Optimal Extent of Neck Dissection for a Head and Neck Lymph Node Metastasis from a Remote Primary Site
Abstract
1. Introduction
2. Materials and Methods
2.1. Ethical Considerations
2.2. Subjects
2.3. Preoperative Evaluation and Decision-Making
2.4. Occult Metastasis Rate
2.5. Lymph Node Ratio (LNR)
2.6. Statistical Analysis
3. Results
3.1. Distribution of p+Ns according to Primary Site
3.2. Distribution of c+Ns, p+Ns, and Occult Nodal Metastasis according to the Cervical Neck Level
3.3. Clinicopathologic Factors Affecting Occult Cervical LN Metastasis
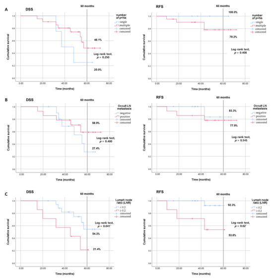
3.4. Survival
4. Discussion
5. Conclusions
Author Contributions
Funding
Institutional Review Board Statement
Informed Consent Statement
Data Availability Statement
Conflicts of Interest
References
- López, F.; Rodrigo, J.P.; Silver, C.E.; Haigentz, M., Jr.; Bishop, J.A.; Strojan, P.; Hartl, D.M.; Bradley, P.J.; Mendenhall, W.M.; Suárez, C.; et al. Cervical lymph node metastases from remote primary tumor sites. Head Neck 2016, 38 (Suppl. S1), E2374–E2385. [Google Scholar] [CrossRef] [PubMed]
- Debela, D.T.; Muzazu, S.G.; Heraro, K.D.; Ndalama, M.T.; Mesele, B.W.; Haile, D.C.; Kitui, S.K.; Manyazewal, T. New approaches and procedures for cancer treatment: Current perspectives. SAGE Open Med. 2021, 9, 20503121211034366. [Google Scholar] [CrossRef] [PubMed]
- Shinohara, S.; Harada, H.; Kikuchi, M.; Takebayashi, S.; Hamaguchi, K. Neck Dissection for Cervical Lymph Node Metastases from Remote Primary Malignancies. Medicina 2020, 56, 343. [Google Scholar] [CrossRef]
- Schiff, B.A.; Roberts, D.B.; El-Naggar, A.; Garden, A.S.; Myers, J.N. Selective vs Modified Radical Neck Dissection and Postoperative Radiotherapy vs Observation in the Treatment of Squamous Cell Carcinoma of the Oral Tongue. Arch. Otolaryngol. Head Neck Surg. 2005, 131, 874–878. [Google Scholar] [CrossRef] [PubMed]
- Larsen, M.H.; Lorenzen, M.M.; Bakholdt, V.; Sørensen, J.A. The prevalence of nerve injuries following neck dissections—A systematic review and meta-analysis. Dan Med. J. 2020, 67, A08190464. [Google Scholar] [PubMed]
- Rodrigo, J.P.; Grilli, G.; Shah, J.P.; Medina, J.E.; Robbins, K.T.; Takes, R.P.; Hamoir, M.; Kowalski, L.P.; Suarez, C.; Lopez, F.; et al. Selective neck dissection in surgically treated head and neck squamous cell carcinoma patients with a clinically positive neck: Systematic review. Eur. J. Surg. Oncol. 2018, 44, 395–403. [Google Scholar] [CrossRef] [PubMed]
- Pang, S.S.; Murphy, M.; Markham, M.J. Current Management of Locally Advanced and Metastatic Cervical Cancer in the United States. JCO Oncol. Pract. 2022, 18, 417–422. [Google Scholar] [CrossRef] [PubMed]
