A Real-Life Study in Sequential Therapy for Severe Menopausal Osteoporosis
Abstract
1. Introduction
- TPT candidates had a more severe fracture risk profile versus those who were referred at the same hospitals for osteoporosis management and did not fulfil the TPT criteria according to the national protocol of TPT initiation.
- Patients treated with TPT improved their DXA profile after finishing 24 months of exposure.
- After another year of therapy since the last TPT injection was administered (sequence in anti-osteoporosis approach) while the patients were under anti-resorptive drugs, the improved bone profile and fracture risk at the end of the TPT protocol were conserved.
- The mineral metabolism assays and fracture risk status were similar at TPT initiation between those who actually finished the 24-month protocol and those who prematurely stopped it.
2. Material and Methods
2.1. Study Design
2.2. Studied Population and Protocol
2.3. Statistical Analysis
2.4. Ethical Aspects
3. Results
3.1. Analysis at TPT Initiation: Entire Cohort (Containing Group B Versus Group Non-B)
3.2. Patients Treated with TPT (Group B): 24-Month Protocol (Group P) Versus Early Droppers (Group ED)
3.3. Sequential Pharmacotherapy: First 12 Months Following the TPT Protocol (Group P Versus Group ED)
3.4. A Sub-Analysis Between 24 Months into TPT Protocol Versus One Year Post-TPT Protocol (Only the Patients Who Finished the Entire Protocol)
3.5. A Sub-Analysis of Transitory Hypercalcemia During 24-Month TPT Protocol
4. Discussion
5. Conclusions
Author Contributions
Funding
Institutional Review Board Statement
Informed Consent Statement
Data Availability Statement
Acknowledgments
Conflicts of Interest
Appendix A
| Parameter | Descriptive Statistics (Units) | Normal Range | Entire Cohort (N = 79, 100%) | Group B (N = 32, 40.51%) | Group Non-B (N = 47, 59.49%) | p-Value |
| Total serum calcium | Mean ± SD (mg/dL) | 8.5–10.2 | 9.46 ± 0.54 | 9.49 ± 0.35 | 9.44 ± 0.64 | 0.701 |
| Ionised serum calcium | Mean ± SD (mg/dL) | 3.9–4.9 | 4.04 ± 0.35 | 4.05 ± 0.33 | 4.02 ± 0.37 | 0.766 |
| 24 h urinary calcium | Mean ± SD (g/24 h) | 0.07–0.3 | 0.20 ± 0.11 | 0.21 ± 0.11 | 0.16 ± 0.13 | 0.519 |
| Serum phosphorus | Mean ± SD (mg/dL) | 2.5–4.5 | 3.60 ± 0.58 | 3.46 ± 0.54 | 3.70 ± 0.60 | 0.106 |
| 25-hydroyvitamin D | Mean ± SD (ng/mL) | 20–100 | 25.13 ± 12.93 | 31.87 ± 12.97 | 20.39 ± 10.71 | <0.001 |
| Parathormone | Mean ± SD (pg/mL) | 15–65 | 46.62 ± 20.04 | 43.11 ± 11.13 | 49.64 ± 25.12 | 0.165 |
| Osteocalcin | M (Q1, Q3) (ng/mL) | 15–46 | 18.58 (15.02, 27.49) | 17.08 (14.45, 24.09) | 23.66 (16.02, 31.77) | 0.045 |
| Alkaline phosphatase | Mean ± SD (U/L) | 38–105 | 81.06 ± 35.42 | 67.59 ± 17.24 | 90.39 ± 4 1.54 | 0.003 |
| P1NP | M (Q1, Q3) (ng/mL) | 15–74 | 48.32 (29.59, 66.61) | 32.00 (26.00, 61.00) | 52.29 (44.46, 81.22) | 0.027 |
| CrossLaps | Mean ± SD (ng/mL) | 0.226–1.008 | 0.41 ± 0.20 | 0.33 ± 0.19 | 0.48 ± 0.18 | 0.002 |
| Parameter | Descriptive Statistics (Units) | Normal Range | Group P (N = 23, 71.87%) | Group ED (N = 7, 21.87%) | p-Value |
| Total serum calcium | Mean ± SD (mg/dL) | 8.5–10.2 | 9.51 ± 0.30 | 9.38 ± 0.50 | 0.446 |
| Ionised serum calcium | Mean ± SD (mg/dL) | 3.9–4.9 | 4.03 ± 0.34 | 4.03 ± 0.41 | 0.995 |
| 24 h urinary calcium | Mean ± SD (g/24 h) | 0.07–0.3 | 0.18 ± 0.11 | 0.27 ± 0.10 | 0.218 |
| Serum phosphorus | Mean ± SD (mg/dL) | 2.5–4.5 | 3.44 ± 0.60 | 3.53 ± 0.36 | 0.745 |
| 25-hydroyvitamin D | Mean ± SD (ng/mL) | 20–100 | 31.21 ± 14.00 | 30.98 ± 10.09 | 0.970 |
| Parathormone | Mean ± SD (pg/mL) | 15–65 | 42.11 ± 11.73 | 48.42 ± 9.04 | 0.204 |
| Osteocalcin | M (Q1, Q3) (ng/mL) | 15–46 | 17.16 (14.73, 21.57) | 17.00 (15.49, 24.77) | 0.607 |
| Alkaline phosphatase | Mean ± SD (U/L) | 38–105 | 68.60 ± 18.84 | 67.00 ± 14.02 | 0.861 |
| P1NP | M (Q1, Q3) (ng/mL) | 15–74 | 32.00 (29.11, 54.00) | 44.27 (20.12, 66.61) | 0.726 |
| CrossLaps | Mean ± SD (ng/mL) | 0.226–1.008 | 0.34 ± 0.20 | 0.27 ± 0.06 | 0.360 |
| Group P (N = 23) | Group ED (N = 7) | |||||||
| Parameter | Descriptive Statistics (Units) | At TPT Stop | 1 y Post-TPT | p-Value | At TPT Stop | 1 y Post-TPT | p-Value | p-Value Group P vs. ED 1 y Post-TPT |
| Lumbar BMD | Mean ± SD (g/cm2) | 0.883 ± 0.091 | 0.866 ± 0.082 | 0.756 | 0.914 ± 0.114 | 0.915 ± 0.077 | 0.960 | 0.882 |
