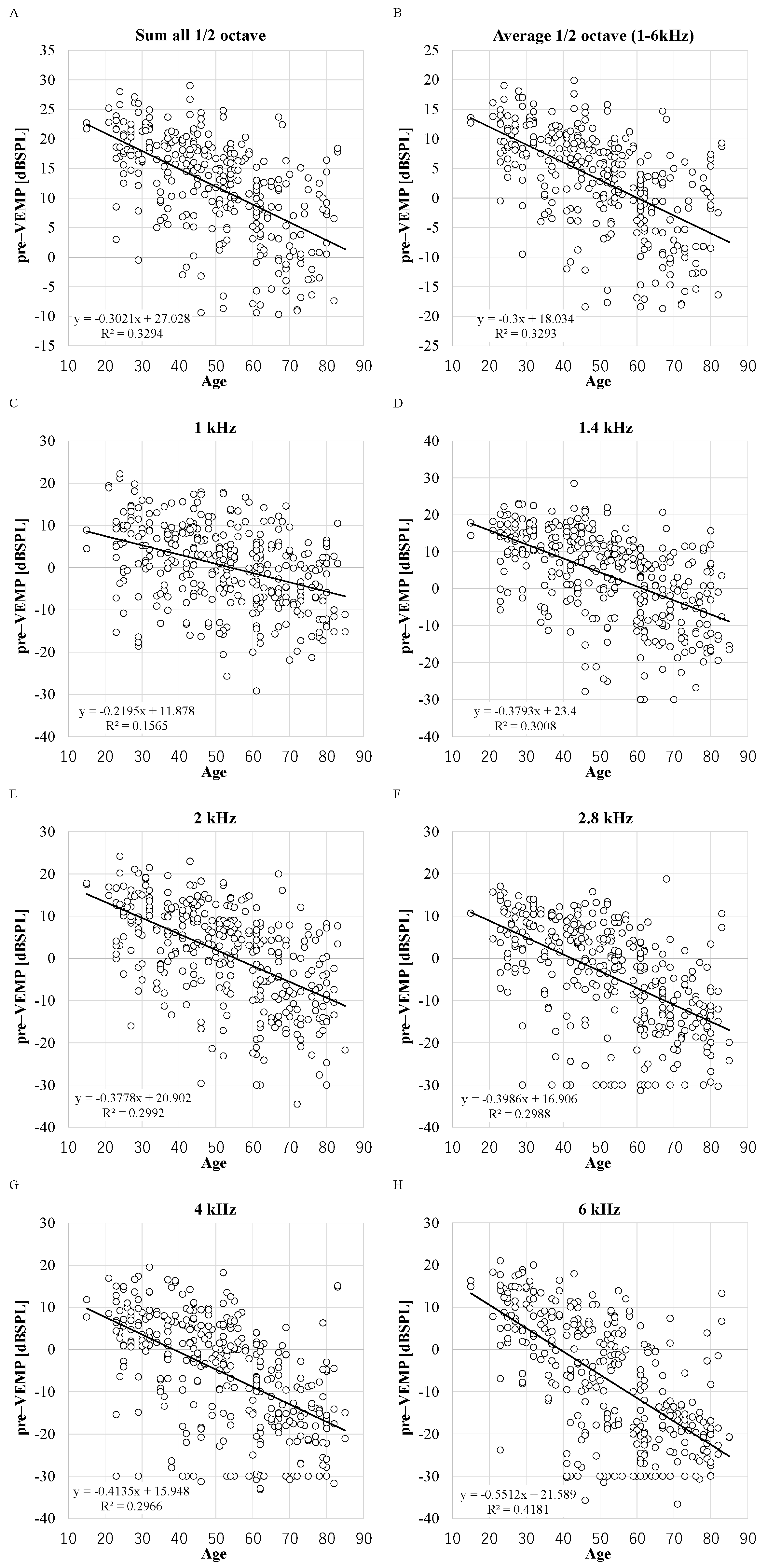
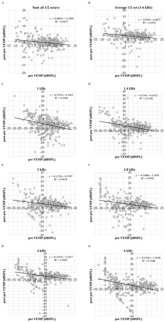
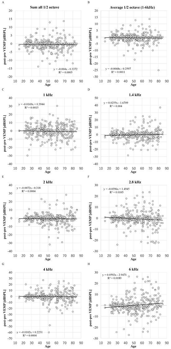
3. Results
4. Discussion
5. Conclusions
Author Contributions
Funding
Institutional Review Board Statement
Informed Consent Statement
Data Availability Statement
Acknowledgments
Conflicts of Interest
Appendix A





| Characteristics | |||
|---|---|---|---|
| Sex | n = 174 | ||
| Male | 80 | ||
| Female | 94 | ||
| Age | 52.4 (17.2) | n = 174 | |
| Diagnosis | |||
| Functional (psychogenic) dizziness | 48 | ||
| Vestibular migraine | 9 | ||
| Migraine | 7 | ||
| Tension headache | 1 | ||
| Orthostatic dysregulation | 11 | ||
| Benign paroxysmal positional vertigo (BPPV) | 39 | ||
| Ménière’s disease | |||
| Definite | 13 | ||
| Probable | 15 | ||
| Low-tone sensorineural hearing loss | 1 | ||
| Ramsay Hunt syndrome | 3 | ||
| Sudden unilateral hearing loss and vertigo | 2 | ||
| Vestibular neuritis | 11 | ||
| Peripheral vestibular dysfunction | 7 | ||
| Idiopathic bilateral vestibulopathy (IBV) | 1 | ||
| Sensory ataxia | 1 | ||
| Acoustic neuroma | 1 | ||
| Cerebellar disorders | 2 | ||
| Petroclival meningioma | 1 | ||
| Normal | 1 | ||
| Total | 174 | ||
| A | ||||||||
|---|---|---|---|---|---|---|---|---|
| 1 kHz | 1.4 kHz | 2 kHz | 2.8 kHz | 4 kHz | 6 kHz | Sum All 1/2 oct | Average 1/2 oct (1–6 kHz) | |
| L | 0.7 ± 9.1 | 3.9 ± 11.6 | 1.4 ± 11.8 | −3.6 ± 12.5 | −4.9 ± 12.5 | −7.2 ± 14.8 | 12.0 ± 8.5 | 3.1 ± 8.4 |
| R | −0.2 ± 10.2 | 2.9 ± 12.2 | 0.5 ± 12.0 | −4.6 ± 12.4 | −7.1 ± 13.8 | −7.5 ± 14.3 | 11.8 ± 8.8 | 3.0 ± 8.7 |
| p-value | 0.793 | 0.518 | 0.336 | 0.297 | 0.825 | 0.252 | 0.388 | 0.348 |
| Male | 0.1 ± 8.5 | 3.0 ± 12.4 | 0.5 ± 12.2 | −5.5 ± 12.8 | −7.9 ± 12.3 | −10.4 ± 13.5 | 10.9 ± 8.8 | 2.1 ± 8.7 |
| Female | 0.7 ± 10.3 | 4.0 ± 11.4 | 1.6 ± 11.6 | −2.7 ± 12.1 | −3.8 ± 13.3 | −4.6 ± 15.0 | 12.8 ± 8.3 | 3.8 ± 8.3 |
| p-value | 0.272 | 0.217 | 0.193 | 0.021 * | 0.001 * | <0.001 * | 0.034 * | 0.043 * |
| ≥65 | −4.3 ± 8.2 | −4.9 ± 10.4 | −7.4 ± 10.2 | −12.9 ± 9.3 | −15.0 ± 9.6 | −18.2 ± 9.4 | 4.7 ± 8.2 | −4.1 ± 8.3 |
| <65 | 2.2 ± 9.4 | 6.8 ± 10.7 | 4.3 ± 10.8 | −0.6 ± 11.9 | −2.2 ± 12.4 | −3.1 ± 14.1 | 13.9 ± 7.6 | 5.0 ± 7.5 |
| p-value | <0.001 * | <0.001 * | <0.001 * | <0.001 * | <0.001 * | <0.001 * | <0.001 * | <0.001 * |
| B | ||||||||
| 1 kHz | 1.4 kHz | 2 kHz | 2.8 kHz | 4 kHz | 6 kHz | Sum All 1/2 oct | Average 1/2 oct (1–6 kHz) | |
| L/R | F(1,344) = 0.733, | F(1,344) = 0.003, | F(1,344) = 0.223, | F(1,344) = 0.356, | F(1,344) = 1.114, | F(1,344) = 0.597, | F(1,304) = 0.101, | F(1,304) = 0.189, |
| p = 0.393 | p = 0.960 | p = 0.637 | p = 0.551 | p = 0.292 | p = 0.440 | p = 0.750 | p = 0.664 | |
| Male/Female | F(1,344) = 0.394, | F(1,344) = 0.766, | F(1,344) = 0.940, | F(1,344) = 5.240, | F(1,344) = 11.125, | F(1,344) = 17.675, | F(1,304) = 4.194, | F(1,304) = 3.708, |
| p = 0.531 | p = 0.382 | p = 0.333 | p = 0.023 * | p < 0.001 * | p < 0.001 * | p = 0.041 * | p = 0.055 | |
| ≥65/<65 | F(1,344) = 35.279, | F(1,344) = 82.998, | F(1,344) = 83.891, | F(1,344) = 85.030, | F(1,344) = 84.843, | F(1,344) = 98.885, | F(1,304) = 72.487, | F(1,304) = 71.287, |
