Assessment of the 10-Year Probability of Fracture Using Femoral Neck (FRAX) and Lumbar BMD (FRAXplus) in Menopausal Women with Non-Functioning Adrenal Tumors: Where We Stand Today (A Study-Focused Analysis)
Abstract
1. Introduction
Objective
2. Material and Methods
2.1. Study Design
2.2. Studied Population
2.3. Study Protocol
2.4. Statistical Analysis
2.5. Ethical Considerations
3. Results
3.1. Demographic Features
3.2. Hormonal Panel in Women with Adrenal Tumors
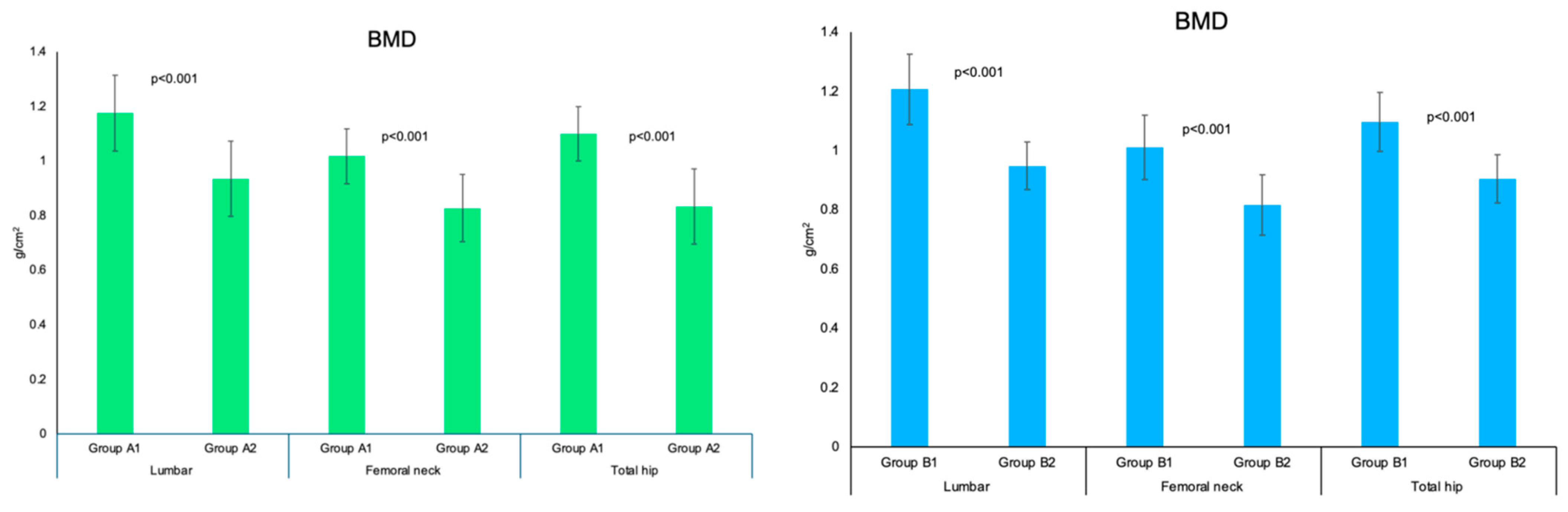
3.3. DXA Analysis Based on the Lowest T-Score in Each Patient at Central DXA Scan
3.4. DXA Analysis for Each Central DXA Site
3.5. 10-Year Probability of Fracture: Conventional FRAX Model
3.6. 10-Year Probability of Fracture: Novel FRAXplus Model
3.7. 10-Year Probability of Fracture: Conventional Versus Novel Model of Risk Estimation
3.8. 10-Year Probability of Fracture According to the Novel Model: Correlations with Years Since Menopause and Total Hip BMD
4. Discussion
5. Conclusions
Author Contributions
Funding
Institutional Review Board Statement
Informed Consent Statement
Data Availability Statement
Acknowledgments
Conflicts of Interest
Abbreviations
| ACTH | Adrenocorticotropic Hormone |
| BMI | body mass index |
| BMD | bone mineral density |
| DXA | Dual-Energy X-ray Absorptiometry |
| FRAX | Fracture Risk Assessment Tool |
| FRAX1 | 10-year probability of major osteoporotic fractures calculated without femoral neck bone mineral density |
| FRAX2 | 10-year probability of major osteoporotic fractures calculated with femoral neck bone mineral density |
| FRAX3 | 10-year probability of hip fracture calculated without femoral neck bone mineral density |
| FRAX4 | 10-year probability of hip fracture calculated with femoral neck BMD |
| FRAXplus1 | 10-year probability of major osteoporotic fractures calculated with lumbar bone mineral density |
| FRAXplus2 | 10-year probability of hip fracture calculated with lumbar bone mineral density |
| MACS | mild autonomous cortisol secretion |
| SD | standard deviation |
| Q | quartiles |
References
- Kanis, J.A.; Johansson, H.; Harvey, N.C.; Lorentzon, M.; Liu, E.; Vandenput, L.; McCloskey, E.V. An assessment of intervention thresholds for very high fracture risk applied to the NOGG guidelines: A report for the National Osteoporosis Guideline Group (NOGG). Osteoporos. Int. 2021, 32, 1951–1960. [Google Scholar] [CrossRef] [PubMed]
- Zerikly, R.; Demetriou, E.W. Use of Fracture Risk Assessment Tool in clinical practice and Fracture Risk Assessment Tool future directions. Women’s Health 2024, 20, 17455057241231387. [Google Scholar] [CrossRef] [PubMed]
