Medium-Term Effect of Inhaled Nitric Oxide in Mechanically Ventilated COVID-19 Patients
Abstract
1. Introduction
2. Materials and Methods
2.1. Study Design
2.2. Study Population and Data Collection
2.3. Mechanical Ventilation and iNO
2.4. Statistical Analysis
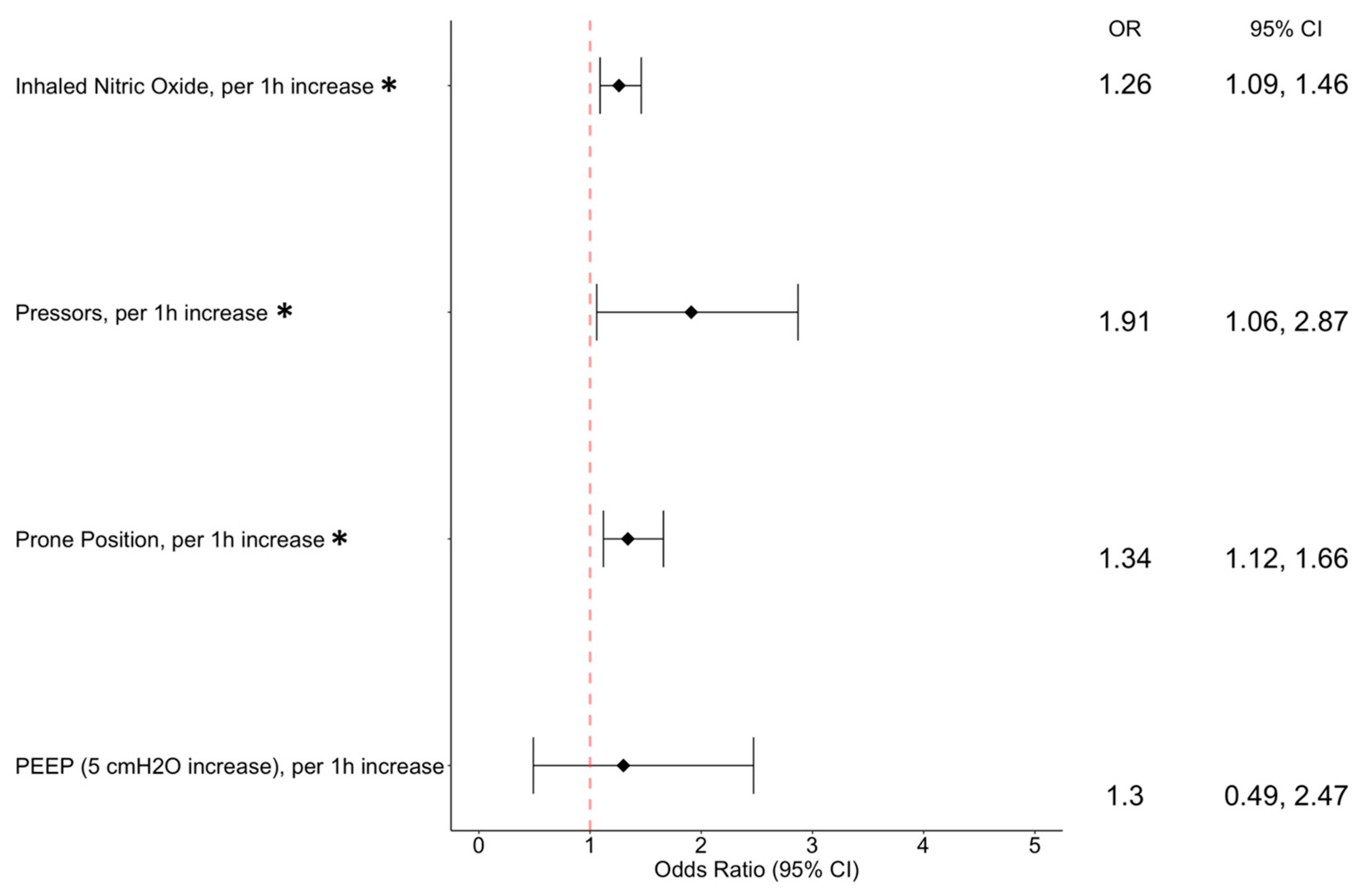
3. Results
4. Discussion
5. Conclusions
Supplementary Materials
Author Contributions
Funding
Institutional Review Board Statement
Informed Consent Statement
Data Availability Statement
Conflicts of Interest
References
- Masood, M.; Singh, P.; Hariss, D.; Khan, F.; Yameen, D.; Siraj, S.; Islam, A.; Dohare, R.; Mahfuzul Haque, M. Nitric Oxide as a Double-Edged Sword in Pulmonary Viral Infections: Mechanistic Insights and Potential Therapeutic Implications. Gene 2024, 899, 148148. [Google Scholar] [CrossRef] [PubMed]
- Rossaint, R.; Falke, K.J.; Lopez, F.; Slama, K.; Pison, U.; Zapol, W.M. Inhaled Nitric Oxide for the Adult Respiratory Distress Syndrome. N. Engl. J. Med. 1993, 328, 399–405. [Google Scholar] [CrossRef] [PubMed]
- Young, J.D.; Brampton, W.J.; Knighton, J.D.; Finfer, S.R. Inhaled Nitric Oxide in Acute Respiratory Failure in Adults. Br. J. Anaesth. 1994, 73, 499–502. [Google Scholar] [CrossRef]
- Dellinger, R.P.; Zimmerman, J.L.; Taylor, R.W.; Straube, R.C.; Hauser, D.L.; Criner, G.J.; Davis, K.; Hyers, T.M.; Papadakos, P. Effects of Inhaled Nitric Oxide in Patients with Acute Respiratory Distress Syndrome. Crit. Care Med. 1998, 26, 15–23. [Google Scholar] [CrossRef]
- Lundin, S.; Mang, H.; Smithies, M.; Stenqvist, O.; Frostell, C. Inhalation of Nitric Oxide in Acute Lung Injury: Results of a European Multicentre Study. Intensive Care Med. 1999, 25, 911–919. [Google Scholar] [CrossRef]
- Taylor, R.W.; Zimmerman, J.L.; Dellinger, R.P.; Straube, R.C.; Criner, G.J.; Davis, K.; Kelly, K.M.; Smith, T.C.; Small, R.J. Low-Dose Inhaled Nitric Oxide in Patients. J. Am. Med. Assoc. 2004, 291, 1603–1609. [Google Scholar] [CrossRef]