| Lumbar T-score | Mean ± SD (SD) | −2.51 ± 0.78 | −2.61 ± 0.70 | 0.916 | −2.18 ± 0.90 | −2.18 ± 0.62 | 0.999 | 0.989 |
| Lumbar Z-score | Mean ± SD (SD) | −0.98 ± 0.77 | −0.97 ± 0.66 | 0.281 | −0.55 ± 0.72 | −0.45 ± 0.60 | 0.514 | 0.774 |
| Femoral neck BMD | Mean ± SD (g/cm2) | 0.751 ± 0.095 | 0.757 ± 0.086 | 0.980 | 0.706 ± 0.065 | 0.709 ± 0.060 | 0.843 | 0.218 |
| Femoral neck T-score | Mean ± SD (SD) | −2.04 ± 0.67 | −2.04 ± 0.64 | 0.928 | −2.40 ± 0.48 | −2.33 ± 0.46 | 0.695 | 0.304 |
| Femoral neck Z-score | Mean ± SD (SD) | −0.42 ± 0.65 | −0.32 ± 0.67 | 0.331 | −0.67 ± 0.59 | −0.53 ± 0.52 | 0.307 | 0.471 |
| Total hip BMD | Mean ± SD (g/cm2) | 0.775 ± 0.104 | 0.802 ± 0.095 | 0.463 | 0.755 ± 0.089 | 0.737 ± 0.055 | 0.364 | 0.159 |
| Total hip T-score | Mean ± SD (SD) | −1.85 ± 0.84 | −1.63 ± 0.75 | 0.481 | −1.98 ± 0.68 | −2.14 ± 0.45 | 0.256 | 0.159 |
| Total hip Z-score | Mean ± SD (SD) | −0.51 ± 0.75 | −0.25 ± 0.70 | 0.169 | −0.54 ± 0.84 | −0.48 ± 0.55 | 0.749 | 0.499 |


| Descriptive Statistics (Units) | Oral BP (N = 8, 24.24%) | IV BP (N = 12, 36.36%) | |||||
| Parameter | At BP Initiation | After 1 Year of BP | p-Value | At BP Initiation | After 1 Year of BP | p-Value | |
| Total serum calcium | Mean ± SD (mg/dL) | 9.52 ± 0.66 | 9.43 ± 0.28 | 0.789 | 9.84 ± 0.35 | 9.54 ± 0.38 | 0.051 |
| Ionised serum calcium | Mean ± SD (mg/dL) | 4.36 ± 0.28 | 4.08 ± 0.13 | 0.046 | 4.21 ± 0.14 | 4.11 ± 0.21 | 0.062 |
| Serum phosphorus | Mean ± SD (mg/dL) | 3.40 ± 0.52 | 3.69 ± 0.60 | 0.253 | 3.32 ± 0.57 | 3.47 ± 0.50 | 0.609 |
| 25-hydroxyvitamin D | Mean ± SD (ng/mL) | 36.85 ± 8.82 | 38.28 ± 6.68 | 0.635 | 26.24 ± 6.73 | 37.65 ± 18.23 | 0.151 |
| Parathormone | Mean ± SD (pg/mL) | 39.93 ± 10.72 | 39.27 ± 11.45 | 0.889 | 35.09 ± 5.72 | 52.57 ± 13.38 | 0.002 |
| Osteocalcin | M (Q1, Q3) (ng/mL) | 36.00 (31.50, 47.14) | 13.75 (11.68, 18.56) | 0.018 | 33.90 (28.49, 44.50) | 18.05 (15.25, 19.81) | 0.012 |
| Alkaline phosphatase | M (Q1, Q3) (ng/mL) | 94.38 ± 28.56 | 69.73 ± 26.97 | 0.014 | 90.50 ± 17.14 | 64.00 ± 7.75 | 0.040 |
| P1NP | M (Q1, Q3) (ng/mL) | 67.50 (64.00, 120.00) | 27.65 (17.17, 29.76) | 0.048 | 75.00 (49.71, 103.50) | 25.71 (23.21, 29.93) | 0.018 |
| CrossLaps | Mean ± SD (ng/mL) | 0.66 ± 0.51 | 0.21 ± 0.04 | 0.049 | 0.62 ± 0.31 | 0.27 ± 0.14 | 0.013 |
| Descriptive Statistics (Units) | Oral BP (N = 8, 24.24%) | IV BP (N = 12, 36.36%) | |||||
| Parameter | At BP Initiation | After 1 Year of BP | p-Value | At BP Initiation | After 1 Year of BP | p-Value | |
| Lumbar BMD | Mean ± SD (g/cm2) | 0.851 ± 0.098 | 0.840 ± 0.089 | 0.540 | 0.875 ± 0.097 | 0.883 ± 0.067 | 0.707 |
| Lumbar T-score | Mean ± SD (SD) | −2.87 ± 0.76 | −2.81 ± 0.75 | 0.664 | −2.53 ± 0.87 | −2.49 ± 0.61 | 0.835 |
| Lumbar Z-score | Mean ± SD (SD) | −1.34 ± 0.81 | −1.11 ± 0.72 | 0.103 | −0.76 ± 0.72 | −0.73 ± 0.53 | 0.830 |
| Femoral neck BMD | Mean ± SD (g/cm2) | 0.769 ± 0.070 | 0.782 ± 0.058 | 0.243 | 0.760 ± 0.113 | 0.762 ± 0.090 | 0.882 |
| Femoral neck T-score | Mean ± SD (SD) | −1.93 ± 0.52 | −1.82 ± 0.47 | 0.201 | −2.03 ± 0.83 | −2.04 ± 0.70 | 0.879 |
| Femoral neck Z-score | Mean ± SD (SD) | −0.35 ± 0.48 | −0.17 ± 0.50 | 0.048 | −0.24 ± 0.76 | −0.20 ± 0.56 | 0.718 |
| Total hip BMD | Mean ± SD (g/cm2) | 0.809 ± 0.107 | 0.825 ± 0.091 | 0.127 | 0.789 ± 0.110 | 0.795 ± 0.118 | 0.683 |
| Total hip T-score | Mean ± SD (SD) | −1.58 ± 0.89 | −1.44 ± 0.72 | 0.135 | −1.73 ± 0.87 | −1.69 ± 0.92 | 0.699 |
| Total hip Z-score | Mean ± SD (SD) | −0.50 ± 0.44 | −0.26 ± 0.37 | 0.009 | −0.22 ± 0.70 | −0.19 ± 0.82 | 0.804 |
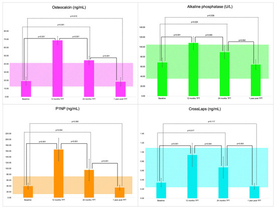
| Parameter | Descriptive Statistics (Units) | 0 Months TPT | 12 Months TPT | 24 Months TPT | 1 y Post-TPT | p-Value 0–12 Months | p-Value 0–24 Months | p-Value 12–24 Months | p-Value 0 Months-1 y Post-TPT | p-Value 24 Months-1 y Post-TPT |
| Total serum calcium | Mean ± SD (mg/dL) | 9.51 ± 0.30 | 9.73 ± 0.60 | 9.69 ± 0.50 | 9.52 ± 0.32 | 0.220 | 0.106 | 0.904 | 0.908 | 0.207 |
| Ionised serum calcium | Mean ± SD (mg/dL) | 4.03 ± 0.34 | 4.31 ± 0.30 | 4.28 ± 0.20 | 4.11 ± 0.17 | 0.017 | 0.049 | 0.911 | 0.537 | 0.002 |
| Serum phosphorus | Mean ± SD (mg/dL) | 3.44 ± 0.60 | 3.56 ± 0.52 | 3.40 ± 0.48 | 3.58 ± 0.48 | 0.048 | 0.781 | 0.354 | 0.373 | 0.253 |
| 25-hydroxyvitamin D | Mean ± SD (ng/mL) | 31.21 ± 14.00 | 29.06 ± 11.99 | 29.04 ± 9.21 | 35.32 ± 12.20 | 0.325 | 0.220 | 0.646 | 0.327 | 0.067 |
