Correlation between the Long Head of the Biceps Microscopic Degeneration and Extent of Apoptotic Process
Abstract
1. Introduction
2. Materials and Methods
2.1. Ethics and General Characteristics
2.2. Operative Treatment
2.3. Microscopic Examination of the LHBT Specimens
2.4. Correlation Analyses
2.5. Statistical Analysis
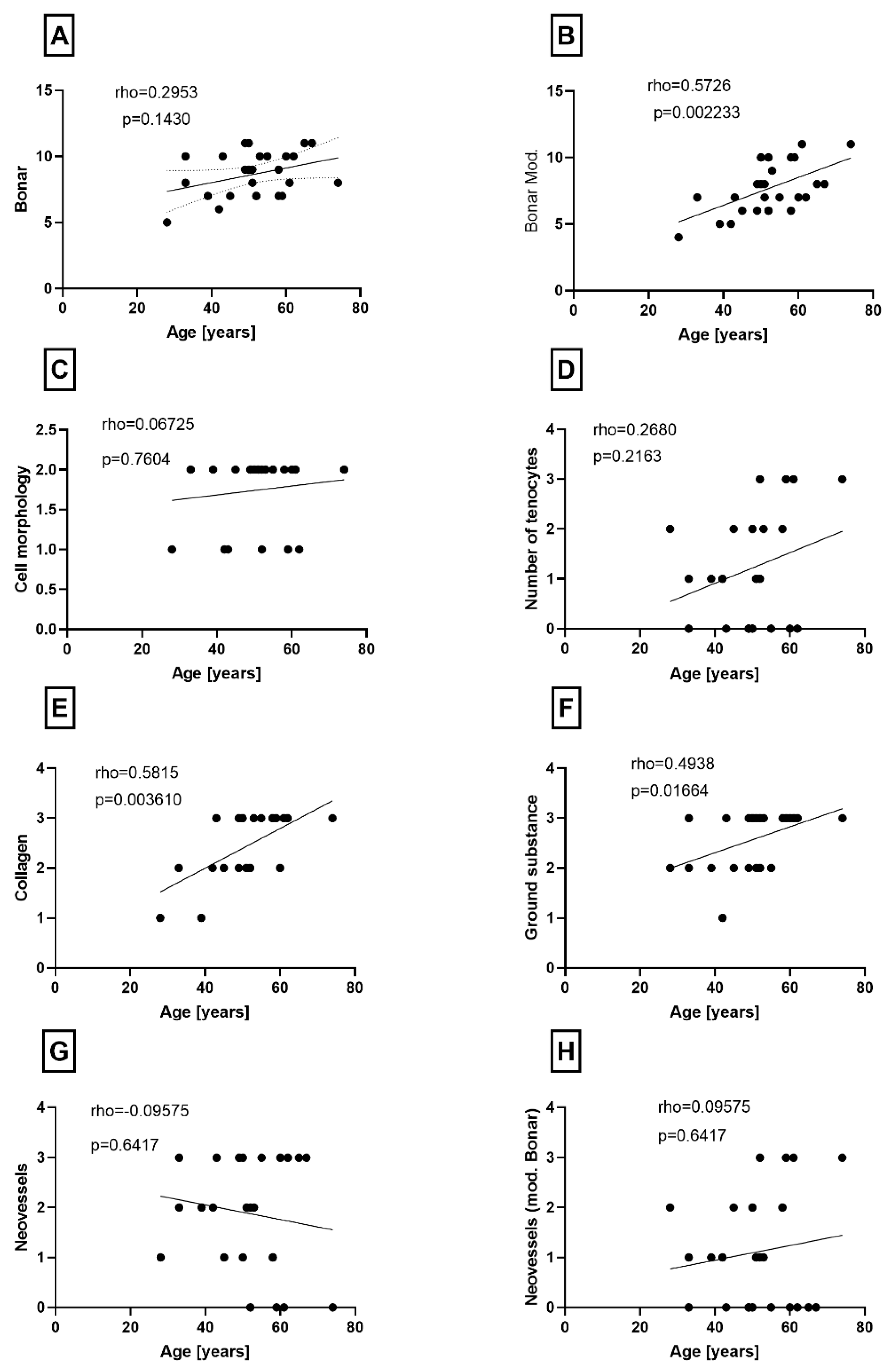
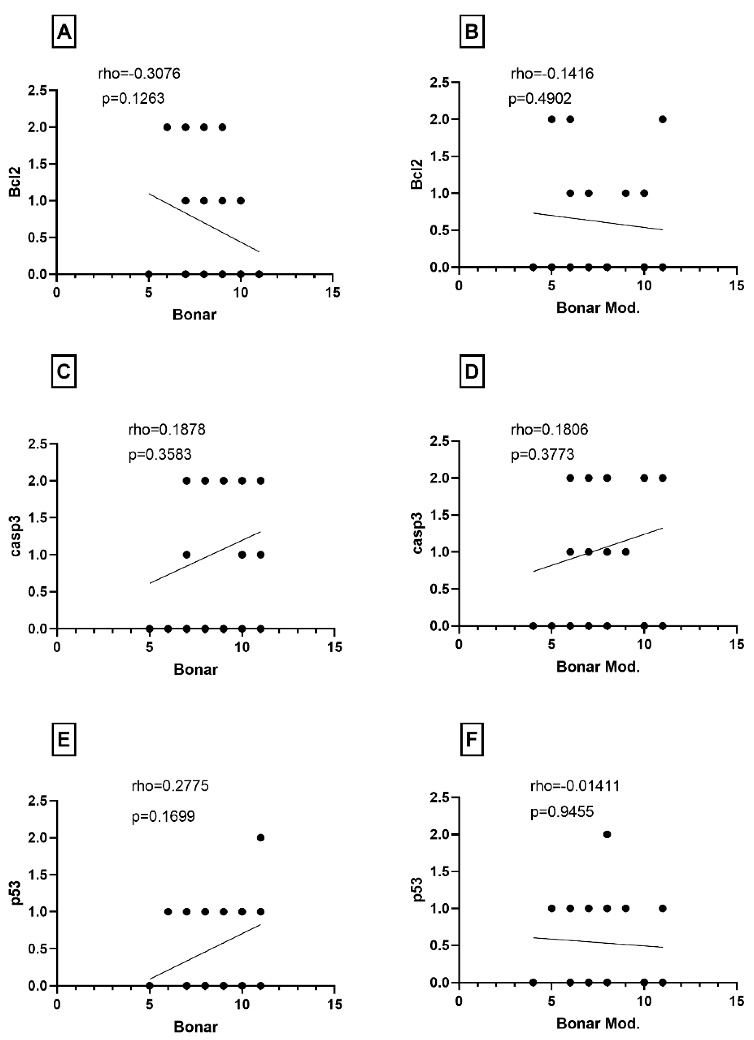
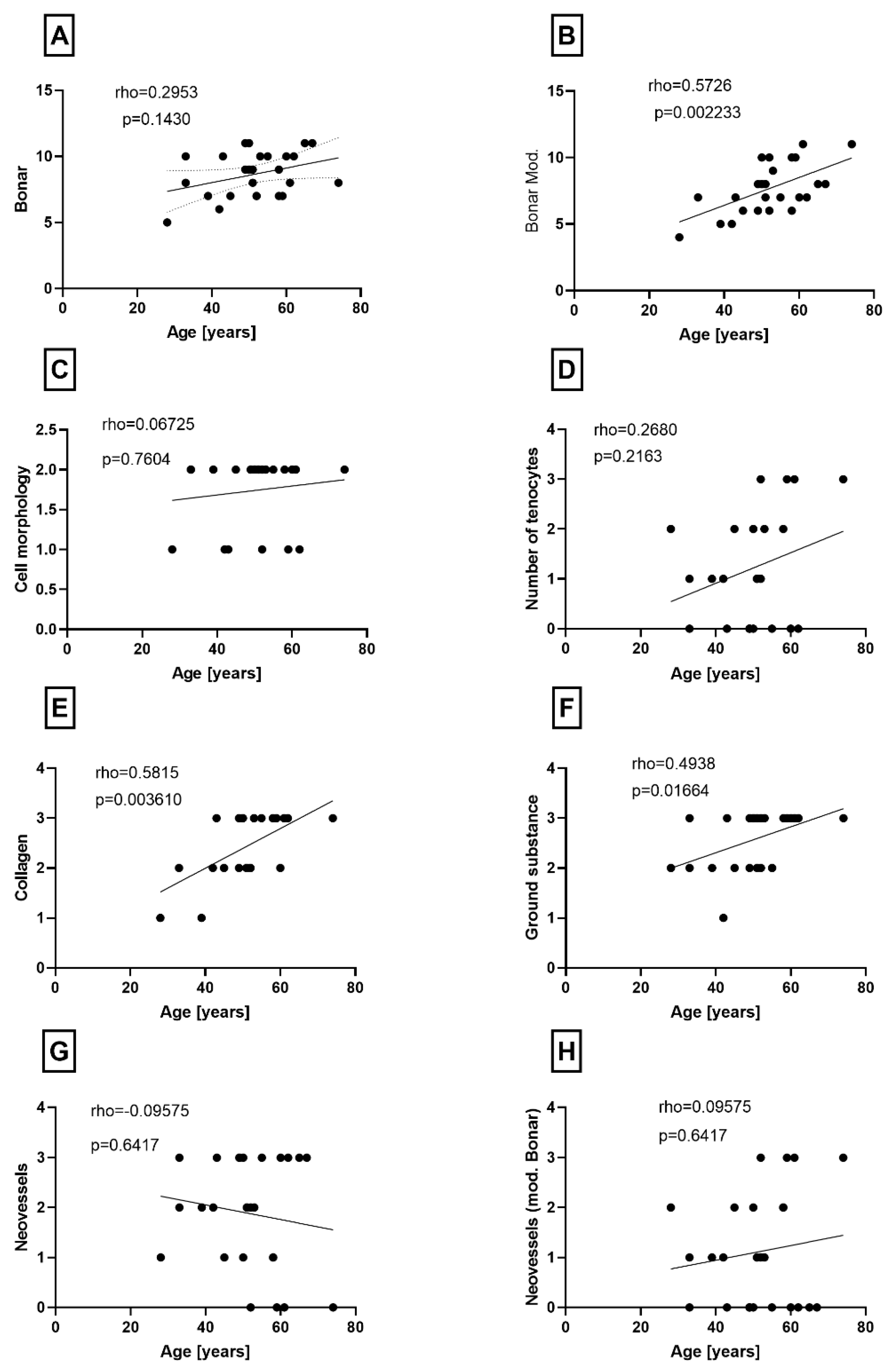
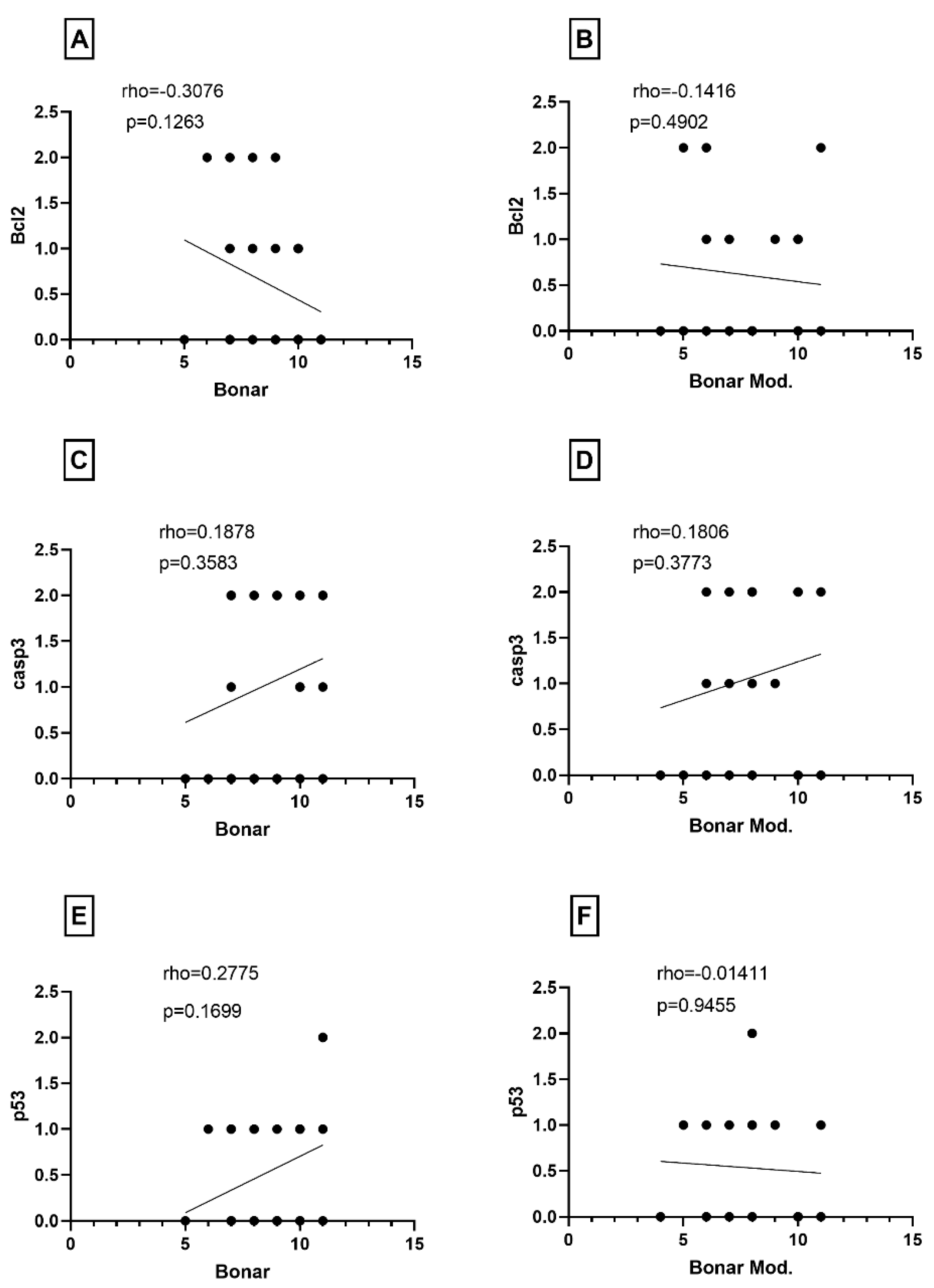
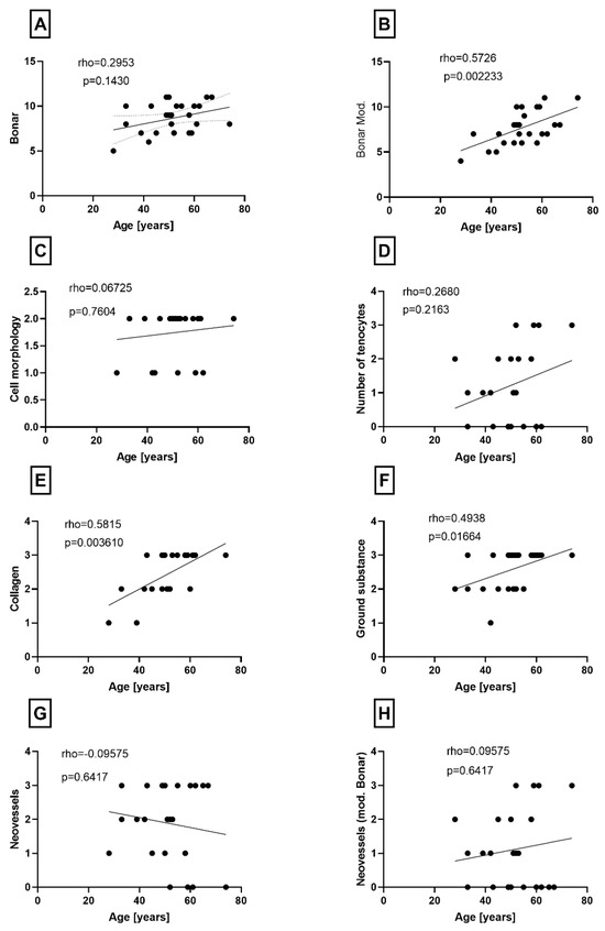
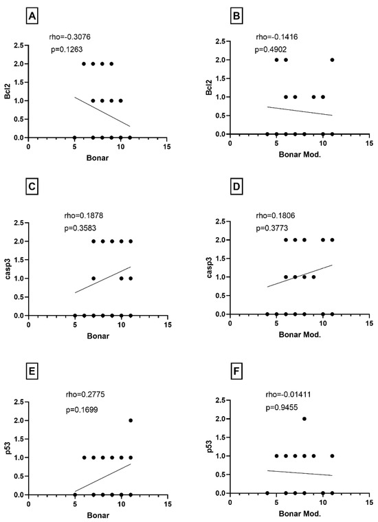
3. Results
3.1. Histological Examination
3.2. Immunohistochemical Analysis
4. Discussion
5. Conclusions
Author Contributions
Funding
Institutional Review Board Statement
Informed Consent Statement
Data Availability Statement
Conflicts of Interest
References
- Abate, M.; Gravare Silbernagel, K.; Siljeholm, C.; Di Iorio, A.; De Amicis, D.; Salini, V.; Werner, S.; Paganelli, R. Pathogenesis of Tendinopathies: Inflammation or Degeneration? Arthritis Res. Ther. 2009, 11, 235. [Google Scholar] [CrossRef] [PubMed]
- Fu, S.-C.; Rolf, C.; Cheuk, Y.-C.; Lui, P.P.; Chan, K.-M. Deciphering the Pathogenesis of Tendinopathy: A Three-Stages Process. BMC Sports Sci. Med. Rehabil. 2010, 2, 30. [Google Scholar] [CrossRef]
- Jomaa, G.; Kwan, C.-K.; Fu, S.-C.; Ling, S.K.-K.; Chan, K.-M.; Yung, P.S.-H.; Rolf, C. A Systematic Review of Inflammatory Cells and Markers in Human Tendinopathy. BMC Musculoskelet. Disord. 2020, 21, 78. [Google Scholar] [CrossRef] [PubMed]