- Ferrari, S.; Trombetti, A.; Debrach, A.-C.; Kozycki, S.; Padlina, I.; Chevalley, T.; Biver, E. Metabolic bone diseases: What’s new in 2023. Rev. Medicale Suisse 2024, 20, 255–258. [Google Scholar] [CrossRef]
- Janiak, K.; Józwik-Plebanek, K.; Kamiński, G. Recent guidelines for diagnostic and therapeutic management of accidentally detected adrenal tumours (incidentaloma) in adults. Endokrynol. Pol. 2024, 75, 385–394. [Google Scholar] [CrossRef] [PubMed]
- Ren, X.; Nan, M.; Zhang, X. Evaluating the efficacy of surgical and conservative approaches in mild autonomous cortisol secretion: A meta-analysis. Front. Endocrinol. 2024, 15, 1399311. [Google Scholar] [CrossRef]
- Hamidi, O.; Shah, M.; Zhang, C.D.; Lazik, N.; Li, D.; Singh, S.; Iñiguez-Ariza, N.M.; Raman, R.; Hurtado, M.D.; Carafone, L.; et al. Clinical and imaging presentations are associated with function in incidental adrenocortical adenomas: A retrospective cohort study. Eur. J. Endocrinol. 2024, 191, 47–54. [Google Scholar] [CrossRef]
- Pal, R.; Banerjee, M.; Prasad, T.N.; Walia, R.; Bhadada, T.; Singh, J.; Bhadada, S.K. Fracture risk and bone health in adrenal adenomas with mild autonomous cortisol secretion/subclinical hypercortisolism: A systematic review, meta-analysis and meta-regression. J. Bone Miner. Res. 2024, 39, 885–897. [Google Scholar] [CrossRef]
- Prete, A.; Bancos, I. Mild autonomous cortisol secretion: Pathophysiology, comorbidities and management approaches. Nat. Rev. Endocrinol. 2024, 20, 460–473. [Google Scholar] [CrossRef]
- Carsote, M.; Valea, A.; Dumitru, N.; Terzea, D.; Petrova, E.; Albu, S.; Buruiana, A.; Ghemigian, A. Metastases in daily endocrine practice. Arch. Balk. Med. Union 2016, 51, 476–480. [Google Scholar]
- Laganà, M.; Habra, M.A.; Remde, H.; Almeida, M.Q.; Cosentini, D.; Pusceddu, S.; Grana, C.M.; Corssmit, E.P.; Bongiovanni, A.; De Filpo, G.; et al. Adverse skeletal related events in patients with bone-metastatic pheochromocytoma/paraganglioma. Eur. J. Cancer 2024, 208, 114122. [Google Scholar] [CrossRef]
- Favero, V.; Eller-Vainicher, C.; Morelli, V.; Cairoli, E.; Salcuni, A.S.; Scillitani, A.; Corbetta, S.; Della Casa, S.; Muscogiuri, G.; Persani, L.; et al. Increased Risk of Vertebral Fractures in Patients With Mild Autonomous Cortisol Secretion. J. Clin. Endocrinol. Metab. 2023, 109, e623–e632. [Google Scholar] [CrossRef]
- Vasiliu, O. Therapeutic management of atypical antipsychotic-related metabolic dysfunctions using GLP-1 receptor agonists: A systematic review. Exp. Ther. Med. 2023, 26, 355. [Google Scholar] [CrossRef] [PubMed]
