NT-proBNP Reflects Left Ventricular Hypertrophy Rather than Left Ventricular Dilatation or Systolic Dysfunction in Patients with Fabry Disease
Abstract
1. Introduction
2. Materials and Methods
2.1. Patient Inclusion and Follow-Ups
2.2. Data Assessment and Blood Sampling
2.3. LysoGb3 Measurements
2.4. Cardiac Imaging
2.5. Statistical Analysis
3. Results
3.1. Baseline Characteristics
3.2. Association of NT-proBNP, Specific Therapy and Left Ventricular Hypertrophy
3.3. NT-proBNP and Echocardiography
3.4. NT-proBNP and Cardiac Magnetic Resonance Imaging
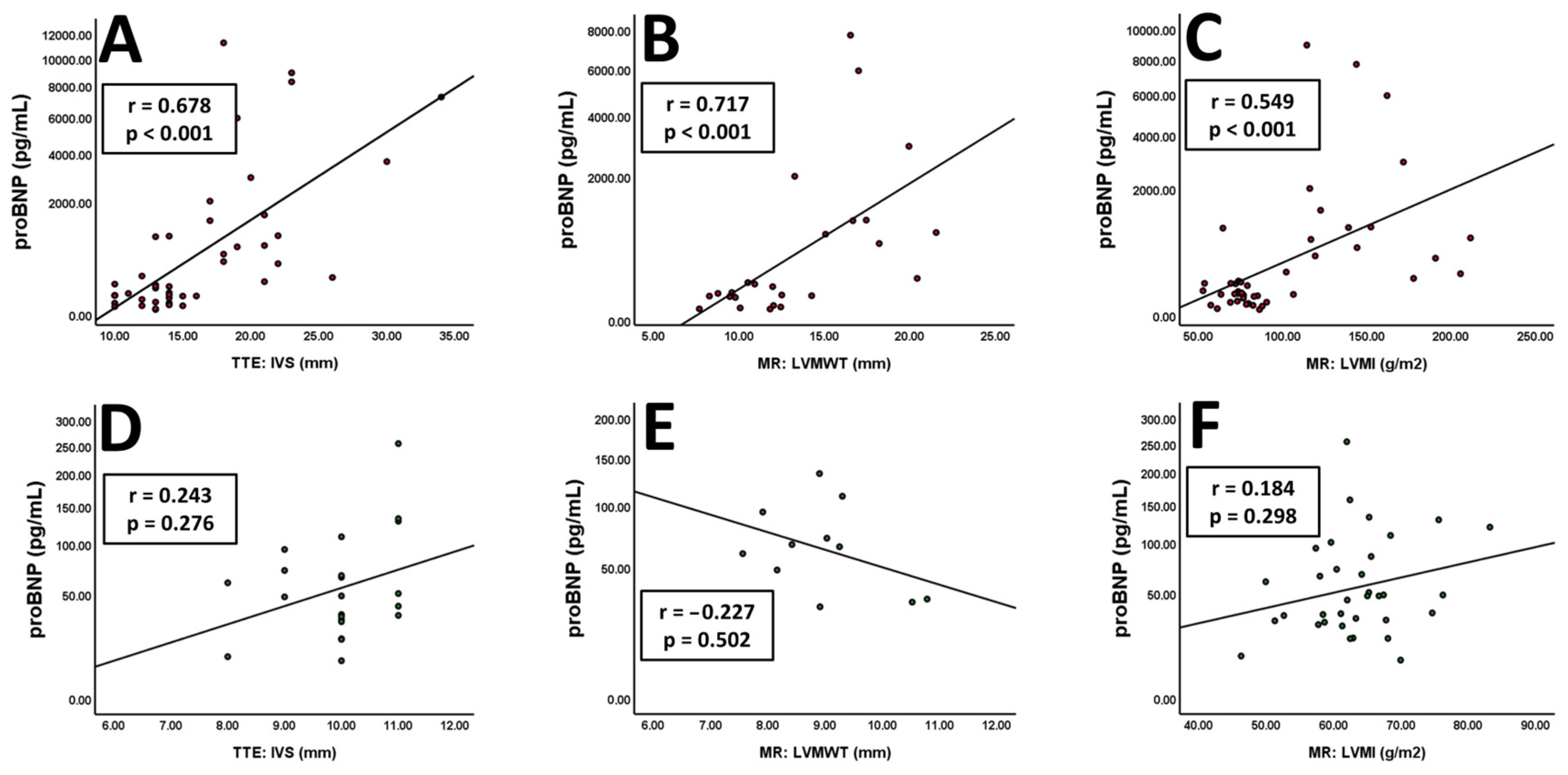
3.5. NT-proBNP Reflects Hypertrophy Rather than Dilatation or Dysfunction
3.6. Associations of NT-proBNP and LysoGb3
3.7. NT-proBNP, Low T1 and Diastolic Dysfunction
3.8. NT-proBNP and Right Ventricular Parameters
3.9. NT-proBNP and Overall Disease Severity
4. Discussion
Supplementary Materials
Author Contributions
Funding
Institutional Review Board Statement
Informed Consent Statement
Data Availability Statement
Acknowledgments
Conflicts of Interest
References
- Germain, D.P. Fabry disease. Orphanet J. Rare Dis. 2010, 5, 30. [Google Scholar] [CrossRef] [PubMed]
- Mehta, A.; Clarke, J.T.; Giugliani, R.; Elliott, P.; Linhart, A.; Beck, M.; Sunder-Plassmann, G.; Investigators, F.O.S. Natural course of Fabry disease: Changing pattern of causes of death in FOS-Fabry Outcome Survey. J. Med. Genet. 2009, 46, 548–552. [Google Scholar] [CrossRef] [PubMed]
- Pieroni, M.; Moon, J.C.; Arbustini, E.; Barriales-Villa, R.; Camporeale, A.; Vujkovac, A.C.; Elliott, P.M.; Hagege, A.; Kuusisto, J.; Linhart, A.; et al. Cardiac Involvement in Fabry Disease: JACC Review Topic of the Week. J. Am. Coll. Cardiol. 2021, 77, 922–936. [Google Scholar] [CrossRef] [PubMed]
- Azevedo, O.; Cordeiro, F.; Gago, M.F.; Miltenberger-Miltenyi, G.; Ferreira, C.; Sousa, N.; Cunha, D. Fabry Disease and the Heart: A Comprehensive Review. Int. J. Mol. Sci. 2021, 22, 4434. [Google Scholar] [CrossRef] [PubMed]
- Fuller, M.; Mehta, A. Fabry cardiomyopathy: Missing links from genotype to phenotype. Heart 2020, 106, 553–554. [Google Scholar] [CrossRef]
- Linhart, A.; Germain, D.P.; Olivotto, I.; Akhtar, M.M.; Anastasakis, A.; Hughes, D.; Namdar, M.; Pieroni, M.; Hagege, A.; Cecchi, F.; et al. An expert consensus document on the management of cardiovascular manifestations of Fabry disease. Eur. J. Heart Fail. 2020, 22, 1076–1096. [Google Scholar] [CrossRef]
- Bichet, D.G.; Hopkin, R.J.; Aguiar, P.; Allam, S.R.; Chien, Y.H.; Giugliani, R.; Kallish, S.; Kineen, S.; Lidove, O.; Niu, D.M.; et al. Consensus recommendations for the treatment and management of patients with Fabry disease on migalastat: A modified Delphi study. Front. Med. 2023, 10, 1220637. [Google Scholar] [CrossRef]