- Andarawis-Puri, N.; Flatow, E.L.; Soslowsky, L.J. Tendon Basic Science: Development, Repair, Regeneration, and Healing. J. Orthop. Res. 2015, 33, 780–784. [Google Scholar] [CrossRef] [PubMed]
- Järvinen, T.A. Neovascularisation in Tendinopathy: From Eradication to Stabilisation? Br. J. Sports Med. 2020, 54, 1–2. [Google Scholar] [CrossRef] [PubMed]
- Wu, B.; Chen, J.; Rosa, T.D.; Yu, Q.; Wang, A.; Xu, J.; Zheng, M.-H. Cellular Response and Extracellular Matrix Breakdown in Rotator Cuff Tendon Rupture. Arch. Orthop. Trauma Surg. 2011, 131, 405–411. [Google Scholar] [CrossRef] [PubMed]
- Zabrzynski, J.; Gagat, M.; Paczesny, L.; Grzanka, D.; Huri, G. Correlation between Smoking and Neovascularization in Biceps Tendinopathy: A Functional Preoperative and Immunohistochemical Study. Ther. Adv. Chronic Dis. 2020, 11, 2040622320956418. [Google Scholar] [CrossRef] [PubMed]
- Benson, R.T.; McDonnell, S.M.; Knowles, H.J.; Rees, J.L.; Carr, A.J.; Hulley, P.A. Tendinopathy and Tears of the Rotator Cuff Are Associated with Hypoxia and Apoptosis. J. Bone Jt. Surg. Br. Vol. 2010, 92, 448–453. [Google Scholar] [CrossRef]
- Wu, Y.F.; Chen, C.H.; Cao, Y.; Avanessian, B.; Wang, X.T.; Tang, J.B. Molecular Events of Cellular Apoptosis and Proliferation in the Early Tendon Healing Period. J. Hand Surg. 2010, 35, 2–10. [Google Scholar] [CrossRef]
- Yuan, J.; Murrell, G.A.C.; Wei, A.-Q.; Wang, M.-X. Apoptosis in Rotator Cuff Tendonopathy. J. Orthop. Res. 2002, 20, 1372–1379. [Google Scholar] [CrossRef]
