Evaluating Computer Vision, Large Language, and Genome-Wide Association Models in a Limited Sized Patient Cohort for Pre-Operative Risk Stratification in Adult Spinal Deformity Surgery
Abstract
1. Introduction
2. Methods
2.1. Inclusion and Exclusion Criteria
2.2. Data Source
2.3. Variables and Outcomes
2.4. Data Preprocessing
2.4.1. CNN
2.4.2. NLP
2.5. Model Training and Evaluation
2.5.1. CNN
2.5.2. NLP
2.5.3. Performance Metrics
2.6. Genome-Wide Association Study (GWAS)
2.6.1. Data Source
2.6.2. Inclusion and Exclusion Criteria
2.6.3. Phenotype Preprocessing
2.6.4. Genotype Preprocessing
2.6.5. WES Association Study
2.7. Ethical Considerations
3. Results
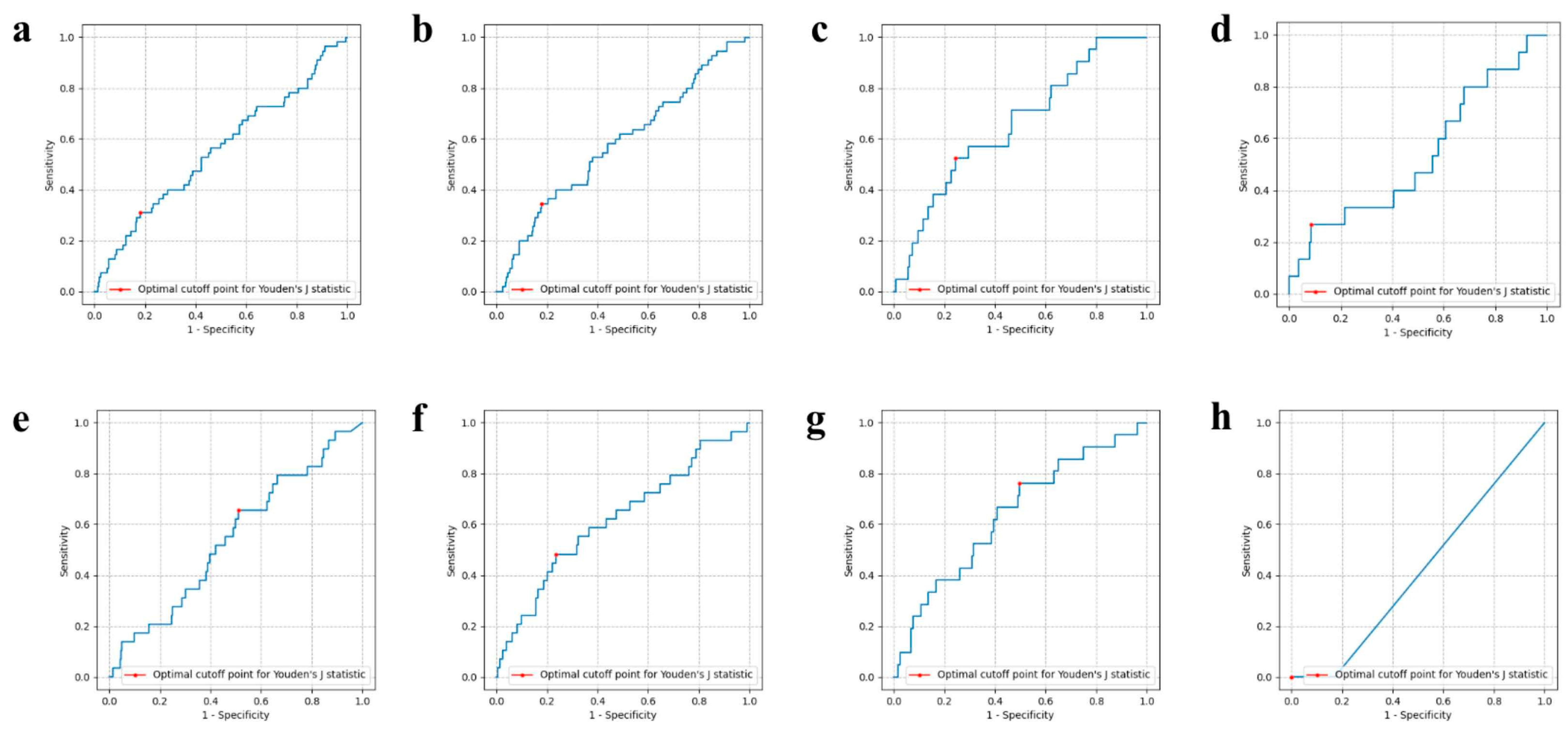
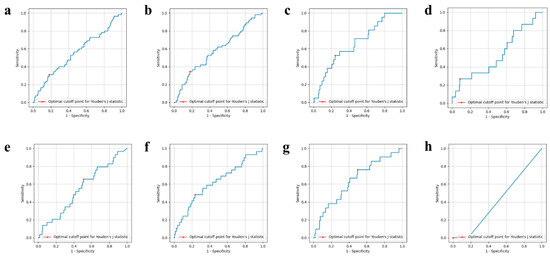
3.1. Computer Vision Prediction of Surgical Outcomes Using Radiographs
3.2. Large Language Model (LLM) Prediction of Surgical Outcomes Using Clinical Pre-Operative Notes
3.3. GWAS for Identification of Loci Associated with Surgical Intervention for ASD Patients
4. Discussion
5. Conclusions
Supplementary Materials
Author Contributions
Funding
Institutional Review Board Statement
Informed Consent Statement
Data Availability Statement
Conflicts of Interest
References
- Kim, H.J.; Yang, J.H.; Chang, D.-G.; Suk, S.-I.; Suh, S.W.; Song, K.-S.; Park, J.-B.; Cho, W. Adult Spinal Deformity: Current Concepts and Decision-Making Strategies for Management. Asian Spine J. 2020, 14, 886–897. [Google Scholar] [CrossRef] [PubMed]
- Hiyama, A.; Katoh, H.; Sakai, D.; Sato, M.; Watanabe, M. Effects of preoperative sagittal spinal imbalance on pain after lateral lumbar interbody fusion. Sci. Rep. 2022, 12, 3001. [Google Scholar] [CrossRef] [PubMed]
- Cerpa, M.; Lenke, L.G.; Fehlings, M.G.; Shaffrey, C.I.; Cheung, K.M.C.; Carreon, L.Y. Evolution and Advancement of Adult Spinal Deformity Research and Clinical Care: An Overview of the Scoli-RISK-1 Study. Glob. Spine J. 2019, 9 (Suppl. 1), 8S–14S. [Google Scholar] [CrossRef] [PubMed]
- Smith, C.; Lamba, N.; Ou, Z.; Vo, Q.-A.; Araujo-Lama, L.; Lim, S.; Joshi, D.; Doucette, J.; Papatheodorou, S.; Tafel, I.; et al. The prevalence of complications associated with lumbar and thoracic spinal deformity surgery in the elderly population: A meta-analysis. J. Spine Surg. 2019, 5, 223–235. [Google Scholar] [CrossRef] [PubMed]
- Laverdière, C.; Georgiopoulos, M.; Ames, C.P.; Corban, J.; Ahangar, P.; Awadhi, K.; Weber, M.H. Adult Spinal Deformity Surgery and Frailty: A Systematic Review. Glob. Spine J. 2022, 12, 689–699. [Google Scholar] [CrossRef] [PubMed]