- Robbins, K.T.; Clayman, G.; Levine, P.A.; Medina, J.; Sessions, R.; Shaha, A.; Som, P.; Wolf, G.T. Neck dissection classification update: Revisions proposed by the American Head and Neck Society and the American Academy of Otolaryngology-Head and Neck Surgery. Arch. Otolaryngol. Head Neck Surg. 2002, 128, 751–758. [Google Scholar] [CrossRef]
- Chen, C.C.; Lin, J.C.; Chen, K.W. Lymph node ratio as a prognostic factor in head and neck cancer patients. Radiat. Oncol. 2015, 10, 181. [Google Scholar] [CrossRef]
- Ji, H.; Hu, C.; Yang, X.; Liu, Y.; Ji, G.; Ge, S.; Wang, X.; Wang, M. Lymph node metastasis in cancer progression: Molecular mechanisms, clinical significance and therapeutic interventions. Signal Transduct. Target. Ther. 2023, 8, 367. [Google Scholar] [CrossRef]
- Davis, R.S.; Flynn, M.B.; Moore, C. An unusual presentation of carcinoma of the lung: 26 patients with cervical node metastases. J. Surg. Oncol. 1977, 9, 503–507. [Google Scholar] [CrossRef] [PubMed]
- Nagarkar, R.; Wagh, A.; Kokane, G.; Roy, S.; Vanjari, S. Cervical Lymph Nodes: A Hotbed for Metastasis in Malignancy. Indian J. Otolaryngol. Head Neck Surg. 2019, 71, 976–980. [Google Scholar] [CrossRef] [PubMed]
- Chien, C.-Y.; Wang, C.P.; Lee, L.-Y.; Lee, S.-R.; Ng, S.-H.; Kang, C.-J.; Lin, J.-C.; Terng, S.-D.; Hua, C.-H.; Chen, T.-M.; et al. Indications for elective neck dissection in cT1N0M0 oral cavity cancer according to the AJCC eight edition: A nationwide study. Oral. Oncol. 2023, 140, 106366. [Google Scholar] [CrossRef] [PubMed]
- Beyaz, F.; Verhoeven, R.L.J.; Schuurbiers, O.C.J.; Verhagen, A.F.T.M.; van der Heijden, E.H.F.M. Occult lymph node metastases in clinical N0/N1 NSCLC.; A single center in-depth analysis. Lung Cancer 2020, 150, 186–194. [Google Scholar] [CrossRef]
- Jonnalagadda, S.; Smith, C.; Mhango, G.; Wisnivesky, J.P. The number of lymph node metastases as a prognostic factor in patients with N1 non-small cell lung cancer. Chest 2011, 140, 433–440. [Google Scholar] [CrossRef] [PubMed]
- Liu, M.; Miao, L.; Zheng, R.; Zhao, L.; Liang, X.; Yin, S.; Li, J.; Li, C.; Li, M.; Zhang, L. Number of involved nodal stations: A better lymph node classification for clinical stage IA lung adenocarcinoma. J. Natl. Cancer Cent. 2023, 3, 197–202. [Google Scholar] [CrossRef]
- Cai, J.-S.; Yang, F.; Wang, X. Occult lymph node metastasis is not a favorable factor for resected NSCLC patients. BMC Cancer 2023, 23, 822. [Google Scholar] [CrossRef]
- Shin, Y.S.; Koh, Y.W.; Kim, S.H.; Choi, E.C. Selective neck dissection for clinically node-positive oral cavity squamous cell carcinoma. Yonsei Med. J. 2013, 54, 139–144. [Google Scholar] [CrossRef]