- Osti, L.; Buda, M.; Del Buono, A.; Osti, R.; Massari, L.; Maffulli, N. Apoptosis and Rotator Cuff Tears: Scientific Evidence from Basic Science to Clinical Findings. Br. Med. Bull. 2017, 122, 123–133. [Google Scholar] [CrossRef] [PubMed]
- Ditsios, K.; Agathangelidis, F.; Boutsiadis, A.; Karataglis, D.; Papadopoulos, P. Long Head of the Biceps Pathology Combined with Rotator Cuff Tears. Adv. Orthop. 2012, 2012, 405472. [Google Scholar] [CrossRef] [PubMed]
- Lundgreen, K.; Lian, Ø.; Scott, A.; Engebretsen, L. Increased Levels of Apoptosis and P53 in Partial-Thickness Supraspinatus Tendon Tears. Knee Surg. Sports Traumatol. Arthrosc. 2013, 21, 1636–1641. [Google Scholar] [CrossRef] [PubMed]
- Lundgreen, K.; Lian, Ø.B.; Scott, A.; Fearon, A.; Engebretsen, L. 58 Smokers Have Worse Rotator Cuff Teartendon Degeneration And Apoptosis. Br. J. Sports Med. 2014, 48, A37–A38. [Google Scholar] [CrossRef]
- Zabrzyński, J.; Gagat, M.; Łapaj, Ł.; Paczesny, Ł.; Yataganbaba, A.; Szwedowski, D.; Huri, G. Relationship between Long Head of the Biceps Tendon Histopathology and Long-Term Functional Results in Smokers. A Time to Reevaluate the Bonar Score? Ther. Adv. Chronic Dis. 2021, 12, 2040622321990262. [Google Scholar] [CrossRef] [PubMed]
- Maffulli, N.; Longo, U.G.; Franceschi, F.; Rabitti, C.; Denaro, V. Movin and Bonar Scores Assess the Same Characteristics of Tendon Histology. Clin. Orthop. Relat. Res. 2008, 466, 1605. [Google Scholar] [CrossRef] [PubMed]
- Hwang, H.S.; Kim, H.A. Chondrocyte Apoptosis in the Pathogenesis of Osteoarthritis. Int. J. Mol. Sci. 2015, 16, 26035–26054. [Google Scholar] [CrossRef]
