Altered Expressions of IL-15, IFNG, and HPRT1 Genes in the Thin Endometria of Patients with Reproductive Disorders: A Prospective Comparative Study
Abstract
1. Introduction
2. Materials and Methods
2.1. Subjects
2.2. Ethics Approval
2.3. Sample Processing
2.4. RNA Isolation from Endometrial Samples
2.5. cDNA Synthesis and Quantitative Polymerase Chain Reaction (PCR)
2.6. Statistical Analysis
3. Results
3.1. Demographic and Clinical Characteristics of the Study Groups
3.2. The Levels of mRNA in Endometrial Samples of RIF Patients in Comparison with RPL Patients
3.3. Associations with Clinical and Laboratory Characteristics
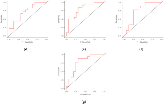
3.4. ROC Analysis
4. Discussion
5. Conclusions
Author Contributions
Funding
Institutional Review Board Statement
Informed Consent Statement
Data Availability Statement
Acknowledgments
Conflicts of Interest
References
- Wang, X.; Yu, Q. An update on the progress of transcriptomic profiles of human endometrial receptivity. Biol. Reprod. 2018, 98, 440–448. [Google Scholar] [CrossRef]
- Harrity, C.; Shkrobot, L.; Walsh, D.; Marron, K. ART implantation failure and miscarriage in patients with elevated intracellular cytokine ratios: Response to immune support therapy. Fertil. Res. Pract. 2018, 4, 7. [Google Scholar] [CrossRef] [PubMed]
- Lessey, B.A.; Young, S.L. What exactly is endometrial receptivity? Fertil. Steril. 2019, 111, 611–617. [Google Scholar] [CrossRef] [PubMed]
- Guo, J.; Zhou, W.; Sacco, M.; Downing, P.; Dimitriadis, E.; Zhao, F. Using organoids to investigate human endometrial receptivity. Front. Endocrinol. 2023, 14, 1158515. [Google Scholar] [CrossRef]
- Maekawa, R.; Taketani, T.; Mihara, Y.; Sato, S.; Okada, M.; Tamura, I.; Jozaki, K.; Kajimura, T.; Asada, H.; Tamura, H.; et al. Thin endometrium transcriptome analysis reveals a potential mechanism of implantation failure. Reprod. Med. Biol. 2017, 16, 206–227. [Google Scholar] [CrossRef] [PubMed]
- Du, J.; Lu, H.; Yu, X.; Dong, L.; Mi, L.; Wang, J.; Zheng, X.; Feng, K. The effect of icariin for infertile women with thin endometrium: A protocol for systematic review. Medicine 2020, 99, e19111. [Google Scholar] [CrossRef] [PubMed]
- Azizi, R.; Aghebati-Maleki, L.; Nouri, M.; Marofi, F.; Negargar, S.; Yousefi, M. Stem cell therapy in Asherman syndrome and thin endometrium: Stem cell-based therapy. Biomed. Pharmacother. 2018, 102, 333–343. [Google Scholar] [CrossRef] [PubMed]
- Hu, S.; Yao, G.; Wang, Y.; Xu, H.; Ji, X.; He, Y.; Zhu, Q.; Chen, Z.; Sun, Y. Transcriptomic changes during the pre-receptive to receptive transition in human endometrium detected by RNA-seq. J. Clin. Endocrinol. Metab. 2014, 99, E2744–E2753. [Google Scholar] [CrossRef] [PubMed]
- Saha, S.; Matthews, D.A.; Bessant, C. High Throughput Discovery of Protein Variants Using Proteomics Informed by Transcriptomics. Nucleic Acids Res. 2018, 46, 4893–4902. [Google Scholar] [CrossRef]
