Evaluation of Anti-Thyroperoxidase (A-TPO) and Anti-Thyroglobulin (A-Tg) Antibodies in Women with Previous Hashimoto’s Thyroiditis during and after Pregnancy
Abstract
1. Introduction
2. Methods
2.1. Study Design
2.2. Participants
2.3. Data Collection
2.4. Ethical Approval
2.5. Statistical Analysis
3. Results
4. Discussion
5. Conclusions
Supplementary Materials
Author Contributions
Funding
Institutional Review Board Statement
Informed Consent Statement
Data Availability Statement
Acknowledgments
Conflicts of Interest
References
- Lombardi, F.A.; Fiore, E.; Tonacchera, M.; Antonangeli, L.; Rago, T.; Frigeri, M.; Provenzale, A.M.; Montanelli, L.; Grasso, L.; Pinchera, A.; et al. The effect of voluntary Iodine Prophylaxis in a Small Rural Community: The Pescopagano Survey 15 Years Later. J. Clin. Endocrinol. Metab. 2013, 98, 1031–1039. [Google Scholar] [CrossRef] [PubMed]
- Caturegli, P.; De Remigis, A.; Rose, N.R. Hashimoto thyroiditis: Clinical and diagnostic criteria. Autoimmun. Rev. 2014, 13, 391–397. [Google Scholar] [CrossRef] [PubMed]
- Sgarbi, J.A.; Maciel, R.M.B. Pathogenesis of autoimmune thyroid diseases. Arq. Bras. Endocrinol. Metabol. 2009, 53, 5–14. [Google Scholar] [CrossRef] [PubMed]
- Pyzik, A.; Grywalska, E.; Matyjaszek-Matuszek, B.; Roliński, J. Immune disorders in Hashimoto’s thyroiditis: What do we know so far? J. Immunol. Res. 2015, 2015, 979167. [Google Scholar] [CrossRef] [PubMed]
- Almandoz, J.P.; Gharib, H. Hypothyroidism: Etiology, Diagnosis, and Management. Med. Clin. N. Am. 2012, 96, 203–221. [Google Scholar] [CrossRef] [PubMed]
- Brčić, L.; Barić, A.; Gračan, S.; Brdar, D.; Lovrić, V.T.; Vidan, N.; Zemunik, T.; Polašek, O.; Barbalić, M.; Punda, A.; et al. Association of established thyroid peroxidase autoantibody (TPOAb) genetic variants with Hashimoto’s thyroiditis. Autoimmunity 2016, 49, 480–485. [Google Scholar] [CrossRef] [PubMed]
- Pearce, E.N.; Farwell, A.P.; Braverman, L.E. Thyroiditis. N. Engl. J. Med. 2003, 348, 2646–2655, Erratum in N. Engl. J. Med. 2003, 349, 620. [Google Scholar] [CrossRef] [PubMed]
- Ralli, M.; Angeletti, D.; Fiore, M.; D’Aguanno, V.; Lambiase, A.; Artico, M.; de Vincentiis, M.; Greco, A. Hashimoto’s thyroiditis: An update on pathogenic mechanisms, diagnostic protocols, therapeutic strategies, and potential malignant transformation. Autoimmun. Rev. 2020, 19, 102649. [Google Scholar] [CrossRef] [PubMed]
- Tomer, Y.; Huber, A. The etiology of autoimmune thyroid disease: A story of genes and environment. J. Autoimmun. 2009, 32, 231–239. [Google Scholar] [CrossRef]
