Prevalence of Depression, Anxiety and Post-Traumatic Stress Disorder (PTSD) After Acute Myocardial Infarction: A Systematic Review and Meta-Analysis †
Abstract
1. Introduction
2. Methods
2.1. Ethics Approval
2.2. Patient and Public Involvement
2.3. Search Strategy
2.4. Study Selection
2.5. Data Collection
2.6. Assessment of Depression, Anxiety, and PTSD
2.7. Quality Assessment of Studies
2.8. Statistical Analysis
3. Results
3.1. Pooled Prevalence of Post-AMI Depression
3.2. Meta-Regression and Subgroup Analysis of Prevalence of Depression
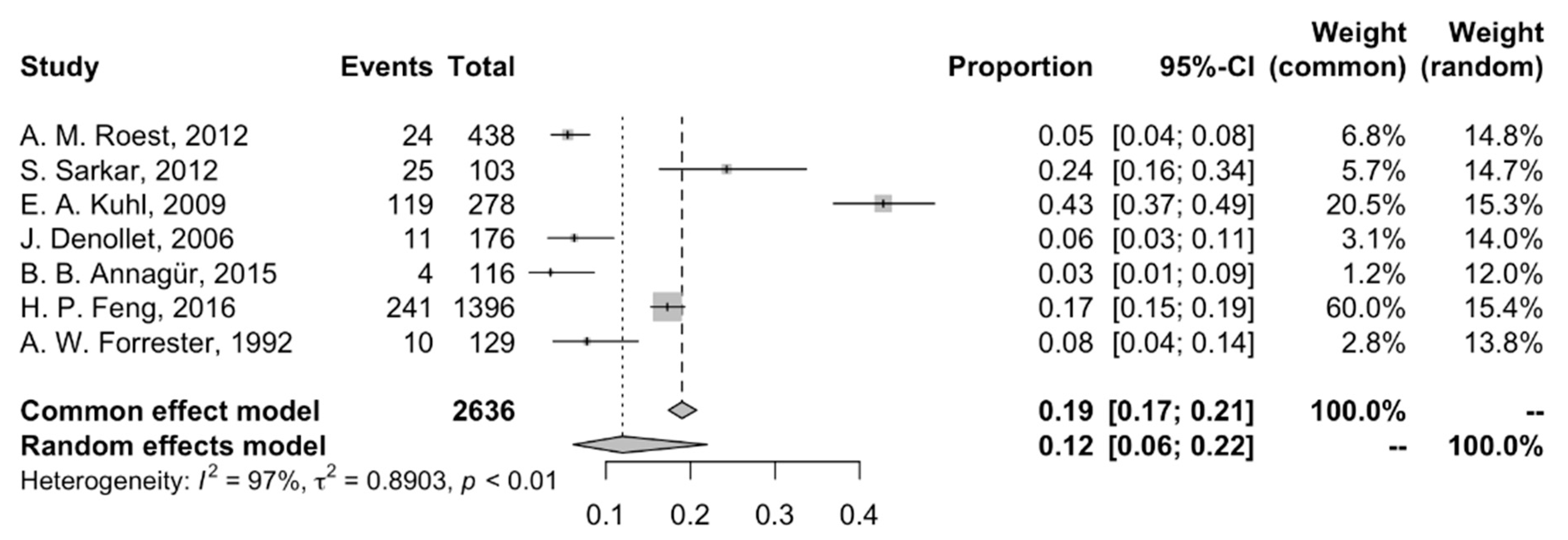
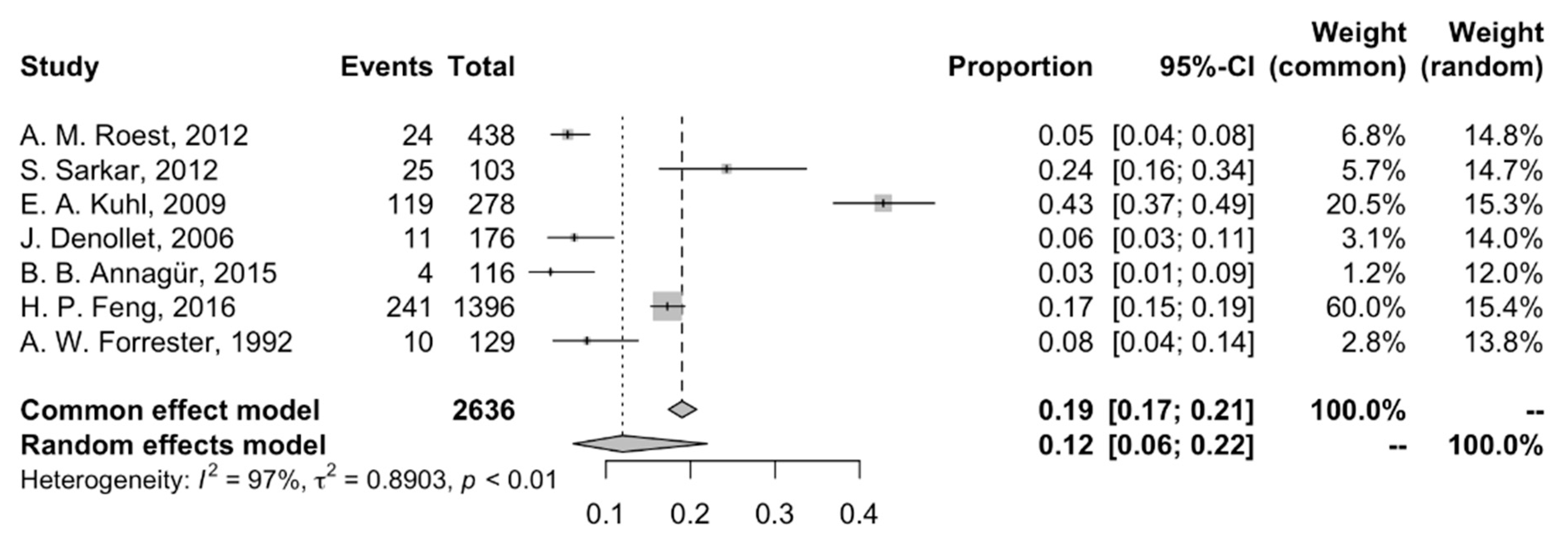
3.3. Prevalence of Anxiety Among Patients with MI
3.4. Pooled Prevalence of PTSD Among Patients with MI
3.5. Sensitivity Analysis and Publication Bias
4. Discussion
5. Strengths and Limitations
6. Future Extension
7. Conclusions
Supplementary Materials
Author Contributions
Funding
Institutional Review Board Statement
Informed Consent Statement
Data Availability Statement
Conflicts of Interest
References
- World Health Organisation. Cardiovascular Diseases (CVDs): World Health Organisation. 2021. Available online: https://www.who.int/news-room/fact-sheets/detail/cardiovascular-diseases-(cvds) (accessed on 15 January 2024).
- Laforgia, P.L.; Auguadro, C.; Bronzato, S.; Durante, A. The Reduction of Mortality in Acute Myocardial Infarction: From Bed Rest to Future Directions. Int. J. Prev. Med. 2022, 13, 56. [Google Scholar] [CrossRef]
- Forslund, T.; Kosidou, K.; Wicks, S.; Dalman, C. Trends in psychiatric diagnoses, medications and psychological therapies in a large Swedish region: A population-based study. BMC Psychiatry 2020, 20, 328. [Google Scholar] [CrossRef]
- Reese, R.L.; Freedland, K.E.; Steinmeyer, B.C.; Rich, M.W.; Rackley, J.W.; Carney, R.M. Depression and rehospitalization following acute myocardial infarction. Circ. Cardiovasc. Qual. Outcomes 2011, 4, 626–633. [Google Scholar] [CrossRef]
- Meijer, A.; Conradi, H.J.; Bos, E.H.; Thombs, B.D.; van Melle, J.P.; de Jonge, P. Prognostic association of depression following myocardial infarction with mortality and cardiovascular events: A meta-analysis of 25 years of research. Gen. Hosp. Psychiatry 2011, 33, 203–216. [Google Scholar] [CrossRef] [PubMed]
- Gander, M.L.; von Kanel, R. Myocardial infarction and post-traumatic stress disorder: Frequency, outcome, and atherosclerotic mechanisms. Eur. J. Cardiovasc. Prev. Rehabil. 2006, 13, 165–172. [Google Scholar] [CrossRef]
- Wen, Y.; Yang, Y.; Shen, J.; Luo, S. Anxiety and prognosis of patients with myocardial infarction: A meta-analysis. Clin. Cardiol. 2021, 44, 761–770. [Google Scholar] [CrossRef]