- Afshari, A.; Brok, J.; Møller, A.M.; Wetterslev, J. Inhaled Nitric Oxide for Acute Respiratory Distress Syndrome (ARDS) and Acute Lung Injury in Children and Adults. In Cochrane Database of Systematic Reviews; Afshari, A., Ed.; John Wiley & Sons, Ltd.: Chichester, UK, 2010. [Google Scholar]
- Adhikari, N.K.J.; Dellinger, R.P.; Lundin, S.; Payen, D.; Vallet, B.; Gerlach, H.; Park, K.J.; Mehta, S.; Slutsky, A.S.; Friedrich, J.O. Inhaled Nitric Oxide Does Not Reduce Mortality in Patients With Acute Respiratory Distress Syndrome Regardless of Severity. Crit. Care Med. 2014, 42, 404–412. [Google Scholar] [CrossRef]
- Gebistorf, F.; Karam, O.; Wetterslev, J.; Afshari, A. Inhaled Nitric Oxide for Acute Respiratory Distress Syndrome (ARDS) in Children and Adults. Cochrane Database Syst. Rev. 2016, 2016, CD002787. [Google Scholar] [CrossRef]
- Robba, C.; Ball, L.; Battaglini, D.; Cardim, D.; Moncalvo, E.; Brunetti, I.; Bassetti, M.; Giacobbe, D.R.; Vena, A.; Patroniti, N.; et al. Early Effects of Ventilatory Rescue Therapies on Systemic and Cerebral Oxygenation in Mechanically Ventilated COVID-19 Patients with Acute Respiratory Distress Syndrome: A Prospective Observational Study. Crit. Care 2021, 25, 1–13. [Google Scholar] [CrossRef]
- Wang, Y.; Yu, Q.; Tian, Y.; Ren, S.; Liu, L.; Wei, C.; Liu, R.; Wang, J.; Li, D.; Zhu, K. Unraveling the Impact of Nitric Oxide, Almitrine, and Their Combination in COVID-19 (at the Edge of Sepsis) Patients: A Systematic Review. Front. Pharmacol. 2023, 14, 1172447. [Google Scholar] [CrossRef]
- Alqahtani, J.S.; Aldhahir, A.M.; Al Ghamdi, S.S.; AlBahrani, S.; AlDraiwiesh, I.A.; Alqarni, A.A.; Latief, K.; Raya, R.P.; Oyelade, T. Inhaled Nitric Oxide for Clinical Management of COVID-19: A Systematic Review and Meta-Analysis. Int. J. Environ. Res. Public Health 2022, 19, 12803. [Google Scholar] [CrossRef] [PubMed]