| Parathormone | Mean ± SD (pg/mL) | 42.11 ± 11.73 | 39.14 ± 16.15 | 39.72 ± 13.85 | 49.84 ± 16.61 | 0.278 | 0.154 | 0.773 | 0.070 | 0.009 |
| Osteocalcin | M (Q1, Q3) (ng/mL) | 17.16 (14.73, 21.57) | 63.00 (47.62, 97.00) | 36.00 (28.49, 46.50) | 16.14 (13.28, 20.85) | <0.001 | <0.001 | <0.001 | 0.615 | <0.001 |
| Alkaline phosphatase | Mean ± SD (U/L) | 68.60 ± 1 8.84 | 108.39 ± 26.71 | 89.60 ± 23.50 | 64.31 ± 21.38 | <0.001 | 0.024 | 0.005 | 0.539 | 0.002 |
| P1NP | M (Q1, Q3) (ng/mL) | 32.00 (29.11, 54.00) | 151.00 (137.00, 205.50) | 75.00 (51.08, 96.54) | 27.65 (23.96, 42.63) | <0.001 | 0.004 | <0.001 | 0.300 | <0.001 |
| CrossLaps | Mean ± SD (ng/mL) | 0.34 ± 0.20 | 0.95 ± 0.53 | 0.67 ± 0.50 | 0.26 ± 0.12 | <0.001 | 0.017 | 0.044 | 0.117 | 0.003 |
| Parameter | Descriptive Statistics (Units) | 0 Months TPT | 12 Months TPT | 24 Months TPT | 1 y Post-TPT | p-Value 0–12 Months | p-Value 0–24 Months | p-Value 12–24 Months | p-Value 0 Months-1 y Post-TPT | p-Value 24 Months-1 y Post-TPT |
| Lumbar BMD | Mean ± SD (g/cm2) | 0.784 ± 0.078 | 0.848 ± 0.085 | 0.883 ± 0.091 | 0.866 ± 0.082 | <0.001 | <0.001 | 0.006 | <0.001 | 0.756 |
| Lumbar T-score | Mean ± SD (SD) | −3.33 ± 0.63 | −2.73 ± 0.76 | −2.51 ± 0.78 | −2.61 ± 0.70 | <0.001 | <0.001 | 0.007 | <0.001 | 0.916 |
| Lumbar Z-score | Mean ± SD (SD) | −1.85 ± 0.76 | −1.20 ± 0.85 | −0.98 ± 0.77 | −0.97 ± 0.66 | <0.001 | <0.001 | 0.014 | <0.001 | 0.281 |
| Femoral neck BMD | Mean ± SD (g/cm2) | 0.726 ± 0.083 | 0.754 ± 0.079 | 0.751 ± 0.095 | 0.757 ± 0.086 | 0.047 | 0.012 | 0.044 | 0.004 | 0.980 |
| Femoral neck T-score | Mean ± SD (SD) | −2.20 ± 0.66 | −2.04 ± 0.56 | −2.04 ± 0.67 | −2.04 ± 0.64 | 0.382 | 0.046 | 0.002 | 0.054 | 0.928 |
| Femoral neck Z-score | Mean ± SD (SD) | −0.81 ± 0.47 | −0.52 ± 0.52 | −0.42 ± 0.65 | −0.32 ± 0.67 | 0.023 | <0.001 | 0.007 | <0.001 | 0.331 |
| Total hip BMD | Mean ± SD (g/cm2) | 0.747 ± 0.107 | 0.770 ± 0.106 | 0.775 ± 0.104 | 0.802 ± 0.095 | 0.439 | 0.005 | 0.003 | <0.001 | 0.463 |
| Total hip T-score | Mean ± SD (SD) | −2.08 ± 0.84 | −1.87 ± 0.86 | −1.85 ± 0.84 | −1.63 ± 0.75 | 0.202 | 0.003 | 0.005 | <0.001 | 0.481 |
| Total hip Z-score | Mean ± SD (SD) | −0.82 ± 0.65 | −0.63 ± 0.80 | −0.51 ± 0.75 | −0.25 ± 0.70 | 0.360 | <0.001 | 0.003 | <0.001 | 0.169 |
| Parameter | Descriptive Statistics (Units) | Group PCa (N = 5, 16.67%) | Group Non-PCa (N = 25, 83.33 %) | p-Value |
| Age | Mean ± SD (years) | 61.00 ± 4.24 | 67.21 ± 9.06 | 0.200 |
| Years since menopause | Mean ± SD (years) | 16.75 ± 2.75 | 22.32 ± 11.09 | 0.338 |
| Body mass index | Mean ± SD (kg/m2) | 21.13 ± 3.33 | 24.90 ± 3.70 | 0.074 |
| High blood pressure | N (%) | 3.00 (60.00) | 11.00 (44.00) | 0.651 |
| Dyslipidaemia | N (%) | 1.00 (20.00) | 11.00 (44.00) | 0.622 |
| Mineral metabolism assays | ||||
| Total serum calcium | Mean ± SD (mg/dL) | 9.50 ± 0.08 | 9.51 ± 0.34 | 0.926 |
| Ionised serum calcium | Mean ± SD (mg/dL) | 4.07 ± 0.05 | 4.02 ± 0.39 | 0.808 |
| Serum phosphorus | Mean ± SD (mg/dL) | 3.05 ± 0.54 | 3.54 ± 0.59 | 0.149 |
| 25-hydroxyvitamin D | Mean ± SD (ng/mL) | 36.42 ± 19.43 | 30.12 ± 13.02 | 0.426 |
| Parathormone | Mean ± SD (pg/mL) | 48.83 ± 5.24 | 40.61 ± 12.33 | 0.213 |
| Bone turnover markers | ||||
| Osteocalcin | M (Q1, Q3) (ng/mL) | 15.71 (13.25, 24.96) | 17.37 (14.99, 21.57) | 0.931 |
| Alkaline phosphatase | Mean ± SD (U/L) | 63.75 ± 14.98 | 61.81 ± 19.92 | 0.579 |
| P1NP | M (Q1, Q3) (ng/mL) | 31.69 (30.24, 46.50) | 34.00 (26.00, 54.00) | 0.989 |
| CrossLaps | Mean ± SD (ng/mL) | 0.33 ± 0.25 | 0.35 ± 0.20 | 0.902 |
| DXA evaluation | ||||
| Lumbar BMD | Mean ± SD (g/cm2) | 0.794 ± 0.102 | 0.782 ± 0.075 | 0.788 |
| Lumbar T-score | Mean ± SD (SD) | −3.30 ± 0.76 | −3.34 ± 0.62 | 0.918 |
| Lumbar Z-score | Mean ± SD (SD) | −1.65 ± 1.02 | −1.90 ± 0.72 | 0.570 |
| Femoral neck BMD | Mean ± SD (g/cm2) | 0.762 ± 0.081 | 0.718 ± 0.084 | 0.354 |
| Femoral neck T-score | Mean ± SD (SD) | −2.00 ± 0.58 | −2.24 ± 0.69 | 0.527 |
| Femoral neck Z-score | Mean ± SD (SD) | −0.78 ± 0.17 | −0.81 ± 0.52 | 0.892 |
| Total hip BMD | Mean ± SD (g/cm2) | 0.767 ± 0.077 | 0.743 ± 0.115 | 0.701 |
| Total hip T-score | Mean ± SD (SD) | −1.93 ± 0.61 | −2.12 ± 0.90 | 0.690 |
| Total hip Z-score | Mean ± SD (SD) | −0.85 ± 0.19 | −0.82 ± 0.72 | 0.931 |