- Fu, K.-M.G.; Bess, S.; Shaffrey, C.I.; Smith, J.S.; Lafage, V.; Schwab, F.; Burton, D.C.; Akbarnia, B.A.; Ames, C.P.; Boachie-Adjei, O.; et al. Patients with Adult Spinal Deformity Treated Operatively Report Greater Baseline Pain and Disability Than Patients Treated Nonoperatively; However, Deformities Differ Between Age Groups. Spine 2014, 39, 1401–1407. [Google Scholar] [CrossRef] [PubMed]
- Sharma, A.; Tanenbaum, J.E.; Hogue, O.; Mehdi, S.; Vallabh, S.; Hu, E.; Benzel, E.C.; Steinmetz, M.P.; Savage, J.W. Predicting Clinical Outcomes Following Surgical Correction of Adult Spinal Deformity. Neurosurgery 2019, 84, 733–740. [Google Scholar] [CrossRef]
- Scheer, J.K.; Smith, J.S.; Schwab, F.; Lafage, V.; Shaffrey, C.I.; Bess, S.; Daniels, A.H.; Hart, R.A.; Protopsaltis, T.S.; Mundis, G.M.; et al. Development of a preoperative predictive model for major complications following adult spinal deformity surgery. J. Neurosurg. Spine 2017, 26, 736–743. [Google Scholar] [CrossRef]
- Wondra, J.P.I.; Kelly, M.P.; Greenberg, J.; Yanik, E.L.; Ames, C.P.; Pellise, F.; Vila-Casademunt, A.; Smith, J.S.; Bess, S.; Shaffrey, C.I.; et al. Validation of Adult Spinal Deformity Surgical Outcome Prediction Tools in Adult Symptomatic Lumbar Scoliosis. Spine 2023, 48, 21–28. [Google Scholar] [CrossRef]
- Zaidat, B.; Lahoti, Y.S.; Yu, A.; Mohamed, K.S.; Cho, S.K.; Kim, J.S. Artificially Intelligent Billing in Spine Surgery: An Analysis of a Large Language Model. Glob. Spine J. 2023, 21925682231224750. [Google Scholar] [CrossRef]
- Yang, X.; Chen, A.; PourNejatian, N.; Shin, H.C.; Smith, K.E.; Parisien, C.; Compas, C.; Martin, C.; Costa, A.B.; Flores, M.G.; et al. A large language model for electronic health records. npj Digit. Med. 2022, 5, 194. [Google Scholar] [CrossRef] [PubMed]
- Nguyen, H.T.; Pham, H.H.; Nguyen, N.T.; Nguyen, H.Q.; Huynh, T.Q.; Dao, M.; Vu, V. VinDr-SpineXR: A Deep Learning Framework for Spinal Lesions Detection and Classification from Radiographs. In Medical Image Computing and Computer Assisted Intervention—MICCAI 2021; de Bruijne, M., Cattin, P.C., Cotin, S., Padoy, N., Speidel, S., Zheng, Y., Essert, C., Eds.; Lecture Notes in Computer Science; Springer International Publishing: Cham, Switzerland, 2021; pp. 291–301. [Google Scholar]
- Saravi, B.; Hassel, F.; Ülkümen, S.; Zink, A.; Shavlokhova, V.; Couillard-Despres, S.; Boeker, M.; Obid, P.; Lang, G.M. Artificial Intelligence-Driven Prediction Modeling and Decision Making in Spine Surgery Using Hybrid Machine Learning Models. J. Pers. Med. 2022, 12, 509. [Google Scholar] [CrossRef] [PubMed]