- Feng, L.; Li, L.; Liu, W.; Yang, J.; Wang, Q.; Shi, L.; Luo, M. Prevalence of depression in myocardial infarction: A PRISMA-compliant meta-analysis. Medicine 2019, 98, e14596. [Google Scholar] [CrossRef]
- Page, M.J.; McKenzie, J.E.; Bossuyt, P.M.; Boutron, I.; Hoffmann, T.C.; Mulrow, C.D.; Shamseer, L.; Tetzlaff, J.M.; Akl, E.A.; Brennan, S.E.; et al. The PRISMA 2020 statement: An updated guideline for reporting systematic reviews. BMJ 2021, 372, n71. [Google Scholar] [CrossRef]
- Davison, T.E.; McCabe, M.P.; Mellor, D. An examination of the “gold standard” diagnosis of major depression in aged-care settings. Am. J. Geriatr. Psychiatry 2009, 17, 359–367. [Google Scholar] [CrossRef]
- Pequeno, N.P.F.; Cabral, N.L.d.A.; Marchioni, D.M.; Lima, S.C.V.C.; Lyra, C.d.O. Quality of life assessment instruments for adults: A systematic review of population-based studies. Health Qual. Life Outcomes 2020, 18, 208. [Google Scholar] [CrossRef]
- Thombs, B.D.; Bass, E.B.; Ford, D.E.; Stewart, K.J.; Tsilidis, K.K.; Patel, U.; Fauerbach, J.A.; Bus, D.E.; Ziegelstein, R.C. Prevalence of depression in survivors of acute myocardial infarction. J. Gen. Intern. Med. 2006, 21, 30–38. [Google Scholar] [CrossRef] [PubMed]
- Schleifer, S.J.; Macari-Hinson, M.M. The nature and course of depression following myocardial infarction. Arch. Intern. Med. 1989, 149, 1785–1789. [Google Scholar] [CrossRef]
- Forrester, A.W.; Lipsey, J.R.; Teitelbaum, M.L.; DePaulo, J.R.; Andrzejewski, P.L. Depression following myocardial infarction. Int. J. Psychiatry Med. 1992, 22, 33–46. [Google Scholar] [CrossRef] [PubMed]
- Lesperance, F.; Frasure-Smith, N.; Talajic, M. Major depression before and after myocardial infarction: Its nature and consequences. Psychosom. Med. 1996, 58, 99–110. [Google Scholar] [CrossRef]
- Romanelli, J.; Fauerbach, J.A.; Bush, D.E.; Ziegelstein, R.C. The significance of depression in older patients after myocardial infarction. J. Am. Geriatr. Soc. 2002, 50, 817–822. [Google Scholar] [CrossRef] [PubMed]
- Watkins, L.L.; Schneiderman, N.; Blumenthal, J.A.; Sheps, D.S.; Catellier, D.; Taylor, C.B.; Freedland, K.E.; ENRICHD Investigators. Cognitive and somatic symptoms of depression are associated with medical comorbidity in patients after acute myocardial infarction. Am. Heart J. 2003, 146, 48–54. [Google Scholar] [CrossRef]
- Aben, I.; Verhey, F.; Strik, J.; Lousberg, R.; Lodder, J.; Honig, A. A comparative study into the one year cumulative incidence of depression after stroke and myocardial infarction. J. Neurol. Neurosurg. Psychiatry 2003, 74, 581–585. [Google Scholar] [CrossRef][Green Version]