| Prevalent fractures | N (%) | 4.00 (100.00) | 13.00 (68.42) | 0.191 |
| Months Since TPT Initiation | Cumulative Probability of Side Effects-Free Follow-Up of Protocol ± SE | Cumulative Probability of Early Drop-Off-Free Follow-Up of Protocol ± SE | Cumulative Probability of Transient Hypercalcemia-Free Follow-up of Protocol ± SE |
| 6 months | 0.90 ± 0.06 | 0.93 ± 0.05 | 0.97 ± 0.03 |
| 12 months | 0.73 ± 0.08 | 0.90 ± 0.06 | 0.90 ± 0.06 |
| 18 months | 0.67 ± 0.08 | 0.77 ± 0.08 | 0.90 ± 0.06 |
| 24 months | 0.62 ± 0.09 | 0.77 ± 0.08 | 0.80 ± 0.08 |

References
- di Filippo, L.; Rosen, C.J. Latest on Anabolic Agents for Osteoporosis Treatment. Endocrinol. Metab. Clin. North. Am. 2024, 53, 513–523. [Google Scholar] [CrossRef] [PubMed]
- Yang, J.; Guo, X.; Cui, Z.; Guo, H.; Dong, J.N. Efficacy and safety of denosumab and teriparatide versus oral bisphosphonates to treat postmenopausal osteoporosis: A systematic review and meta-analysis. Front. Endocrinol. 2024, 15, 1431676. [Google Scholar] [CrossRef]
- Arthur Vithran, D.T.; Essien, A.E.; Rahmati, M.; Opoku, M.; Keon Yon, D.; López Sánchez, G.F.; Koyanagi, A.; Smith, L.; Il Shin, J.; Xiao, W.; et al. Teriparatide in postmenopausal osteoporosis: Uncovering novel insights into efficacy and safety compared to other treatments—A systematic review and meta-analysis. EFORT Open Rev. 2024, 9, 845–861. [Google Scholar] [CrossRef] [PubMed]
- Veronese, N.; Briot, K.; Guañabens, N.; Albergaria, B.H.; Alokail, M.; Al-Daghri, N.; Bemden, A.B.; Bruyère, O.; Burlet, N.; Cooper, C.; et al. Recommendations for the optimal use of bone forming agents in osteoporosis. Aging Clin. Exp. Res. 2024, 36, 167. [Google Scholar] [CrossRef]
- Inderjeeth, C.A.; Inderjeeth, D.C. The use of anabolic agents in the treatment of osteoporosis: A clinical update. Curr. Opin. Endocrinol. Diabetes Obes. 2024, 31, 157–163. [Google Scholar] [CrossRef] [PubMed]
- Jeon, I.; Park, S.B.; Moon, B.J.; Choi, M.; Kuh, S.U.; Kim, J. Comparison of the Clinical Efficacy of Anabolic Agents and Bisphosphonates in the Patients With Osteoporotic Vertebral Fracture: Systematic Review and Meta-analysis of Randomized Controlled Trials. Neurospine 2024, 21, 416–429. [Google Scholar] [CrossRef] [PubMed]
- Ebina, K.; Etani, Y.; Noguchi, T.; Nakata, K.; Okada, S. Clinical effects of teriparatide, abaloparatide, and romosozumab in postmenopausal osteoporosis. J. Bone Miner. Metab. 2024. [Google Scholar] [CrossRef] [PubMed]
- Cianferotti, L.; Cipriani, C.; Palermo, A.; Viapiana, O.; Zavatta, G.; Mazziotti, G. A practical approach for anabolic treatment of bone fragility with romosozumab. J. Endocrinol. Investig. 2024, 47, 2649–2662. [Google Scholar] [CrossRef] [PubMed]
- Hye Yang, S.; Mittal, N.; Bell, A.L.; Bell, C.E. Utilization of Romosozumab in Primary Care. J. Pharm. Technol. 2024, 40, 152–157. [Google Scholar] [CrossRef] [PubMed]
- Poduval, M.; Kambhampati, S.B.S.; Vishwanathan, K. A Review of Various Clinical Practice Guidelines on Osteoporosis in the Last 5 Years. Indian. J. Orthop. 2023, 57 (Suppl. 1), 7–24. [Google Scholar] [CrossRef] [PubMed]
- Jha, S.S. Biologics: Teriparatide and Newer Anabolics. Indian. J. Orthop. 2023, 57 (Suppl. 1), 135–146. [Google Scholar] [CrossRef] [PubMed]
- Mondo, I.; Hannou, S.; D’Amelio, P. Using sequential pharmacotherapy for the treatment of osteoporosis: An update of the literature. Expert. Opin. Pharmacother. 2023, 24, 2175–2186. [Google Scholar] [CrossRef] [PubMed]
- Gupta, N.; Kanwar, N.; Arora, A.; Khatri, K.; Kanwal, A. The interplay of rheumatoid arthritis and osteoporosis: Exploring the pathogenesis and pharmacological approaches. Clin. Rheumatol. 2024, 43, 1421–1433. [Google Scholar] [CrossRef] [PubMed]
- Dong, L.; Jiang, L.; Xu, Z.; Zhang, X. Denosumab, teriparatide and bisphosphonates for glucocorticoid-induced osteoporosis: A Bayesian network meta-analysis. Front. Pharmacol. 2024, 15, 1336075. [Google Scholar] [CrossRef] [PubMed]
- Wang, W.Y.; Chen, L.H.; Ma, W.J.; You, R.X. Drug efficacy and safety of denosumab, teriparatide, zoledronic acid, and ibandronic acid for the treatment of postmenopausal osteoporosis: A network meta-analysis of randomized controlled trials. Eur. Rev. Med. Pharmacol. Sci. 2023, 27, 8253–8268. [Google Scholar] [CrossRef]