- Chaker, L.; Bianco, A.C.; Jonklaas, J.; Peeters, R.P. Hypothyroidism. Lancet 2017, 390, 1550–1562. [Google Scholar] [CrossRef]
- Fiore, E.; Rago, T.; Latrofa, F.; Provenzale, M.A.; Piaggi, P.; Delitala, A.; Scutari, M.; Basolo, F.; Di Coscio, G.; Grasso, L.; et al. Hashimoto’s thyroiditis is associated with papillary thyroid carcinoma: Role of TSH and of treatment with L-thyroxine. Endocr. Relat. Cancer 2011, 18, 429–437. [Google Scholar] [CrossRef] [PubMed]
- Zheng, L.; Dou, X.; Song, H.; Wang, P.; Qu, W.; Zheng, X. Bioinformatics analysis of key genes and pathways in Hashimoto thyroiditis tissues. Biosci. Rep. 2020, 40, BSR20200759. [Google Scholar] [CrossRef] [PubMed]
- Taylor, P.N.; Albrecht, D.; Scholz, A.; Gutierrez-Buey, G.; Lazarus, J.H.; Dayan, C.M.; Okosieme, O.E. Global epidemiology of hyperthyroidism and hypothyroidism. Nat. Rev. Endocrinol. 2018, 14, 301–316. [Google Scholar] [CrossRef] [PubMed]
- Lee, S.Y.; Pearce, E.N. Assessment and treatment of thyroid disorders in pregnancy and the postpartum period. Nat. Rev. Endocrinol. 2022, 18, 158–171. [Google Scholar] [CrossRef] [PubMed]
- Lazarus, J.H.; Bestwick, J.P.; Channon, S.; Paradice, R.; Maina, A.; Rees, R.; Chiusano, E.; John, R.; Guaraldo, V.; George, L.M.; et al. Antenatal thyroid screening and childhood cognitive function. N. Engl. J. Med. 2012, 366, 493–501. [Google Scholar] [CrossRef]
- Casey, B.M.; Thom, E.A.; Peaceman, A.M.; Varner, M.W.; Sorokin, Y.; Hirtz, D.G.; Reddy, U.M.; Wapner, R.J.; Thorp, J.M.; Saade, G.; et al. Treatment of subclinical hypothyroidism or hypothyroxinemia in pregnancy. N. Engl. J. Med. 2017, 376, 815–825. [Google Scholar] [CrossRef]
- Li, Y.; Shan, Z.; Teng, W.; Yu, X.; Li, Y.; Fan, C.; Teng, X.; Guo, R.; Wang, H.; Li, J.; et al. Abnormalities of Maternal Thyroid Function During Pregnancy Affect Neuropsychological Development of Their Children at 25–30 Months. Clin. Endocrinol. 2010, 72, 825–829. [Google Scholar] [CrossRef]
- Kester, M.H.; Martinez de Mena, R.; Obregon, M.J.; Marinkovic, D.; Howatson, A.; Visser, T.J.; Hume, R.; de Escobar, G.M. Iodothyronine Levels in the Human Developing Brain: Major Regulatory Roles of Iodothyronine Deiodinases in Different Areas. J. Clin. Endocrinol. Metab. 2004, 89, 3117–3128. [Google Scholar] [CrossRef]
- Alexander, E.K.; Marqusee, E.; Lawrence, J.; Jarolim, P.; Fischer, G.A.; Larsen, P.R. Timing and Magnitude of Increases in Levothyroxine Requirements During Pregnancy in Women With Hypothyroidism. N. Engl. J. Med. 2004, 351, 241–249. [Google Scholar] [CrossRef]