- Strik, J.J.; Lousberg, R.; Cheriex, E.C.; Honig, A. One year cumulative incidence of depression following myocardial infarction and impact on cardiac outcome. J. Psychosom. Res. 2004, 56, 59–66. [Google Scholar] [CrossRef]
- Lesperance, F.; Frasure-Smith, N.; Theroux, P.; Irwin, M. The association between major depression and levels of soluble intercellular adhesion molecule 1, interleukin-6, and C-reactive protein in patients with recent acute coronary syndromes. Am. J. Psychiatry 2004, 161, 271–277. [Google Scholar] [CrossRef]
- Powell, L.H.; Catellier, D.; Freedland, K.E.; Burg, M.M.; Woods, S.L.; Bittner, V.; Calvin, J.E.; Blumenthal, J.A.; for the ENRICHD Investigators. Depression and heart failure in patients with a new myocardial infarction. Am. Heart J. 2005, 149, 851–855. [Google Scholar] [CrossRef]
- Spijkerman, T.; de Jonge, P.; Brink, R.H.v.D.; Jansen, J.H.; May, J.F.; Crijns, H.J.; Ormel, J. Depression following myocardial infarction: First-ever versus ongoing and recurrent episodes. Gen. Hosp. Psychiatry 2005, 27, 411–417. [Google Scholar] [CrossRef] [PubMed]
- Denollet, J.; Strik, J.J.; Lousberg, R.; Honig, A. Recognizing increased risk of depressive comorbidity after myocardial infarction: Looking for 4 symptoms of anxiety-depression. Psychother Psychosom 2006, 75, 346–352. [Google Scholar] [CrossRef] [PubMed]
- van Melle, J.P.; de Jonge, P.; Honig, A.; Schene, A.H.; Kuyper, A.M.G.; Crijns, H.J.G.M.; Schins, A.; Tulner, D.; van den Berg, M.P.; Ormel, J. Effects of antidepressant treatment following myocardial infarction. Br. J. Psychiatry 2007, 190, 460–466. [Google Scholar] [CrossRef] [PubMed]
- Parakh, K.; Thombs, B.D.; Fauerbach, J.A.; Bush, D.E.; Ziegelstein, R.C. Effect of depression on late (8 years) mortality after myocardial infarction. Am. J. Cardiol. 2008, 101, 602–606. [Google Scholar] [CrossRef]
- Kuhl, E.A.; Fauerbach, J.A.; Bush, D.E.; Ziegelstein, R.C. Relation of anxiety and adherence to risk-reducing recommendations following myocardial infarction. Am. J. Cardiol. 2009, 103, 1629–1634. [Google Scholar] [CrossRef]
- Agarwal, M.; Trivedi, J.K.; Sinh, P.K.; Dalal, P.K.; Saran, R.K. Depression in patients of myocardial infarction--a cross-sectional study in northern India. J. Assoc. Physicians India 2011, 59, 636–638. [Google Scholar]
- Sarkar, S.; Chadda, R.K.; Kumar, N.; Narang, R. Anxiety and depression in patients with myocardial infarction: Findings from a centre in India. Gen. Hosp. Psychiatry 2012, 34, 160–166. [Google Scholar] [CrossRef]