- Lop, J.; Rigó, A.; Codina, A.; de Juan, J.; Quer, M.; León, X. Prognostic significance of extranodal extension in head and neck squamous cell carcinoma cN0 patients with occult metastatic neck nodes. Acta Otorrinolaringol. Esp. 2018, 69, 156–164. [Google Scholar] [CrossRef]
- Yang, X.; Ma, X.; Yang, W.; Shui, R. Clinical significance of extranodal extension in sentinel lymph node positive breast cancer. Sci. Rep. 2020, 10, 14684. [Google Scholar] [CrossRef]
- Aziz, S.; Wik, E.; Knutsvik, G.; Klingen, T.A.; Chen, Y.; Davidsen, B.; Aas, H.; Aas, T.; Akslen, L.A. Extra-nodal extension is a significant prognostic factor in lymph node positive breast cancer. PLoS ONE 2017, 12, e0171853. [Google Scholar] [CrossRef] [PubMed]
- Imperatori, A.; La Salvia, D.; Rotolo, N.; Nardecchia, E.; Bandera, M.; Toungoussova, O.; Spanevello, A.; Dominioni, L. Five-year survival of stage IIIA-IIIB (non-N3) non-small cell lung cancer patients after platinum/gemcitabine induction chemotherapy and surgery. J. Chemother. 2010, 22, 191–196. [Google Scholar] [CrossRef] [PubMed]
- Liu, S.-Y.M.; Zheng, M.-M.; Pan, Y.; Liu, S.-Y.; Li, Y.; Wu, Y.-L. Emerging evidence and treatment paradigm of non-small cell lung cancer. J. Hematol. Oncol. 2023, 16, 40. [Google Scholar] [CrossRef] [PubMed]
- Benej, M.; Klikovits, T.; Krajc, T.; Bohanes, T.; Schulte, L.; Hochmair, M.J.; Watzka, S.; Mosleh, B.; Hoetzenecker, K.; Aigner, C.; et al. Lymph Node Log-Odds Ratio Accurately Defines Prognosis in Resectable Non-Small Cell Lung Cancer. Cancers 2023, 15, 2082. [Google Scholar] [CrossRef] [PubMed]
- Soran, A.; Ozmen, T.; Salamat, A.; Soybir, G.; Johnson, R. Lymph Node Ratio (LNR): Predicting Prognosis after Neoadjuvant Chemotherapy (NAC) in Breast Cancer Patients. Eur. J. Breast Health 2019, 15, 249–255. [Google Scholar] [CrossRef] [PubMed]
- Wang, H.; Qi, H.; Liu, X.; Gao, Z.; Hidasa, I.; Aikebaier, A.; Li, K. Positive lymph node ratio is an index in predicting prognosis for remnant gastric cancer with insufficient retrieved lymph node in R0 resection. Sci. Rep. 2021, 11, 2022. [Google Scholar] [CrossRef] [PubMed]
- Wang, K.; Tian, W.; Xu, X.; Peng, X.; Tang, H.; Zhao, Y.; Wang, X.; Li, G. Positive lymph node ratio predicts adverse prognosis for patients with lymph nodes metastatic hypopharyngeal squamous cell carcinoma after primary surgery. Transl. Cancer Res. 2022, 11, 463–474. [Google Scholar] [CrossRef] [PubMed]
- Ding, D.; Stokes, W.; Eguchi, M.; Hararah, M.; Sumner, W.; Amini, A.; Goddard, J.; Somerset, H.; Bradley, C.; McDermott, J.; et al. Association Between Lymph Node Ratio and Recurrence and Survival Outcomes in Patients with Oral Cavity Cancer. JAMA Otolaryngol. Head Neck Surg. 2019, 145, 53–61. [Google Scholar] [CrossRef]