- Zavatta, G.; Vicennati, V.; Altieri, P.; Tucci, L.; Colombin, G.; Coscia, K.; Mosconi, C.; Balacchi, C.; Fanelli, F.; Malagrinò, M.; et al. Mild autonomous cortisol secretion in adrenal incidentalomas and risk of fragility fractures: A large cross-sectional study. Eur. J. Endocrinol. 2023, 188, 343–352. [Google Scholar] [CrossRef] [PubMed]
- Anghel, D.; Ciobica, L.M.; Negru, M.M.; Jurcut, C.; Otlocan, L.; Coca, A. Bone mineral density and vitamin D levels in patients with rheumatoid arthritis. Osteoporos. Int. 2017, 28, S435–S436. [Google Scholar]
- Favero, V.; Cremaschi, A.; Falchetti, A.; Gaudio, A.; Gennari, L.; Scillitani, A.; Vescini, F.; Morelli, V.; Aresta, C.; Chiodini, I. Management and Medical Therapy of Mild Hypercortisolism. Int. J. Mol. Sci. 2021, 22, 11521. [Google Scholar] [CrossRef] [PubMed]
- Available online: https://frax.shef.ac.uk/FRAX/ (accessed on 11 November 2024).
- Available online: https://frax.shef.ac.uk/FRAX/tool.aspx?lang=ro (accessed on 11 November 2024).
- Available online: https://www.fraxplus.org/ (accessed on 11 November 2024).
- Schini, M.; Johansson, H.; Harvey, N.C.; Lorentzon, M.; Kanis, J.A.; McCloskey, E.V. An overview of the use of the fracture risk assessment tool (FRAX) in osteoporosis. J. Endocrinol. Investig. 2023, 47, 501–511. [Google Scholar] [CrossRef]
- Allbritton-King, J.D.; Elrod, J.K.; Rosenberg, P.S.; Bhattacharyya, T. Reverse engineering the FRAX algorithm: Clinical insights and systematic analysis of fracture risk. Bone 2022, 159, 116376. [Google Scholar] [CrossRef]
- Siris, E.S.; Baim, S.; Nattiv, A. Primary care use of FRAX: Absolute fracture risk assessment in postmenopausal women and older men. Postgrad. Med. 2010, 122, 82–90. [Google Scholar] [CrossRef]
- Jiménez Cassinello, J.M.; Vega-Beyhart, A.; Bernarda Iriarte, M.; Donato, S.; Herrera-Martínez, A.D.; Marazuela, M.; Araujo-Castro, M. Mild autonomous cortisol secretion: Impact on bone health and quality of life. A review. Endocrine 2025. [Google Scholar] [CrossRef]
- Kim, S.-M.; Sultana, F.; Korkmaz, F.; Rojekar, S.; Pallapati, A.; Ryu, V.; Lizneva, D.; Yuen, T.; Rosen, C.J.; Zaidi, M. Neuroendocrinology of bone. Pituitary 2024, 27, 761–777. [Google Scholar] [CrossRef]
- Popa, F.L.; Diaconu, C.; Canciu, A.; Ciortea, V.M.; Iliescu, M.G.; Stanciu, M. Medical management and rehabilitation in posttraumatic common peroneal nerve palsy. Balneo PRM Res. J. 2022, 13, 496. [Google Scholar] [CrossRef]
- Valea, A.; Carsote, M.; Moldovan, C.; Georgescu, C. Chronic autoimmune thyroiditis and obesity. Arch. Balk. Med. Union 2018, 53, 64–69. [Google Scholar]