| p < 0.001 * | p < 0.001 * | p < 0.001 * | p < 0.001 * | p < 0.001 * | p < 0.001 * | p < 0.001 * | p < 0.001 * |
| 1 kHz | 1.4 kHz | 2 kHz | 2.8 kHz | 4 kHz | 6 kHz | Sum All 1/2 oct | Average 1/2 oct (1–6 kHz) | n | |
|---|---|---|---|---|---|---|---|---|---|
| 125dBpSPL | −0.3 ± 7.8 | −0.3 ± 7.3 | −0.5 ± 6.7 | −0.2 ± 6.5 | −0.3 ± 8.5 | 0.4 ± 7.5 | −0.6 ± 3.5 | −0.7 ± 3.9 | 252 |
| p-value (paired) | 0.28 | 0.225 | 0.145 | 0.282 | 0.302 | 0.822 | 0.008 * | 0.006 * | |
| p-value (Wilcoxon) | 0.839 | 0.048 * | 0.083 | 0.093 | 0.321 | 0.702 | <0.001 * | 0.002 * | |
| 128dBpSPL | −1.1 ± 7.0 | −1.2 ± 6.1 | −1.5 ± 4.4 | −2.3 ± 4.7 | −0.9 ± 6.8 | −1.1 ± 6.0 | −0.8 ± 3.1 | −0.8 ± 3.1 | 30 |
| p-value (paired) | 0.21 | 0.143 | 0.036 * | 0.008 * | 0.234 | 0.157 | 0.12 | 0.12 | |
| p-value (Wilcoxon) | 0.247 | 0.219 | 0.065 | 0.007 * | 0.556 | 0.062 | 0.055 | 0.056 | |
| 130dBpSPL | −1.0 ± 6.4 | 0.9 ± 5.3 | −1.5 ± 4.9 | −0.3 ± 8.7 | 1.1 ± 9.5 | −0.2 ± 5.5 | −0.8 ± 2.8 | −0.8 ± 2.8 | 36 |
| p-value (paired) | 0.185 | 0.851 | 0.038 * | 0.427 | 0.743 | 0.421 | 0.062 | 0.047 * | |
| p-value (Wilcoxon) | 0.318 | 0.707 | 0.188 | 0.593 | 0.913 | 0.422 | 0.079 | 0.039 * | |
| 133dBpSPL | −1.1 ± 6.2 | −0.9 ± 6.3 | −1.0 ± 3.6 | −2.1 ± 6.6 | −1.6 ± 9.6 | −0.6 ± 9.8 | −1.0 ± 3.7 | −0.9 ± 3.7 | 30 |
| p-value (paired) | 0.179 | 0.218 | 0.073 | 0.047 * | 0.188 | 0.374 | 0.114 | 0.118 | |
| p-value (Wilcoxon) | 0.296 | 0.635 | 0.223 | 0.092 | 0.831 | 0.988 | 0.2 | 0.238 | |
| Total | 348 |
| 1 kHz | 1.4 kHz | 2 kHz | 2.8 kHz | 4 kHz | 6 kHz | Sum All 1/2 oct | Average 1/2 oct (1–6 kHz) | n | |
|---|---|---|---|---|---|---|---|---|---|
| Male | −0.4 ± 7.0 | −0.3 ± 6.9 | −0.6 ± 6.3 | −0.9 ± 6.9 | −0.6 ± 9.6 | 0.5 ± 7.0 | −0.8 ± 3.2 | −1.1 ± 4.1 | 160 |
| p-value (paired) | 0.258 | 0.428 | 0.101 | 0.055 | 0.446 | 0.871 | 0.010 * | 0.009 * | |
| p-value (Wilcoxon) | 0.948 | 0.301 | 0.108 | 0.032 * | 0.845 | 0.952 | 0.006 * | 0.010 * | |
| Female | −0.6 ± 7.9 | −0.6 ± 7.1 | −0.8 ± 5.9 | −0.6 ± 6.6 | −0.6 ± 8.2 | −0.4 ± 7.8 | −0.6 ± 3.3 | −0.7 ± 3.3 | 188 |
| p-value (paired) | 0.148 | 0.142 | 0.046 * | 0.241 | 0.196 | 0.313 | 0.012 * | 0.011 * | |
| p-value (Wilcoxon) | 0.338 | 0.062 | 0.018 * | 0.047 * | 0.182 | 0.174 | <0.001 * | <0.001 * | |
| Total | 348 |
| 1 kHz | 1.4 kHz | 2 kHz | 2.8 kHz | 4 kHz | 6 kHz | Sum All 1/2 oct | Average 1/2 oct (1–6 kHz) | |
|---|---|---|---|---|---|---|---|---|
| L | −0.4 ± 6.7 | −0.4 ± 7.2 | −0.2 ± 6.0 | −0.3 ± 6.8 | −1.0 ± 9.3 | 0.2 ± 7.3 | −0.7 ± 3.3 | −0.8 ± 3.7 |
| p-value (paired) | 0.226 | 0.213 | 0.301 | 0.263 | 0.071 | 0.611 | 0.007 * | 0.007 * |
| p-value (Wilcoxon) | 0.629 | 0.177 | 0.488 | 0.093 | 0.248 | 0.704 | 0.021 * | 0.021 * |
| R | −0.6 ± 8.2 | −0.2 ± 6.8 | −1.2 ± 6.3 | −0.8 ± 6.5 | 0.4 ± 7.8 | 0.1 ± 7.6 | −0.6 ± 3.5 | −0.7 ± 3.8 |
| p-value (paired) | 0.168 | 0.315 | 0.008 * | 0.048 * | 0.758 | 0.595 | 0.016 * | 0.014 * |
| p-value (Wilcoxon) | 0.573 | 0.106 | 0.002 * | 0.019 * | 0.667 | 0.263 | <0.001 * | <0.001 * |
References
- Murofushi, T. Clinical application of vestibular evoked myogenic potential (VEMP). Auris Nasus Larynx 2016, 43, 367–376. [Google Scholar] [CrossRef]