- Germain, D.P.; Altarescu, G.; Barriales-Villa, R.; Mignani, R.; Pawlaczyk, K.; Pieruzzi, F.; Terryn, W.; Vujkovac, B.; Ortiz, A. An expert consensus on practical clinical recommendations and guidance for patients with classic Fabry disease. Mol. Genet. Metab. 2022, 137, 49–61. [Google Scholar] [CrossRef]
- Ortiz, A.; Germain, D.P.; Desnick, R.J.; Politei, J.; Mauer, M.; Burlina, A.; Eng, C.; Hopkin, R.J.; Laney, D.; Linhart, A.; et al. Fabry disease revisited: Management and treatment recommendations for adult patients. Mol. Genet. Metab. 2018, 123, 416–427. [Google Scholar] [CrossRef]
- Wanner, C.; Arad, M.; Baron, R.; Burlina, A.; Elliott, P.M.; Feldt-Rasmussen, U.; Fomin, V.V.; Germain, D.P.; Hughes, D.A.; Jovanovic, A.; et al. European expert consensus statement on therapeutic goals in Fabry disease. Mol. Genet. Metab. 2018, 124, 189–203. [Google Scholar] [CrossRef]
- Wanner, C.; Germain, D.P.; Hilz, M.J.; Spada, M.; Falissard, B.; Elliott, P.M. Therapeutic goals in Fabry disease: Recommendations of a European expert panel, based on current clinical evidence with enzyme replacement therapy. Mol. Genet. Metab. 2019, 126, 210–211. [Google Scholar] [CrossRef] [PubMed]
- Burlina, A.; Brand, E.; Hughes, D.; Kantola, I.; Krämer, J.; Nowak, A.; Tondel, C.; Wanner, C.; Spada, M. An expert consensus on the recommendations for the use of biomarkers in Fabry disease. Mol. Genet. Metab. 2023, 139, 107585. [Google Scholar] [CrossRef] [PubMed]
- Whybra, C.; Bahner, F.; Baron, K. Measurement of disease severity and progression in Fabry disease. In Fabry Disease: Perspectives from 5 Years of FOS; Mehta, A., Beck, M., Sunder-Plassmann, G., Eds.; Oxford PharmaGenesis: Oxford, UK, 2006. [Google Scholar]
- Polo, G.; Burlina, A.P.; Ranieri, E.; Colucci, F.; Rubert, L.; Pascarella, A.; Duro, G.; Tummolo, A.; Padoan, A.; Plebani, M.; et al. Plasma and dried blood spot lysosphingolipids for the diagnosis of different sphingolipidoses: A comparative study. Clin. Chem. Lab. Med. 2019, 57, 1863–1874. [Google Scholar] [CrossRef] [PubMed]
- Nowak, A.; Mechtler, T.; Kasper, D.C.; Desnick, R.J. Correlation of Lyso-Gb3 levels in dried blood spots and sera from patients with classic and Later-Onset Fabry disease. Mol. Genet. Metab. 2017, 121, 320–324. [Google Scholar] [CrossRef]
- Kramer, C.M.; Barkhausen, J.; Bucciarelli-Ducci, C.; Flamm, S.D.; Kim, R.J.; Nagel, E. Standardized cardiovascular magnetic resonance imaging (CMR) protocols: 2020 update. J. Cardiovasc. Magn. Reson. 2020, 22, 17. [Google Scholar] [CrossRef]