- Yozamp, N.; Vaidya, A. Assessment of mild autonomous cortisol secretion among incidentally discovered adrenal masses. Best Pract. Res. Clin. Endocrinol. Metab. 2021, 35, 101491. [Google Scholar] [CrossRef]
- Ishimoto, A.K.; Shah, A.A. Screening and early treatment for osteoporosis: Who are we missing under age 65? Maturitas 2024, 187, 108044. [Google Scholar] [CrossRef] [PubMed]
- O’connor, K.M. Evaluation and Treatment of Osteoporosis. Med. Clin. N. Am. 2016, 100, 807–826. [Google Scholar] [CrossRef]
- Dickens, L.T.; Jain, R.K. An Update on the Fracture Risk Assessment Tool: What Have We Learned over 15+ years? Endocrinol. Metab. Clin. N. Am. 2024, 53, 531–545. [Google Scholar] [CrossRef]
- Subarajan, P.; Arceo-Mendoza, R.M.; Camacho, P.M. Postmenopausal Osteoporosis: A Review of Latest Guidelines. Endocrinol. Metab. Clin. N. Am. 2024, 53, 497–512. [Google Scholar] [CrossRef]
- Adami, G.; Biffi, A.; Porcu, G.; Ronco, R.; Alvaro, R.; Bogini, R.; Caputi, A.P.; Cianferotti, L.; Frediani, B.; Gatti, D.; et al. A systematic review on the performance of fracture risk assessment tools: FRAX, DeFRA, FRA-HS. J. Endocrinol. Investig. 2023, 46, 2287–2297. [Google Scholar] [CrossRef]
- Favero, V.; Cairoli, E.; Eller-Vainicher, C.; Morelli, V.; Salcuni, A.S.; Della Casa, S.; Muscogiuri, G.; Columbu, C.; Pugliese, F.; Corbetta, S.; et al. Fragility Fractures and Cortisol Secretion in Patients With Nonfunctioning Adrenal Incidentalomas. J. Endocr. Soc. 2024, 8, bvae144. [Google Scholar] [CrossRef]
- Khadembashiri, M.M.; Mohseni, S.; Harandi, H.; Pejman Sani, M.; Khadembashiri, M.A.; Atlasi, R.; SeyedAlinaghi, S.; Mohajeri-Tehrani, M.; Larijani, B. Comparison of adrenalectomy with conservative treatment on mild autonomous cortisol secretion: A systematic review and meta-analysis. Front. Endocrinol. 2024, 15, 1374711. [Google Scholar] [CrossRef]
- Zavatta, G.; Di Dalmazi, G. Mild Autonomous Cortisol Secretion (MACS)—Related Osteoporosis. Exp. Clin. Endocrinol. Diabetes 2024, 132, 712–722. [Google Scholar] [CrossRef] [PubMed]
- Nakao, H.; Yokomoto-Umakoshi, M.; Nakatani, K.; Umakoshi, H.; Ogata, M.; Fukumoto, T.; Kaneko, H.; Iwahashi, N.; Fujita, M.; Ogasawara, T.; et al. Adrenal steroid metabolites and bone status in patients with adrenal incidentalomas and hypercortisolism. EBioMedicine 2023, 95, 104733. [Google Scholar] [CrossRef] [PubMed]
- Araujo-Castro, M.; Pascual-Corrales, E.; Lamas, C. Possible, probable, and certain hypercortisolism: A continuum in the risk of comorbidity. Ann. Endocrinol. 2023, 84, 272–284. [Google Scholar] [CrossRef] [PubMed]