- Loftus, T.J.; Tighe, P.J.; Filiberto, A.C.; Efron, P.A.; Brakenridge, S.C.; Mohr, A.M.; Rashidi, P.; Upchurch, G.R.; Bihorac, A. Artificial Intelligence and Surgical Decision-Making. JAMA Surg. 2020, 155, 148–158. [Google Scholar] [CrossRef] [PubMed]
- Rodrigues, A.J.; Schonfeld, E.; Varshneya, K.; Stienen, M.N.; Staartjes, V.E.; Jin, M.C.; Veeravagu, A. Comparison of Deep Learning and Classical Machine Learning Algorithms to Predict Postoperative Outcomes for Anterior Cervical Discectomy and Fusion Procedures with State-of-the-art Performance. Spine 2022, 47, 1637–1644. [Google Scholar] [CrossRef]
- Lee, N.J.; Lombardi, J.M.; Lehman, R.A. Artificial Intelligence and Machine Learning Applications in Spine Surgery. Int. J. Spine Surg. 2023, 17, S18–S25. [Google Scholar] [CrossRef]
- Chang, M.; Canseco, J.A.; Nicholson, K.J.; Patel, N.; Vaccaro, A.R. The Role of Machine Learning in Spine Surgery: The Future Is Now. Front. Surg. 2020, 7, 54. [Google Scholar] [CrossRef]
- Mascagni, P.; Alapatt, D.; Sestini, L.; Altieri, M.S.; Madani, A.; Watanabe, Y.; Alseidi, A.; Redan, J.A.; Alfieri, S.; Costamagna, G.; et al. Computer vision in surgery: From potential to clinical value. npj Digit. Med. 2022, 5, 163. [Google Scholar] [CrossRef]
- Huang, B.B.; Huang, J.; Swong, K.N. Natural Language Processing in Spine Surgery: A Systematic Review of Applications, Bias, and Reporting Transparency. World Neurosurg. 2022, 167, 156–164.e6. [Google Scholar] [CrossRef]
- Jamaludin, A.; Fairbank, J.; Harding, I.; Kadir, T.; Peters, T.J.; Zisserman, A.; Clark, E.M. Identifying Scoliosis in Population-Based Cohorts: Automation of a Validated Method Based on Total Body Dual Energy X-ray Absorptiometry Scans. Calcif. Tissue Int. 2020, 106, 378–385. [Google Scholar] [CrossRef]
- Roller, B.L.; Boutin, R.D.; O’Gara, T.J.; Knio, Z.O.; Jamaludin, A.; Tan, J.; Lenchik, L. Accurate prediction of lumbar microdecompression level with an automated MRI grading system. Skelet. Radiol. 2021, 50, 69–78. [Google Scholar] [CrossRef]
- Yagi, M.; Yamanouchi, K.; Fujita, N.; Funao, H.; Ebata, S. Revolutionizing Spinal Care: Current Applications and Future Directions of Artificial Intelligence and Machine Learning. J. Clin. Med. 2023, 12, 4188. [Google Scholar] [CrossRef] [PubMed]