- Habibi, M.; Chahal, H.; Opdahl, A.; Gjesdal, O.; Helle-Valle, T.M.; Heckbert, S.R.; McClelland, R.; Wu, C.; Shea, S.; Hundley, G.; et al. Association of CMR-measured LA function with heart failure development: Results from the MESA study. JACC Cardiovasc. Imaging 2014, 7, 570–579. [Google Scholar] [CrossRef]
- Dabir, D.; Child, N.; Kalra, A.; Rogers, T.; Gebker, R.; Jabbour, A.; Plein, S.; Yu, C.Y.; Otton, J.; Kidambi, A.; et al. Reference values for healthy human myocardium using a T1 mapping methodology: Results from the International T1 Multicenter cardiovascular magnetic resonance study. J. Cardiovasc. Magn. Reson. 2014, 16, 69. [Google Scholar] [CrossRef]
- Lang, R.M.; Badano, L.P.; Mor-Avi, V.; Afilalo, J.; Armstrong, A.; Ernande, L.; Flachskampf, F.A.; Foster, E.; Goldstein, S.A.; Kuznetsova, T.; et al. Recommendations for cardiac chamber quantification by echocardiography in adults: An update from the American Society of Echocardiography and the European Association of Cardiovascular Imaging. Eur. Heart J. Cardiovasc. Imaging 2015, 16, 233–270. [Google Scholar] [CrossRef]
- Kawel-Boehm, N.; Hetzel, S.J.; Ambale-Venkatesh, B.; Captur, G.; Francois, C.J.; Jerosch-Herold, M.; Salerno, M.; Teague, S.D.; Valsangiacomo-Buechel, E.; van der Geest, R.J.; et al. Reference ranges (“normal values”) for cardiovascular magnetic resonance (CMR) in adults and children: 2020 update. J. Cardiovasc. Magn. Reson. 2020, 22, 87. [Google Scholar] [CrossRef]
- Levey, A.S.; Stevens, L.A.; Schmid, C.H.; Zhang, Y.L.; Castro, A.F., 3rd; Feldman, H.I.; Kusek, J.W.; Eggers, P.; Van Lente, F.; Greene, T.; et al. A new equation to estimate glomerular filtration rate. Ann. Intern. Med. 2009, 150, 604–612. [Google Scholar] [CrossRef]
- Salah, K.; Stienen, S.; Pinto, Y.M.; Eurlings, L.W.; Metra, M.; Bayes-Genis, A.; Verdiani, V.; Tijssen, J.G.P.; Kok, W.E. Prognosis and NT-proBNP in heart failure patients with preserved versus reduced ejection fraction. Heart 2019, 105, 1182–1189. [Google Scholar] [CrossRef] [PubMed]
- Oremus, M.; McKelvie, R.; Don-Wauchope, A.; Santaguida, P.L.; Ali, U.; Balion, C.; Hill, S.; Booth, R.; Brown, J.A.; Bustamam, A.; et al. A systematic review of BNP and NT-proBNP in the management of heart failure: Overview and methods. Heart Fail. Rev. 2014, 19, 413–419. [Google Scholar] [CrossRef] [PubMed]
- Seino, Y.; Ogawa, A.; Yamashita, T.; Fukushima, M.; Ogata, K.; Fukumoto, H.; Takano, T. Application of NT-proBNP and BNP measurements in cardiac care: A more discerning marker for the detection and evaluation of heart failure. Eur. J. Heart Fail. 2004, 6, 295–300. [Google Scholar] [CrossRef]