- Wu, P.-T.; Su, W.-R.; Li, C.-L.; Hsieh, J.-L.; Ma, C.-H.; Wu, C.-L.; Kuo, L.-C.; Jou, I.-M.; Chen, S.-Y. Inhibition of CD44 Induces Apoptosis, Inflammation, and Matrix Metalloproteinase Expression in Tendinopathy. J. Biol. Chem. 2019, 294, 20177–20184. [Google Scholar] [CrossRef]
- Lian, Ø.; Scott, A.; Engebretsen, L.; Bahr, R.; Duronio, V.; Khan, K. Excessive Apoptosis in Patellar Tendinopathy in Athletes. Am. J. Sports Med. 2007, 35, 605–611. [Google Scholar] [CrossRef]
- Pearce, C.J.; Ismail, M.; Calder, J.D. Is Apoptosis the Cause of Noninsertional Achilles Tendinopathy? Am. J. Sports Med. 2009, 37, 2440–2444. [Google Scholar] [CrossRef]
- Wu, P.-T.; Jou, I.-M.; Yang, C.-C.; Lin, C.-J.; Yang, C.-Y.; Su, F.-C.; Su, W.-R. The Severity of the Long Head Biceps Tendinopathy in Patients with Chronic Rotator Cuff Tears: Macroscopic versus Microscopic Results. J. Shoulder Elb. Surg. 2014, 23, 1099–1106. [Google Scholar] [CrossRef] [PubMed]
- Chen, L.; Zheng, J.J.Y.; Li, G.; Yuan, J.; Ebert, J.R.; Li, H.; Papadimitriou, J.; Wang, Q.; Wood, D.; Jones, C.W.; et al. Pathogenesis and Clinical Management of Obesity-Related Knee Osteoarthritis: Impact of Mechanical Loading. J. Orthop. Transl. 2020, 24, 66–75. [Google Scholar] [CrossRef] [PubMed]
- Raney, E.B.; Thankam, F.G.; Dilisio, M.F.; Agrawal, D.K. Pain and the Pathogenesis of Biceps Tendinopathy. Am. J. Transl. Res. 2017, 9, 2668–2683. [Google Scholar] [PubMed]
- Martinez, M.M.; Reif, D.R.; Pappas, D. Detection of Apoptosis: A Review of Conventional and Novel Techniques. Anal. Methods 2010, 2, 996–1004. [Google Scholar] [CrossRef]