- Maihoub, S.; Molnár, A.; Gáborján, A.; Tamás, L.; Szirmai, Á. Comparative Study Between the Auditory and Vestibular Functions in Ménière’s Disease. Ear Nose Throat J. 2022, 101, NP329–NP333. [Google Scholar] [CrossRef]
- Molnár, A.; Jassoy, B.D.; Maihoub, S.; Mavrogeni, P.; Tamás, L.; Szirmai, Á. Long-term follow-up of patients with vestibular neuritis by caloric testing and directional preponderance calculation. Eur. Arch. Oto-Rhino-Laryngol. 2023, 280, 1695–1701. [Google Scholar] [CrossRef]
- Mau, C.; Kamal, N.; Badeti, S.; Reddy, R.; Ying, Y.L.M.; Jyung, R.W.; Liu, J.K. Superior semicircular canal dehiscence: Diagnosis and management. J. Clin. Neurosci. 2018, 48, 58–65. [Google Scholar] [CrossRef] [PubMed]
- Goto, F.; Wasano, K.; Kaneda, S.; Okami, K. Prognostic significance vestibular examination results in patients with vestibular migraine. Front. Neurol. 2024, 15, 1370940. [Google Scholar] [CrossRef] [PubMed]
- Sreedharan Sanitha, A.; Sinha, S.K. Assessment of Sacculocollic and Vestibulomasseteric Reflex Pathways in Individuals with Migraine and Vestibular Migraine. Am. J. Audiol. 2024, 33, 1257–1269. [Google Scholar] [CrossRef] [PubMed]
- Zhang, Y.; Chen, Z.; Zhang, Y.; Chen, F.; Gao, Y.; Hu, J.; Wang, J.; Duan, M.; Zhang, Q. Is galvanic VEMP a prediction of the nerve origin and damage in patients of vestibular schwannoma. Acta Otolaryngol. 2024, 144, 333–340. [Google Scholar] [CrossRef]
- Rosengren, S.M.; Welgampola, M.S.; Taylor, R.L. Vestibular-Evoked myogenic potentials in bilateral vestibulopathy. Front. Neurol. 2018, 9, 252. [Google Scholar] [CrossRef]
- Yang, C.H.; Yang, M.Y.; Hwang, C.F.; Lien, K.H. Functional and Molecular Markers for Hearing Loss and Vertigo Attacks in Meniere’s Disease. Int. J. Mol. Sci. 2023, 24, 2504. [Google Scholar] [CrossRef]
- Singh, N.K.; Kumar, P.; Jagadish, N.; Mendhakar, A.; Mahajan, Y. Utility of Inter-Frequency Amplitude Ratio of Vestibular-Evoked Myogenic Potentials in Identifying Meniere’s Disease: A Systematic Review and Meta-Analysis. Ear Hear. 2023, 44, 940–948. [Google Scholar] [CrossRef]
- Hong, S.S.; Wackym, P.A.; Murphy, D.J.; Peci, E.; Kiel, M.Y.; Tucker, A.; Carayannopoulos, N.L.; Chandrasekar, S.C.; Suresh, N.; Utku, U.A.; et al. Model of superior semicircular canal dehiscence: Asymmetrical vestibular dysfunction induces reversible balance impairment. Front. Neurol. 2024, 15, 1476004. [Google Scholar] [CrossRef] [PubMed]
- Yaman, H.; Polat, B.; Şerbetçioğlu, M.B. Can Auditory and Vestibular Findings Differentiate Vestibular Migraine and Meniere’s Disease? J. Audiol. Otol. 2023, 27, 104–109. [Google Scholar] [CrossRef] [PubMed]
- Wu, Y.; Ling, X.; Song, N.; Yan, S.; Wang, W.; Yang, X.; Gu, P. Comparison of clinical characteristics and vestibular function test results in patients with vestibular migraine and Menière’s disease. Braz. J. Otorhinolaryngol. 2023, 89, 101274. [Google Scholar] [CrossRef] [PubMed]