- Zong, L.; Zheng, S.; Meng, Y.; Tang, W.; Li, D.; Wang, Z.; Tong, X.; Xu, B. Integrated Transcriptomic Analysis of the miRNA-mRNA Interaction Network in Thin Endometrium. Front. Genet. 2021, 12, 589408. [Google Scholar] [CrossRef] [PubMed]
- Enciso, M.; Carrascosa, J.P.; Sarasa, J.; Martínez-Ortiz, P.A.; Munné, S.; Horcajadas, J.A.; Aizpurua, J. Development of a new comprehensive and reliable endometrial receptivity map (ER Map/ER Grade) based on RT-qPCR gene expression analysis. Hum. Reprod. 2018, 33, 220–228. [Google Scholar] [CrossRef] [PubMed]
- Messaoudi, S.; El Kasmi, I.; Bourdiec, A.; Crespo, K.; Bissonnette, L.; Le Saint, C.; Bissonnette, F.; Kadoch, I.-J. 15 years of transcriptomic analysis on endometrial receptivity: What have we learnt? Fertil. Res. Pract. 2019, 5, 9. [Google Scholar] [CrossRef] [PubMed]
- Altmäe, S.; Koel, M.; Võsa, U.; Adler, P.; Suhorutšenko, M.; Laisk-Podar, T.; Kukushkina, V.; Saare, M.; Velthut-Meikas, A.; Krjutškov, K.; et al. Meta-signature of human endometrial receptivity: A meta-analysis and validation study of transcriptomic biomarkers. Sci. Rep. 2017, 7, 10077. [Google Scholar] [CrossRef] [PubMed]
- Xu, L.; Fan, Y.; Wang, J.; Shi, R. Dysfunctional intercellular communication and metabolic signaling pathways in thin endometrium. Front. Physiol. 2022, 13, 1050690. [Google Scholar] [CrossRef]
- Li, X.; Kumar, A.; Zhang, F.; Lee, C.; Tang, Z. Complicated life, complicated VEGF-B. Trends Mol. Med. 2012, 18, 119–127. [Google Scholar] [CrossRef]
- Albayrak, İ.G.; Azhari, F.; Çolak, E.N.; Balcı, B.K.; Ülgen, E.; Sezerman, U.; Baştu, E.; Günel, T. Endometrial gene expression profiling of recurrent implantation failure after in vitro fertilization. Mol. Biol. Rep. 2021, 48, 5075–5082. [Google Scholar] [CrossRef]
- Basatvat, S.; Russell, J.M.; Saare, M.; Thurston, L.M.; Salumets, A.; Fazeli, A. Potential innate immunity-related markers of endometrial receptivity and recurrent implantation failure (RIF). Reprod. Biol. 2021, 21, 100569. [Google Scholar] [CrossRef]
- Lédée, N.; Petitbarat, M.; Rahmati, M.; Dubanchet, S.; Chaouat, G.; Sandra, O.; Perrier-d’Hauterive, S.; Munaut, C.; Foidart, J.M. New pre-conception immune biomarkers for clinical practice: Interleukin-18, interleukin-15 and TWEAK on the endometrial side, G-CSF on the follicular side. J. Reprod. Immunol. 2011, 88, 118–123. [Google Scholar] [CrossRef]
- Murata, H.; Tanaka, S.; Tsuzuki-Nakao, T.; Kido, T.; Kakita-Kobayashi, M.; Kida, N.; Hisamatsu, Y.; Tsubokura, H.; Hashimoto, Y.; Kitada, M.; et al. The transcription factor HAND2 up-regulates transcription of the IL15 gene in human endometrial stromal cells. J. Biol. Chem. 2020, 295, 9596–9605. [Google Scholar] [CrossRef]