- Karhade, A.V.; Bongers, M.E.R.; Groot, O.Q.; Kazarian, E.R.; Cha, T.D.; Fogel, H.A.; Hershman, S.H.; Tobert, D.G.; Schoenfeld, A.J.; Bono, C.M.; et al. Natural language processing for automated detection of incidental durotomy. Spine J. 2020, 20, 695–700. [Google Scholar] [CrossRef] [PubMed]
- Karhade, A.V.; Bongers, M.E.R.; Groot, O.Q.; Cha, T.D.; Doorly, T.P.; Fogel, H.A.; Hershman, S.H.; Tobert, D.G.; Srivastava, S.D.; Bono, C.M.; et al. Development of machine learning and natural language processing algorithms for preoperative prediction and automated identification of intraoperative vascular injury in anterior lumbar spine surgery. Spine J. 2021, 21, 1635–1642. [Google Scholar] [CrossRef]
- Karhade, A.V.; Bongers, M.E.R.; Groot, O.Q.; Cha, T.D.; Doorly, T.P.; Fogel, H.A.; Hershman, S.H.; Tobert, D.G.; Schoenfeld, A.J.; Kang, J.D.; et al. Can natural language processing provide accurate, automated reporting of wound infection requiring reoperation after lumbar discectomy? Spine J. 2020, 20, 1602–1609. [Google Scholar] [CrossRef]
- Karhade, A.V.; Lavoie-Gagne, O.; Agaronnik, N.; Ghaednia, H.; Collins, A.K.; Shin, D.; Schwab, J.H. Natural language processing for prediction of readmission in posterior lumbar fusion patients: Which free-text notes have the most utility? Spine J. 2022, 22, 272–277. [Google Scholar] [CrossRef] [PubMed]
- Simón-Sánchez, J.; Singleton, A. Genome-wide association studies in neurological disorders. Lancet Neurol. 2008, 7, 1067–1072. [Google Scholar] [CrossRef] [PubMed]
- Chen, Z.; Lei, Y.; Cao, X.; Zheng, Y.; Wang, F.; Bao, Y.; Peng, R.; Finnell, R.H.; Zhang, T.; Wang, H. Genetic analysis of Wnt/PCP genes in neural tube defects. BMC Med. Genom. 2018, 11, 38. [Google Scholar] [CrossRef]
- Wang, L.-H.; Zhang, G.-L.; Liu, X.-Y.; Peng, A.; Ren, H.-Y.; Huang, S.-H.; Liu, T.; Wang, X.-J. CELSR1 Promotes Neuroprotection in Cerebral Ischemic Injury Mainly Through the Wnt/PKC Signaling Pathway. Int. J. Mol. Sci. 2020, 21, 1267. [Google Scholar] [CrossRef]
- Noh, S.H.; Lee, H.S.; Park, G.E.; Ha, Y.; Park, J.Y.; Kuh, S.U.; Chin, D.K.; Kim, K.S.; Cho, Y.E.; Kim, S.H.; et al. Predicting Mechanical Complications After Adult Spinal Deformity Operation Using a Machine Learning Based on Modified Global Alignment and Proportion Scoring with Body Mass Index and Bone Mineral Density. Neurospine 2023, 20, 265–274. [Google Scholar] [CrossRef]


| CNN | AUC | F1 | Precision | Sensitivity | Specificity |
| Pulmonary Complication | 0.579 | 0.288 | 0.235 | 0.326 | 0.822 |
| Neurological Complication | 0.619 | 0.224 | 0.137 | 0.447 | 0.766 |