- Lucieer, F.; van der Lubbe, M.; van Stiphout, L.; Janssen, M.; Van Rompaey, V.; Devocht, E.; Perez-Fornos, A.; Guinand, N.; van de Berg, R. Multi-frequency VEMPs improve detection of present otolith responses in bilateral vestibulopathy. Front. Neurol. 2024, 15, 1336848. [Google Scholar] [CrossRef]
- Lin, K.L.; Chen, C.M.; Wang, S.J.; Young, Y.H. Correlating vestibular schwannoma size with vestibular-evoked myogenic potential results. Ear Hear. 2014, 35, 571–576. [Google Scholar] [CrossRef]
- Portnuff, C.D.F.; Kleindienst, S.; Bogle, J.M. Safe use of acoustic vestibular-evoked myogenic potential stimuli: Protocol and patient-specific considerations. J. Am. Acad. Audiol. 2017, 28, 708–717. [Google Scholar] [CrossRef]
- Mattingly, J.K.; Portnuff, C.D.F.; Hondorp, B.M.; Cass, S.P. Sudden Bilateral Hearing Loss After Cervical and Ocular Vestibular Evoked Myogenic Potentials. Otol. Neurotol. 2015, 36, 961–964. [Google Scholar] [CrossRef]
- Asakura, S.; Kamogashira, T. Sudden bilateral hearing loss after vestibular-evoked myogenic potentials. Clin. Case Rep. 2021, 9, e05025. [Google Scholar] [CrossRef]
- Zurek, P.M.; Clark, W.W.; Kim, D.O. The behavior of acoustic distortion products in the ear canals of chinchillas with normal or damaged ears. J. Acoust. Soc. Am. 1982, 72, 774–780. [Google Scholar] [CrossRef]
- Abdala, C.; Visser-Dumont, L. Distortion product otoacoustic emissions: A tool for hearing assessment and scientific study. Volta Rev. 2001, 103, 281–302. [Google Scholar]
- Krause, E.; Mayerhofer, A.; Gürkov, R.; Drexl, M.; Braun, T.; Olzowy, B.; Boetzel, K. Effects of acoustic stimuli used for vestibular evoked myogenic potential studies on the cochlear function. Otol. Neurotol. 2013, 34, 1186–1192. [Google Scholar] [CrossRef] [PubMed]
- Strömberg, A.K.; Olofsson, Å.; Westin, M.; Duan, M.; Stenfelt, S. Changes in cochlear function related to acoustic stimulation of cervical vestibular evoked myogenic potential stimulation. Hear. Res. 2016, 340, 43–49. [Google Scholar] [CrossRef] [PubMed]
- Rodriguez, A.I.; Thomas, M.L.A.; Fitzpatrick, D.; Janky, K.L. Effects of high sound exposure during air-conducted vestibular evoked myogenic potential testing in children and young adults. Ear Hear. 2018, 39, 269–277. [Google Scholar] [CrossRef]
- Singh, N.K.; Keloth, N.K.; Sinha, S. Is There a Safe Level for Recording Vestibular Evoked Myogenic Potential? Evidence from Cochlear and Hearing Function Tests. Ear Hear. 2019, 40, 493–500. [Google Scholar] [CrossRef]
- Aedo-Sanchez, C.; Oliveros, J.; Aranguiz, C.; Muñoz, C.; Lazo-Maturana, C.; Aguilar-Vidal, E. Subclinical hearing loss associated with aging. J. Otol. 2023, 18, 111–117. [Google Scholar] [CrossRef] [PubMed]
- Verrecchia, L.; Karpeta, N.; Westin, M.; Johansson, A.; Aldenklint, S.; Brantberg, K.; Duan, M. Methodological aspects of testing vestibular evoked myogenic potentials in infants at universal hearing screening program. Sci. Rep. 2019, 9, 17225. [Google Scholar] [CrossRef]
- Noij, K.S.; Herrmann, B.S.; Guinan, J.J.; Rauch, S.D. Cervical Vestibular Evoked Myogenic Potentials in Menière’s Disease: A Comparison of Response Metrics. Otol. Neurotol. 2019, 40, e215–e224. [Google Scholar] [CrossRef]