- ESHRE Guideline Group on RPL; Bender Atik, R.; Christiansen, O.B.; Elson, J.; Kolte, A.M.; Lewis, S.; Middeldorp, S.; Nelen, W.; Peramo, B.; Quenby, S.; et al. ESHRE guideline: Recurrent pregnancy loss. Hum. Reprod. Open 2018, 2018, hoy004. [Google Scholar] [CrossRef]
- ESHRE Working Group on Recurrent Implantation Failure; Cimadomo, D.; de Los Santos, M.J.; Griesinger, G.; Lainas, G.; Le Clef, N.; McLernon, D.J.; Montjean, D.; Toth, B.; Vermeulen, N.; et al. ESHRE good practice recommendations on recurrent implantation failure. Hum. Reprod. Open 2023, 2023, hoad023. [Google Scholar] [CrossRef] [PubMed]
- Königshoff, M.; Kramer, M.; Balsara, N.; Wilhelm, J.; Amarie, O.V.; Jahn, A.; Rose, F.; Fink, L.; Seeger, W.; Schaefer, L.; et al. WNT1-inducible signaling protein-1 mediates pulmonary fibrosis in mice and is upregulated in humans with idiopathic pulmonary fibrosis. J. Clin. Investig. 2009, 119, 772–787. [Google Scholar] [CrossRef] [PubMed]
- Goksuluk, D.; Korkmaz, S.; Zararsiz, G.; Karaagaoglu, A.E. Easy ROC: An interactive web-tool for ROC curve analysis using R language environment. R J. 2016, 8, 213–230. [Google Scholar] [CrossRef]
- Muller, M.P.; Tomlinson, G.; Marrie, T.J.; Tang, P.; McGeer, A.; Low, D.E.; Detsky, A.S.; Gold, W.L. Can routine laboratory tests discriminate between severe acute respiratory syndrome and other causes of community-acquired pneumonia? Clin. Infect. Dis. 2005, 40, 1079–1086. [Google Scholar] [CrossRef] [PubMed]
- Devesa-Peiro, A.; Sebastian-Leon, P.; Garcia-Garcia, F.; Arnau, V.; Aleman, A.; Pellicer, A.; Diaz-Gimeno, P. Uterine disorders affecting female fertility: What are the molecular functions altered in endometrium? Fertil. Steril. 2020, 113, 1261–1274. [Google Scholar] [CrossRef] [PubMed]
- Zhu, Q.; Yao, S.; Dong, Y.; Liu, D.; Wang, H.; Jiang, P.; Dai, C.; Lv, H.; Cao, C.; Zhou, Z.; et al. Down-regulation of PBK inhibits proliferation of human endometrial stromal cells in thin endometrium. Reprod. Biol. Endocrinol. 2022, 20, 25. [Google Scholar] [CrossRef]
- Robertson, S.A.; Moldenhauer, L.M.; Green, E.S.; Care, A.S.; Hull, M.L. Immune determinants of endometrial receptivity: A biological perspective. Fertil. Steril. 2022, 117, 1107–1120. [Google Scholar] [CrossRef]
- Li, F.; Gao, W.; Li, Y.; Wang, Y.; Liu, L.; Zhang, X. Potential Biomarkers and Endometrial Immune Microenvironment in Recurrent Implantation Failure. Biomolecules 2023, 13, 406. [Google Scholar] [CrossRef]
- Rodríguez-Eguren, A.; Bueno-Fernandez, C.; Gómez-Álvarez, M.; Francés-Herrero, E.; Pellicer, A.; Bellver, J.; Seli, E.; Cervelló, I. Evolution of biotechnological advances and regenerative therapies for endometrial disorders: A systematic review. Hum. Reprod. Update 2024, 30, dmae013. [Google Scholar] [CrossRef]