- Korevaar, T.I.M.; Medici, M.; Visser, T.J.; Peeters, R.P. Thyroid disease in pregnancy: New insights in diagnosis and clinical management. Nat. Rev. Endocrinol. 2017, 13, 610–622. [Google Scholar] [CrossRef]
- Kenimer, J.G.; Hershman, J.M.; Higgins, H.P. The thyrotropin in hydatidiform moles is human chorionic gonadotropin. J. Clin. Endocrinol. Metab. 1975, 40, 482–491. [Google Scholar] [CrossRef]
- Burger, A. Further studies on a thyroid stimulating factor in crude chorionic gonadotrophin preparations and in urine. Act. Endocrinol. 1967, 55, 600–610. [Google Scholar] [CrossRef]
- D’Hauterive, S.P.; Close, R.; Gridelet, V.; Mawet, M.; Nisolle, M.; Geenen, V. Human Chorionic Gonadotropin and Early Embryogenesis: Review. Int. J. Mol. Sci. 2022, 23, 1380. [Google Scholar] [CrossRef]
- Nwabuobi, C.; Arlier, S.; Schatz, F.; Guzeloglu-Kayisli, O.; Lockwood, C.J.; Kayisli, U.A. hCG: Biological Functions and Clinical Applications. Int. J. Mol. Sci. 2017, 18, 2037. [Google Scholar] [CrossRef] [PubMed]
- Korevaar, T.I.M.; Pop, V.J.; Chaker, L.; Goddijn, M.; de Rijke, Y.B.; Bisschop, P.H.; Broeren, M.A.; Jaddoe, V.W.V.; Medici, M.; Visser, T.J.; et al. Dose Dependency and a Functional Cutoff for TPO-Antibody Positivity During Pregnancy. J. Clin. Endocrinol. Metab. 2018, 103, 778–789. [Google Scholar] [CrossRef]
- Hou, Y.; Liu, A.; Li, J.; Wang, H.; Yang, Y.; Li, Y.; Fan, C.; Zhang, H.; Wang, H.; Ding, S.; et al. Different Thyroidal Responses to Human Chorionic Gonadotropin Under Different Thyroid Peroxidase Antibody and/or Thyroglobulin Antibody Positivity Conditions During the First Half of Pregnancy. Thyroid 2019, 29, 577–585. [Google Scholar] [CrossRef]
- Alexander, E.K.; Pearce, E.N.; Brent, G.A.; Brown, R.S.; Chen, H.; Dosiou, C.; Grobman, W.A.; Laurberg, P.; Lazarus, J.H.; Mandel, S.J.; et al. 2017 Guidelines of the American Thyroid Association for the Diagnosis and Management of Thyroid Disease During Pregnancy and the Postpartum. Thyroid 2017, 27, 315–389. [Google Scholar] [CrossRef] [PubMed]
- Stagnaro-Green, A.; Abalovich, M.; Alexander, E.; Azizi, F.; Mestman, J.; Negro, R.; Nixon, A.; Pearce, E.N.; Soldin, O.P.; Sullivan, S.; et al. Guidelines of the American Thyroid Association for the diagnosis and management of thyroid disease during pregnancy and postpartum. Thyroid 2011, 21, 1081–1125. [Google Scholar] [CrossRef]