- Chiappetta, M.; Leuzzi, G.; Sperduti, I.; Bria, E.; Mucilli, F.; Lococo, F.; Spaggiari, L.; Ratto, G.B.; Filosso, P.L.; Facciolo, F. Lymph-node ratio predicts survival among the different stages of non-small-cell lung cancer: A multicentre analysis. Eur. J. Cardio-Thorac. Surg. 2018, 55, 405–412. [Google Scholar] [CrossRef]




| Case | Age | Sex | Primary | Histology | Previous Treatment | ND Side | Adjuvant Therapy | |||
|---|---|---|---|---|---|---|---|---|---|---|
| Surgery | CT | RT | CT | RT | ||||||
| 1 | 54 | M | Lung | Adeno. | Y | Y | L | Y | ||
| 2 | 49 | F | Lung | Adeno. | Y | Y | L | Y | ||
| 3 | 61 | M | Lung | Adeno. | Y | Y | L | Y | ||
| 4 | 62 | F | Lung | Adeno. | Y | R | ||||
| 5 | 55 | M | Lung | Adeno. | Y | Y | L | Y | ||
| 6 | 41 | M | Lung | Adeno. | Y | Y | L | Y | ||
| 7 | 49 | F | Lung | Adeno. | Y | Y | Y | R | Y | |
| 8 | 66 | M | Lung | Adeno-squamous | Y | Y | L | Y | ||
| 9 | 56 | F | Lung | SCC | Y | Y | L | Y | Y | |
| 10 | 60 | M | Lung | SCC | Y | Y | Y | R | Y | Y |
| 11 | 70 | M | Lung | SCC | Y | Y | Y | L | Y | |
| 12 | 72 | M | Lung | Pleomorphic carcinoma | Y | Y | L | |||
| 13 | 59 | F | Ovary | Endometrioid adeno. | Y | Y | Y | L | Y | |
| 14 | 67 | F | Ovary | Endometrioid adeno. | Y | Y | Y | L | Y | |
| 15 | 54 | F | Ovary | Endometrioid adeno. | Y | Y | L | Y | ||
| 16 | 66 | F | Ovary | Endometrioid adeno. | Y | Y | L | Y | ||
| 17 | 68 | F | Mammary | Adeno. | Y | Y | Y | R | Y | Y |
| 18 | 47 | F | Mammary | Adeno. | Y | Y | Y | L | Y | Y |
| 19 | 40 | F | Mammary | Adeno. | Y | Y | Y | L | Y | Y |
| 20 | 73 | M | Esophagus | Adeno. | Y | Y | R | Y | ||
| 21 | 60 | F | Esophagus | SCC | Y | Y | Y | L | Y | Y |
| 22 | 54 | M | Esophagus | SCC | Y | Y | L | Y | ||
| 23 | 40 | M | Thymus | Malignant thymoma | Y | Y | Y | R | ||
| 24 | 74 | M | Thymus | Malignant thymoma | Y | Y | L | |||
| 25 | 48 | M | Colon | Adeno. | Y | Y | Y | L | Y | |
| Lung | Ovary | Mammary | Esophagus | Thymus | Colon | Total | |
|---|---|---|---|---|---|---|---|
| L1a | 0/0 | 0/0 | 0/0 | 0/0 | 0/0 | ||
| L1b | 0/0 | 0/0 | 0/0 | 0/0 | 0/0 | ||
| L2a | 1/2 | 0/0 | 0/1 | 0/0 | 0/0 | 0/0 | 1/3 |
| L2b | 0/0 | 0/0 | 0/0 | 0/0 | 0/0 | 0/0 | 0/0 |
| L3 | 1/6 | 0/4 | 1/1 | 0/0 | 1/1 | 0/0 | 3/12 |
| L4 | 7/9 | 4/4 | 1/1 | 2/2 | 0/0 | 1/1 | 15/17 |
| L5a | 0/0 | 0/0 | 1/1 | 0/0 | 0/0 | 0/0 | 1/1 |
| L5b | 2/2 | 1/1 | 0/0 | 1/1 | 0/0 | 0/0 | 4/4 |
| R1a | 0/0 | 0/0 | 0/0 | 0/0 | |||
| R1b | 0/0 | 0/0 | 0/0 | 0/0 | |||
| R2a | 0/0 | 0/0 | 0/0 | 0/0 | 0/2 | ||