- Di Fenza, R.; Shetty, N.S.; Gianni, S.; Parcha, V.; Giammatteo, V.; Safaee Fakhr, B.; Tornberg, D.; Wall, O.; Harbut, P.; Lai, P.S.; et al. High-Dose Inhaled Nitric Oxide in Acute Hypoxemic Respiratory Failure Due to COVID-19: A Multicenter Phase II Trial. Am. J. Respir. Crit. Care Med. 2023, 208, 1293–1304. [Google Scholar] [CrossRef] [PubMed]
- Mekontso Dessap, A.; Papazian, L.; Schaller, M.; Nseir, S.; Megarbane, B.; Haudebourg, L.; Timsit, J.F.; Teboul, J.L.; Kuteifan, K.; Gainnier, M.; et al. Inhaled Nitric Oxide in Patients with Acute Respiratory Distress Syndrome Caused by COVID-19: Treatment Modalities, Clinical Response, and Outcomes. Ann. Intensive Care 2023, 13, 57. [Google Scholar] [CrossRef] [PubMed]
- Stoll, S.E.; Böttiger, B.W.; Dusse, F.; Leister, N.; Leupold, T.; Menzel, C.; Overbeek, R.; Mathes, A. Impact of Inhaled Nitric Oxide (INO) on the Outcome of COVID-19 Associated ARDS. J. Clin. Med. 2024, 13, 5981. [Google Scholar] [CrossRef]
- Al Sulaiman, K.; Korayem, G.B.; Altebainawi, A.F.; Al Harbi, S.; Alissa, A.; Alharthi, A.; Kensara, R.; Alfahed, A.; Vishwakarma, R.; Al Haji, H.; et al. Evaluation of Inhaled Nitric Oxide (INO) Treatment for Moderate-to-Severe ARDS in Critically Ill Patients with COVID-19: A Multicenter Cohort Study. Crit. Care 2022, 26, 304. [Google Scholar] [CrossRef]
- Garfield, B.; McFadyen, C.; Briar, C.; Bleakley, C.; Vlachou, A.; Baldwin, M.; Lees, N.; Price, S.; Ledot, S.; McCabe, C.; et al. Potential for Personalised Application of Inhaled Nitric Oxide in COVID-19 Pneumonia. Br. J. Anaesth. 2021, 126, e72–e75. [Google Scholar] [CrossRef]
- Ranieri, V.M.; Rubenfeld, G.D.; Thompson, B.T.; Ferguson, N.D.; Caldwell, E.; Fan, E.; Camporota, L.; Slutsky, A.S. Acute Respiratory Distress Syndrome: The Berlin Definition. JAMA 2012, 307, 2526–2533. [Google Scholar] [CrossRef]
- Central Bureau of Statistics. Characterization and Classification of Geographical Units by the Socio-Economic Level of the Population 2021. 2024. Available online: https://www.cbs.gov.il/he/mediarelease/DocLib/2024/230/24_24_230b.pdf (accessed on 20 January 2025).
