Digital Pathology Applications for PD-L1 Scoring in Head and Neck Squamous Cell Carcinoma: A Challenging Series
Abstract
1. Introduction
2. Materials and Methods
2.1. Cases
- One hematoxylin–eosin (H&E)-stained section;
- One LDT PD-L1 IHC stained with Dako clone 22C3 (Dako, Carpinteria, CA, USA) or Ventana clone SP263 (Ventana, Tucson, AZ, USA) and tested on the Dako or Ventana platforms, respectively;
- One blank section for IHC that was centralized at the Pathology Department of Fondazione IRCCS San Gerardo dei Tintori, Monza, Italy, where a pharmDx assay CDx (Dako) was performed.
2.2. Digital Pathology
2.3. PD-L1 CPS Scoring
- Presence of at least 100 viable tumor cells (adequacy criterion);
- Score range values from 0 to 100, with 100 as the maximum value;
- Evaluation of the staining at 20× magnification.
- LDTs PD-L1 (board consensus) vs. CDx PD-L1 (board consensus);
- LDTs PDL1 (board consensus) vs. LDTs PD-L1 (primary local diagnoses);
- CDx PD-L1 (board consensus) vs. LDTs PD-L1 (primary local diagnoses);
- The technical concordance of the IHC stainings for PD-L1;
- The interpretative concordance of the two PD-L1 CPS scores.
2.4. Computational Analysis
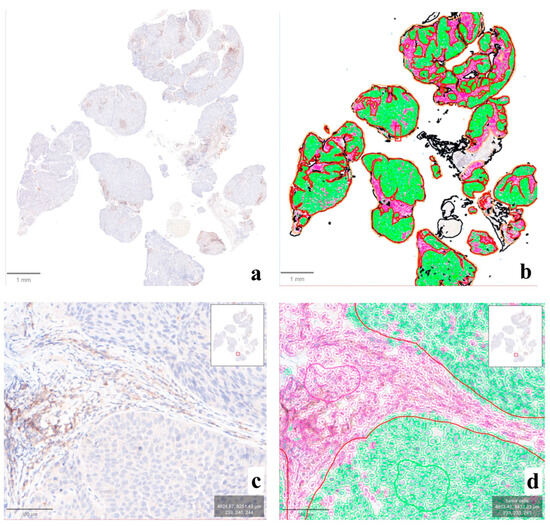
- Tissue was identified from the background using a thresholding technique based on image-specific parameters.
- Regions of interest (ROIs) for “Tumor” and “tumor + stroma” were identified and annotated manually. The stromal component was considered peritumoral when included in a microscopic field at 20× magnification, placing the tumor/peritumoral stroma interface at the center of the field.
- Automatic cell identification within the “tumor + stroma” annotations was achieved with the nuclear detector StarDist [11]. For this task, a custom script built for H&E images was used and modified to locate cell nuclei with a threshold of 0.2 and the surrounding cytoplasm based on nuclear expansion.