- Roest, A.M.; Zuidersma, M.; de Jonge, P. Myocardial infarction and generalised anxiety disorder: 10-year follow-up. Br. J. Psychiatry 2012, 200, 324–329. [Google Scholar] [CrossRef]
- Annagur, B.B.; Avci, A.; Demir, K.; Uygur, O.F. Is there any difference between the early age myocardial infarction and late age myocardial infarction in terms of psychiatric morbidity in patients who have survived acute myocardial infarction? Compr Psychiatry 2015, 57, 10–15. [Google Scholar] [CrossRef]
- Feng, H.P.; Chien, W.C.; Cheng, W.T.; Chung, C.H.; Cheng, S.M.; Tzeng, W.C. Risk of anxiety and depressive disorders in patients with myocardial infarction: A nationwide population-based cohort study. Medicine 2016, 95, e4464. [Google Scholar] [CrossRef]
- Davies, M.R.; Buckman, J.E.J.; Adey, B.N.; Armour, C.; Bradley, J.R.; Curzons, S.C.B.; Davies, H.L.; Davis, K.A.S.; Goldsmith, K.A.; Hirsch, C.R.; et al. Comparison of symptom-based versus self-reported diagnostic measures of anxiety and depression disorders in the GLAD and COPING cohorts. J. Anxiety Disord. 2022, 85, 102491. [Google Scholar] [CrossRef] [PubMed]
- Baranyi, A.; Enko, D.; von Lewinski, D.; Rothenhausler, H.B.; Amouzadeh-Ghadikolai, O.; Harpf, H.; Harpf, L.; Traninger, H.; Obermayer-Pietsch, B.; Schweinzer, M.; et al. Assessment of trimethylamine N-oxide (TMAO) as a potential biomarker of severe stress in patients vulnerable to posttraumatic stress disorder (PTSD) after acute myocardial infarction. Eur. J. Psychotraumatol. 2021, 12, 1920201. [Google Scholar] [CrossRef] [PubMed]
- Edmondson, D.; Shaffer, J.A.; Denton, E.G.; Shimbo, D.; Clemow, L. Posttraumatic stress and myocardial infarction risk perceptions in hospitalized acute coronary syndrome patients. Front. Psychol. 2012, 3, 144. [Google Scholar] [CrossRef][Green Version]
- Schleifer, S.J.; Slater, W.R.; Macari-Hinson, M.M.; Coyle, D.A.; Kahn, M.; Zucker, H.D.; Gorlin, R. Digitalis and beta-blocking agents: Effects on depression following myocardial infarction. Am. Heart J. 1991, 121, 1397–1402. [Google Scholar] [CrossRef]
- Lauzon, C.; Beck, C.A.; Huynh, T.; Dion, D.; Racine, N.; Carignan, S.; Diodati, J.G.; Charbonneau, F.; Dupuis, R.; Pilote, L. Depression and prognosis following hospital admission because of acute myocardial infarction. CMAJ 2003, 168, 547–552. [Google Scholar]
- Davis, T.; Jensen, L. Identifying depression in medical patients. Image J. Nurs. Sch. 1988, 20, 191–195. [Google Scholar] [CrossRef]