- Liu, Z.; Zhang, M.; Shen, Z.; Ke, J.; Zhang, D.; Yin, F. Efficacy and safety of 18 anti-osteoporotic drugs in the treatment of patients with osteoporosis caused by glucocorticoid: A network meta-analysis of randomized controlled trials. PLoS ONE 2020, 15, e0243851. [Google Scholar] [CrossRef]
- Yang, L.; Kang, N.; Yang, J.C.; Su, Q.J.; Liu, Y.Z.; Guan, L.; Liu, T.; Meng, X.L.; Wang, Y.; Hai, Y. Drug efficacies on bone mineral density and fracture rate for the treatment of postmenopausal osteoporosis: A network meta-analysis. Eur. Rev. Med. Pharmacol. Sci. 2019, 23, 2640–2668. [Google Scholar] [CrossRef]
- Han, Y.X.; Mo, Y.Y.; Wu, H.X.; Iqbal, J.; Cai, J.M.; Li, L.; Bu, Y.H.; Xiao, F.; Jiang, H.L.; Wen, Y.; et al. Safety and efficacy of sequential treatments for postmenopausal osteoporosis: A network meta-analysis of randomised controlled trials. EClinicalMedicine 2024, 68, 102425. [Google Scholar] [CrossRef] [PubMed]
- Sauhta, R.; Makkar, D.; Siwach, P.S. The Sequential Therapy in Osteoporosis. Indian. J. Orthop. 2023, 57 (Suppl. 1), 150–162. [Google Scholar] [CrossRef]
- Kostenuik, P.J.; Binkley, N.; Anderson, P.A. Advances in Osteoporosis Therapy: Focus on Osteoanabolic Agents, Secondary Fracture Prevention, and Perioperative Bone Health. Curr. Osteoporos. Rep. 2023, 21, 386–400. [Google Scholar] [CrossRef] [PubMed]
- Foessl, I.; Dimai, H.P.; Obermayer-Pietsch, B. Long-term and sequential treatment for osteoporosis. Nat. Rev. Endocrinol. 2023, 19, 520–533. [Google Scholar] [CrossRef]
- Available online: https://www.formaremedicala.ro/h05aa02-dci-teriparatidum/ (accessed on 11 November 2024).
- Available online: https://ec.europa.eu/health/documents/community-register/2017/20170216137058/anx_137058_ro.pdf (accessed on 11 November 2024).
- Available online: https://cnas.ro/protocoale-terapeutice/ (accessed on 11 November 2024).
- Available online: https://old.ms.ro/index.php?pag=181&pg=5 (accessed on 11 November 2024).
- Dumitru, N.; Carsote, M. Cocolos A, Petrova E, Olaru M, Dumitrache C, Ghemigian A. The Link Between Bone Osteocalcin and Energy Metabolism in a Group of Postmenopausal Women. Curr. Health Sci. J. 2019, 45, 47–51. [Google Scholar] [CrossRef] [PubMed]
- Carsote, M.; Valea, A.; Dumitru, N.; Terzea, D.; Petrova, E.; Albu, S.; Buruiana, A.; Ghemigian, A. Metastases in daily endocrine practice. Arch. Balk. Med. Union. 2016, 51, 476–480. [Google Scholar]
- Valea, A.; Carsote, M.; Moldovan, C.; Georgescu, C. Chronic autoimmune thyroiditis and obesity. Arch. Balk. Med. Union. 2018, 53, 64–69. [Google Scholar]
- Diffenderfer, B.W.; Wang, Y.; Pearman, L.; Pyrih, N.; Williams, S.A. Real-World Management of Patients With Osteoporosis at Very High Risk of Fracture. J. Am. Acad. Orthop. Surg. 2023, 31, e327–e335. [Google Scholar] [CrossRef]
- Qaseem, A.; Hicks, L.A.; Etxeandia-Ikobaltzeta, I.; Shamliyan, T.; Cooney, T.G.; Clinical Guidelines Committee of the American College of Physicians; Cross, J.T., Jr.; Fitterman, N.; Lin, J.S.; Maroto, M.; et al. Pharmacologic Treatment of Primary Osteoporosis or Low Bone Mass to Prevent Fractures in Adults: A Living Clinical Guideline From the American College of Physicians. Ann. Intern. Med. 2023, 176, 224–238. [Google Scholar] [CrossRef] [PubMed]
- Mitrică, M.; Lorusso, L.; Badea, A.A.; Sîrbu, C.A.; Pleșa, A.; Stănescu, A.A.; Pleșa, F.C.; Sîrbu, O.M.; Munteanu, A.E. The Hidden Heart: Exploring Cardiac Damage Post-Stroke: A Narrative Review. Medicina 2024, 60, 1699. [Google Scholar] [CrossRef]
- Martiniakova, M.; Biro, R.; Penzes, N.; Sarocka, A.; Kovacova, V.; Mondockova, V.; Omelka, R. Links among Obesity, Type 2 Diabetes Mellitus, and Osteoporosis: Bone as a Target. Int. J. Mol. Sci. 2024, 25, 4827. [Google Scholar] [CrossRef] [PubMed]
- Munekawa, C.; Hashimoto, Y.; Kitagawa, N.; Osaka, T.; Hamaguchi, M.; Fukui, M. Effect of Teriparatide on Bone Mineral Density and Trabecular Bone Score in Type 2 Diabetic Patients with Osteoporosis: A Retrospective Cohort Study. Medicina 2022, 58, 481. [Google Scholar] [CrossRef] [PubMed]
- Shi, Q.; Cheah, J.T.; Zai, A.H. Factors associated with non-adherence to dual-energy x-ray absorptiometry screening during the COVID-19 pandemic in an academic medical center. Arch. Osteoporos. 2024, 19, 66. [Google Scholar] [CrossRef]