| Sepsis | 0.534 | 0.132 | 0.066 | 0.198 | 0.917 |
| Delirium | 0.654 | 0.168 | 0.092 | 0.478 | 0.756 |
| Pre-Trained CNN | AUC | F1 | Precision | Sensitivity | Specificity |
| Pulmonary Complication | 0.552 | 0.259 | 0.212 | 0.290 | 0.819 |
| Neurological Complication | 0.545 | 0.169 | 0.092 | 0.620 | 0.491 |
| Sepsis | 0.638 | 0.135 | 0.069 | 0.713 | 0.504 |
| Delirium | 0.414 | 0.000 | 0.000 | 1.000 | 0.000 |
| LLM | AUC | F1 | Precision | Sensitivity | Specificity |
|---|---|---|---|---|---|
| Pulmonary Complication | 0.565 | 0.545 | 0.410 | 0.814 | 0.317 |
| Neurological Complication | 0.559 | 0.250 | 0.467 | 0.171 | 0.946 |
| Sepsis | 0.557 | 0.383 | 0.440 | 0.338 | 0.776 |
| Delirium | 0.508 | 0.156 | 0.085 | 1.000 | 0.017 |
| Chromosome | SNP | rsID | Reference Allele | All Alternate Alleles | OR | p | Gene | Coding Variant | Clinical Significance |
|---|---|---|---|---|---|---|---|---|---|
| 1 | 1:44000938:G:A | rs76038188 | G | A | 2.77567 | 5.3 × 10−6 | SLC6A9 | No | Benign |
| 1 | 1:44001675:C:T | rs188509294 | C | T | 4.31614 | 7.2 × 10−7 | SLC6A9 | No | |
| 1 | 1:44002768:C:T | rs41270407 | C | T | 2.80768 | 4.2 × 10−6 | SLC6A9 | No | Benign |
| 1 | 1:44010680:G:T | rs62621784 | G | T | 2.81042 | 4.1 × 10−6 | SLC6A9 | No | Benign |
| 1 | 1:155612177:T:C | rs470548 | T | C | 7.41008 | 2.9 × 10−7 | MSTO1 | No | Benign |
| 2 | 2:175964654:C:A | rs144765990 | C | A | 3.94093 | 2.8 × 10−6 | LNPK | No | |
| 4 | 4:16674160:C:A | rs191683804 | C | A | 8.05679 | 2.3 × 10−6 | LDB2 | No | |
| 5 | 5:138150951:A:T | rs79552163 | A | T | 2.36997 | 5.4 × 10−6 | BRD8 | Yes | |
| 6 | 6:53097675:G:A | rs9474385 | G | A | 3.52686 | 3.9 × 10−6 | FBXO9 | No | |
| 6 | 6:64626250:G:A | rs9445051 | G | A | 1.57604 | 4.2 × 10−6 | EYS | No | Benign |
| 10 | 10:103406519:A:G | rs17735658 | A | G | 3.87312 | 1.3 × 10−7 | PDCD11 | No | |
| 15 | 15:42737116:C:T | rs190314153 | C | T | 5.62477 | 6.5 × 10−6 | CDAN1 | No | Uncertain significance, Benign |
| 22 | 22:39647872:C:A | rs57732048 | C | A | 4.384 | 7.2 × 10−6 | CACNA1I | Yes | |
| 22 | 22:46365600:C:G | rs12165943 | C | G | 1.58045 | 4.4 × 10−6 | CELSR1 | Yes | |
| 22 | 22:46373108:T:C | rs6008779 | T | C | 1.64463 | 6.9 × 10−6 | CELSR1 | No | |
| 22 | 22:46378549:C:G | rs56344079 | C | G | 1.68868 | 2.3 × 10−6 | CELSR1 | No | |
| 22 | 22:46384624:T:C | rs6007897 | T | C | 1.69137 | 1.1 × 10−6 | CELSR1 | Yes | |
| 22 | 22:46391537:C:T | rs6008793 | C | T | 1.65223 | 3.8 × 10−6 | CELSR1 | No | |