3. Statistical Analysis
4. Results
4.1. Inter-Assay Variability
4.2. Technical and Interpretative Evaluations
4.3. Impact of Variability on CPS Cutoffs
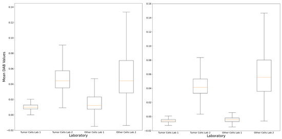
4.4. Computational Analysis
5. Discussion
6. Conclusions
Supplementary Materials
Author Contributions
Funding
Institutional Review Board Statement
Informed Consent Statement
Data Availability Statement
Acknowledgments
Conflicts of Interest
References
- Paver, E.C.; Cooper, W.A.; Colebatch, A.J.; Ferguson, P.M.; Hill, S.K.; Lum, T.; Shin, J.-S.; O’Toole, S.; Anderson, L.; Scolyer, R.A.; et al. Programmed Death Ligand-1 (PD-L1) as a Predictive Marker for Immunotherapy in Solid Tumours: A Guide to Immunohistochemistry Implementation and Interpretation. Pathology 2021, 53, 141–156. [Google Scholar] [CrossRef] [PubMed]
- Doroshow, D.B.; Bhalla, S.; Beasley, M.B.; Sholl, L.M.; Kerr, K.M.; Gnjatic, S.; Wistuba, I.I.; Rimm, D.L.; Tsao, M.S.; Hirsch, F.R. PD-L1 as a Biomarker of Response to Immune-Checkpoint Inhibitors. Nat. Rev. Clin. Oncol. 2021, 18, 345–362. [Google Scholar] [CrossRef] [PubMed]
- Chebib, I.; Mino-Kenudson, M. PD-L1 Immunohistochemistry: Clones, Cutoffs, and Controversies. APMIS 2022, 130, 295–313. [Google Scholar] [CrossRef]
- Akhtar, M.; Rashid, S.; Al-Bozom, I.A. PD-L1 Immunostaining: What Pathologists Need to Know. Diagn. Pathol. 2021, 16, 94. [Google Scholar] [CrossRef]
- Vranic, S.; Gatalica, Z. PD-L1 Testing by Immunohistochemistry in Immuno-Oncology. Biomol. Biomed. 2023, 23, 15–25. [Google Scholar] [CrossRef]
- Zouein, J.; Kesrouani, C.; Kourie, H.R. PD-L1 Expression as a Predictive Biomarker for Immune Checkpoint Inhibitors: Between a Dream and a Nightmare. Immunotherapy 2021, 13, 1053–1065. [Google Scholar] [CrossRef] [PubMed]
- Burtness, B.; Harrington, K.J.; Greil, R.; Soulières, D.; Tahara, M.; de Castro, G., Jr.; Psyrri, A.; Basté, N.; Neupane, P.; Bratland, Å.; et al. Pembrolizumab Alone or with Chemotherapy versus Cetuximab with Chemotherapy for Recurrent or Metastatic Squamous Cell Carcinoma of the Head and Neck (KEYNOTE-048): A Randomised, Open-Label, Phase 3 Study. Lancet 2019, 394, 1915–1928. [Google Scholar] [CrossRef] [PubMed]
- El-Naggar, A.K.; Chan, J.K.C.; Grandis, J.R.; Slootweg, P.J. WHO Classification of Head and Neck Tumours; IARC WHO Classification of Tumours: Lyon, France, 2017; ISBN 9789283224389. [Google Scholar]
- Crosta, S.; Boldorini, R.; Bono, F.; Brambilla, V.; Dainese, E.; Fusco, N.; Gianatti, A.; L’Imperio, V.; Morbini, P.; Pagni, F. PD-L1 Testing and Squamous Cell Carcinoma of the Head and Neck: A Multicenter Study on the Diagnostic Reproducibility of Different Protocols. Cancers 2021, 13, 292. [Google Scholar] [CrossRef]
- Bankhead, P.; Loughrey, M.B.; Fernández, J.A.; Dombrowski, Y.; McArt, D.G.; Dunne, P.D.; McQuaid, S.; Gray, R.T.; Murray, L.J.; Coleman, H.G.; et al. QuPath: Open Source Software for Digital Pathology Image Analysis. Sci. Rep. 2017, 7, 16878. [Google Scholar] [CrossRef] [PubMed]
- Schmidt, U.; Weigert, M.; Broaddus, C.; Myers, G. Cell Detection with Star-Convex Polygons. In Medical Image Computing and Computer Assisted Intervention–MICCAI 2018; Springer International Publishing: Berlin/Heidelberg, Germany, 2018; pp. 265–273. [Google Scholar]