- Nistor, C.E.; Găvan, C.S.; Ciritel, A.A.; Nemes, A.F.; Ciuche, A. The Association of Minimally Invasive Surgical Approaches and Mortality in Patients with Malignant Pleuropericarditis-A 10 Year Retrospective Observational Study. Medicina 2022, 58, 718. [Google Scholar] [CrossRef]
- McCarroll, K.; Carroll, T.; Neville, M.; Fitzpatrick, D.; Lannon, R. Delayed and significant hypercalcaemia due to teriparatide therapy: A case report and review. Osteoporos. Int. 2024, 35, 1299–1302. [Google Scholar] [CrossRef] [PubMed]
- Satterwhite, J.; Heathman, M.; Miller, P.D.; Marín, F.; Glass, E.V.; Dobnig, H. Pharmacokinetics of teriparatide (rhPTH [1-34]) and calcium pharmacodynamics in postmenopausal women with osteoporosis. Calcif. Tissue Int. 2010, 87, 485–492. [Google Scholar] [CrossRef] [PubMed]
- Wermers, R.A.; Recknor, C.P.; Cosman, F.; Xie, L.; Glass, E.V.; Krege, J.H. Effects of teriparatide on serum calcium in postmenopausal women with osteoporosis previously treated with raloxifene or alendronate. Osteoporos. Int. 2008, 19, 1055–1065. [Google Scholar] [CrossRef] [PubMed]
- Leder, B.Z. Parathyroid Hormone and Parathyroid Hormone-Related Protein Analogs in Osteoporosis Therapy. Curr. Osteoporos. Rep. 2017, 15, 110–119. [Google Scholar] [CrossRef] [PubMed]
- Vasiliu, O. Therapeutic management of atypical antipsychotic-related metabolic dysfunctions using GLP-1 receptor agonists: A systematic review. Exper Ther. Med. 2023, 26, 355. [Google Scholar] [CrossRef]
- Gennari, L.; Rotatori, S.; Bianciardi, S.; Nuti, R.; Merlotti, D. Treatment needs and current options for postmenopausal osteoporosis. Expert. Opin. Pharmacother. 2016, 17, 1141–1152. [Google Scholar] [CrossRef]
- Abate, E.G. Anabolic bone window with weekly teriparatide therapy in postmenopausal osteporosis. Endocr. Pract. 2017, 23, 745–746. [Google Scholar] [CrossRef] [PubMed]
- Anna, G.; Anne-Lise, F.; Clémence, D.; Jean-Michel, P.; Florence, T. Factors associated with bone response to teriparatide in young postmenopausal women with osteoporosis. J. Bone Min. Metab. 2023, 41, 278–285. [Google Scholar] [CrossRef] [PubMed]
- Ouyang, Y.; Chen, S.; Wan, T.; Zheng, G.; Sun, G. The effects of teriparatide and bisphosphonates on new fractures in postmenopausal women with osteoporosis: A protocol for systematic review and meta-analysis. Medicina 2021, 100, e24839. [Google Scholar] [CrossRef] [PubMed]
- Han, S.L.; Wan, S.L. Effect of teriparatide on bone mineral density and fracture in postmenopausal osteoporosis: Meta-analysis of randomised controlled trials. Int. J. Clin. Pract. 2012, 66, 199–209. [Google Scholar] [CrossRef] [PubMed]
- Yuan, F.; Peng, W.; Yang, C.; Zheng, J. Teriparatide versus bisphosphonates for treatment of postmenopausal osteoporosis: A meta-analysis. Int. J. Surg. 2019, 66, 1–11. [Google Scholar] [CrossRef]
- Fan, G.; Zhao, Q.; Lu, P.; Chen, H.; Tan, W.; Guo, W.; Liu, C.; Liu, J. Comparison between teriparatide and bisphosphonates for improving bone mineral density in postmenopausal osteoporosis patients: A meta-analysis. Medicina 2020, 99, e18964. [Google Scholar] [CrossRef] [PubMed]
- Souliotis, K.; Golna, C.; Poimenidou, C.; Drakopoulou, T.; Tsekoura, M.; Willems, D.; Kountouris, V.; Makras, P. Disease Burden and Treatment Preferences Amongst Postmenopausal Women with Severe Osteoporosis in Greece. Patient Prefer. Adherence. 2023, 17, 107–118. [Google Scholar] [CrossRef]
- Cosman, F. Anabolic and antiresorptive therapy for osteoporosis: Combination and sequential approaches. Curr. Osteoporos. Rep. 2014, 12, 385–395. [Google Scholar] [CrossRef] [PubMed]
- Anagnostis, P.; Gkekas, N.K.; Potoupnis, M.; Kenanidis, E.; Tsiridis, E.; Goulis, D.G. New therapeutic targets for osteoporosis. Maturitas 2019, 120, 1–6. [Google Scholar] [CrossRef] [PubMed]
- Langdahl, B. Treatment of postmenopausal osteoporosis with bone-forming and antiresorptive treatments: Combined and sequential approaches. Bone 2020, 139, 115516. [Google Scholar] [CrossRef]
- Lorentzon, M. Treating osteoporosis to prevent fractures: Current concepts and future developments. J. Intern. Med. 2019, 285, 381–394. [Google Scholar] [CrossRef]
- Jianu, N.; Buda, V.O.; Căpățână, D.; Muntean, C.; Onea, T.N.; Jivulescu, M.A.; Teodor, A.; Romanescu, M.; Udrescu, L.; Groza, V.; et al. Osteoporosis: A problem still faulty addressed by the Romanian healthcare system. Results of a questionnaire survey of people aged 40 years and over. Front. Med. 2024, 11, 1485382. [Google Scholar] [CrossRef]