- Dellinger, R.P.; Zimmerman, J.L.; Hyers, T.M.; Taylor, R.W.; Straube, R.C.; Hauser, D.L. Inhaled nitric Oxide in ARDS: Preliminary Reults of a Multicenter Clinical Trial. Crit. Care Med. 1996, 24, A29. [Google Scholar]
- Manketlow, C.; Bigatello, L.M.; Hess, D.; Hurford, W.E. Physiologic Deteminants of the Response to Inhaled Nitric Oxide in Patients with Acute Respiratory Distress Syndrome. Anesthesiology 1997, 87, 297–307. [Google Scholar] [CrossRef]
- Lipes, J.; Bojmehrani, A.; Lellouche, F. Low Tidal Volume Ventilation in Patients without Acute Respiratory Distress Syndrome: A Paradigm Shift in Mechanical Ventilation. Crit. Care Res. Pract. 2012, 2012, 416862. [Google Scholar] [CrossRef]
- Tavazzi, G.; Pozzi, M.; Mongodi, S.; Dammassa, V.; Romito, G.; Mojoli, F. Correction to: Inhaled Nitric Oxide in Patients Admitted to Intensive Care Unit with COVID-19 Pneumonia. Crit. Care 2020, 24, 665. [Google Scholar] [CrossRef]
- Longobardo, A.; Montanari, C.; Shulman, R.; Benhalim, S.; Singer, M.; Arulkumaran, N. Inhaled Nitric Oxide Minimally Improves Oxygenation in COVID-19 Related Acute Respiratory Distress Syndrome. Br. J. Anaesth. 2021, 126, e44–e46. [Google Scholar] [CrossRef] [PubMed]
- Gerlach, H.; Keh, D.; Semmerow, A.; Busch, T.; Lewandowski, K.; Pappert, D.M.; Rossaint, R.; Falke, K.J. Dose-Response Characteristics during Long-Term Inhalation of Nitric Oxide in Patients with Severe Acute Respiratory Distress Syndrome: A Prospective, Randomized, Controlled Study. Am. J. Respir. Crit. Care Med. 2003, 167, 1008–1015. [Google Scholar] [CrossRef] [PubMed]
- Alhazzani, W.; Møller, M.H.; Arabi, Y.M.; Loeb, M.; Gong, M.N.; Fan, E.; Oczkowski, S.; Levy, M.M.; Derde, L.; Dzierba, A.; et al. Surviving Sepsis Campaign: Guidelines on the Management of Critically Ill Adults with Coronavirus Disease 2019 (COVID-19); Springer: Berlin/Heidelberg, Germany, 2020; Volume 46. [Google Scholar]
- Merdji, H.; Long, M.T.; Ostermann, M.; Herridge, M.; Myatra, S.N.; De Rosa, S.; Metaxa, V.; Kotfis, K.; Robba, C.; De Jong, A.; et al. Sex and Gender Differences in Intensive Care Medicine. Intensive Care Med. 2023, 49, 1155–1167. [Google Scholar] [CrossRef]
- Ueyama, H.; Kuno, T.; Takagi, H.; Krishnamoorthy, P.; Vengrenyuk, Y.; Sharma, S.K.; Kini, A.S.; Lerakis, S. Gender Difference Is Associated with Severity of Coronavirus Disease 2019 Infection: An Insight from a Meta-Analysis. Crit. Care Explor. 2020, 2, E0148. [Google Scholar] [CrossRef]



| Demographics | |
|---|---|
| Age, years (SD); [range] | 58.7 (15.2); [20.7–82.2] |
| Male gender, n (%) | 55 (63.2) |
| Jewish, n (%) | 55 (63.2) |
| Immigrants, n (%) | 31 (35.6) |
| BMI, kg/m2—mean (SD) | 33.8 (9.1) |
| CBS socio-economic index, mean (SD) | 4.6 (1.9) |
| Comorbidities | |
| Dyslipidemia, n (%) | 45 (51.7) |
