Lack of Serological Response by Delivery to Syphilis Treatment Does Not Impact Pregnancy Outcomes
Abstract
1. Introduction
2. Materials and Methods
2.1. Characteristics of Patients
2.2. Study Plan
2.3. Non-Treponemal and Treponemal Tests
2.4. Statistical Analysis
3. Results
4. Discussion
5. Conclusions
Author Contributions
Funding
Institutional Review Board Statement
Informed Consent Statement
Data Availability Statement
Conflicts of Interest
References
- Kojima, N.; Klausner, J.D. An Update on the Global Epidemiology of Syphilis. Curr. Epidemiol. Rep. 2018, 5, 24–38. [Google Scholar] [CrossRef] [PubMed]
- Gilmour, L.S.; Walls, T. Congenital Syphilis: A Review of Global Epidemiology. Clin. Microbiol. Rev. 2023, 36, e0012622. [Google Scholar] [CrossRef] [PubMed]
- Adhikari, E.H. Syphilis in Pregnancy. Obstet. Gynecol. 2020, 135, 1121–1135. [Google Scholar] [CrossRef] [PubMed]
- Bowen, V.; Su, J.; Torrone, E.; Kidd, S.; Weinstock, H. Increase in incidence of congenital syphilis-United States, 2012–2014. MMWR Morb. Mortal. Wkly. Rep. 2015, 64, 1241–1245. [Google Scholar] [CrossRef]
- Torrone, E.A.; Miller, W.C. Congenital and Heterosexual Syphilis: Still Part of the Problem. Sex. Transm. Dis. 2018, 45, S20–S22. [Google Scholar] [CrossRef] [PubMed]
- Gomez, G.B.; Kamb, M.L.; Newman, L.M.; Mark, J.; Broutet, N.; Hawkes, S.J. Untreated maternal syphilis and adverse outcomes of pregnancy: A systematic review and meta-analysis. Bull. World Health Organ. 2013, 91, 217–226. [Google Scholar] [CrossRef] [PubMed]
- D’Aiuto, C.; Valderrama, A.; Byrns, M.; Boucoiran, I. Sexually Transmitted and Blood-Borne Infections in Pregnant Women and Adverse Pregnancy Outcomes. J. Obstet. Gynaecol. Can. 2020, 42, 977–983. [Google Scholar] [CrossRef]
- Gulersen, M.; Lenchner, E.; Eliner, Y.; Grunebaum, A.; Johnson, L.; Chervenak, F.A.; Bornstein, E. Risk factors and adverse outcomes associated with syphilis infection during pregnancy. Am. J. Obstet. Gynecol. MFM 2023, 5, 100957. [Google Scholar] [CrossRef]
- Eppes, C.S.; Stafford, I.; Rac, M. Syphilis in pregnancy: An ongoing public health threat. Am. J. Obstet. Gynecol. 2022, 227, 822–838. [Google Scholar] [CrossRef]
- Cao, Q.; Li, Y.; Hu, Y.; He, B.; Tang, Y.; Cao, T.; Peng, B.; Zhou, X.; Liu, S. Serofast status in syphilis: Pathogenesis to therapeutics. Clin. Chim. Acta 2024, 560, 119754. [Google Scholar] [CrossRef]
- Janier, M.; Unemo, M.; Dupin, N.; Tiplica, G.S.; Potočnik, M.; Patel, R. 2020 European guideline on the management of syphilis. J. Eur. Acad. Dermatol. Venereol. 2021, 35, 574–588. [Google Scholar] [CrossRef]
- Centers for Disease Control and Prevenation. Sexually Transmitted Diseases Treatment Guidelines 2021; US Department of Health and Human Services: Atlanta, GA, USA, 2021. [Google Scholar]