- Hall, C. Essential biochemistry and physiology of (NT-pro)BNP. Eur. J. Heart Fail. 2004, 6, 257–260. [Google Scholar] [CrossRef]
- Cowie, M.R.; Jourdain, P.; Maisel, A.; Dahlstrom, U.; Follath, F.; Isnard, R.; Luchner, A.; McDonagh, T.; Mair, J.; Nieminen, M.; et al. Clinical applications of B-type natriuretic peptide (BNP) testing. Eur. Heart J. 2003, 24, 1710–1718. [Google Scholar] [CrossRef] [PubMed]
- Maron, B.J. Hypertrophic cardiomyopathy: A systematic review. JAMA 2002, 287, 1308–1320. [Google Scholar] [CrossRef]
- Torralba-Cabeza, M.A.; Olivera, S.; Hughes, D.A.; Pastores, G.M.; Mateo, R.N.; Perez-Calvo, J.I. Cystatin C and NT-proBNP as prognostic biomarkers in Fabry disease. Mol. Genet. Metab. 2011, 104, 301–307. [Google Scholar] [CrossRef]
- Coats, C.J.; Parisi, V.; Ramos, M.; Janagarajan, K.; O’Mahony, C.; Dawnay, A.; Lachmann, R.H.; Murphy, E.; Mehta, A.; Hughes, D.; et al. Role of serum N-terminal pro-brain natriuretic peptide measurement in diagnosis of cardiac involvement in patients with anderson-fabry disease. Am. J. Cardiol. 2013, 111, 111–117. [Google Scholar] [CrossRef]
- Chevalier, C.; Wendner, M.; Suling, A.; Cavus, E.; Muellerleile, K.; Lund, G.; Kirchhof, P.; Patten, M. Association of NT-proBNP and hs-cTnT with Imaging Markers of Diastolic Dysfunction and Focal Myocardial Fibrosis in Hypertrophic Cardiomyopathy. Life 2022, 12, 1241. [Google Scholar] [CrossRef]
- Grewal, J.; McKelvie, R.; Lonn, E.; Tait, P.; Carlsson, J.; Gianni, M.; Jarnert, C.; Persson, H. BNP and NT-proBNP predict echocardiographic severity of diastolic dysfunction. Eur. J. Heart Fail. 2008, 10, 252–259. [Google Scholar] [CrossRef]
- Lukowicz, T.V.; Fischer, M.; Hense, H.W.; Döring, A.; Stritzke, J.; Riegger, G.; Schunkert, H.; Luchner, A. BNP as a marker of diastolic dysfunction in the general population: Importance of left ventricular hypertrophy. Eur. J. Heart Fail. 2005, 7, 525–531. [Google Scholar] [CrossRef] [PubMed]
- Tschope, C.; Kasner, M.; Westermann, D.; Gaub, R.; Poller, W.C.; Schultheiss, H.P. The role of NT-proBNP in the diagnostics of isolated diastolic dysfunction: Correlation with echocardiographic and invasive measurements. Eur. Heart J. 2005, 26, 2277–2284. [Google Scholar] [CrossRef] [PubMed]
- Linhart, A.; Palecek, T.; Bultas, J.; Ferguson, J.J.; Hrudova, J.; Karetova, D.; Zeman, J.; Ledvinova, J.; Poupetova, H.; Elleder, M.; et al. New insights in cardiac structural changes in patients with Fabry’s disease. Am. Heart J. 2000, 139, 1101–1108. [Google Scholar] [CrossRef]
