Detection of Microplastics in Human Breast Milk and Its Association with Changes in Human Milk Bacterial Microbiota
Abstract
1. Introduction
2. Materials and Methods
2.1. Study Design and Population
2.2. MP Detection and Microbiota Analysis from Human Breast Milk Protocol
2.3. Sample Size Calculation
2.4. Statistical Analysis
3. Results
3.1. Demographics of the Population
3.2. Microplastics Detection
3.3. Maternal Hygiene Behaviors and Complications during Breastfeeding Compared to the MPs Present and Absent Groups
3.4. Maternal Behavior on the Risk of Exposure to Chemicals or Products Contaminated with MPs during Current Breastfeeding Compared to MPs Present and Absent Groups
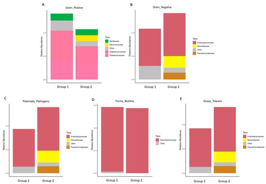
3.5. Difference of Bacterial Microbiota between MPs Present and Absent Groups
4. Discussion
5. Conclusions
Supplementary Materials
Author Contributions
Funding
Institutional Review Board Statement
Informed Consent Statement
Data Availability Statement
Acknowledgments
Conflicts of Interest
References
- Hanun, J.N.; Hassan, F.; Jiang, J.-J. Occurrence, fate, and sorption behavior of contaminants of emerging concern to microplastics: Influence of the weathering/aging process. J. Environ. Chem. Eng. 2021, 9, 106290. [Google Scholar] [CrossRef]
- Yang, H.; Chen, G.; Wang, J. Microplastics in the Marine Environment: Sources, Fates, Impacts and Microbial Degradation. Toxics 2021, 9, 41. [Google Scholar] [CrossRef] [PubMed]
- Kannan, K.; Vimalkumar, K. A Review of Human Exposure to Microplastics and Insights Into Microplastics as Obesogens. Front. Endocrinol. 2021, 12, 724989. [Google Scholar] [CrossRef]
- Sridharan, S.; Kumar, M.; Singh, L.; Bolan, N.S.; Saha, M. Microplastics as an emerging source of particulate air pollution: A critical review. J. Hazard. Mater. 2021, 418, 126245. [Google Scholar] [CrossRef] [PubMed]
- Sripada, K.; Wierzbicka, A.; Abass, K.; Grimalt, J.O.; Erbe, A.; Röllin, H.B.; Weihe, P.; Díaz, G.J.; Singh, R.R.; Visnes, T.; et al. A Children’s Health Perspective on Nano- and Microplastics. Environ. Health Perspect. 2022, 130, 15001. [Google Scholar] [CrossRef] [PubMed]
- Amran, N.H.; Zaid, S.S.M.; Mokhtar, M.H.; Manaf, L.A.; Othman, S. Exposure to Microplastics during Early Developmental Stage: Review of Current Evidence. Toxics 2022, 10, 597. [Google Scholar] [CrossRef]
- Ragusa, A.; Svelato, A.; Santacroce, C.; Catalano, P.; Notarstefano, V.; Carnevali, O.; Papa, F.; Rongioletti, M.C.A.; Baiocco, F.; Draghi, S.; et al. Plasticenta: First evidence of microplastics in human placenta. Environ. Int. 2020, 146, 106274. [Google Scholar] [CrossRef]
- Ge, J.; Li, H.; Liu, P.; Zhang, Z.; Ouyang, Z.; Guo, X. Review of the toxic effect of microplastics on terrestrial and aquatic plants. Sci. Total. Environ. 2021, 791, 148333. [Google Scholar] [CrossRef] [PubMed]
- Ragusa, A.; Notarstefano, V.; Svelato, A.; Belloni, A.; Gioacchini, G.; Blondeel, C.; Zucchelli, E.; De Luca, C.; D’avino, S.; Gulotta, A.; et al. Raman Microspectroscopy Detection and Characterisation of Microplastics in Human Breastmilk. Polymers 2022, 14, 2700. [Google Scholar] [CrossRef]
- Liu, S.; Guo, J.; Liu, X.; Yang, R.; Wang, H.; Sun, Y.; Chen, B.; Dong, R. Detection of various microplastics in placentas, meconium, infant feces, breastmilk and infant formula: A pilot prospective study. Sci. Total. Environ. 2023, 854, 158699. [Google Scholar] [CrossRef]
- Jung, J.; Karwal, E.K.; McDonald, S.; Turner, T.; Chou, D.; Vogel, J.P. Prevention and control of non-communicable diseases in antenatal, intrapartum, and postnatal care: A systematic scoping review of clinical practice guidelines since 2011. BMC Med. 2022, 20, 305. [Google Scholar] [CrossRef] [PubMed]