- Satyaputra, F.; Hendry, S.; Braddick, M.; Sivabalan, P.; Norton, R. The Laboratory Diagnosis of Syphilis. J. Clin. Microbiol. 2021, 59, e0010021. [Google Scholar] [CrossRef]
- Pillay, A. Centers for Disease Control and Prevention Syphilis Summit-Diagnostics and Laboratory Issues. Sex. Transm. Dis. 2018, 45, S13–S16. [Google Scholar] [CrossRef]
- Liu, Y.; Bian, Q.; Zhang, S.; Wang, J.; Wang, Z.; Li, J. Is repeated retreatment necessary for HIV-negative serofast early syphilis patients? Exp. Ther. Med. 2020, 19, 255–263. [Google Scholar] [CrossRef] [PubMed]
- Lafond, R.E.; Lukehart, S.A. Biological basis for syphilis. Clin. Microbiol. Rev. 2006, 19, 29–49. [Google Scholar] [CrossRef] [PubMed]
- Seña, A.C.; Zhang, X.H.; Li, T.; Zheng, H.P.; Yang, B.; Yang, L.G.; Salazar, J.C.; Cohen, M.S.; Moody, M.A.; Radolf, J.D.; et al. A systematic review of syphilis serological treatment outcomes in HIV-infected and HIV-uninfected persons: Rethinking the significance of serological non-responsiveness and the serofast state after therapy. BMC Infect. Dis. 2015, 15, 479. [Google Scholar] [CrossRef]
- Luo, Z.; Ding, Y.; Yuan, J.; Tian, L.; Zhang, L.; Wu, Q.; Mou, J. Predictors of serological cure after penicillin therapy in HIV-negative patients with early syphilis in Shenzhen, China. PLoS ONE 2021, 16, e0245812. [Google Scholar] [CrossRef]
- Pastuszczak, M.; Gozdzialska, A.; Jakiela, B.; Obtulowicz, A.; Jaskiewicz, J.; Wojas-Pelc, A. Robust pro-inflammatory immune response is associated with serological cure in patients with syphilis: An observational study. Sex. Transm. Infect. 2017, 93, 11–14. [Google Scholar] [CrossRef] [PubMed]
- Galan, H.L.; Montalvo, J.F.; Deaver, J. Retrospective analysis of the serologic response to the treatment of syphilis during pregnancy. Infect. Dis. Obstet. Gynecol. 1997, 5, 23–28. [Google Scholar] [CrossRef] [PubMed]
- Rac, M.W.; Bryant, S.N.; Cantey, J.B.; McIntire, D.D.; Wendel, G.D., Jr.; Sheffield, J.S. Maternal titers after adequate syphilotherapy during pregnancy. Clin. Infect. Dis. 2015, 60, 686–690. [Google Scholar] [CrossRef]
- Rac, M.W.; Bryant, S.N.; McIntire, D.D.; Cantey, J.B.; Twickler, D.M.; Wendel, G.D., Jr.; Sheffield, J.S. Progression of ultrasound findings of fetal syphilis after maternal treatment. Am. J. Obstet. Gynecol. 2014, 211, 426.e1–426.e6. [Google Scholar] [CrossRef] [PubMed]
- Hollier, L.M.; Harstad, T.W.; Sanchez, P.J.; Twickler, D.M.; Wendel, G.D., Jr. Fetal syphilis: Clinical and laboratory characteristics. Obstet. Gynecol. 2001, 97, 947–953. [Google Scholar] [CrossRef] [PubMed]