| Diabetes mellitus, n (%) | 40 (46.0) |
| Atrial fibrillation, n (%) | 13 (14.9) |
| Chronic liver disease, n (%) | 12 (13.8) |
| Chronic kidney disease, n (%) | 12 (13.8) |
| Cerebrovascular disease, n (%) | 7 (8.0) |
| Obstructive lung disease, n (%) | 7 (8.0) |
| Malignant disease, n (%) | 6 (6.9) |
| Pulmonary hypertension, n (%) | 5 (5.7) |
| Organ transplant, n (%) | 4 (4.6) |
| Peripheral vascular disease, n (%) | 2 (2.3) |
| AIDS, n (%) | 2 (2.3) |
| Chronic corticosteroid use, n (%) | 1 (1.1) |
| Variable | |
|---|---|
| Prone position, n (%) | 50 (57.5) |
| Vasopressors, n (%) | 82 (94.3) |
| ECMO, n (%) | 13 (14.9) |
| Ventilation Characteristics | |
| Ventilation time, days—mean (SD) | 7.8 (8.7) |
| PEEP, cmH2O—mean (SD) | 14.4 (7.8) |
| Max peak pressure, cmH2O—mean (SD) | 30.6 (10.7) |
| Respiratory Rate, Insp/min—mean (SD) | 27.2 (8.0) |
| Tidal volume, mL—mean (SD) | 512 (99.0) |
| FiO2, %—mean (SD) | 98.7 (4.8) |
| Ventilation Type † | |
| PCV, n (%) | 18 (41.9) |
| (S)CMV+, n (%) | 12 (27.9) |
| PSV, n (%) | 7 (16.3) |
| ASV, n (%) | 4 (9.3) |
| V/C, n (%) | 2 (4.6) |
| Variable | |
|---|---|
| Time from admission to iNO use, days—mean (SD) | 9.9 (9.7) |
| Time from ICU admission to iNO use, days—mean (SD) | 6.2 (9.0) |
| Time from COVID-19 diagnosis to iNO use, days—mean (SD) | 10.4 (11.4) |
| Dose, ppm—mean (SD) | 17.8 (9.2) |
| Number of iNO administrations per patient—mean (SD) | 1.9 (1.4) |
| Duration per administration, days—mean (SD) | 8.6 (8.7) |
| Time between administrations, days—mean (SD) | 4.3 (8.7) |
| Total duration of iNO use, days—mean (SD) | 16.2 (8.9) |
| Variable | Before iNO | Over 1 h | Over 3 h | Over 6 h | Over 12 h | Over 24 h |
|---|---|---|---|---|---|---|
| PaO2/FiO2, mmHg, | 93.2 | 98.3 | 105 | 107 | 118 | 119 |
| mean (SD) | (52.3) | (76.5) | (59.3) | (58.9) | (68.8) | (61.9) |
| PaO2/FiO2 improvement *, | 11 | 13 | 29 | 48 | 74 | |
| events (% all connections) | (6.7) | (7.9) | (17.7) | (29.2) | (45.1) | |
| SaO2, | 90.0 | 96.2 | 96.4 | 97.9 | 98.2 | 98.9 |
| %, mean (SD) | (8.4) | (4.8) | (4.5) | (3.4) | (4.0) | (3.6) |
| A-a gradient, | 549 | 540 | 535 | 518 | 502 | 488 |
| mmHg, mean (SD) | (79.4) | (53.2) | (79.7) | (98.9) | (102) | (98.9) |
| Peak flow, | 34.9 | 35.8 | 36.0 | 36.7 | 37.4 | 38.2 |
| l/min, mean (SD) | (17.5) | (17.4) | (17.6) | (17.4) | (17.2) | (17.1) |
| Plateau pressure †, | 40.7 | 38.4 | 37.5 | 36.4 | 35.7 | 34.5 |
| cmH2O, mean (SD) | (4.0) | (7.3) | (4.2) | (5.3) | (3.8) | (5.5) |
| End tidal CO2, | 31.6 | 38.3 | 39.5 | 39.9 | 40.2 | 43.0 |
| mmHg, mean (SD) | (14.2) | (16.7) | (14.9) | (16.4) | (15.8) | (15.5) |
| pH blood, | 7.28 | 7.30 | 7.31 | 7.34 | 7.36 | 7.40 |
| mean (SD) | (0.1) | (0.1) | (0.1) | (0.1) | (0.1) | (0.1) |