- Kampmann, C.; Baehner, F.A.; Whybra, C.; Bajbouj, M.; Baron, K.; Knuf, M.; Wiethoff, C.M.; Trubel, H.; Beck, M. The right ventricle in Fabry disease. Acta Paediatr. Suppl. 2005, 94, 15–18. [Google Scholar] [CrossRef]
- Meucci, M.C.; Lillo, R.; Mango, F.; Lombardo, A.; Lanza, G.A.; Parisi, V.; Grandinetti, M.; Massetti, M.; Ajmone Marsan, N.; Crea, F.; et al. Right ventricular strain in Fabry disease: Prognostic implications. Int. J. Cardiol. 2023, 374, 79–82. [Google Scholar] [CrossRef]
- Niemann, M.; Breunig, F.; Beer, M.; Herrmann, S.; Strotmann, J.; Hu, K.; Emmert, A.; Voelker, W.; Ertl, G.; Wanner, C.; et al. The right ventricle in Fabry disease: Natural history and impact of enzyme replacement therapy. Heart 2010, 96, 1915–1919. [Google Scholar] [CrossRef] [PubMed]
- Pucci, M.; Iadevaia, V.; Gammaldi, V.; Iervolino, A.; Capece, L.M.; Sciascia, D.; Cuomo, V.; Iacono, M.; Paoletta, D.; Santoro, C.; et al. Right Ventricular Myocardial Involvement in Anderson-Fabry Disease at Diagnosis: Evaluation with Three-Dimensional Strain Imaging. Life 2023, 13, 1571. [Google Scholar] [CrossRef]
- Augusto, J.B.; Johner, N.; Shah, D.; Nordin, S.; Knott, K.D.; Rosmini, S.; Lau, C.; Alfarih, M.; Hughes, R.; Seraphim, A.; et al. The myocardial phenotype of Fabry disease pre-hypertrophy and pre-detectable storage. Eur. Heart J. Cardiovasc. Imaging 2021, 22, 790–799. [Google Scholar] [CrossRef] [PubMed]
- Kammerlander, A.A.; Marzluf, B.A.; Zotter-Tufaro, C.; Aschauer, S.; Duca, F.; Bachmann, A.; Knechtelsdorfer, K.; Wiesinger, M.; Pfaffenberger, S.; Greiser, A.; et al. T1 Mapping by CMR Imaging: From Histological Validation to Clinical Implication. JACC Cardiovasc. Imaging 2016, 9, 14–23. [Google Scholar] [CrossRef]
- Niemann, M.; Herrmann, S.; Hu, K.; Breunig, F.; Strotmann, J.; Beer, M.; Machann, W.; Voelker, W.; Ertl, G.; Wanner, C.; et al. Differences in Fabry cardiomyopathy between female and male patients: Consequences for diagnostic assessment. JACC Cardiovasc. Imaging 2011, 4, 592–601. [Google Scholar] [CrossRef]
- Nordin, S.; Kozor, R.; Medina-Menacho, K.; Abdel-Gadir, A.; Baig, S.; Sado, D.M.; Lobascio, I.; Murphy, E.; Lachmann, R.H.; Mehta, A.; et al. Proposed Stages of Myocardial Phenotype Development in Fabry Disease. JACC Cardiovasc. Imaging 2019, 12, 1673–1683. [Google Scholar] [CrossRef] [PubMed]
- Liu, D.; Oder, D.; Salinger, T.; Hu, K.; Muntze, J.; Weidemann, F.; Herrmann, S.; Ertl, G.; Wanner, C.; Frantz, S.; et al. Association and diagnostic utility of diastolic dysfunction and myocardial fibrosis in patients with Fabry disease. Open Heart 2018, 5, e000803. [Google Scholar] [CrossRef] [PubMed]