- Sakwinska, O.; Moine, D.; Delley, M.; Combremont, S.; Rezzonico, E.; Descombes, P.; Vinyes-Pares, G.; Zhang, Y.; Wang, P.; Thakkar, S.K. Microbiota in Breast Milk of Chinese Lactating Mothers. PLoS ONE 2016, 11, e0160856. [Google Scholar] [CrossRef] [PubMed]
- Kawashima, K.; Shirzadi, M.; Fukasawa, T.; Fukui, K.; Tsuru, T.; Ishigami, T. Numerical modeling for particulate flow through realistic microporous structure of microfiltration membrane: Direct numerical simulation coordinated with focused ion beam scanning electron microscopy. Powder Technol. 2022, 410, 117872. [Google Scholar] [CrossRef]
- Andrady, A.L.; Neal, M.A. Applications and societal benefits of plastics. Philos. Trans. R. Soc. Lond. B Biol. Sci. 2009, 364, 1977–1984. [Google Scholar] [CrossRef] [PubMed]
- Lee, Y.; Cho, J.; Sohn, J.; Kim, C. Health Effects of Microplastic Exposures: Current Issues and Perspectives in South Korea. Yonsei Med, J. 2023, 64, 301–308. [Google Scholar] [CrossRef] [PubMed]
- Whiting, Q.T.; O’connor, K.F.; Potter, P.M.; Al-Abed, S.R. A high-throughput, automated technique for microplastics detection, quantification, and characterization in surface waters using laser direct infrared spectroscopy. Anal. Bioanal. Chem. 2022, 414, 8353–8364. [Google Scholar] [CrossRef] [PubMed]
- Taddese, A.A.; Dagnew, B.; Dagne, H.; Andualem, Z. Mother’s Handwashing Practices and Health Outcomes of Under-Five Children in Northwest Ethiopia. Pediatr. Health Med. Ther. 2020, 11, 101–108. [Google Scholar] [CrossRef] [PubMed]
- Fackelmann, G.; Sommer, S. Microplastics and the gut microbiome: How chronically exposed species may suffer from gut dysbiosis. Mar. Pollut. Bull. 2019, 143, 193–203. [Google Scholar] [CrossRef] [PubMed]
- Deng, Y.; Yan, Z.; Shen, R.; Wang, M.; Huang, Y.; Ren, H.; Zhang, Y.; Lemos, B. Microplastics release phthalate esters and cause aggravated adverse effects in the mouse gut. Environ. Int. 2020, 143, 105916. [Google Scholar] [CrossRef]
- Powell, J.J.; Faria, N.; Thomas-McKay, E.; Pele, L.C. Origin and fate of dietary nanoparticles and microparticles in the gastrointestinal tract. J. Autoimmun. 2010, 34, J226–J233. [Google Scholar] [CrossRef]
- Anderson, A.; Grose, J.; Pahl, S.; Thompson, R.; Wyles, K. Microplastics in personal care products: Exploring perceptions of environmentalists, beauticians and students. Mar. Pollut. Bull. 2016, 113, 454–460. [Google Scholar] [CrossRef] [PubMed]
- Chigwada, A.D.; Tekere, M. The plastic and microplastic waste menace and bacterial biodegradation for sustainable environmental clean-up a review. Environ. Res. 2023, 231, 116110. [Google Scholar] [CrossRef]
- Gambino, I.; Bagordo, F.; Grassi, T.; Panico, A.; De Donno, A. Occurrence of Microplastics in Tap and Bottled Water: Current Knowledge. Int. J. Environ. Res. Public Health 2022, 19, 5283. [Google Scholar] [CrossRef] [PubMed]
- Zettler, E.R.; Mincer, T.J.; Amaral-Zettler, L.A. Life in the “Plastisphere”: Microbial Communities on Plastic Marine Debris. Environ. Sci. Technol. 2013, 47, 7137–7146. [Google Scholar] [CrossRef] [PubMed]
- Ghssein, G.; Ezzeddine, Z. The Key Element Role of Metallophores in the Pathogenicity and Virulence of Staphylococcus aureus: A Review. Biology 2022, 11, 1525. [Google Scholar] [CrossRef] [PubMed]
- Fueser, H.; Mueller, M.-T.; Weiss, L.; Höss, S.; Traunspurger, W. Ingestion of microplastics by nematodes depends on feeding strategy and buccal cavity size. Environ. Pollut. 2019, 255, 113227. [Google Scholar] [CrossRef] [PubMed]