- Giunchi, F.; Degiovanni, A.; Daddi, N.; Trisolini, R.; Dell’Amore, A.; Agostinelli, C.; Ardizzoni, A.; Fiorentino, M. Fading With Time of PD-L1 Immunoreactivity in Non-Small Cells Lung Cancer Tissues: A Methodological Study. Appl. Immunohistochem. Mol. Morphol. 2018, 26, 489–494. [Google Scholar] [CrossRef] [PubMed]
- Giunchi, F.; Gevaert, T.; Scarpelli, M.; Fiorentino, M. Status of Programmed Death Ligand 1 (PD-L1) by Immunohistochemistry and Scoring Algorithms. Curr. Drug Targets 2020, 21, 1286–1292. [Google Scholar] [CrossRef] [PubMed]
- Torlakovic, E.E.; Nielsen, S.; Francis, G.; Garratt, J.; Gilks, B.; Goldsmith, J.D.; Hornick, J.L.; Hyjek, E.; Ibrahim, M.; Miller, K.; et al. Standardization of Positive Controls in Diagnostic Immunohistochemistry: Recommendations from the International Ad Hoc Expert Committee. Appl. Immunohistochem. Mol. Morphol. 2015, 23, 1–18. [Google Scholar] [CrossRef] [PubMed]
- de Ruiter, E.J.; Mulder, F.J.; Koomen, B.M.; Speel, E.-J.; van den Hout, M.F.C.M.; de Roest, R.H.; Bloemena, E.; Devriese, L.A.; Willems, S.M. Comparison of Three PD-L1 Immunohistochemical Assays in Head and Neck Squamous Cell Carcinoma (HNSCC). Mod. Pathol. 2021, 34, 1125–1132. [Google Scholar] [CrossRef] [PubMed]
- Cerbelli, B.; Girolami, I.; Eccher, A.; Costarelli, L.; Taccogna, S.; Scialpi, R.; Benevolo, M.; Lucante, T.; Luigi Alò, P.; Stella, F.; et al. Evaluating Programmed Death-Ligand 1 (PD-L1) in Head and Neck Squamous Cell Carcinoma: Concordance between the 22C3 PharmDx Assay and the SP263 Assay on Whole Sections from a Multicentre Study. Histopathology 2022, 80, 397–406. [Google Scholar] [CrossRef] [PubMed]
- Girolami, I.; Pantanowitz, L.; Barberis, M.; Paolino, G.; Brunelli, M.; Vigliar, E.; Munari, E.; Satturwar, S.; Troncone, G.; Eccher, A. Challenges Facing Pathologists Evaluating PD-L1 in Head & Neck Squamous Cell Carcinoma. J. Oral Pathol. Med. 2021, 50, 864–873. [Google Scholar] [PubMed]
- Lee, T.; Cho, S.I.; Choi, S.; Kim, S.; Jung, W.; Lee, D.; Lee, S.; Mostafavi, M.; Park, S.; Lee, J.; et al. Performance Validation of an Artificial Intelligence-Powered PD-L1 Combined Positive Score Analyzer in Six Cancer Types. J. Clin. Oncol. 2023, 41, e13553. [Google Scholar] [CrossRef]
- Aeffner, F.; Wilson, K.; Martin, N.T.; Black, J.C.; Hendriks, C.L.L.; Bolon, B.; Rudmann, D.G.; Gianani, R.; Koegler, S.R.; Krueger, J.; et al. The Gold Standard Paradox in Digital Image Analysis: Manual Versus Automated Scoring as Ground Truth. Arch. Pathol. Lab. Med. 2017, 141, 1267–1275. [Google Scholar] [CrossRef] [PubMed]
- Puladi, B.; Ooms, M.; Kintsler, S.; Houschyar, K.S.; Steib, F.; Modabber, A.; Hölzle, F.; Knüchel-Clarke, R.; Braunschweig, T. Automated PD-L1 Scoring Using Artificial Intelligence in Head and Neck Squamous Cell Carcinoma. Cancers 2021, 13, 4409. [Google Scholar] [CrossRef] [PubMed]
- Chlipala, E.A.; Butters, M.; Brous, M.; Fortin, J.S.; Archuletta, R.; Copeland, K.; Bolon, B. Impact of Preanalytical Factors During Histology Processing on Section Suitability for Digital Image Analysis. Toxicol. Pathol. 2021, 49, 755–772. [Google Scholar] [CrossRef] [PubMed]