- Fujimoto, C.; Egami, N.; Kinoshita, M.; Sugasawa, K.; Yamasoba, T.; Iwasaki, S. Involvement of vestibular organs in idiopathic sudden hearing loss with vertigo: An analysis using oVEMP and cVEMP testing. Clin. Neurophysiol. 2015, 126, 1033–1038. [Google Scholar] [CrossRef]
- Papathanasiou, E.S.; Murofushi, T.; Akin, F.W.; Colebatch, J.G. International guidelines for the clinical application of cervical vestibular evoked myogenic potentials: An expert consensus report. Clin. Neurophysiol. 2014, 125, 658–666. [Google Scholar] [CrossRef]
- Colebatch, J.G.; Rosengren, S.M.; Krause, E.; Boetzel, K.; Colebatch, J.G.; Rosengren, S.M.; Krause, E.; Boetzel, K.; Colebatch, J.G.; Rosengren, S.M. Safe levels of acoustic stimulation: Comment on “effects of acoustic stimuli used for vestibular evoked myogenic potential studies on the cochlear function”. Otol. Neurotol. 2014, 35, 933–934. [Google Scholar] [CrossRef]
- Singh, N.K.; Kashyap, R.S.; Supreetha, L.; Sahana, V. Characterization of age-related changes in sacculocolic response parameters assessed by cervical vestibular evoked myogenic potentials. Eur. Arch. Oto-Rhino-Laryngol. 2014, 271, 1869–1877. [Google Scholar] [CrossRef] [PubMed]
- Janky, K.L.; Shepard, N. Vestibular evoked myogenic potential (VEMP) testing: Normative threshold response curves and effects of age. J. Am. Acad. Audiol. 2009, 20, 514–522. [Google Scholar] [CrossRef]
- Ohlemiller, K.K. Contributions of mouse models to understanding of age- and noise-related hearing loss. Brain Res. 2006, 1091, 89–102. [Google Scholar] [CrossRef]
- Kujawa, S.G.; Liberman, M.C. Acceleration of age-related hearing loss by early noise exposure: Evidence of a misspent youth. J. Neurosci. 2006, 26, 2115–2123. [Google Scholar] [CrossRef] [PubMed]
- Toppila, E.; Pyykkö, I.; Starck, J. Age and noise-induced hearing loss. Scand. Audiol. 2001, 30, 236–244. [Google Scholar] [CrossRef] [PubMed]
- Van Kamp, I.; Davies, H. Noise and health in vulnerable groups: A review. Noise Health 2013, 15, 153–159. [Google Scholar] [CrossRef]
- Gan, W.Q.; Davies, H.W.; Koehoorn, M.; Brauer, M. Association of long-term exposure to community noise and traffic-related air pollution with coronary heart disease mortality. Am. J. Epidemiol. 2012, 175, 898–906. [Google Scholar] [CrossRef]
- Chung, D.; Mason, K.; Gannon, P.; Willson, G. The ear effect as a function of age and hearing loss. J. Acoust. Soc. Am. 1983, 73, 1277–1282. [Google Scholar] [CrossRef]
- Fernandes, S.V.; Fernandes, C.M. Medicolegal significance of asymmetrical hearing loss in cases of industrial noise exposure. J. Laryngol. Otol. 2010, 124, 1051–1055. [Google Scholar] [CrossRef]
- Chung, D.Y.; Willson, G.N.; Gannon, R.P. Lateral differences in susceptibility to noise damage. Int. J. Audiol. 1983, 22, 199–205. [Google Scholar] [CrossRef]
- Masterson, L.; Howard, J.; Liu, Z.W.; Phillips, J. Asymmetrical Hearing Loss in Cases of Industrial Noise Exposure: A Systematic Review of the Literature. Otol. Neurotol. 2016, 37, 998–1005. [Google Scholar] [CrossRef] [PubMed]
- Reuter, K.; Ordoñez, R.; Hammershøi, D. Overexposure effects of a 1-kHz tone on the distortion product otoacoustic emission in humans. J. Acoust. Soc. Am. 2007, 122, 378–386. [Google Scholar] [CrossRef]