- Ahmed, M.; Jackson, D.E. The role of measuring peak systolic velocity of the middle cerebral artery blood flow and anti-K1 titre during pregnancy to detect foetuses with severe anaemia, foetal hydrops, and the requirement of intrauterine transfusion: A systematic review and meta-analysis. Hematol. Transfus. Cell Ther 2024, in press. [Google Scholar] [CrossRef]
- Pastuszczak, M.; Wojas-Pelc, A. Current standards for diagnosis and treatment of syphilis: Selection of some practical issues, based on the European (IUSTI) and U.S. (CDC) guidelines. Postepy Dermatol. Alergol. 2013, 30, 203–210. [Google Scholar] [CrossRef] [PubMed]


| 4-Fold Decline Group (n = 7) | No 4-Fold Decline Group (n = 7) | p | |
|---|---|---|---|
| Age: years (min–max) | 27.5 (23–33) | 25 (20–29) | 0.1 |
| Gestational age at the time of syphilis diagnosis: weeks (min–max) | 18 (16–22) | 19 (16–22) | 0.7 |
| Baseline RPR: titer (min–max) | 1:16 (1:8–1:128) | 1:32 (1:8–1:128) | 0.3 |
| Early latent syphilis: n (%) | 5 (71.4) | 4 (57.1) | 0.2 |
| Macular rash: n (%) | 1 (14.3) | 1 (14.3) | |
| Maculopapular rash on palms and soles: n (%) | 0 | 1 (14.3) | 0.5 |
| Blood test results at baseline | |||
| Erythrocytes: ×106/uL | 5.7 (1.1) | 4.8 (1.7) | 0.33 |
| Hemoglobin levels: d/dL | 14.1 (2.3) | 13.7 (3.2) | 0.45 |
| Leukocytes: ×103/uL | 6.5 (0.5) | 5.1 (0.7) | 0.08 |
| Lymphocytes: ×103/uL | 1.9 (0.3) | 1.2 (0.5) | 0.75 |
| Neutrophils: ×103/uL | 4.2 (0.4) | 3.5 (0.2) | 0.12 |
| ALT: U/L | 37 (4) | 32 (2) | 0.77 |
| AST: U/L | 32 (4.5) | 31 (2) | 0.6 |
| Creatinine levels: mmol/L | 84 (4.3) | 74 (8.2) | 0.13 |
| CRP levels: mg/dL | 11.4 (5.1) | 6.1 (2.3) | 0.15 |
| Serological characteristics of newborns at the day of delivery | |||
| Positive TPHA: n (%) | 7 (100) | 7 (100) | |
| Positive RPR: n (%) | 2 (28.6) | 6 (85.7) | 0.03 |
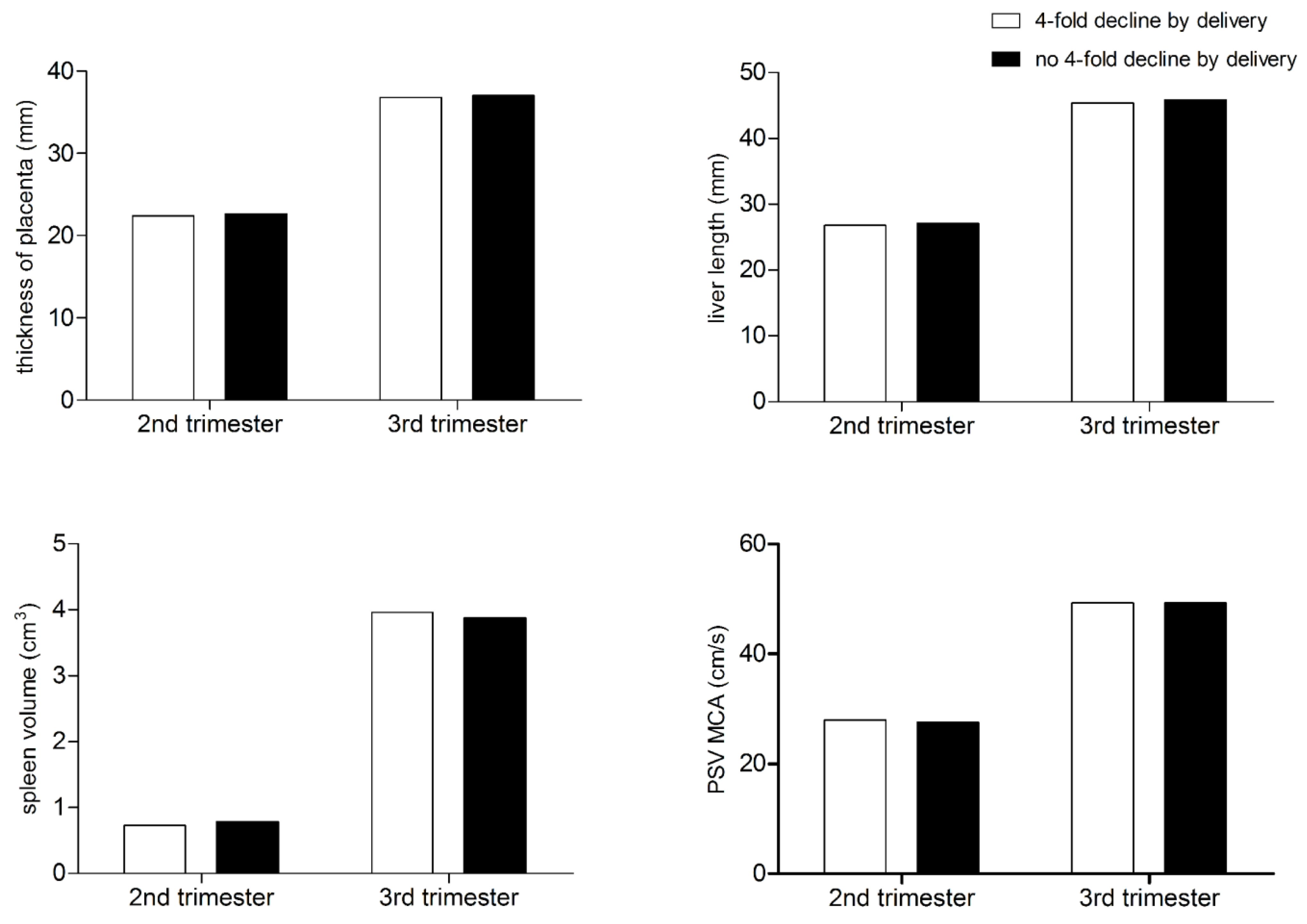
| Fetal Parameters | Gestational Age | 4-Fold Decline by Delivery | No 4-Fold Decline by Delivery |
|---|---|---|---|
| Placenta thickness (median: mm) | |||
| 16 | 21.9 | 22.3 | |
| 20 | 22.4 | 22.6 | |
| 24 | 27.1 | 26.9 | |
| 28 | 33.8 | 33.6 | |
| 32 | 34.1 | 34.2 | |
| 36 | 39.5 | 39.8 | |
| 40 | 40.2 | 40.4 | |
| Liver length (median: mm) | |||
| 16 | 19.1 | 19.3 | |
| 20 | 26.8 | 27.1 | |
| 24 | 31.1 | 31 | |
| 28 | 33.5 | 33.8 | |
| 32 | 42.1 | 42.7 | |
| 36 | 48.6 | 49.1 | |
| 40 | 55.1 | 54.3 | |
| Spleen volume (median: cm3) | |||
| 16 | 0.67 | 0.62 | |
| 20 | 0.73 | 0.79 | |
| 24 | 1.16 | 1.35 | |
| 28 | 2.28 | 2.45 | |
| 32 | 3.96 | 3.88 | |
| 36 | 7.8 | 7.2 | |
| PSV MCA (median: cm/s) | |||
| 20 | 25.6 | 26.1 | |
| 24 | 30.5 | 29.1 | |
| 28 | 36.9 | 36.1 | |
| 32 | 45.1 | 44.8 | |
| 36 | 53.5 | 53.9 | |
| 40 | 64.8 | 65.1 |
| Day of Delivery | Third Month of Life | Sixth Month of Life | |||||
|---|---|---|---|---|---|---|---|
| Child | Sex | RPR | TPHA | RPR | TPHA | RPR | TPHA |
| Neonate 1 | Female | 1:2 | positive | negative | negative | negative | negative |