- Czapla-Iskrzycka, A.; Świątkowska-Stodulska, R.; Sworczak, K. Comorbidities in Mild Autonomous Cortisol Secretion—A Clinical Review of Literature. Exp. Clin. Endocrinol. Diabetes 2022, 130, 567–576. [Google Scholar] [CrossRef]
- Frara, S.; Allora, A.; di Filippo, L.; Formenti, A.M.; Loli, P.; Polizzi, E.; Tradati, D.; Ulivieri, F.M.; Giustina, A. Osteopathy in mild adrenal Cushing’s syndrome and Cushing disease. Best Pract. Res. Clin. Endocrinol. Metab. 2021, 35, 101515. [Google Scholar] [CrossRef]
- Araujo-Castro, M.; Sampedro Núñez, M.A.; Marazuela, M. Autonomous cortisol secretion in adrenal incidentalomas. Endocrine 2019, 64, 1–13. [Google Scholar] [CrossRef]







| Designated Terms Amid the Current Study | 10-Year Fracture Risk Assessment for: | Site of Bone Mineral Density (at Central DXA) That Has Been Used for the Risk Estimation: | FRAX Model |
|---|---|---|---|
| FRAX1 | major osteoporotic fractures | none | conventional FRAX |
| FRAX2 | with femoral neck BMD | ||
| FRAXplus1 * | with femoral neck BMD + lumbar BMD | FRAXplus | |
| FRAX3 | hip fracture | none | conventional FRAX |
| FRAX4 | with femoral neck BMD | ||
| FRAXplus2 ** | with femoral neck BMD + lumbar BMD | FRAXplus |
| Group | Age (Years) Mean ± SD | Years Since Menopause Mean ± Standard Deviation | Body Mass Index (kg/m2) Mean ± Standard Deviation |
|---|---|---|---|
| A | 61.21 ± 10.94 | 14.79 ± 10.78 | 28.18 ± 5.34 |
| A1 | 57.29 ± 10.49 | 10.93 ± 8.17 | 30.05 ± 4.73 |
| A2 | 64.11 ± 10.61 | 17.63 ± 11.77 | 26.91 ± 5.47 |
| B | 62.00 ± 6.23 | 14.97 ± 6.60 | 28.88 ± 3.56 |
| B1 | 61.50 ± 5.23 | 14.71 ± 6.98 | 28.29 ± 3.54 |
| B2 | 62.37 ± 6.99 | 15.16 ± 6.50 | 29.32 ± 3.61 |
| p-value between: | |||
| Groups A and B | 0.721 | 0.934 | 0.537 |
| Groups A1 and A2 | 0.077 | 0.077 | 0.103 |
| Groups A1 and B1 | 0.194 | 0.199 | 0.141 |
| Groups A2 and B2 | 0.555 | 0.429 | 0.118 |
| Groups B1 and B2 | 0.699 | 0.852 | 0.420 |
| Group | Plasma ACTH (pg/mL) Mean ± SD | Morning Plasma Cortisol (μg/dL) Mean ± SD | Plasma Cortisol Second Day After 1 mg Dexamethasone Test (μg/dL) Mean ± SD |
|---|---|---|---|
| A | 15.65 ± 13.70 | 13.35 ± 5.55 | 1.23 ± 0.36 |
| A1 | 19.10 ± 16.72 | 13.75 ± 3.74 | 1.13 ± 0.44 |
| A2 | 12.45 ± 9.81 | 13.03 ± 6.78 | 1.33 ± 0.27 |
| Normal range | 3–66 | 4.82–19.5 | <1.8 |
| Group | Number (%) | Lowest T-Score Mean ± SD | Lowest T-Score Median (Q1, Q3) | Lowest T-Score Min, Max |
|---|---|---|---|---|
| A | 33 | −1.45 ± 1.24 | −1.40 (−2.30, −0.80) | −4.10, 1.30 |
| A1 | 14 | −0.33 ± 0.72 | −0.55 (−0.85, 0.15) | −1.00, 1.30 |
| A2 | 19 | −2.27 ± 0.81 | −2.10 (−2.70, −1.70) | −4.10, −1.10 |
| B | 33 | −1.37 ± 0.99 | −1.40 (−2.20, −0.80) | −3.60, 1.00 |
| B1 | 14 | −0.46 ± 0.56 | −0.45 (−1.00, −0.20) | −1.00, 1.00 |