- Aranda de Toro, M.A.; Ordonez, R.; Reuter, K. Recovery of distortion-product otoacoustic emissions after a 2-kHz monaural sound-exposure in humans: Effects on fine structures. J. Acoust. Soc. Am. 2010, 128, 3568–3576. [Google Scholar] [CrossRef] [PubMed]
- Engdahl, B.; Tambs, K.; Borchgrevink, H.M.; Hoffman, H.J. Screened and unscreened hearing threshold levels for the adult population: Results from the Nord-Trøndelag Hearing Loss Study. Int. J. Audiol. 2005, 44, 213–230. [Google Scholar] [CrossRef]
- Zhou, J.; Shi, Z.; Zhou, L.; Hu, Y.; Zhang, M. Occupational noise-induced hearing loss in China: A systematic review and meta-analysis. BMJ Open 2020, 10, e039576. [Google Scholar] [CrossRef] [PubMed]
- Engdahl, B.; Tambs, K. Occupation and the risk of hearing impairment—Results from the Nord-Trøndelag study on hearing loss. Scand. J. Work. Environ. Health 2010, 36, 250–257. [Google Scholar] [CrossRef]
- Wang, Q.; Wang, X.; Yang, L.; Han, K.; Huang, Z.; Wu, H. Sex differences in noise-induced hearing loss: A cross-sectional study in China. Biol. Sex Differ. 2021, 12, 24. [Google Scholar] [CrossRef]
- Lien, K.H.; Yang, C.H. Sex differences in the triad of acquired sensorineural hearing loss. Int. J. Mol. Sci. 2021, 22, 8111. [Google Scholar] [CrossRef]
- Baguant, A.; Cole, A.; Vilotitch, A.; Quatre, R.; Schmerber, S. Difference in cochlear length between male and female patients. Cochlear Implants Int. 2022, 23, 326–331. [Google Scholar] [CrossRef]
- Delhez, A.; Lefebvre, P.; Péqueux, C.; Malgrange, B.; Delacroix, L. Auditory function and dysfunction: Estrogen makes a difference. Cell. Mol. Life Sci. 2020, 77, 619–635. [Google Scholar] [CrossRef]
- Aloufi, N.; Heinrich, A.; Marshall, K.; Kluk, K. Sex differences and the effect of female sex hormones on auditory function: A systematic review. Front. Hum. Neurosci. 2023, 17, 1077409. [Google Scholar] [CrossRef] [PubMed]
- Kavruk, H.; Öztürk, B. Investigation of Age and Gender Effects on the Middle Ear with Wideband Tympanometry in Adults. Ear Hear. 2024, 45, 476–485. [Google Scholar] [CrossRef]
- Villavisanis, D.F.; Berson, E.R.; Lauer, A.M.; Cosetti, M.K.; Schrode, K.M. Sex-based Differences in Hearing Loss: Perspectives from Non-clinical Research to Clinical Outcomess. Otol. Neurotol. 2020, 41, 290–298. [Google Scholar] [CrossRef]
- Cody, A.R.; Johnstone, B.M. Acoustic trauma: Single neuron basis for the “half-octave shift”. J. Acoust. Soc. Am. 1981, 70, 707–711. [Google Scholar] [CrossRef]
- Schmiedt, R.A. Acoustic injury and the physiology of hearing. J. Acoust. Soc. Am. 1984, 76, 1293–1317. [Google Scholar] [CrossRef]
- Harding, G.W.; Bohne, B.A. Distribution of focal lesions in the chinchilla organ of Corti following exposure to a 4-kHz or a 0.5-kHz octave band of noise. Hear. Res. 2007, 225, 50–59. [Google Scholar] [CrossRef]
- Ramamoorthy, S.; Nuttall, A.L. Half-Octave Shift in Mammalian Hearing Is an Epiphenomenon of the Cochlear Amplifier. PLoS ONE 2012, 7, e45640. [Google Scholar] [CrossRef]