- Aw, P.Y.; Pang, X.Z.; Wee, C.F.; Tan, N.H.W.; Peck, E.-W.; Teo, Y.N.; Syn, N.L.; Chan, M.Y.; Tan, B.Y.; Chan, K.A.; et al. Co-prevalence and incidence of myocardial infarction and/or stroke in patients with depression and/or anxiety: A systematic review and meta-analysis. J. Psychosom. Res. 2023, 165, 111141. [Google Scholar] [CrossRef]
- Wilkowska, A.; Rynkiewicz, A.; Wdowczyk, J.; Landowski, J. Morning and afternoon serum cortisol level in patients with post-myocardial infarction depression. Cardiol. J. 2019, 26, 550–554. [Google Scholar] [CrossRef] [PubMed]
- Garrels, E.; Kainth, T.; Silva, B.; Yadav, G.; Gill, G.; Salehi, M.; Gunturu, S. Pathophysiological mechanisms of post-myocardial infarction depression: A narrative review. Front. Psychiatry 2023, 14, 1225794. [Google Scholar] [CrossRef]
- Thong, E.H.E.; Quek, E.J.W.; Loo, J.H.; Yun, C.-Y.; Teo, Y.N.; Teo, Y.H.; Leow, A.S.T.; Li, T.Y.W.; Sharma, V.K.; Tan, B.Y.Q.; et al. Acute Myocardial Infarction and Risk of Cognitive Impairment and Dementia: A Review. Biology 2023, 12, 1154. [Google Scholar] [CrossRef]
- Fioranelli, M.; Roccia, M.G.; Przybylek, B.; Garo, M.L. The Role of Brain-Derived Neurotrophic Factor (BDNF) in Depression and Cardiovascular Disease: A Systematic Review. Life 2023, 13, 1967. [Google Scholar] [CrossRef]
- Poynter, B.; Shuman, M.; Diaz-Granados, N.; Kapral, M.; Grace, S.L.; Stewart, D.E. Sex differences in the prevalence of post-stroke depression: A systematic review. Psychosomatics 2009, 50, 563–569. [Google Scholar] [CrossRef] [PubMed]
- Naqvi, T.Z.; Naqvi, S.S.; Merz, C.N. Gender differences in the link between depression and cardiovascular disease. Psychosom. Med. 2005, 67 (Suppl. 1), S15–S18. [Google Scholar] [CrossRef] [PubMed]
- Nolen-Hoeksema, S.; Larson, J.; Grayson, C. Explaining the gender difference in depressive symptoms. J. Pers. Soc. Psychol. 1999, 77, 1061–1072. [Google Scholar] [CrossRef] [PubMed]
- Mallik, S.; Spertus, J.A.; Reid, K.J.; Krumholz, H.M.; Rumsfeld, J.S.; Weintraub, W.S.; Agarwal, P.; Santra, M.; Bidyasar, S.; Lichtman, J.H.; et al. Depressive symptoms after acute myocardial infarction: Evidence for highest rates in younger women. Arch. Intern. Med. 2006, 166, 876–883. [Google Scholar] [CrossRef]
- De Hert, M.; Detraux, J.; Vancampfort, D. The intriguing relationship between coronary heart disease and mental disorders. Dialogues Clin. Neurosci. 2018, 20, 31–40. [Google Scholar] [CrossRef]
- Angeli, F.; Ricci, F.; Moscucci, F.; Sciomer, S.; Bucciarelli, V.; Bianco, F.; Mattioli, A.V.; Pizzi, C.; Gallina, S. Sex- and gender-related disparities in chest pain syndromes: The feminine mystique of chest pain. Curr. Probl. Cardiol. 2024, 49, 102457. [Google Scholar] [CrossRef]