- Maziotis, E.; Kalampokas, T.; Giannelou, P.; Grigoriadis, S.; Rapani, A.; Anifantakis, M.; Kotsifaki, A.; Pantou, A.; Triantafyllidou, O.; Tzanakaki, D.; et al. Commercially Available Molecular Approaches to Evaluate Endometrial Receptivity: A Systematic Review and Critical Analysis of the Literature. Diagnostics 2022, 12, 2611. [Google Scholar] [CrossRef]
- Bastu, E.; Demiral, I.; Gunel, T.; Ulgen, E.; Gumusoglu, E.; Hosseini, M.K.; Sezerman, U.; Buyru, F.; Yeh, J. Potential Marker Pathways in the Endometrium That May Cause Recurrent Implantation Failure. Reprod. Sci. 2019, 26, 879–890. [Google Scholar] [CrossRef] [PubMed]
- Macklon, N.S.; Brosens, J.J. The human endometrium as a sensor of embryo quality. Biol. Reprod. 2014, 91, 98. [Google Scholar] [CrossRef] [PubMed]
- Ochoa-Bernal, M.A.; Fazleabas, A.T. Physiologic Events of Embryo Implantation and Decidualization in Human and Non-Human Primates. Int. J. Mol. Sci. 2020, 21, 1973. [Google Scholar] [CrossRef] [PubMed]
- Li, J.; Qi, J.; Yao, G.; Zhu, Q.; Li, X.; Xu, R.; Zhu, Z.; Zhao, H.; Wang, Y.; Ding, Y.; et al. Deficiency of Sirtuin 1 Impedes Endometrial Decidualization in Recurrent Implantation Failure Patients. Front. Cell Dev. Biol. 2021, 9, 598364. [Google Scholar] [CrossRef] [PubMed]
- Azizi, E.; Mofarahe, Z.S.; Naji, M. MicroRNAs, small regulatory elements with significant effects on human implantation: A review. J. Assist. Reprod. Genet. 2023, 40, 697–717. [Google Scholar] [CrossRef]
- Zhang, X.X.; Wu, X.H. Decreased CD56+CD16-CD94+uNK cells in the mid-luteal phase in women with recurrent implantation failure are associated with IL-15 deficiency. Am. J. Reprod. Immunol. 2023, 90, e13794. [Google Scholar] [CrossRef]
- Bashiri, A.; Halper, K.I.; Orvieto, R. Recurrent Implantation Failure-update overview on etiology, diagnosis, treatment and future directions. Reprod. Biol. Endocrinol. 2018, 16, 21. [Google Scholar] [CrossRef]
- Zargar, M.; Ghafourian, M.; Behrahi, F.; Nikbakht, R.; Salehi, A.M. Association of recurrent implantation failure and recurrent pregnancy loss with peripheral blood natural killer cells and interferon-gamma level. Obstet. Gynecol. Sci. 2024, 67, 112–119. [Google Scholar] [CrossRef]
- Cordeiro, P.A.S.; Assone, T.; Prates, G.; Tedeschi, M.R.M.; Fonseca, L.A.M.; Casseb, J. The role of IFN-γ production during retroviral infections: An important cytokine involved in chronic inflammation and pathogenesis. Rev. Inst. Med. Trop. São Paulo 2022, 64, e64. [Google Scholar] [CrossRef]
- Meek, S.; Sutherland, L.; Wei, J.; Sturmey, R.; Binas, B.; Clinton, M.; Burdon, T. Hypoxanthine phosphoribosyltransferase (HPRT)-deficiency is associated with impaired fertility in the female rat. Mol. Reprod. Dev. 2020, 87, 930–933. [Google Scholar] [CrossRef]



| Characteristic | RIF Patients (n = 20) | RPL Patients (n = 19) |
|---|---|---|
| Age (years): Mean ± SD | 34.65 ± 5.29 | 33.37 ± 5.22 |