- Osei-Lah, V.; Yeoh, L.H. High frequency audiometric notch: An outpatient clinic survey. Int. J. Audiol. 2010, 49, 95–98. [Google Scholar] [CrossRef]
- Huang, F.J.; Hsieh, C.J.; Young, C.H.; Chung, S.H.; Tseng, C.C.; Yiin, L.M. The assessment of exposure to occupational noise and hearing loss for stoneworkers in Taiwan. Noise Health 2018, 20, 146–151. [Google Scholar] [PubMed]
- Davis, H.; Morgan, C.T.; Hawkins, J.E.; Galambos, R.; Smith, F.W. Temporary deafness following exposure to loud tones and noise. Acta Otolaryngol. Suppl. 1950, 88, 1–56. [Google Scholar] [CrossRef] [PubMed]
- Mills, J.H.; Gilbert, R.M.; Adkins, W.Y. Temporary threshold shifts in humans exposed to octave bands of noise for 16 to 24 hours. J. Acoust. Soc. Am. 1979, 65, 1238–1248. [Google Scholar] [CrossRef] [PubMed]
- Engdahl, B.; Kemp, D.T. The effect of noise exposure on the details of distortion product otoacoustic emissions in humans. J. Acoust. Soc. Am. 1996, 99, 1573–1587. [Google Scholar] [CrossRef] [PubMed]
- Marshall, L.; Heller, L.M. Transient-evoked otoacoustic emissions as a measure of noise-induced threshold shift. J. Speech Lang. Hear. Res. 1998, 41, 1319–1334. [Google Scholar] [CrossRef] [PubMed]
- Shera, C.A. Intensity-invariance of fine time structure in basilar-membrane click responses: Implications for cochlear mechanics. J. Acoust. Soc. Am. 2001, 110, 332–348. [Google Scholar] [CrossRef]
- Marshall, L.; Lapsley Miller, J.A.; Heller, L.M.; Wolgemuth, K.S.; Hughes, L.M.; Smith, S.D.; Kopke, R.D. Detecting incipient inner-ear damage from impulse noise with otoacoustic emissions. J. Acoust. Soc. Am. 2009, 125, 995–1013. [Google Scholar] [CrossRef]


| 1 kHz | 1.4 kHz | 2 kHz | 2.8 kHz | 4 kHz | 6 kHz | Sum All 1/2 oct | Average 1/2 oct (1–6 kHz) | |
|---|---|---|---|---|---|---|---|---|
| pre–VEMP | 0.4 ± 9.5 | 3.5 ± 11.9 | 1.1 ± 11.9 | −4.0 ± 12.5 | −5.7 ± 13.0 | −7.3 ± 14.6 | 11.9 ± 8.6 | 3.0 ± 8.5 |
| post–VEMP | −0.1 ± 10.0 | 3.2 ± 11.4 | 0.4 ± 11.9 | −4.5 ± 12.4 | −6.0 ± 13.1 | −7.1 ± 13.7 | 11.0 ± 8.8 | 2.1 ± 8.7 |
| post–pre | −0.5 ± 7.5 | −0.3 ± 7.0 | −0.7 ± 6.2 | −0.6 ± 6.7 | −0.3 ± 8.6 | 0.1 ± 7.4 | −0.6 ± 3.4 | −0.7 ± 3.7 |
| p-value (paired) | 0.111 | 0.181 | 0.018 * | 0.053 | 0.25 | 0.644 | <0.001 * | <0.001 * |
| p-value (Wilcoxon) | 0.472 | 0.037 * | 0.005 * | 0.004 * | 0.273 | 0.291 | <0.001 * | <0.001 * |
| 1 kHz | 1.4 kHz | 2 kHz | 2.8 kHz | 4 kHz | 6 kHz | Sum All 1/2 oct | Average 1/2 oct (1–6 kHz) | n | |
|---|---|---|---|---|---|---|---|---|---|
| ≥65 | −1.0 ± 8.2 | 0.1 ± 8.6 | −0.5 ± 7.5 | −2.1 ± 8.3 | −0.4 ± 9.6 | 1.9 ± 8.3 | −0.7 ± 4.1 | −0.9 ± 5.0 | 96 |
| p-value (paired) | 0.114 | 0.53 | 0.241 | 0.008 * | 0.33 | 0.988 | 0.097 | 0.092 | |
| p-value (Wilcoxon) | 0.466 | 0.491 | 0.432 | 0.029 * | 0.574 | 0.024 * | 0.056 | 0.071 | |
| <65 | −0.3 ± 7.2 | −0.5 ± 6.2 | −0.8 ± 5.6 | 0.0 ± 5.8 | −0.3 ± 8.2 | −0.5 ± 7.0 | −0.6 ± 3.2 | −0.7 ± 3.4 | 252 |
| p-value (paired) | 0.261 | 0.104 | 0.016 * | 0.493 | 0.304 | 0.114 | 0.001 * | <0.001 * | |
| p-value (Wilcoxon) | 0.653 | 0.041 * | 0.003 * | 0.037 * | 0.344 | 0.003 * | <0.001 * | <0.001 * | |
| Total | 348 |
| 1 kHz | 1.4 kHz | 2 kHz | 2.8 kHz | 4 kHz | 6 kHz | Sum All 1/2 oct | Average 1/2 oct (1–6 kHz) | |