| R2b | 0/0 | 0/0 | 0/0 | 0/0 | 0/0 | ||
| R3 | 1/2 | 0/0 | 0/1 | 1/1 | 2/4 | ||
| R4 | 3/3 | 1/1 | 1/1 | 1/1 | 6/6 | ||
| R5a | 0/0 | 0/0 | 0/0 | 0/0 | 0/0 | ||
| R5b | 1/3 | 0/0 | 0/0 | 0/0 | 1/3 | ||
| Total | 16/27 | 5/9 | 4/5 | 3/4 | 3/3 | 1/1 | 33/52 |
| Case | Total Harvested LN | Distribution of c+N/p+N | ENE | Maximal Size of p+LN (cm) | Number of LNs | Number of Levels | Occult Nodal Metastasis | |||
|---|---|---|---|---|---|---|---|---|---|---|
| c+Ns | p+Ns | c+Ns | p+Ns | Level of Metastasis | ||||||
| 1 | 38 | IV/III, IV | + | 2.30 | 2 | 5 | 1 | 2 | Y | III |
| 2 | 30 | IV/III, IV | + | 1.40 | 2 | 5 | 1 | 2 | Y | III |
| 3 | 33 | IIa, IV/IIa, III, IV | + | 2.60 | 2 | 5 | 2 | 3 | Y | III |
| 4 | 29 | IV/III, IV, Vb | − | 1.90 | 1 | 4 | 1 | 3 | Y | III, Vb |
| 5 | 31 | III, IV/IIa, III, IV | − | 1.50 | 2 | 3 | 2 | 3 | Y | IIa |
| 6 | 25 | Vb/Vb | + | 2.40 | 1 | 4 | 1 | 1 | ||
| 7 | 19 | IV/IV, Vb | − | 2.70 | 2 | 4 | 1 | 2 | Y | Vb |
| 8 | 28 | Vb/Vb | − | 3.90 | 1 | 4 | 1 | 1 | ||
| 9 | 27 | IV/III, IV | + | 2.70 | 3 | 6 | 1 | 2 | Y | III |
| 10 | 15 | III, IV, Vb/III, IV, Vb | − | 1.80 | 3 | 3 | 3 | 3 | ||
| 11 | 19 | IV/III, IV | + | 1.30 | 1 | 4 | 1 | 2 | Y | III |
| 12 | 15 | IV/IV | − | 1.30 | 1 | 1 | ||||
| 13 | 14 | IV/III, IV | − | 2.90 | 1 | 3 | 1 | 2 | Y | III |
| 14 | 22 | IV/III, IV | + | 1.21 | 2 | 5 | 1 | 2 | Y | III |
| 15 | 34 | IV/III, IV | − | 1.50 | 2 | 5 | 1 | 2 | Y | III |
| 16 | 32 | IV, Vb/III, IV, Vb | − | 1.70 | 2 | 5 | 2 | 3 | Y | III |
| 17 | 24 | IV/IV | − | 1.70 | 1 | 2 | 1 | 1 | ||
| 18 | 19 | III, Va/IIa, III, Va | + | 3.10 | 3 | 4 | 2 | 3 | Y | IIa |
| 19 | 23 | IV/IV | − | 1.50 | 1 | 1 | 1 | 1 | ||
| 20 | 14 | IV/III, IV | − | 3.70 | 2 | 3 | 1 | 2 | Y | III |
| 21 | 10 | IV, Vb/IV, Vb | − | 1.30 | 1 | 2 | 2 | 2 | ||
| 22 | 15 | IV/IV | − | 0.80 | 2 | 2 | 1 | 1 | ||
| 23 | 29 | III, IV/III, IV | − | 2.10 | 2 | 3 | 2 | 2 | ||
| 24 | 15 | III/III | − | 0.90 | 1 | 1 | 1 | 1 | ||
| 25 | 23 | IV/IV | − | 1.10 | 1 | 1 | 1 | 1 | ||
| mean | 23.32 ± 7.61 | 1.97 ± 0.84 | 1.68 ± 0.69 | 3.40 ± 1.50 | 1.33 ± 0.56 | |||||
| Cervical Level | Pathological Involvement of LN Metastasis (%) | Occult LN Metastasis (%) |
|---|---|---|
| Ia | 0 | 0 |
| Ib | 0 | 0 |
| IIa | 12.5% (3/25) | 8.3% (2/24) |
| IIb | 0 | 0 |
| III | 64.0% (16/25) | 55.0% (11/20) |
| IV | 92.0% (23/25) | 50.0% (2/4) |
| Va | 4.0% (1/25) | 0 |
| Vb | 28.0% (7/25) | 10.0% (2/20) |
| Variables | Patients with Occult LN Metastasis, No. (%) | p-Value |
|---|---|---|
| Age (years) | 0.656 | |
| <50 | 3/7 (42.9%) | |
| ≥50 | 11/18 (61.1%) | |
| Gender | 0.111 | |
| Male | 5/13 (38.5%) | |