| BMI (kg/m2): Mean ± SD | 23.36 ± 4.24 | 25.69 ± 4.79 |
| Endometrium thickness (mm): Mean ± SD | 6.51 ± 1.27 | 6.13 ± 1.86 |
| Fibrinogen, g/L: Mean ± SD | 3.05 ± 0.51 | 3.10 ± 0.23 |
| Prothrombin index, %: Mean ± SD | 99.16 ± 8.22 | 97.57 ± 6.49 |
| Prothrombin time, sec: Mean ± SD | 13.04 ± 2.35 * | 14.69 ± 1.78 |
| Activated partial thromboplastin time, sec: Mean ± SD | 34.04 ± 3.61 | 32.10 ± 2.20 |
| International normalized ratio: Mean ± SD | 1.04 ± 0.12 | 1.21 ± 0.14 |
| Anti-Mullerian hormone, ng/mL: Mean ± SD | 2.60 ± 1.03 | 2.64 ± 0.32 |
| Luteinizing hormone, mIU/mL: Mean ± SD | 8.34 ± 2.13 | 11.24 ± 3.26 |
| Follicle-stimulating hormone, mIU/mL: Mean ± SD | 6.19 ± 1.43 | 6.00 ± 1.07 |
| Prolactin, mIU/L: Mean ± SD | 325.0 ± 152.4 | 333.6 ± 61.6 |
| Thyroid-stimulating hormone, mIU/mL: Mean ± SD | 2.84 ± 0.74 | nd |
| Chronic endometritis, yes/no | 20/0 | 16/3 |
| Chronic Salpingo-oophoritis, yes/no | 10/10 | 10/9 |
| Pelvic organ surgeries, yes/no | 10/10 | 6/13 |
| Endometriosis, yes/no | 5/15 | 4/15 |
| Uterine fibroids, yes/no | 1/19 | 3/16 |
| Polyps, yes/no | 1/19 | 4/15 |
| Gene | Ct (Mean ± SD) | ΔCt (Mean ± SE) | ΔΔCt (95% CI) Log2 Fold Change | p Value | ||
|---|---|---|---|---|---|---|
| RIF | RLP | RIF | RLP | |||
| C4BPA | 30.51 ± 3.75 | 29.69 ± 3.29 | −8.20 ± 0.61 | −9.65 ± 0.38 | 0.99 (−0.06; 2.13) | 0.059 |
| CXCL1 | 28.19 ± 4.85 | 27.84 ± 4.27 | −5.53 ± 0.65 | −6.82 ± 0.29 | 0.83 (−0.33; 1.97) | 0.175 |
| HAND2 | 24.36 ± 4.29 | 22.90 ± 3.52 | −1.69 ± 0.44 | −1.88 ± 0.17 | 0.35 (−0.24; 1.00) | 0.235 |
| HPRT1 | 25.59 ± 3.81 | 24.77 ± 4.23 | −2.92 ± 0.29 | −3.75 ± 0.13 | 0.57 (0.01; 1.54) | 0.041 |
| IFNG | 33.68 ± 2.49 | 33.58 ± 2.85 | −12.27 ± 0.48 | −13.52 ± 0.36 | 1.24 (0.01; 2.43) | 0.046 |
| IL15 | 26.54 ± 3.63 | 25.89 ± 3.89 | −3.88 ± 0.28 | −4.87 ± 0.22 | 0.92 (0.10; 1.65) | 0.023 |
| IL8 | 28.93 ± 4.19 | 28.16 ± 4.00 | −6.26 ± 0.67 | −7.55 ± 0.54 | 1.09 (−0.04; 2.55) | 0.070 |
| MMP10 | 32.07 ± 3.89 | 29.76 ± 5.55 | −9.41 ± 0.86 | −8.74 ± 0.66 | −0.04 (−2.70; 1.81) | 0.945 |
| TNC | 27.24 ± 4.15 | 25.07 ± 4.49 | −4.57 ± 0.45 | −4.04 ± 0.40 | −0.58 (−1.45; 0.78) | 0.396 |
| VEGFB | 25.64 ± 3.46 | 24.20 ± 3.41 | −2.97 ± 0.19 | −3.18 ± 0.21 | 0.34 (−0.23; 0.77) | 0.214 |
| GAPDH | 22.90 ± 4.09 | 21.24 ± 4.45 | - | - | - | - |
| YWHAZ | 22.43 ± 3.47 | 20.81 ± 3.89 | - | - | - | - |
| Group | Parameter 1 | Parameter 2 | Spearman’s Rho Value | p Value |
|---|---|---|---|---|
| RPL group | CXCL1 | Prothrombin time | −0.456 | 0.04959 |
| CXCL1 | Activated partial thromboplastin time | 0.587 | 0.0083 | |
| MMP10 | Activated partial thromboplastin time | −0.494 | 0.0317 | |
| RIF group | VEGFB | Prolactin | −0.446 | 0.049 |
| VEGFB | Thyroid-stimulating hormone | −0.526 | 0.017 | |
| HAND2 | Thyroid-stimulating hormone | −0.671 | 0.001 | |