| B2 | 19 | −2.04 ± 0.63 | −2.00 (−2.50, −1.45) | −3.60, −1.20 |
| p-value between: | ||||
| Groups A and B | 0.785 | |||
| Groups A1 and A2 | <0.001 | |||
| Groups A1 and B1 | 0.580 | |||
| Groups A2 and B2 | 0.334 | |||
| Groups B1 and B2 | <0.001 | |||
| Group | Lumbar BMD (g/cm2) Mean ± SD | Lumbar T-Score Mean ± SD | Femoral Neck BMD (g/cm2) Mean ± SD | Femoral Neck T-Score Mean ± SD | Total Hip BMD (g/cm2) Mean ± SD | Total Hip T-Score Mean ± SD |
|---|---|---|---|---|---|---|
| A | 1.038 ± 0.182 | −1.09 ± 1.54 | 0.900 ± 0.147 | −0.95 ± 1.13 | 0.981 ± 0.178 | −0.18 ± 1.44 |
| A1 | 1.177 ± 0.139 | 0.18 ± 1.03 | 1.018 ± 0.101 | 0.02 ± 0.78 | 1.101 ± 0.099 | 0.79 ± 0.82 |
| A2 | 0.935 ± 0.138 | −2.03 ± 1.12 | 0.828 ± 0.123 | −1.54 ± 0.88 | 0.834 ± 0.138 | −1.37 ± 1.10 |
| B | 1.059 ± 0.162 | −1.00 ± 1.34 | 0.900 ± 0.142 | −1.00 ± 1.02 | 0.988 ± 0.130 | −0.14 ± 1.04 |
| B1 | 1.208 ± 0.119 | 0.24 ± 0.98 | 1.012 ± 0.108 | −0.19 ± 0.78 | 1.098 ± 0.099 | 0.71 ± 0.78 |
| B2 | 0.949 ± 0.080 | −1.91 ± 0.67 | 0.817 ± 0.102 | −1.59 ± 0.73 | 0.906 ± 0.081 | −0.77 ± 0.70 |
| p-value between: | ||||||
| Groups A and B | 0.621 | 0.799 | 0.997 | 0.859 | 0.886 | 0.920 |
| Groups A1 and A2 | <0.001 | <0.001 | <0.001 | <0.001 | <0.001 | <0.001 |
| Groups A1 and B1 | 0.269 | 0.441 | 0.450 | 0.254 | 0.470 | 0.407 |
| Groups A2 and B2 | 0.699 | 0.702 | 0.766 | 0.850 | 0.092 | 0.095 |
| Groups B1 and B2 | <0.001 | <0.001 | <0.001 | <0.001 | <0.001 | <0.001 |
| Group | FRAX1 (%) Median (Q1, Q3) | FRAX2 (%) Median (Q1, Q3) | FRAX3 (%) Median (Q1, Q3) | FRAX4 (%) Median (Q1, Q3) |
|---|---|---|---|---|
| A | 4.00 (2.00, 6.55) | 3.50 (1.85, 5.75) | 0.70 (0.20, 2.05) | 0.45 (0.15, 1.40) |
| A1 | 2.20 (1.40, 4.10) | 1.85 (1.40, 3.10) | 0.30 (0.10, 0.80) | 0.15 (0.00, 0.20) |
| A2 | 4.70 (3.35, 7.15) | 4.35 (3.20, 6.20) | 0.90 (0.45, 2.70) | 0.75 (0.30, 1.90) |
| B | 3.70 (2.70, 5.30) | 3.72 (2.79, 4.64) | 0.50 (0.40, 1.20) | 0.40 (0.17, 0.85) |
| B1 | 3.95 (3.10, 5.30) | 2.95 (2.61, 4.00) | 0.65 (0.40, 1.20) | 0.17 (0.10, 0.40) |
| B2 | 3.50 (2.55, 5.00) | 4.27 (2.90, 5.63) | 0.50 (0.30, 1.25) | 0.65 (0.32, 1.60) |
| p-value between: | ||||
| Groups A and B | 0.932 | 0.510 | 0.948 | >0.999 |
| Groups A1 and A2 | 0.050 | 0.004 | 0.037 | 0.002 |
| Groups A1 and B1 | 0.089 | 0.030 | 0.083 | 0.316 |
| Groups A2 and B2 | 0.212 | 0.888 | 0.191 | 0.815 |
| Groups B1 and B2 | 0.653 | 0.037 | 0.700 | 0.002 |
| Group | FRAXplus1 (%) * Median (Q1, Q3) | FRAXplus2 (%) ** Median (Q1, Q3) |
|---|---|---|
| A | 2.80 (1.55, 4.40) | 0.30 (0.10, 1.10) |
| A1 | 1.55 (1.30, 2.50) | 0.10 (0.00, 0.10) |