- Boehm, E.; Sauer, C.; Baur-Melnyk, A.; Biebl, J.T.; Harada, S.; Wegener, B.; Kraft, E.; Stahl, R.; Feist-Pagenstert, I. Real-life effects of pharmacological osteoporosis treatments on bone mineral density by quantitative computed tomography. J. Bone Miner. Metab. 2024, 42, 741–753. [Google Scholar] [CrossRef] [PubMed]
- Saag, K.G.; Agnusdei, D.; Hans, D.; Kohlmeier, L.A.; Krohn, K.D.; Leib, E.S.; MacLaughlin, E.J.; Alam, J.; Simonelli, C.; Taylor, K.A.; et al. Trabecular Bone Score in Patients With Chronic Glucocorticoid Therapy-Induced Osteoporosis Treated With Alendronate or Teriparatide. Arthritis Rheumatol. 2016, 68, 2122–2128. [Google Scholar] [CrossRef] [PubMed]
- Chen, F.P.; Fu, T.S.; Lin, Y.C.; Sung, C.M.; Huang, M.H.; Lin, Y.J. Association between P1NP and bone strength in postmenopausal women treated with teriparatide. Taiwan. J. Obs. Gynecol. 2022, 61, 91–95. [Google Scholar] [CrossRef] [PubMed]
- Moon, R.J.; Reginster, J.Y.; Al-Daghri, N.M.; Thiyagarajan, J.A.; Beaudart, C.; Bruyère, O.; Burlet, N.; Chandran, M.; da Silva, M.C.; Conaghan, P.G.; et al. Real-world evidence: New opportunities for osteoporosis research. Recommendations from a Working Group from the European Society for Clinical and Economic Aspects of Osteoporosis, Osteoarthritis and Musculoskeletal Diseases (ESCEO). Osteoporos. Int. 2023, 34, 1283–1299. [Google Scholar] [CrossRef] [PubMed]






| Demographic Parameters | |||||
| Parameter | Descriptive Statistics (Units) | Entire Sample (N = 79, 100%) | Group B (N = 32, 40.51%) | Group Non-B (N = 47, 59.49%) | p-Value |
| Age | Mean ± SD (years) | 63.96 ± 8.55 | 66.50 ± 9.05 | 62.23 ± 7.82 | 0.028 |
| Years since menopause | Mean ± SD (years) | 17.35 ± 10.37 | 21.16 ± 10.23 | 14.77 ± 9.73 | 0.006 |
| Body mass index | Mean ± SD (kg/m2) | 23.90 ± 3.22 | 23.45 ± 3.79 | 24.22 ± 2.74 | 0.302 |
| Prevalent comorbidities | |||||
| High blood pressure | N (%) | 45 (57.96) | 15 (48.39) | 30 (63.83) | 0.177 |
| Dyslipidaemia | N (%) | 40 (50.63) | 13 (40.63) | 27 (57.45) | 0.142 |
| Diabetes mellitus | N (%) | 7 (8.86) | 5 (10.64) | 2 (6.25) | 0.500 |
| Parameter | Descriptive Statistics (Units) | Normal Range | Entire Sample (N = 79, 100%) | Group B (N = 32, 40.51%) | Group Non-B (N = 47, 59.49%) | p-Value |
| Lumbar BMD | Mean ± SD (g/cm2) | 0.871 ± 0.158 | 0.794 ± 0.081 | 0.919 ± 0.175 | <0.001 | |
| Lumbar T-score | Mean ± SD (SD) | >−1 | −2.42 ± 1.07 | −3.21 ± 0.68 | −1.93 ± 0.97 | <0.001 |
| Lumbar Z-score | Mean ± SD (SD) | −1.14 ± 0.99 | −1.69 ± 0.82 | −0.80 ± 0.93 | <0.001 | |
| Femoral neck BMD | Mean ± SD (g/cm2) | 0.761 ± 0.102 | 0.710 ± 0.081 | 0.796 ± 0.10 | <0.001 | |
| Femoral neck T-score | Mean ± SD (SD) | >−1 | −1.93 ± 0.77 | −2.33 ± 0.65 | −1.66 ± 0.74 | <0.001 |
| Femoral neck Z-score | Mean ± SD (SD) | −0.50 ± 0.64 | −0.79 ± 0.45 | −0.30 ± 0.65 | 0.002 | |
| Total hip BMD | Mean ± SD (g/cm2) | 0.814 ± 0.12 | 0.742 ± 0.100 | 0.863 ± 0.107 | <0.001 | |
| Total hip T-score | Mean ± SD (SD) | >−1 | −1.53 ± 0.97 | −2.13 ± 0.80 | −1.13 ± 0.88 | <0.001 |
| Total hip Z-score | Mean ± SD (SD) | −0.42 ± 0.70 | −0.77 ± 0.67 | −0.19 ± 0.63 | <0.001 |
| Parameter | Descriptive Statistics (Units) | Group P (N = 23, 71.87%) | Group ED (N = 7, 21.87%) | p-Value |
| Age | Mean ± SD (years) | 66.13 ± 8.68 | 64.71 ± 10.28 | 0.720 |
| Years since menopause | Mean ± SD (years) | 21.35 ± 10.31 | 17.00 ± 8.96 | 0.324 |
| Body mass index | Mean ± SD (kg/m2) | 24.24 ± 3.85 | 21.14 ± 3.53 | 0.068 |
| High blood pressure | N (%) | 12 (54.55) | 2 (28.57) | 0.231 |
| Dyslipidaemia | N (%) | 10 (43.48) | 2 (28.57) | 0.481 |
| Prevalent fragility fracture | N (%) | 17 (73.91) | 4 (57.14) | 0.397 |
| Parameter | Descriptive Statistics (Units) | Normal Range | Group P (N = 23, 71.87%) | Group ED (N = 7, 21.87%) | p-Value |
| Lumbar BMD | Mean ± SD (g/cm2) | 0.784 ± 0.078 | 0.845 ± 0.112 | 0.186 | |
| Lumbar T-score | Mean ± SD (SD) | >−1 | −3.33 ± 0.63 | −2.58 ± 0.83 | 0.043 |
| Lumbar Z-score | Mean ± SD (SD) | −1.85 ± 0.76 | −1.10 ± 1.04 | 0.094 | |
| Femoral neck BMD | Mean ± SD (g/cm2) | 0.726 ± 0.083 | 0.680 ± 0.070 | 0.204 | |
| Femoral neck T-score | Mean ± SD (SD) | >−1 | −2.20 ± 0.66 | −2.59 ± 0.53 | 0.171 |
| Femoral neck Z-score | Mean ± SD (SD) | −0.81 ± 0.47 | −0.79 ± 0.65 | 0.933 | |