| HAND2 | Fibrinogen | −0.465 | 0.038 |
| Potential Markers and Combinations | AUC (95% CI) | Optimal Cut-Off Point | Sensitivity (95% CI) | Specificity (95% CI) |
|---|---|---|---|---|
| IL15 | 0.713 (0.550–0.876) | −4.091 | 0.800 (0.563–0.943) | 0.579 (0.335–0.797) |
| IFNG | 0.701 (0.516–0.886) | −13.238 | 0.667 (0.410–0.867) | 0.750 (0.476–0.927) |
| HPRT1 | 0.692 (0.505–0.879) | −3.568 | 0.900 (0.683–0.988) | 0.632 (0.384–0.837) |
| IL15 + IFNG | 0.722 | - | 0.667 | 0.688 |
| IL15 + HPRT1 | 0.800 | - | 0.850 | 0.684 |
| IFNG + HPRT1 | 0.753 | - | 0.778 | 0.750 |
| IL15 + IFNG + HPRT1 | 0.778 | - | 0.889 | 0.688 |
Disclaimer/Publisher’s Note: The statements, opinions and data contained in all publications are solely those of the individual author(s) and contributor(s) and not of MDPI and/or the editor(s). MDPI and/or the editor(s) disclaim responsibility for any injury to people or property resulting from any ideas, methods, instructions or products referred to in the content. |
© 2024 by the authors. Licensee MDPI, Basel, Switzerland. This article is an open access article distributed under the terms and conditions of the Creative Commons Attribution (CC BY) license (https://creativecommons.org/licenses/by/4.0/).
Share and Cite
Kurmanova, A.; Ashirbekov, Y.; Kurmanova, G.; Mamedaliyeva, N.; Anartayeva, G.; Moshkalova, G.; Salimbayeva, D.; Tulesheva, A.; Zhankina, Z. Altered Expressions of IL-15, IFNG, and HPRT1 Genes in the Thin Endometria of Patients with Reproductive Disorders: A Prospective Comparative Study. J. Clin. Med. 2024, 13, 6184. https://doi.org/10.3390/jcm13206184
Kurmanova A, Ashirbekov Y, Kurmanova G, Mamedaliyeva N, Anartayeva G, Moshkalova G, Salimbayeva D, Tulesheva A, Zhankina Z. Altered Expressions of IL-15, IFNG, and HPRT1 Genes in the Thin Endometria of Patients with Reproductive Disorders: A Prospective Comparative Study. Journal of Clinical Medicine. 2024; 13(20):6184. https://doi.org/10.3390/jcm13206184
Chicago/Turabian StyleKurmanova, Almagul, Yeldar Ashirbekov, Gaukhar Kurmanova, Nagima Mamedaliyeva, Gaini Anartayeva, Gaukhar Moshkalova, Damilya Salimbayeva, Aidana Tulesheva, and Zhamilya Zhankina. 2024. "Altered Expressions of IL-15, IFNG, and HPRT1 Genes in the Thin Endometria of Patients with Reproductive Disorders: A Prospective Comparative Study" Journal of Clinical Medicine 13, no. 20: 6184. https://doi.org/10.3390/jcm13206184
APA StyleKurmanova, A., Ashirbekov, Y., Kurmanova, G., Mamedaliyeva, N., Anartayeva, G., Moshkalova, G., Salimbayeva, D., Tulesheva, A., & Zhankina, Z. (2024). Altered Expressions of IL-15, IFNG, and HPRT1 Genes in the Thin Endometria of Patients with Reproductive Disorders: A Prospective Comparative Study. Journal of Clinical Medicine, 13(20), 6184. https://doi.org/10.3390/jcm13206184