- Yogasundaram, H.; Nikhanj, A.; Putko, B.N.; Boutin, M.; Jain-Ghai, S.; Khan, A.; Auray-Blais, C.; West, M.L.; Oudit, G.Y. Elevated Inflammatory Plasma Biomarkers in Patients With Fabry Disease: A Critical Link to Heart Failure with Preserved Ejection Fraction. J. Am. Heart Assoc. 2018, 7, e009098. [Google Scholar] [CrossRef] [PubMed]
- Kramer, J.; Bijnens, B.; Stork, S.; Ritter, C.O.; Liu, D.; Ertl, G.; Wanner, C.; Weidemann, F. Left Ventricular Geometry and Blood Pressure as Predictors of Adverse Progression of Fabry Cardiomyopathy. PLoS ONE 2015, 10, e0140627. [Google Scholar] [CrossRef]
- Nordin, S.; Kozor, R.; Vijapurapu, R.; Augusto, J.B.; Knott, K.D.; Captur, G.; Treibel, T.A.; Ramaswami, U.; Tchan, M.; Geberhiwot, T.; et al. Myocardial Storage, Inflammation, and Cardiac Phenotype in Fabry Disease After One Year of Enzyme Replacement Therapy. Circ. Cardiovasc. Imaging 2019, 12, e009430. [Google Scholar] [CrossRef]






| All Patients n = 38 | Female n = 25 | Male n = 13 | p-Value | |
|---|---|---|---|---|
| Age (years) | 41 (27–50) | 38 (27–46) | 47 (36–57) | 0.188 |
| Time since diagnosis (months) | 48 (9–96) | 48.5 (8–93) | 46 (11–96) | 0.888 |
| Left ventricular hypertrophy | 18 (47.4%) | 11 (44%) | 7 (53.8%) | 0.414 |
| Specific therapy | ||||
| ERT | 12 (31.6%) | 6 (24%) | 6 (46.2%) | 0.163 |
| Chaperone | 3 (7.89%) | 2 (8%) | 1 (7.69%) | 0.973 |
| Time on therapy (months) | 58 (20–99) | 66.5 (17–108) | 58 (20–89) | 0.867 |
| Laboratory markers | ||||
| NT-proBNP (pg/mL) | 62.1 (30.1–166) | 47.8 (28.7–146) | 102 (42–344) | 0.234 |
| Creatinine (mg/dL) | 0.79 (0.67–0.91) | 0.73 (0.65–0.83) | 0.92 (0.86–1.12) | 0.001 |
| eGFR (mL/min/1.73 m2) | 105 (90.8–120) | 105 (95.4–119) | 104 (76–121) | 0.724 |
| ACR (mg/g) | 205 (64–282) | 140 (21–190) | 269 (223–838) | 0.003 |
| All Patients n = 38 | No LVH n = 20 | LVH n = 18 | p-Value | |
|---|---|---|---|---|
| Age (years) | 41 (27–50) | 36 (23–47) | 44 (34–50) | 0.233 |
| NYHA Class | ||||
| I | 32 (84.2%) | 17 (85%) | 15 (83.3%) | |
| II | 5 (13.2%) | 3 (15%) | 2 (11.1%) | |
| III | 1 (2.6%) | 0 (0%) | 1 (5.6%) | |
| IV | 0 (0%) | 0 (0%) | 0 (0%) | |
| Palpitations | ||||
| no | 32 (84.2%) | 15 (75%) | 17 (94.4%) | |
| yes | 6 (16.8) | 5 (25%) | 1 (5.6%) | |
| CCS Class | ||||
| No Angina | 34 (89.5%) | 20 (100%) | 14 (77.8%) | |
| I | 3 (7.9%) | 0 (0%) | 3 (16.7%) | |
| II | 1 (2.6%) | 0 (0%) | 1 (5.5%) | |
| III | 0 (0%) | 0 (0%) | 0 (0%) | |
| IV | 0 (0%) | 0 (0%) | 0 (0%) | |
| CMR | ||||
| LVMI g/m2 | 70.6 (61–85) | 62.4 (58.7–67.8) | 85 (73.1–114) | 0.001 |
| LVEDV (mL) | 134 ± 29.3 | 120 ± 22.7 | 148 ± 28.9 | 0.003 |
| LVEF (%) | 64.5 ± 7.73 | 63.4 ± 7.44 | 65.6 ± 8.08 | 0.413 |