- Bădescu, S.V.; Tătaru, C.; Kobylinska, L.; Georgescu, E.L.; Zahiu, D.M.; Zăgrean, A.M.; Zăgrean, L. The association between Diabetes mellitus and Depression. J. Med. Life 2016, 9, 120–125. [Google Scholar]
- Chrousos, G.P. Stress and disorders of the stress system. Nat. Rev. Endocrinol. 2009, 5, 374–381. [Google Scholar] [CrossRef]
- Wu, Z.; Yue, Q.; Zhao, Z.; Wen, J.; Tang, L.; Zhong, Z.; Yang, J.; Yuan, Y.; Zhang, X. A cross-sectional study of smoking and depression among US adults: NHANES (2005–2018). Front. Public Health 2023, 11, 1081706. [Google Scholar] [CrossRef]
- Piirtola, M.; Kaprio, J.; Baker, T.B.; Piasecki, T.M.; Piper, M.E.; Korhonen, T. The associations of smoking dependence motives with depression among daily smokers. Addiction 2021, 116, 2162–2174. [Google Scholar] [CrossRef] [PubMed]
- Ziegelstein, R.C.; Fauerbach, J.A.; Stevens, S.S.; Romanelli, J.; Richter, D.P.; Bush, D.E. Patients with depression are less likely to follow recommendations to reduce cardiac risk during recovery from a myocardial infarction. Arch. Intern. Med. 2000, 160, 1818–1823. [Google Scholar] [CrossRef] [PubMed]
- Murphy, B.; Le Grande, M.; Alvarenga, M.; Worcester, M.; Jackson, A. Anxiety and Depression After a Cardiac Event: Prevalence and Predictors. Front. Psychol. 2019, 10, 3010. [Google Scholar] [CrossRef]
- Berkman, L.F.; Blumenthal, J.; Burg, M.; Carney, R.M.; Catellier, D.; Cowan, M.J.; Czajkowski, S.M.; DeBusk, R.; Hosking, J.; Jaffe, A.; et al. Effects of treating depression and low perceived social support on clinical events after myocardial infarction: The Enhancing Recovery in Coronary Heart Disease Patients (ENRICHD) Randomized Trial. JAMA 2003, 289, 3106–3116. [Google Scholar] [PubMed]
- Jacquet-Smailovic, M.; Tarquinio, C.; Alla, F.; Denis, I.; Kirche, A.; Tarquinio, C.; Brennstuhl, M. Posttraumatic Stress Disorder Following Myocardial Infarction: A Systematic Review. J. Trauma. Stress. 2021, 34, 190–199. [Google Scholar] [CrossRef]
- Bush, D.E.; Ziegelstein, R.C.; Tayback, M.; Richter, D.; Stevens, S.; Zahalsky, H.; Fauerbach, A.J. Even minimal symptoms of depression increase mortality risk after acute myocardial infarction. Am. J. Cardiol. 2001, 88, 337–341. [Google Scholar] [CrossRef]
- Sreenivasan, J.; Kaul, R.; Khan, M.S.; Malik, A.; Usman, M.S.; Michos, E.D. Mental health disorders and readmissions following acute myocardial infarction in the United States. Sci. Rep. 2022, 12, 3327. [Google Scholar] [CrossRef]