|---|---|---|---|---|---|---|---|---|
| L/R | F(1,343) = 0.071, | F(1,343) = 0.061, | F(1,343) = 1.924, | F(1,343) = 0.502, | F(1,343) = 2.478, | F(1,343) = 0.000, | F(1,293) = 0.015, | F(1,293) = 0.039, |
| p = 0.790 | p = 0.805 | p = 0.166 | p = 0.479 | p = 0.116 | p = 0.983 | p = 0.902 | p = 0.843 | |
| Male/Female | F(1,343) = 0.093, | F(1,343) = 0.350, | F(1,343) = 0.027, | F(1,343) = 0.542, | F(1,343) = 0.174, | F(1,343) = 1.330, | F(1,293) = 0.003, | F(1,293) = 0.179, |
| p = 0.760 | p = 0.554 | p = 0.868 | p = 0.462 | p = 0.677 | p = 0.250 | p = 0.955 | p = 0.672 | |
| dBpSPL | F(1,343) = 0.539, | F(1,343) = 0.007, | F(1,343) = 0.936, | F(1,343) = 2.372, | F(1,343) = 0.064, | F(1,343) = 0.798, | F(1,293) = 0.366, | F(1,293) = 0.175, |
| p = 0.463 | p = 0.933 | p = 0.334 | p = 0.124 | p = 0.801 | p = 0.372 | p = 0.546 | p = 0.676 | |
| ≥65/<65 | F(1,343) = 0.575, | F(1,343) = 0.444, | F(1,343) = 0.125, | F(1,343) = 6.347, | F(1,343) = 0.021, | F(1,343) = 8.171, | F(1,293) = 0.022, | F(1,293) = 0.138, |
| p = 0.449 | p = 0.505 | p = 0.724 | p = 0.012* | p = 0.884 | p = 0.005 * | p = 0.881 | p = 0.711 |
Disclaimer/Publisher’s Note: The statements, opinions and data contained in all publications are solely those of the individual author(s) and contributor(s) and not of MDPI and/or the editor(s). MDPI and/or the editor(s) disclaim responsibility for any injury to people or property resulting from any ideas, methods, instructions or products referred to in the content. |
© 2025 by the authors. Licensee MDPI, Basel, Switzerland. This article is an open access article distributed under the terms and conditions of the Creative Commons Attribution (CC BY) license (https://creativecommons.org/licenses/by/4.0/).
Share and Cite
Asakura, S.; Kamogashira, T.; Funayama, H.; Kataoka, T.; Shoji, S.; Koizumi, M.; Ishimoto, S.; Yamasoba, T. Evaluation of the Decrease in DPOAE Levels After VEMP Testing in Clinical Patients Referred to the Vertigo Outpatient Clinic. J. Clin. Med. 2025, 14, 2766. https://doi.org/10.3390/jcm14082766
Asakura S, Kamogashira T, Funayama H, Kataoka T, Shoji S, Koizumi M, Ishimoto S, Yamasoba T. Evaluation of the Decrease in DPOAE Levels After VEMP Testing in Clinical Patients Referred to the Vertigo Outpatient Clinic. Journal of Clinical Medicine. 2025; 14(8):2766. https://doi.org/10.3390/jcm14082766
Chicago/Turabian StyleAsakura, Shinnosuke, Teru Kamogashira, Hideaki Funayama, Toshitaka Kataoka, Shizuka Shoji, Megumi Koizumi, Shinichi Ishimoto, and Tatsuya Yamasoba. 2025. "Evaluation of the Decrease in DPOAE Levels After VEMP Testing in Clinical Patients Referred to the Vertigo Outpatient Clinic" Journal of Clinical Medicine 14, no. 8: 2766. https://doi.org/10.3390/jcm14082766
APA StyleAsakura, S., Kamogashira, T., Funayama, H., Kataoka, T., Shoji, S., Koizumi, M., Ishimoto, S., & Yamasoba, T. (2025). Evaluation of the Decrease in DPOAE Levels After VEMP Testing in Clinical Patients Referred to the Vertigo Outpatient Clinic. Journal of Clinical Medicine, 14(8), 2766. https://doi.org/10.3390/jcm14082766