| LAB | Requirement Assigned | Sample Type | PD-L1 Clone |
|---|---|---|---|
| 1 | Crushing artifacts | Biopsy | 22C3 |
| 2 | Around CPS 1 | Biopsy | 22C3 |
| 3 | Around CPS 20 | Surgical | 22C3 |
| 4 | Fragmented sample | Biopsy | 22C3 |
| 5 | Great inflammatory component prevalence | Surgical | 22C3 |
| 6 | Lymph node metastasis | Surgical (lymph node metastasis) | 22C3 |
| 7 | Extensive necrosis | Surgical | SP263 |
| 8 | Cell block 1 | Biopsy | SP263 |
| 9 | Cell block 2 | Biopsy | 22C3 |
| 10 | Tumor component prevalence | Biopsy | 22C3 |
| 11 | Scant material | Biopsy | SP263 |
| Case ID | CPS-LDTs | CPS-LDTs | CPS-CDx | Technical Concordance | Interpretative Concordance |
|---|---|---|---|---|---|
| Local Evaluation | Board Evaluation | Board Evaluation | |||
| 1 | 25 | 20–25 | 20–25 | ||
| 2 | 2 | 1 | 1 | ||
| 3 | 30 | around 20 * | around 20 * | ||
| 4 | 5–9 | 10 | 15 | ||
| 5 | 60 | 80 | 70 | ||
| 6 | 10–20 | 5–10 | 5–10 | + | + |
| 7 | 14 | 15 | 22 | ||
| 8 | 50 | 50 | 50 | ||
| 9 | 15–20 | 25 | 15 | ||
| 10 | 35 | 40 | 40 | ||
| 11 | 2 | 1 | 2 |
Disclaimer/Publisher’s Note: The statements, opinions and data contained in all publications are solely those of the individual author(s) and contributor(s) and not of MDPI and/or the editor(s). MDPI and/or the editor(s) disclaim responsibility for any injury to people or property resulting from any ideas, methods, instructions or products referred to in the content. |
© 2024 by the authors. Licensee MDPI, Basel, Switzerland. This article is an open access article distributed under the terms and conditions of the Creative Commons Attribution (CC BY) license (https://creativecommons.org/licenses/by/4.0/).
Share and Cite
Canini, V.; Eccher, A.; d’Amati, G.; Fusco, N.; Maffini, F.; Lepanto, D.; Martini, M.; Cazzaniga, G.; Paliogiannis, P.; Lobrano, R.; et al. Digital Pathology Applications for PD-L1 Scoring in Head and Neck Squamous Cell Carcinoma: A Challenging Series. J. Clin. Med. 2024, 13, 1240. https://doi.org/10.3390/jcm13051240
Canini V, Eccher A, d’Amati G, Fusco N, Maffini F, Lepanto D, Martini M, Cazzaniga G, Paliogiannis P, Lobrano R, et al. Digital Pathology Applications for PD-L1 Scoring in Head and Neck Squamous Cell Carcinoma: A Challenging Series. Journal of Clinical Medicine. 2024; 13(5):1240. https://doi.org/10.3390/jcm13051240
Chicago/Turabian StyleCanini, Valentina, Albino Eccher, Giulia d’Amati, Nicola Fusco, Fausto Maffini, Daniela Lepanto, Maurizio Martini, Giorgio Cazzaniga, Panagiotis Paliogiannis, Renato Lobrano, and et al. 2024. "Digital Pathology Applications for PD-L1 Scoring in Head and Neck Squamous Cell Carcinoma: A Challenging Series" Journal of Clinical Medicine 13, no. 5: 1240. https://doi.org/10.3390/jcm13051240
APA StyleCanini, V., Eccher, A., d’Amati, G., Fusco, N., Maffini, F., Lepanto, D., Martini, M., Cazzaniga, G., Paliogiannis, P., Lobrano, R., L’Imperio, V., & Pagni, F. (2024). Digital Pathology Applications for PD-L1 Scoring in Head and Neck Squamous Cell Carcinoma: A Challenging Series. Journal of Clinical Medicine, 13(5), 1240. https://doi.org/10.3390/jcm13051240