| Septal T1 (ms) | 973 ± 85.8 | 1015 ± 48.5 | 946 ± 94.9 | 0.039 |
| LGE (%) | 0 (0–0) | 0 (0–0) | 0 (0–6.81) | 0.577 |
| Left atrial volume (mL) | 61.9 (51.6–74.2) | 63.2 (49.4–67.5) | 61.5 (54.6–80) | 0.413 |
| RVEDV (mL) | 133 ± 30 | 124 ± 25.3 | 143 ± 33 | 0.053 |
| RVEF (%) | 55.2 ± 6.78 | 53.6 ± 6.2 | 56.8 ± 7.2 | 0.15 |
| Laboratory markers | ||||
| NT-proBNP (pg/mL) | 62.1 (30.1–166) | 44.5 (28.7–84.2) | 144 (47.8–510) | 0.038 |
| Creatinine (mg/dL) | 0.79 (0.67–0.91) | 0.8 (0.69–0.93) | 0.79 (0.65–0.91) | 0.463 |
| eGFR (mL/min/1.73 m2) | 105 (90.8–120) | 105 (89.1–119) | 104.8 (95.95–121) | 0.858 |
| ACR (mg/g) | 205 (64–282) | 151 (8–239) | 255 (205–1148) | 0.055 |
| All Measurements n = 72 | Without LVH n = 25 | With LVH n = 47 | |
|---|---|---|---|
| IVS thickness | r = 0.641; p < 0.001 | r = 0.243; p = 0.276 | r = 0.678; p < 0.001 |
| Right atrial diameter | r = 0.521; p < 0.001 | r = −0.379; p = 0.082 | r = 0.684; p < 0.001 |
| Aorta ascendens diameter | r = 0.409; p < 0.001 | r = 0.146; p = 0.516 | r = 0.338; p = 0.031 |
| Right ventricular diameter | r = 0.009; p = 0.943 | r = −0.413; p = 0.056 | r = 0.076; p = 0.622 |
| Left ventricular diameter | r = −0.104; p = 0.401 | r = −0.288; p = 0.194 | r = −0.06; p = 0.696 |
| sPAP | r = 0.76; p < 0.001 | r = 0.154; p = 0.651 | r = 0.865; p < 0.001 |
| All Measurements n = 80 | Without LVH n = 34 | With LVH n = 46 | |
|---|---|---|---|
| Left ventricle | |||
| ED volume | r = −0.033; p = 0.771 | r = −0.371; p = 0.031 | r = 0.04; p = 0.795 |
| ES volume | r = −0.144; p = 0.212 | r = −0.21; p = 0.234 | r = −0.067; p = 0.668 |
| Stroke volume | r = 0.124; p = 0.282 | r = −0.313; p = 0.072 | r = 0.227; p = 0.143 |
| Cardiac output | r = 0.031; p = 0.786 | r = −0.23; p = 0.192 | r = 0.059; p = 0.708 |
| Ejection fraction | r = 0.239; p = 0.037 | r = 0.034; p = 0.85 | r = 0.192; p = 0.216 |
| GLS | r = −0.008; p = 0.953 | r = 0.254; p = 0.147 | r = 0.029; p = 0.853 |
| Myocardial mass | r = 0.447; p < 0.001 | r = 0.098; p = 0.582 | r = 0.538; p < 0.001 |
| LVMI | r = 0.494; p < 0.001 | r = 0.184; p = 0.298 | r = 0.549; p < 0.001 |
| Trabecular mass | r = 0.407; p < 0.001 | r = 0.054; p = 0.766 | r = 0.526; p < 0.001 |
| Maximum wall thickness | r = 0.594; p < 0.001 | r = −0.227; p = 0.502 | r = 0.717; p < 0.001 |
| Septal T1 | r = −0.302; p = 0.012 | r = −0.192; p = 0.338 | r = −0.291; p = 0.065 |
| LGE | r = 0.25; p = 0.068 | r = −0.01; p = 0.959 | r = 0.182; p = 0.374 |
| Right ventricle | |||
| ED volume | r = 0.164; p = 0.174 | r = −0.025; p = 0.892 | r = 0.111; p = 0.501 |
| ES volume | r = −0.1; p = 0.414 | r = −0.131; p = 0.489 | r = −0.119; p = 0.469 |