- Puzzitiello, R.N.; Patel, B.H.; Forlenza, E.M.; Nwachukwu, B.U.; Allen, A.A.; Forsythe, B.; Salzler, M.J. Adverse Impact of Corticosteroids on Rotator Cuff Tendon Health and Repair: A Systematic Review of Basic Science Studies. Arthrosc. Sports Med. Rehabil. 2020, 2, e161–e169. [Google Scholar] [CrossRef] [PubMed]
- Poulsen, R.C.; Watts, A.C.; Murphy, R.J.; Snelling, S.J.; Carr, A.J.; Hulley, P.A. Glucocorticoids Induce Senescence in Primary Human Tenocytes by Inhibition of Sirtuin 1 and Activation of the P53/P21 Pathway: In Vivo and in Vitro Evidence. Ann. Rheum. Dis. 2014, 73, 1405–1413. [Google Scholar] [CrossRef] [PubMed]
- Dean, B.J.F.; Franklin, S.L.; Murphy, R.J.; Javaid, M.K.; Carr, A.J. Glucocorticoids Induce Specific Ion-Channel-Mediated Toxicity in Human Rotator Cuff Tendon: A Mechanism Underpinning the Ultimately Deleterious Effect of Steroid Injection in Tendinopathy? Br. J. Sports Med. 2014, 48, 1620–1626. [Google Scholar] [CrossRef]
- Papazoglu, C.; Mills, A. P53: At the Crossroad between Cancer and Ageing. J. Pathol. 2007, 211, 124–133. [Google Scholar] [CrossRef] [PubMed]
- Itoigawa, Y.; Yoshida, K.; Nojiri, H.; Morikawa, D.; Kawasaki, T.; Wada, T.; Koga, A.; Maruyama, Y.; Ishijima, M. Association of Recurrent Tear After Arthroscopic Rotator Cuff Repair and Superoxide-Induced Oxidative Stress. Am. J. Sports Med. 2021, 49, 2048–2055. [Google Scholar] [CrossRef]
- Zhang, J.-H.; Zhang, Y.; Herman, B. Caspases, Apoptosis and Aging. Ageing Res. Rev. 2003, 2, 357–366. [Google Scholar] [CrossRef]