| A2 | 3.30 (2.70, 4.60) | 0.55 (0.30, 1.40) |
| B | 3.00 (2.25, 3.45) | 0.30 (0.10, 0.65) |
| B1 | 2.65 (2.30, 3.20) | 0.10 (0.10, 0.30) |
| B2 | 3.25 (2.20, 4.30) | 0.45 (0.30, 1.20) |
| p-value between: | ||
| Groups A and B | 0.411 | 0.707 |
| Groups A1 and A2 | 0.004 | <0.001 |
| Groups A1 and B1 | 0.013 | 0.064 |
| Groups A2 and B2 | 0.864 | 0.767 |
| Groups B1 and B2 | 0.125 | 0.002 |
| Group | p-Value Between FRAXplus1 and FRAX1 * | p-Value Between FRAXplus1 and FRAX2 | p-Value Between FRAXplus2 and FRAX3 ** | p-Value Between FRAXplus2 and FRAX4 |
|---|---|---|---|---|
| A | <0.001 | <0.001 | 0.023 | <0.001 |
| A1 | 0.011 | 0.008 | 0.011 | 0.059 |
| A2 | 0.009 | <0.001 | 0.191 | <0.001 |
| B | <0.001 | <0.001 | 0.004 | <0.001 |
| B1 | <0.001 | 0.002 | <0.001 | 0.022 |
| B2 | 0.031 | <0.001 | 0.483 | <0.001 |
| FRAXplus1 * | Age (Years) | Years Since Menopause | BMI (kg/m2) | Lumbar BMD (g/cm2) | Femoral Neck BMD (g/cm2) | Total Hip BMD (g/cm2) |
|---|---|---|---|---|---|---|
| A | r = 0.764 p < 0.001 | r = 0.614 p < 0.001 | r = −0.170 p = 0.212 | r = −0.373 p = 0.006 | r = −0.581 p < 0.001 | r = −0.563 p = 0.002 |
| A1 | r = 0.874 p < 0.001 | r = 0.730 p = 0.005 | r = −0.114 p = 0.652 | r = −0.0.45 p = 0.857 | r = −0.270 p = 0.281 | r = −0.473 p = 0.105 |
| A2 | r = 0.669 p < 0.001 | r = 0.540 p = 0.002 | r = −0.047 p = 0.790 | r = −0.251 p = 0.149 | r = −0.667 p < 0.001 | r = −0.444 p = 0.095 |
| B | r = 0.614 p < 0.001 | r = 0.351 p = 0.006 | r = −0.167 p = 0.201 | r = −0.309 p = 0.014 | r = −0.480 p < 0.001 | r = −0.415 p < 0.001 |
| B1 | r = 0.590 p = 0.005 | r = 0.316 p = 0.123 | r = −0.356 p = 0.086 | r = −0.078 p = 0.701 | r = −0.256 p = 0.207 | r = −0.189 p = 0.351 |
| B2 | r = 0.708 p < 0.001 | r = 0.445 p = 0.013 | r = −0.120 p = 0.511 | r = −0.348 p = 0.048 | r = −0.870 p < 0.001 | r = −0.616 p < 0.001 |
| FRAXplus2 ** | Age (years) | Years since menopause | BMI | Lumbar BMD (g/cm2) | Femoral neck BMD (g/cm2) | Total hip BMD (g/cm2) |
| A | r = 0.606 p < 0.001 | r = 0.555 p < 0.001 | r = −0.227 p = 0.108 | r = −0.476 p < 0.001 | r = −0.795 p < 0.001 | r = −0.807 p < 0.001 |
| A1 | r = 0.485 p = 0.076 | r = 0.414 p = 0.136 | r = −0.267 p = 0.327 | r = −0.211 p = 0.434 | r = −0.580 p = 0.032 | r = −0.737 p = 0.020 |
| A2 | r = 0.569 p = 0.001 | r = 0.553 p = 0.002 | r = −0.082 p = 0.645 | r = −0.223 p = 0.207 | r = −0.737 p < 0.001 | r = −0.592 p = 0.028 |
| B | r = 0.403 p = 0.002 | r = 0.263 p = 0.047 | r = −0.108 p = 0.424 | r = −0.463 p < 0.001 | r = −0.802 p < 0.001 | r = −0.644 p < 0.001 |
| B1 | r = 0.260 p = 0.259 | r = 0.127 p = 0.575 | r = −0.273 p = 0.234 | r = −0.097 p = 0.664 | r = −0.736 p = 0.001 | r = −0.430 p = 0.054 |