- De Groot, L.; Abalovich, M.; Alexander, E.K.; Amino, N.; Barbour, L.; Cobin, R.H.; Eastman, C.J.; Lazarus, J.H.; Luton, D.; Mandel, S.J.; et al. Management of thyroid dysfunction during pregnancy and postpartum: An Endocrine Society clinical practice guideline. J. Clin. Endocrinol. Metab. 2012, 97, 2543–2565. [Google Scholar] [CrossRef]
- Akamizu, T.; Amino, N.; De Groot, L.J. Hashimoto’s Thyroiditis. Thyroid Disease Manager. 2008. Available online: https://www.thyroidmanager.org/chapter/hashimotos-thyroiditis1/ (accessed on 6 March 2021).
- Stagnaro-Green, A. Approach to the patient with postpartum thyroiditis. J. Clin. Endocrinol. Metab. 2012, 97, 334–342. [Google Scholar] [CrossRef]
- Epp, R.; Malcolm, J.; Jolin-Dahel, K.; Clermont, M.; Keely, E. Postpartum Thyroiditis. BMJ 2021, 372, n495. [Google Scholar] [CrossRef]
- Benvenga, S.; Di Bari, F.; Vita, R.; Le Donne, M.; Triolo, O.; Granese, R.; Borrielli, I.; Sole, G.; Floridia, M.; Genovesi, F.; et al. Relatively high rate of postpartum thyroiditis in the Straits of Messina area.Predictivity of both postpartum thyroiditis and permanent hypothyroidismby performing, in the first trimester of gestation, thyroid ultrasonography and measurement of serum thyroperoxidase and thyroglobulin autoantibodies. J. Clin. Transl. Endocrinol. 2018, 15, 12–18. [Google Scholar] [CrossRef]
- Benvenga, S. Targeted Antenatal Screening for Predicting Postpartum Thyroiditis and Its Evolution Into Permanent Hypothyroidism. Front. Endocrinol. 2020, 11, 220. [Google Scholar] [CrossRef]
- Rad, S.N.; Deluxe, L. Postpartum Thyroiditis; StatPearls Publishing: Treasure Island, FL, USA, 2022. [Google Scholar]
- Zaletel, K.; Gaberscek, S. Hashimoto’s thyroiditis: From genes to the disease. Curr. Genom. 2011, 12, 576–588. [Google Scholar] [CrossRef]
- Nguyen, C.T.; Mestman, J.H. Postpartum Thyroiditis. Clin. Obstet. Gynecol. 2019, 62, 359–364. [Google Scholar] [CrossRef]
- Peng, C.C.-H.; Pearce, E.N. An update on thyroid disorders in the postpartum period. J. Endocrinol. Investig. 2022, 45, 1497–1506. [Google Scholar] [CrossRef]
- Schumacher, A. Human Chorionic Gonadotropin as a Pivotal Endocrine Immune Regulator Initiating and Preserving Fetal Tolerance. Int. J. Mol. Sci. 2017, 18, 2166. [Google Scholar] [CrossRef]
- Schumacher, A.; Zenclussen, A.C. Human Chorionic Gonadotropin-Mediated Immune Responses That Facilitate Embryo Implantation and Placentation. Front. Immunol. 2019, 10, 2896. [Google Scholar] [CrossRef]