- Fearon, A.; Dahlstrom, J.E.; Twin, J.; Cook, J.; Scott, A. The Bonar Score Revisited: Region of Evaluation Significantly Influences the Standardized Assessment of Tendon Degeneration. J. Sci. Med. Sport 2014, 17, 346–350. [Google Scholar] [CrossRef] [PubMed]
- Jaworski, Ł.; Zabrzyńska, M.; Klimaszewska-Wiśniewska, A.; Zielińska, W.; Grzanka, D.; Gagat, M. Advances in Microscopic Studies of Tendinopathy: Literature Review and Current Trends, with Special Reference to Neovascularization Process. J. Clin. Med. 2022, 11, 1572. [Google Scholar] [CrossRef] [PubMed]
- Sethi, P.M.; Sheth, C.D.; Pauzenberger, L.; McCarthy, M.B.R.; Cote, M.P.; Soneson, E.; Miller, S.; Mazzocca, A.D. Macroscopic Rotator Cuff Tendinopathy and Histopathology Do Not Predict Repair Outcomes of Rotator Cuff Tears. Am. J. Sports Med. 2018, 46, 779–785. [Google Scholar] [CrossRef] [PubMed]
- Sethi, P.M.; Miller, S.R.; Sheth, C.D.; McCarthy, M.B.R.; Cote, M.P.; Mazzocca, A.D. Tendonopathy Does Not Predict Rotator Cuff Healing: Macroscopic Tendon Appearance and Histologic Tendon Scores Do Not Correlate. J. Shoulder Elb. Surg. 2017, 26, e145–e147. [Google Scholar] [CrossRef]
- Longo, U.G.; Franceschi, F.; Ruzzini, L.; Rabitti, C.; Morini, S.; Maffulli, N.; Denaro, V. Characteristics at Haematoxylin and Eosin Staining of Ruptures of the Long Head of the Biceps Tendon. Br. J. Sports Med. 2009, 43, 603–607. [Google Scholar] [CrossRef] [PubMed]
- Riggin, C.N.; Weiss, S.N.; Rodriguez, A.B.; Raja, H.; Chen, M.; Schultz, S.M.; Sehgal, C.M.; Soslowsky, L.J. Increasing Vascular Response to Injury Improves Tendon Early Healing Outcome in Aged Rats. Ann. Biomed. Eng. 2022, 50, 587–600. [Google Scholar] [CrossRef] [PubMed]