| B2 | r = 0.563 p = 0.002 | r = 0.423 p = 0.018 | r = −0.211 p = 0.247 | r = −0.348 p = 0.048 | r = −0.870 p < 0.001 | r = −0.616 p < 0.001 |
Disclaimer/Publisher’s Note: The statements, opinions and data contained in all publications are solely those of the individual author(s) and contributor(s) and not of MDPI and/or the editor(s). MDPI and/or the editor(s) disclaim responsibility for any injury to people or property resulting from any ideas, methods, instructions or products referred to in the content. |
© 2025 by the authors. Licensee MDPI, Basel, Switzerland. This article is an open access article distributed under the terms and conditions of the Creative Commons Attribution (CC BY) license (https://creativecommons.org/licenses/by/4.0/).
Share and Cite
Stanciu, M.; Sima, O.-C.; Costachescu, M.; Valea, A.; Nistor, C.; Trandafir, A.-I.; Tanasescu, D.; Nistor, T.V.I.; Ciobica, M.-L.; Carsote, M. Assessment of the 10-Year Probability of Fracture Using Femoral Neck (FRAX) and Lumbar BMD (FRAXplus) in Menopausal Women with Non-Functioning Adrenal Tumors: Where We Stand Today (A Study-Focused Analysis). J. Clin. Med. 2025, 14, 2302. https://doi.org/10.3390/jcm14072302
Stanciu M, Sima O-C, Costachescu M, Valea A, Nistor C, Trandafir A-I, Tanasescu D, Nistor TVI, Ciobica M-L, Carsote M. Assessment of the 10-Year Probability of Fracture Using Femoral Neck (FRAX) and Lumbar BMD (FRAXplus) in Menopausal Women with Non-Functioning Adrenal Tumors: Where We Stand Today (A Study-Focused Analysis). Journal of Clinical Medicine. 2025; 14(7):2302. https://doi.org/10.3390/jcm14072302
Chicago/Turabian StyleStanciu, Mihaela, Oana-Claudia Sima, Mihai Costachescu, Ana Valea, Claudiu Nistor, Alexandra-Ioana Trandafir, Denisa Tanasescu, Tiberiu Vasile Ioan Nistor, Mihai-Lucian Ciobica, and Mara Carsote. 2025. "Assessment of the 10-Year Probability of Fracture Using Femoral Neck (FRAX) and Lumbar BMD (FRAXplus) in Menopausal Women with Non-Functioning Adrenal Tumors: Where We Stand Today (A Study-Focused Analysis)" Journal of Clinical Medicine 14, no. 7: 2302. https://doi.org/10.3390/jcm14072302
APA StyleStanciu, M., Sima, O.-C., Costachescu, M., Valea, A., Nistor, C., Trandafir, A.-I., Tanasescu, D., Nistor, T. V. I., Ciobica, M.-L., & Carsote, M. (2025). Assessment of the 10-Year Probability of Fracture Using Femoral Neck (FRAX) and Lumbar BMD (FRAXplus) in Menopausal Women with Non-Functioning Adrenal Tumors: Where We Stand Today (A Study-Focused Analysis). Journal of Clinical Medicine, 14(7), 2302. https://doi.org/10.3390/jcm14072302