| Total hip BMD | Mean ± SD (g/cm2) | 0.747 ± 0.107 | 0.733 ± 0.096 | 0.756 | |
| Total hip T-score | Mean ± SD (SD) | >−1 | −2.08 ± 0.84 | −2.18 ± 0.80 | 0.792 |
| Total hip Z-score | Mean ± SD (SD) | −0.82 ± 0.65 | −0.72 ± 0.86 | 0.743 |
| Variable | Group P with Prior Therapy (N = 20, 86.96%) | Group ED with Prior Therapy (N = 7, 100%) | p-Value |
| DXA non-responder to prior treatment, N (%) | 14 (70.00) | 4 (57.14) | 0.653 |
| Fracture non-responder to prior treatment, N (%) | 15 (75.00) | 7 (100) | 0.283 |
| DXA + fracture non-responder to prior treatment, N (%) | 9 (45.00) | 4 (57.14) | 0.678 |
| Parameter | Value |
| Months of TPT exposure according to TPT protocol | |
| Minimum, maximum | 1.00, 13.00 |
| Mean ± SD | 8.71 ± 4.75 |
| Median (Q1, Q3) | 12.00 (6.00, 12.00) |
| Side effects for early drop-off | |
| Nausea, N (%) | 2 (28.57) |
| Palpitations, N (%) | 1 (14.29) |
| Depression, N (%) | 2 (28.57) |
| Urticaria, N (%) | 1 (14.29) |
| Non-responder to TPT protocol that indicated TPT stop | |
| Non-responder, N (%) | 1 (14.29) |
| Group P (N = 23) | Group ED (N = 7) | p-Value Between Group P and Group ED: 1 y Post-TPT | ||||||
| Parameter | Descriptive Statistics (Units) | At TPT Stop | 1 y Post-TPT | p-Value | At TPT Stop | 1 y Post-TPT | p-Value | |
| Total serum calcium | Mean ± SD (mg/dL) | 9.69 ± 0.50 | 9.52 ± 0.32 | 0.207 | 9.64 ± 0.69 | 9.38 ± 0.50 | 0.417 | 0.666 |
| Ionised serum calcium | Mean ± SD (mg/dL) | 4.28 ± 0.20 | 4.11 ± 0.17 | 0.002 | 4.04 ± 0.24 | 3.92 ± 0.29 | 0.342 | 0.126 |
| Serum phosphorus | Mean ± SD (mg/dL) | 3.40 ± 0.48 | 3.58 ± 0.48 | 0.253 | 3.73 ± 0.44 | 3.62 ± 0.52 | 0.488 | 0.866 |
| 25-hydroxyvitamin D | Mean ± SD (ng/mL) | 29.04 ± 9.21 | 35.32 ± 12.20 | 0.067 | 26.19 ± 4.97 | 35.45 ± 18.62 | 0.281 | 0.985 |
| Parathormone | Mean ± SD (pg/mL) | 39.72 ± 13.85 | 49.84 ± 16.60 | 0.009 | 48.31 ± 21.68 | 50.20 ± 19.17 | 0.880 | 0.481 |
| Osteocalcin | M (Q1, Q3) (ng/mL) | 36.00 (28.49, 46.50) | 16.14 (13.28, 20.85) | <0.001 | 25.35 (20.20, 40.22) | 17.65 (16.75, 21.77) | 0.128 | 0.541 |
| Alkaline phosphatase | Mean ± SD (U/L) | 89.60 ± 23.50 | 64.31 ± 2 1.38 | 0.002 | 67.17 ± 13.48 | 53.18 ± 10.68 | 0.032 | 0.232 |
| P1NP | M (Q1, Q3) (ng/mL) | 75.00 (51.08, 96.54) | 27.65 (23.96, 42.63) | 0.001 | 47.11 (31.89, 76.00) | 31.93 (22.81, 44.94) | 0.116 | 0.849 |
| CrossLaps | Mean ± SD (ng/mL) | 0.67 ± 0.50 | 0.26 ± 0.12 | 0.003 | 0.40 ± 0.28 | 0.30 ± 0.16 | 0.492 | 0.480 |
| Months of Teriparatide Protocol | Value |
| Minimum, maximum | 1.00, 24.00 |
| Mean ± SD | 12.60 ± 8.62 |
| M (Q1, Q3) | 12.00 (9.00, 17.00) |
Disclaimer/Publisher’s Note: The statements, opinions and data contained in all publications are solely those of the individual author(s) and contributor(s) and not of MDPI and/or the editor(s). MDPI and/or the editor(s) disclaim responsibility for any injury to people or property resulting from any ideas, methods, instructions or products referred to in the content. |
© 2025 by the authors. Licensee MDPI, Basel, Switzerland. This article is an open access article distributed under the terms and conditions of the Creative Commons Attribution (CC BY) license (https://creativecommons.org/licenses/by/4.0/).
Share and Cite
Sima, O.-C.; Costachescu, M.; Stanciu, M.; Nistor, C.; Carsote, M.; Tanasescu, D.; Popa, F.L.; Valea, A. A Real-Life Study in Sequential Therapy for Severe Menopausal Osteoporosis. J. Clin. Med. 2025, 14, 627. https://doi.org/10.3390/jcm14020627
Sima O-C, Costachescu M, Stanciu M, Nistor C, Carsote M, Tanasescu D, Popa FL, Valea A. A Real-Life Study in Sequential Therapy for Severe Menopausal Osteoporosis. Journal of Clinical Medicine. 2025; 14(2):627. https://doi.org/10.3390/jcm14020627
Chicago/Turabian StyleSima, Oana-Claudia, Mihai Costachescu, Mihaela Stanciu, Claudiu Nistor, Mara Carsote, Denisa Tanasescu, Florina Ligia Popa, and Ana Valea. 2025. "A Real-Life Study in Sequential Therapy for Severe Menopausal Osteoporosis" Journal of Clinical Medicine 14, no. 2: 627. https://doi.org/10.3390/jcm14020627
APA StyleSima, O.-C., Costachescu, M., Stanciu, M., Nistor, C., Carsote, M., Tanasescu, D., Popa, F. L., & Valea, A. (2025). A Real-Life Study in Sequential Therapy for Severe Menopausal Osteoporosis. Journal of Clinical Medicine, 14(2), 627. https://doi.org/10.3390/jcm14020627