- Glait, S.A.; Mahure, S.; Loomis, C.A.; Cammer, M.; Pham, H.; Feldman, A.; Jazrawi, L.M.; Strauss, E.J. Regional Histologic Differences in the Long Head of the Biceps Tendon Following Subpectoral Biceps Tenodesis in Patients with Rotator Cuff Tears and SLAP Lesions. Knee Surg. Sports Traumatol. Arthrosc. 2018, 26, 2481–2489. [Google Scholar] [CrossRef]
- Lundgreen, K.; Lian, Ø.B.; Engebretsen, L.; Scott, A. Tenocyte Apoptosis in the Torn Rotator Cuff: A Primary or Secondary Pathological Event? Br. J. Sports Med. 2011, 45, 1035–1039. [Google Scholar] [CrossRef]



| Population | Mean Age (Years) | Mean Follow-Up Period (Months) | Mean Bonar Score | Mean Modified Bonar Score | LHBT Arthroscopic Procedure | Macroscopic LHBT Classification According to Lafosse | Macroscopic RC Classification According to Snyder |
|---|---|---|---|---|---|---|---|
| n = 26 | 51. 8 (range from 28 to 74) | 40.9 (range from 24 to 65) | 8.65 (range 5–11) | 7.61 (range 4–11) | LHB tenodesis in 19 patients LHB tenotomy in 7 patients | Grade II—26 patients | C-2 in 7 patients C-4 in 9 patients B-1 and B-2 in 10 patients |
Disclaimer/Publisher’s Note: The statements, opinions and data contained in all publications are solely those of the individual author(s) and contributor(s) and not of MDPI and/or the editor(s). MDPI and/or the editor(s) disclaim responsibility for any injury to people or property resulting from any ideas, methods, instructions or products referred to in the content. |