| Female | 9/12 (75.0%) | |
| Primary | 0.119 | |
| Lung | 8/12 (66.7%) | |
| Ovary | 4/4 (100%) | |
| Mammary | 1/3 (33.3%) | |
| Esophagus | 1/3 (33.3%) | |
| Thymus | 0/2 (0%)) | |
| Colon | 0/1 (0%) | |
| Number of involved levels | 0.649 | |
| 1 | 10/18 (55.6%) | |
| ≥2 | 4/7 (57.1%) | |
| LN size | 0.414 | |
| ≤2 cm | 7/15 (46.7%) | |
| >2 cm | 7/10 (70.0%) | |
| Number of involved LNs | 0.012 * | |
| 1 | 0/4 (0.0%) | |
| 2 | 0/3 (0.0%) | |
| 3 | 3/5 (60.0%) | |
| 4 | 4/6 (66.7%) | |
| 5 | 6/6 (100.0%) | |
| 6 | 1/1 (100.0%) | |
| Extra-nodal extension | 0.008 ** | |
| Negative | 7/18 (38.9%) | |
| Positive | 7/7 (100%) |
| Variables | B | S.E. | OR | 95% CI | p-Value |
|---|---|---|---|---|---|
| Number of involved LNs | 2.125 | 0.983 | 8.375 | (1.219~57.520) | 0.031 * |
| Extra-nodal extension | 0.873 | 1.776 | 2.393 | (0.074~77.780) | 0.623 |
| −2LL = 16.792, NagelKerke R2 = 0.675, Hosmer and Lemeshow test: χ2 = 2.164 (p = 0.826) | |||||
Disclaimer/Publisher’s Note: The statements, opinions and data contained in all publications are solely those of the individual author(s) and contributor(s) and not of MDPI and/or the editor(s). MDPI and/or the editor(s) disclaim responsibility for any injury to people or property resulting from any ideas, methods, instructions or products referred to in the content. |
© 2024 by the authors. Licensee MDPI, Basel, Switzerland. This article is an open access article distributed under the terms and conditions of the Creative Commons Attribution (CC BY) license (https://creativecommons.org/licenses/by/4.0/).
Share and Cite
Sung, H.W.J.; Son, H.O.; Heo, D.B.; Won, H.-R.; Koo, B.S.; Chang, J.W. Optimal Extent of Neck Dissection for a Head and Neck Lymph Node Metastasis from a Remote Primary Site. J. Clin. Med. 2024, 13, 661. https://doi.org/10.3390/jcm13030661
Sung HWJ, Son HO, Heo DB, Won H-R, Koo BS, Chang JW. Optimal Extent of Neck Dissection for a Head and Neck Lymph Node Metastasis from a Remote Primary Site. Journal of Clinical Medicine. 2024; 13(3):661. https://doi.org/10.3390/jcm13030661
Chicago/Turabian StyleSung, Han Wool John, Hyo One Son, Da Beom Heo, Ho-Ryun Won, Bon Seok Koo, and Jae Won Chang. 2024. "Optimal Extent of Neck Dissection for a Head and Neck Lymph Node Metastasis from a Remote Primary Site" Journal of Clinical Medicine 13, no. 3: 661. https://doi.org/10.3390/jcm13030661
APA StyleSung, H. W. J., Son, H. O., Heo, D. B., Won, H.-R., Koo, B. S., & Chang, J. W. (2024). Optimal Extent of Neck Dissection for a Head and Neck Lymph Node Metastasis from a Remote Primary Site. Journal of Clinical Medicine, 13(3), 661. https://doi.org/10.3390/jcm13030661