| Stroke volume | r = 0.234; p = 0.053 | r = 0.036; p = 0.851 | r = 0.197; p = 0.229 |
| Cardiac output | r = 0.201; p = 0.097 | r = 0.089; p = 0.64 | r = 0.139; p = 0.397 |
| Ejection fraction | r = 0.299; p = 0.012 | r = 0.092; p = 0.624 | r = 0.218; p = 0.182 |
| Myocardial mass | r = 0.367; p = 0.002 | r = 0.105; p = 0.575 | r = 0.470; p = 0.003 |
| RVMI | r = 0.379; p = 0.001 | r = 0.142; p = 0.454 | r = 0.428; p = 0.007 |
| Trabecular mass | r = 0.453; p < 0.001 | r = 0.093; p = 0.631 | r = 0.606; p < 0.001 |
Disclaimer/Publisher’s Note: The statements, opinions and data contained in all publications are solely those of the individual author(s) and contributor(s) and not of MDPI and/or the editor(s). MDPI and/or the editor(s) disclaim responsibility for any injury to people or property resulting from any ideas, methods, instructions or products referred to in the content. |
© 2024 by the authors. Licensee MDPI, Basel, Switzerland. This article is an open access article distributed under the terms and conditions of the Creative Commons Attribution (CC BY) license (https://creativecommons.org/licenses/by/4.0/).
Share and Cite
Gatterer, C.; Beitzke, D.; Sunder-Plassmann, G.; Friedl, M.; Hohensinner, P.; Mann, C.; Ponleitner, M.; Graf, S.; Lenz, M. NT-proBNP Reflects Left Ventricular Hypertrophy Rather than Left Ventricular Dilatation or Systolic Dysfunction in Patients with Fabry Disease. J. Clin. Med. 2024, 13, 5953. https://doi.org/10.3390/jcm13195953
Gatterer C, Beitzke D, Sunder-Plassmann G, Friedl M, Hohensinner P, Mann C, Ponleitner M, Graf S, Lenz M. NT-proBNP Reflects Left Ventricular Hypertrophy Rather than Left Ventricular Dilatation or Systolic Dysfunction in Patients with Fabry Disease. Journal of Clinical Medicine. 2024; 13(19):5953. https://doi.org/10.3390/jcm13195953
Chicago/Turabian StyleGatterer, Constantin, Dietrich Beitzke, Gere Sunder-Plassmann, Maximilian Friedl, Philipp Hohensinner, Christopher Mann, Markus Ponleitner, Senta Graf, and Max Lenz. 2024. "NT-proBNP Reflects Left Ventricular Hypertrophy Rather than Left Ventricular Dilatation or Systolic Dysfunction in Patients with Fabry Disease" Journal of Clinical Medicine 13, no. 19: 5953. https://doi.org/10.3390/jcm13195953
APA StyleGatterer, C., Beitzke, D., Sunder-Plassmann, G., Friedl, M., Hohensinner, P., Mann, C., Ponleitner, M., Graf, S., & Lenz, M. (2024). NT-proBNP Reflects Left Ventricular Hypertrophy Rather than Left Ventricular Dilatation or Systolic Dysfunction in Patients with Fabry Disease. Journal of Clinical Medicine, 13(19), 5953. https://doi.org/10.3390/jcm13195953