- Sun, W.; Gholizadeh, L.; Perry, L.; Kang, K. Predicting Return to Work Following Myocardial Infarction: A Prospective Longitudinal Cohort Study. Int. J. Environ. Res. Public Health 2022, 19, 8032. [Google Scholar] [CrossRef]
- Virani, S.S.; Newby, L.K.; Arnold, S.V.; Bittner, V.; Brewer, L.C.; Demeter, S.H.; Dixon, D.L.; Fearon, W.F.; Hess, B.; Johnson, H.M.; et al. 2023 AHA/ACC/ACCP/ASPC/NLA/PCNA Guideline for the Management of Patients With Chronic Coronary Disease: A Report of the American Heart Association/American College of Cardiology Joint Committee on Clinical Practice Guidelines. Circulation 2023, 148, e9–e119. [Google Scholar] [CrossRef]







Disclaimer/Publisher’s Note: The statements, opinions and data contained in all publications are solely those of the individual author(s) and contributor(s) and not of MDPI and/or the editor(s). MDPI and/or the editor(s) disclaim responsibility for any injury to people or property resulting from any ideas, methods, instructions or products referred to in the content. |
© 2025 by the authors. Licensee MDPI, Basel, Switzerland. This article is an open access article distributed under the terms and conditions of the Creative Commons Attribution (CC BY) license (https://creativecommons.org/licenses/by/4.0/).
Share and Cite
Chong, R.J.; Hao, Y.; Tan, E.W.Q.; Mok, G.J.L.; Sia, C.-H.; Ho, J.S.Y.; Chan, M.Y.Y.; Ho, A.F.W. Prevalence of Depression, Anxiety and Post-Traumatic Stress Disorder (PTSD) After Acute Myocardial Infarction: A Systematic Review and Meta-Analysis. J. Clin. Med. 2025, 14, 1786. https://doi.org/10.3390/jcm14061786
Chong RJ, Hao Y, Tan EWQ, Mok GJL, Sia C-H, Ho JSY, Chan MYY, Ho AFW. Prevalence of Depression, Anxiety and Post-Traumatic Stress Disorder (PTSD) After Acute Myocardial Infarction: A Systematic Review and Meta-Analysis. Journal of Clinical Medicine. 2025; 14(6):1786. https://doi.org/10.3390/jcm14061786
Chicago/Turabian StyleChong, Ray Junrui, Yunrui Hao, Emily Wei Qi Tan, Grace Jing Le Mok, Ching-Hui Sia, Jamie Sin Ying Ho, Mark Yan Yee Chan, and Andrew Fu Wah Ho. 2025. "Prevalence of Depression, Anxiety and Post-Traumatic Stress Disorder (PTSD) After Acute Myocardial Infarction: A Systematic Review and Meta-Analysis" Journal of Clinical Medicine 14, no. 6: 1786. https://doi.org/10.3390/jcm14061786
APA StyleChong, R. J., Hao, Y., Tan, E. W. Q., Mok, G. J. L., Sia, C.-H., Ho, J. S. Y., Chan, M. Y. Y., & Ho, A. F. W. (2025). Prevalence of Depression, Anxiety and Post-Traumatic Stress Disorder (PTSD) After Acute Myocardial Infarction: A Systematic Review and Meta-Analysis. Journal of Clinical Medicine, 14(6), 1786. https://doi.org/10.3390/jcm14061786