© 2024 by the authors. Licensee MDPI, Basel, Switzerland. This article is an open access article distributed under the terms and conditions of the Creative Commons Attribution (CC BY) license (https://creativecommons.org/licenses/by/4.0/).
Share and Cite
Jaworski, Ł.; Zabrzyński, J.; Millett, P.J.; Rupp, M.-C.; Familiari, F.; Huri, G.; Erdmann, J.; Błachowski, M.; Pękala, P.; Gagat, M. Correlation between the Long Head of the Biceps Microscopic Degeneration and Extent of Apoptotic Process. J. Clin. Med. 2024, 13, 4520. https://doi.org/10.3390/jcm13154520
Jaworski Ł, Zabrzyński J, Millett PJ, Rupp M-C, Familiari F, Huri G, Erdmann J, Błachowski M, Pękala P, Gagat M. Correlation between the Long Head of the Biceps Microscopic Degeneration and Extent of Apoptotic Process. Journal of Clinical Medicine. 2024; 13(15):4520. https://doi.org/10.3390/jcm13154520
Chicago/Turabian StyleJaworski, Łukasz, Jan Zabrzyński, Peter J. Millett, Marco-Christopher Rupp, Filippo Familiari, Gazi Huri, Jakub Erdmann, Michał Błachowski, Przemysław Pękala, and Maciej Gagat. 2024. "Correlation between the Long Head of the Biceps Microscopic Degeneration and Extent of Apoptotic Process" Journal of Clinical Medicine 13, no. 15: 4520. https://doi.org/10.3390/jcm13154520
APA StyleJaworski, Ł., Zabrzyński, J., Millett, P. J., Rupp, M.-C., Familiari, F., Huri, G., Erdmann, J., Błachowski, M., Pękala, P., & Gagat, M. (2024). Correlation between the Long Head of the Biceps Microscopic Degeneration and Extent of Apoptotic Process. Journal of Clinical Medicine, 13(15), 4520. https://doi.org/10.3390/jcm13154520