- Tsampalas, M.; Gridelet, V.; Berndt, S.; Foidart, J.M.; Geenen, V.; Perrier d’Hauterive, S. Human chorionic gonadotropin: A hormone with immunological and angiogenic properties. J. Reprod. Immunol. 2010, 85, 93–98. [Google Scholar] [CrossRef]
- Fuchs, T.; Hammarström, L.; Smith, C.I.; Brundin, J. In vitro induction of murine suppressor t-cells by human chorionic gonadotropin. Acta Obstet. Gynecol. Scand. 1980, 59, 355–359. [Google Scholar] [CrossRef]
- Bansal, A.S.; Bora, S.A.; Saso, S.; Smith, J.R.; Johnson, M.R.; Thum, M.Y. Mechanism of human chorionic gonadotrophin-mediated immunomodulation in pregnancy. Expert. Rev. Clin. Immunol. 2012, 8, 747–753. [Google Scholar] [CrossRef] [PubMed]
- Polese, B.; Gridelet, V.; Araklioti, E.; Martens, H.; Perrier d’Hauterive, S.; Geenen, V. The Endocrine Milieu and CD4 T-Lymphocyte Polarization during Pregnancy. Front. Endocrinol. 2014, 5, 106. [Google Scholar] [CrossRef] [PubMed]
- Fuchs, T.; Hammarström, L.; Smith, C.I.; Brundin, J. In vitro induction of human suppressor T cells by a chorionic gonadotropin preparation. J. Reprod. Immunol. 1981, 3, 75–84. [Google Scholar] [CrossRef] [PubMed]
- Sergi, M.; Tomlinson, G.; Feig, D.S. Changes Suggestive of Post-Partum Thyroiditis in Women with Established Hypothyroidism: Incidence and Predictors. Clin. Endocrinol. 2015, 83, 389–393. [Google Scholar] [CrossRef] [PubMed]
- Moleti, M.; Mauro, M.D.; Alibrandi, A.; Vita, R.; Benvenga, S.; Vermiglio, F. Postpartum Thyroiditis in Women With Euthyroid and Hypothyroid Hashimoto’s Thyroiditis Antedating Pregnancy. J. Clin. Endocrinol. Metab. 2020, 105, dgaa197. [Google Scholar] [CrossRef] [PubMed]
- Schmidt, M.; Voell, M.; Rahlff, I.; Dietlein, M.; Kobe, C.; Faust, M.; Schicha, H. Long-term follow-up of antithyroid peroxidase antibodies in patients with chronic autoimmune thyroiditis (Hashimoto’s thyroiditis) treated with levothyroxine. Thyroid 2008, 18, 755–760. [Google Scholar] [CrossRef] [PubMed]
- Amino, N.; Arata, N. Thyroid dysfunction following pregnancy and implications for breastfeeding. Best Pract. Res. Clin. Endocrinol. Metab. 2020, 34, 101438. [Google Scholar] [CrossRef] [PubMed]
- De Leo, S.; Pearce, E.N. Autoimmune thyroid disease during pregnancy. Lancet Diabetes Endocrinol. 2018, 6, 575–586. [Google Scholar] [CrossRef] [PubMed]
- Parker, R.H.; Beierwaltes, W.H.; Elzinga, K.E.; Spafford, N.R.; Hassoun, S. Thyroid Antibodies during pregnancy and in the newborn. J. Clin. Endocrinol. Metab. 1961, 21, 792–798. [Google Scholar] [CrossRef]



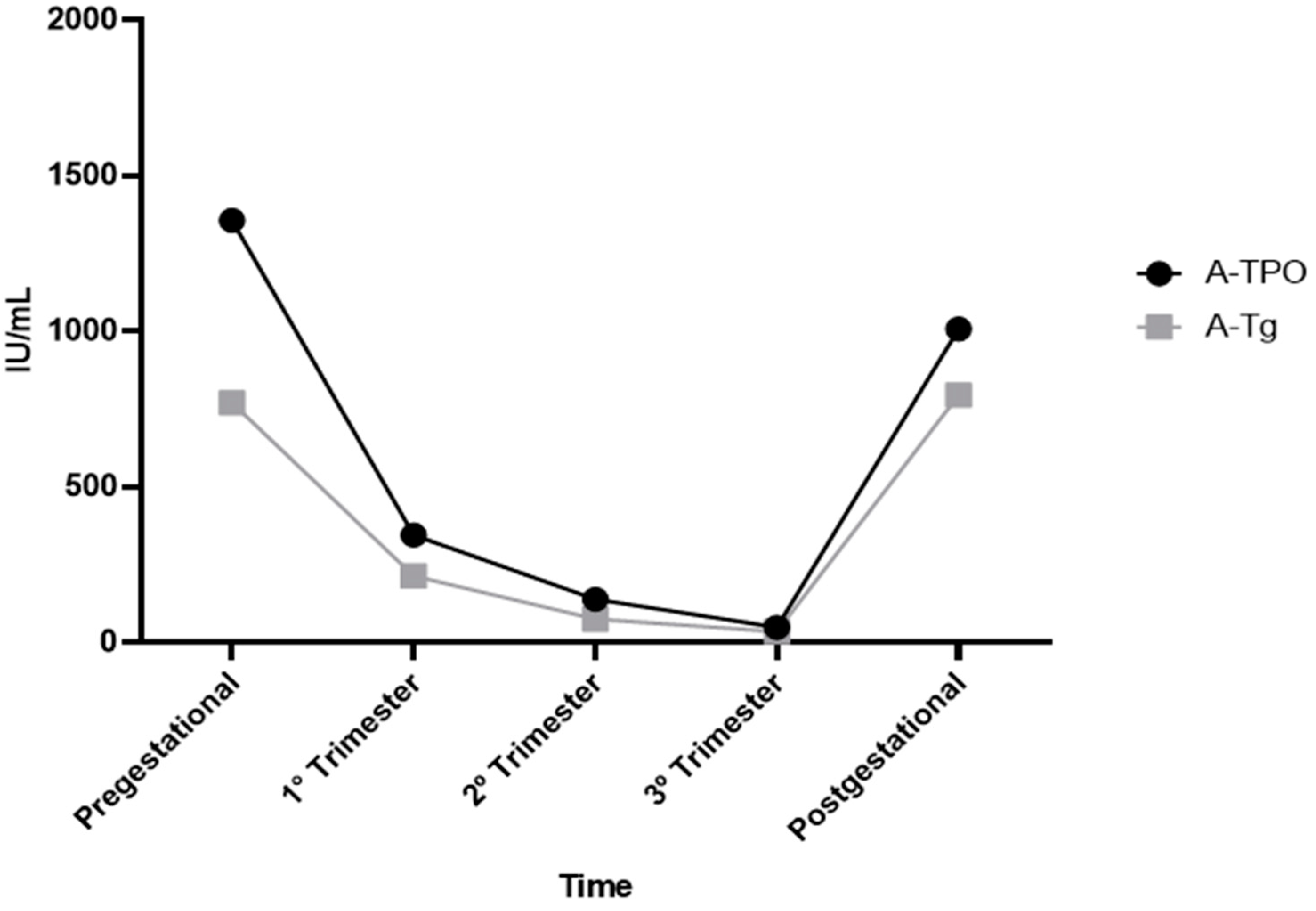
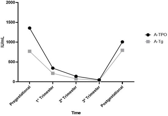