| 22 | 22:46391797:A:G | rs6008794 | A | G | 1.64112 | 5.0 × 10−6 | CELSR1 | Yes | |
| 22 | 22:46391800:A:G | rs6008795 | A | G | 1.63249 | 6.7 × 10−6 | CELSR1 | Yes | |
| 22 | 22:46394132:G:T | rs11703679 | G | T | 1.6524 | 3.5 × 10−6 | CELSR1 | No |
Disclaimer/Publisher’s Note: The statements, opinions and data contained in all publications are solely those of the individual author(s) and contributor(s) and not of MDPI and/or the editor(s). MDPI and/or the editor(s) disclaim responsibility for any injury to people or property resulting from any ideas, methods, instructions or products referred to in the content. |
© 2024 by the authors. Licensee MDPI, Basel, Switzerland. This article is an open access article distributed under the terms and conditions of the Creative Commons Attribution (CC BY) license (https://creativecommons.org/licenses/by/4.0/).
Share and Cite
Schonfeld, E.; Pant, A.; Shah, A.; Sadeghzadeh, S.; Pangal, D.; Rodrigues, A.; Yoo, K.; Marianayagam, N.; Haider, G.; Veeravagu, A. Evaluating Computer Vision, Large Language, and Genome-Wide Association Models in a Limited Sized Patient Cohort for Pre-Operative Risk Stratification in Adult Spinal Deformity Surgery. J. Clin. Med. 2024, 13, 656. https://doi.org/10.3390/jcm13030656
Schonfeld E, Pant A, Shah A, Sadeghzadeh S, Pangal D, Rodrigues A, Yoo K, Marianayagam N, Haider G, Veeravagu A. Evaluating Computer Vision, Large Language, and Genome-Wide Association Models in a Limited Sized Patient Cohort for Pre-Operative Risk Stratification in Adult Spinal Deformity Surgery. Journal of Clinical Medicine. 2024; 13(3):656. https://doi.org/10.3390/jcm13030656
Chicago/Turabian StyleSchonfeld, Ethan, Aaradhya Pant, Aaryan Shah, Sina Sadeghzadeh, Dhiraj Pangal, Adrian Rodrigues, Kelly Yoo, Neelan Marianayagam, Ghani Haider, and Anand Veeravagu. 2024. "Evaluating Computer Vision, Large Language, and Genome-Wide Association Models in a Limited Sized Patient Cohort for Pre-Operative Risk Stratification in Adult Spinal Deformity Surgery" Journal of Clinical Medicine 13, no. 3: 656. https://doi.org/10.3390/jcm13030656
APA StyleSchonfeld, E., Pant, A., Shah, A., Sadeghzadeh, S., Pangal, D., Rodrigues, A., Yoo, K., Marianayagam, N., Haider, G., & Veeravagu, A. (2024). Evaluating Computer Vision, Large Language, and Genome-Wide Association Models in a Limited Sized Patient Cohort for Pre-Operative Risk Stratification in Adult Spinal Deformity Surgery. Journal of Clinical Medicine, 13(3), 656. https://doi.org/10.3390/jcm13030656