| Neonate 2 | Female | negative | positive | negative | negative | negative | negative |
| Neonate 3 | Female | 1:2 | positive | negative | negative | negative | negative |
| Neonate 4 | Female | 1:4 | positive | 1:2 | positive | negative | negative |
| Neonate 5 | Female | negative | positive | negative | negative | negative | negative |
| Neonate 6 | Female | negative | positive | negative | negative | negative | negative |
| Neonate 7 | Female | 1:4 | positive | negative | negative | negative | negative |
| Neonate 8 | Female | 1:4 | positive | 1:2 | positive | negative | negative |
| Neonate 9 | Male | negative | positive | negative | negative | negative | negative |
| Neonate 10 | Male | 1:4 | positive | 1:2 | positive | negative | negative |
| Neonate 11 | Male | negative | positive | negative | positive | negative | negative |
| Neonate 12 | Male | negative | positive | negative | positive | negative | negative |
| Neonate 13 | Male | 1:4 | positive | 1:2 | positive | negative | negative |
| Neonate 14 | Male | 1:4 | positive | 1:2 | positive | negative | negative |
Disclaimer/Publisher’s Note: The statements, opinions and data contained in all publications are solely those of the individual author(s) and contributor(s) and not of MDPI and/or the editor(s). MDPI and/or the editor(s) disclaim responsibility for any injury to people or property resulting from any ideas, methods, instructions or products referred to in the content. |
© 2024 by the authors. Licensee MDPI, Basel, Switzerland. This article is an open access article distributed under the terms and conditions of the Creative Commons Attribution (CC BY) license (https://creativecommons.org/licenses/by/4.0/).
Share and Cite
Kaminiów, K.; Kotlarz, A.; Kiołbasa, M.; Pastuszczak, M. Lack of Serological Response by Delivery to Syphilis Treatment Does Not Impact Pregnancy Outcomes. J. Clin. Med. 2024, 13, 4031. https://doi.org/10.3390/jcm13144031
Kaminiów K, Kotlarz A, Kiołbasa M, Pastuszczak M. Lack of Serological Response by Delivery to Syphilis Treatment Does Not Impact Pregnancy Outcomes. Journal of Clinical Medicine. 2024; 13(14):4031. https://doi.org/10.3390/jcm13144031
Chicago/Turabian StyleKaminiów, Konrad, Agnieszka Kotlarz, Martyna Kiołbasa, and Maciej Pastuszczak. 2024. "Lack of Serological Response by Delivery to Syphilis Treatment Does Not Impact Pregnancy Outcomes" Journal of Clinical Medicine 13, no. 14: 4031. https://doi.org/10.3390/jcm13144031
APA StyleKaminiów, K., Kotlarz, A., Kiołbasa, M., & Pastuszczak, M. (2024). Lack of Serological Response by Delivery to Syphilis Treatment Does Not Impact Pregnancy Outcomes. Journal of Clinical Medicine, 13(14), 4031. https://doi.org/10.3390/jcm13144031