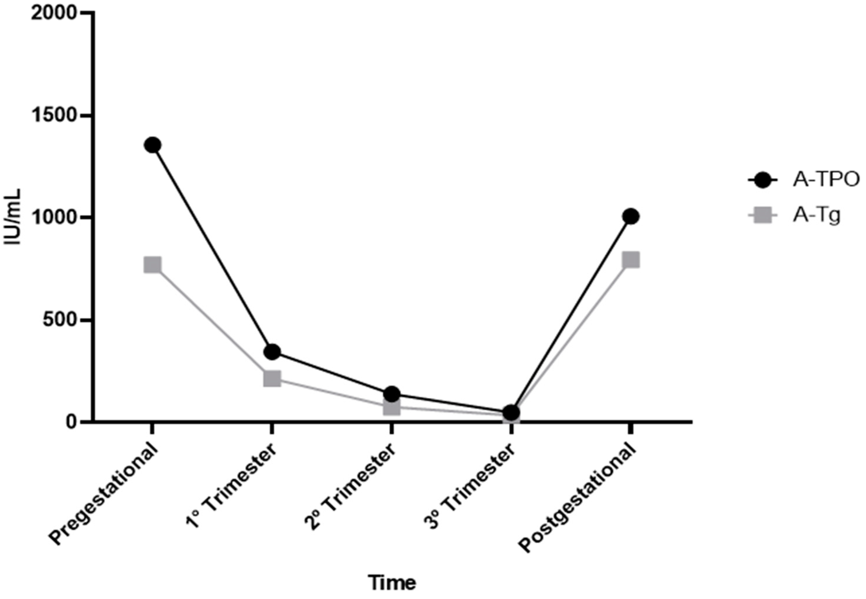
| Antibody | N | Period | ||||||||||||||
|---|---|---|---|---|---|---|---|---|---|---|---|---|---|---|---|---|
| Pregestational | First trimester | Second trimester | Third trimester | Postgestational | ||||||||||||
| Median | Q1 | Q3 | Median | Q1 | Q3 | Median | Q1 | Q3 | Median | Q1 | Q3 | Median | Q1 | Q3 | ||
| A-TPO | 30 | 916 | 471 | 3000 | 244 | 130 | 525 | 98 | 34 | 154 | 37 | 20 | 65 | 904 | 546 | 1000 |
| A-Tg | 30 | 454 | 233 | 714 | 156 | 59 | 235 | 38 | 23 | 88 | 26 | 19 | 38 | 619 | 401 | 839 |
Disclaimer/Publisher’s Note: The statements, opinions and data contained in all publications are solely those of the individual author(s) and contributor(s) and not of MDPI and/or the editor(s). MDPI and/or the editor(s) disclaim responsibility for any injury to people or property resulting from any ideas, methods, instructions or products referred to in the content. |
© 2024 by the authors. Licensee MDPI, Basel, Switzerland. This article is an open access article distributed under the terms and conditions of the Creative Commons Attribution (CC BY) license (https://creativecommons.org/licenses/by/4.0/).
Share and Cite
Zaccarelli-Marino, M.A.; Dsouki, N.A.; de Carvalho, R.P.; Maciel, R.M.B. Evaluation of Anti-Thyroperoxidase (A-TPO) and Anti-Thyroglobulin (A-Tg) Antibodies in Women with Previous Hashimoto’s Thyroiditis during and after Pregnancy. J. Clin. Med. 2024, 13, 4519. https://doi.org/10.3390/jcm13154519
Zaccarelli-Marino MA, Dsouki NA, de Carvalho RP, Maciel RMB. Evaluation of Anti-Thyroperoxidase (A-TPO) and Anti-Thyroglobulin (A-Tg) Antibodies in Women with Previous Hashimoto’s Thyroiditis during and after Pregnancy. Journal of Clinical Medicine. 2024; 13(15):4519. https://doi.org/10.3390/jcm13154519
Chicago/Turabian StyleZaccarelli-Marino, Maria Angela, Nuha Ahmad Dsouki, Rodrigo Pigozzi de Carvalho, and Rui M. B. Maciel. 2024. "Evaluation of Anti-Thyroperoxidase (A-TPO) and Anti-Thyroglobulin (A-Tg) Antibodies in Women with Previous Hashimoto’s Thyroiditis during and after Pregnancy" Journal of Clinical Medicine 13, no. 15: 4519. https://doi.org/10.3390/jcm13154519
APA StyleZaccarelli-Marino, M. A., Dsouki, N. A., de Carvalho, R. P., & Maciel, R. M. B. (2024). Evaluation of Anti-Thyroperoxidase (A-TPO) and Anti-Thyroglobulin (A-Tg) Antibodies in Women with Previous Hashimoto’s Thyroiditis during and after Pregnancy. Journal of Clinical Medicine, 13(15), 4519. https://doi.org/10.3390/jcm13154519