| PCO2, | 65.3 | 64.1 | 62.4 | 61.8 | 57.6 | 56.9 |
| mmHg, mean (SD) | (19.7) | (21.4) | (20.6) | (19.1) | (20.0) | (17.4) |
| HCO3, | 31.3 | 29.8 | 29.0 | 27.2 | 26.9 | 26.4 |
| mEq/L, mean (SD) | (6.5) | (6.9) | (6.7) | (6.3) | (6.0) | (6.9) |
| Base excess, | 7.7 | 6.0 | 4.4 | 3.1 | 2.8 | 1.7 |
| mEq/L, mean (SD) | (8.0) | (8.8) | (8.4) | (7.8) | (7.7) | (6.2) |
| Lactate, | 2.7 | 2.6 | 2.4 | 2.4 | 2.3 | 2.0 |
| mmol/L, mean (SD) | (3.1) | (2.9) | (2.1) | (1.9) | (2.1) | (1.6) |
| Subgroup | Adjusted OR (95% CI) |
|---|---|
| Dyslipidemia | 1.21 (1.05–1.38) |
| Diabetes Mellitus | 1.05 (1.00–1.13) |
| Atrial Fibrillation | 1.07 (0.95–1.18) |
| Chronic Liver Disease | 1.28 (1.12–1.40) |
| Chronic Kidney Disease | 1.03 (0.95–1.08) |
| Cerebrovascular Disease | 1.05 (0.88–1.35) |
| Obstructive Lung Disease | 1.10 (0.95–1.28) |
| Malignant Disease | 1.20 (1.03–1.40) |
| Pulmonary Hypertension | 1.32 (1.20–1.53) |
| Dyslipidemia | 1.21 (1.05–1.38) |
| BMI < 25 kg/m2 | 1.10 (0.95–1.28) |
| BMI ≥ 30 kg/m2 | 1.28 (1.05–1.41) |
Disclaimer/Publisher’s Note: The statements, opinions and data contained in all publications are solely those of the individual author(s) and contributor(s) and not of MDPI and/or the editor(s). MDPI and/or the editor(s) disclaim responsibility for any injury to people or property resulting from any ideas, methods, instructions or products referred to in the content. |
© 2025 by the authors. Licensee MDPI, Basel, Switzerland. This article is an open access article distributed under the terms and conditions of the Creative Commons Attribution (CC BY) license (https://creativecommons.org/licenses/by/4.0/).
Share and Cite
Freidkin, L.; Garsiel Katz, T.; Peles, I.; Ben Shitrit, I.; Abayev, M.; Almog, Y.; Galante, O.; Fuchs, L. Medium-Term Effect of Inhaled Nitric Oxide in Mechanically Ventilated COVID-19 Patients. J. Clin. Med. 2025, 14, 806. https://doi.org/10.3390/jcm14030806
Freidkin L, Garsiel Katz T, Peles I, Ben Shitrit I, Abayev M, Almog Y, Galante O, Fuchs L. Medium-Term Effect of Inhaled Nitric Oxide in Mechanically Ventilated COVID-19 Patients. Journal of Clinical Medicine. 2025; 14(3):806. https://doi.org/10.3390/jcm14030806
Chicago/Turabian StyleFreidkin, Lev, Tamar Garsiel Katz, Ido Peles, Itamar Ben Shitrit, Marya Abayev, Yaniv Almog, Ori Galante, and Lior Fuchs. 2025. "Medium-Term Effect of Inhaled Nitric Oxide in Mechanically Ventilated COVID-19 Patients" Journal of Clinical Medicine 14, no. 3: 806. https://doi.org/10.3390/jcm14030806
APA StyleFreidkin, L., Garsiel Katz, T., Peles, I., Ben Shitrit, I., Abayev, M., Almog, Y., Galante, O., & Fuchs, L. (2025). Medium-Term Effect of Inhaled Nitric Oxide in Mechanically Ventilated COVID-19 Patients. Journal of Clinical Medicine, 14(3), 806. https://doi.org/10.3390/jcm14030806