- Singh, S.; Patil, T.; Tekade, S.P.; Gawande, M.B.; Sawarkar, A.N. Studies on individual pyrolysis and co-pyrolysis of corn cob and polyethylene: Thermal degradation behavior, possible synergism, kinetics, and thermodynamic analysis. Sci. Total. Environ. 2021, 783, 147004. [Google Scholar] [CrossRef] [PubMed]
- Li, J.; Liu, H.; Chen, J.P. Microplastics in freshwater systems: A review on occurrence, environmental effects, and methods for microplastics detection. Water Res. 2018, 137, 362–374. [Google Scholar] [CrossRef] [PubMed]
- Tarafdar, A.; Mohamed, D.; Kwon, J.-H. Marine Microplastics: Abundance, Ecotoxic Consequences of Associated Anthropogenic Contaminants and Interactions with Microorganisms. In Persistent Pollutants in Water and Advanced Treatment Technology; Springer Nature: Singapore, 2023; pp. 11–46. [Google Scholar]
- Tuvo, B.; Scarpaci, M.; Bracaloni, S.; Esposito, E.; Costa, A.L.; Ioppolo, M.; Casini, B. Microplastics and Antibiotic Resistance: The Magnitude of the Problem and the Emerging Role of Hospital Wastewater. Int. J. Environ. Res. Public Health 2023, 20, 5868. [Google Scholar] [CrossRef]
- Ghssein, G.; Ezzeddine, Z. A Review of Pseudomonas aeruginosa Metallophores: Pyoverdine, Pyochelin and Pseudopaline. Biology 2022, 11, 1711. [Google Scholar] [CrossRef]
- Yi, K.; Huang, J.; Li, X.; Li, S.; Pang, H.; Liu, Z.; Zhang, W.; Liu, S.; Liu, C.; Shu, W. Long-term impacts of polyethylene terephthalate (PET) microplastics in membrane bioreactor. J. Environ. Manag. 2022, 323, 116234. [Google Scholar] [CrossRef] [PubMed]





| Participant’s Information | N = 59 | % |
|---|---|---|
| Age (year), mean (SD) | 28.13 (7.93) | |
| BMI | ||
| 31 23 5 | 52.54 38.98 8.47 |
| Education, n (%) | ||
| High school/college | 19 | 32.20 |
| Degree | 39 | 66.10 |
| Graduated school | 1 | 1.70 |
| Numbers of pregnancy | ||
| Primigravida | 27 | 45.76 |
| Multigravida | 32 | 54.24 |
| Route of delivery | ||
| Vaginal delivery | 33 | 55.93 |
| Cesarean section | 26 | 44.07 |
| Occupation | ||
| Housewife | 23 | 38.98 |
| Peasant | 12 | 20.34 |
| Business/Entrepreneur | 8 | 13.56 |
| Salaries/Waged | 10 | 16.95 |
| Student | 6 | 10.16 |
| Sample Code No. | Age | Milk Quantity (g) | Number of MPs | Shape | Color | Polymers Identified |
|---|---|---|---|---|---|---|
| BM001 | 23 | 15.0 | 2 | irregular fragment | dark brown | polyvinyl chloride |
| sphere | brown | polyvinyl chloride | ||||
| BM005 | 45 | 14.3 | 1 | irregular fragment | black | polypropylene |
| BM014 | 17 | 10.5 | 1 | irregular fragment | brown | polyvinyl chloride |
| BM016 | 28 | 15.0 | 1 | irregular fragment | black | polystyrene |
| BM017 | 18 | 10.0 | 3 | irregular fragment | green | p-(Ethylene terephthalate) |
| irregular fragment | yellow | polyethylene | ||||
| irregular fragment | dark brown | polyvinyl chloride | ||||
| BM020 | 22 | 10.0 | 1 | irregular fragment | blue | polyethylene |
| BM021 | 45 | 15.0 | 1 | irregular fragment | brown | polyethylene |
| BM022 | 48 | 15.0 | 2 | sphere | brown | polyvinyl chloride |
| irregular fragment | pink | nylon | ||||
| BM023 | 38 | 12.0 | 1 | irregular fragment | red | polyvinyl chloride |
| BM026 | 31 | 12.0 | 1 | sphere | dark brown | polystyrene |
| BM027 | 19 | 12.0 | 4 | irregular fragment | brown | polypropylene |
| irregular fragment | green | polyethylene | ||||
| sphere | brown | polypropylene | ||||
| irregular fragment | brown | polypropylene | ||||
| BM031 | 28 | 12.0 | 2 | irregular fragment | brown | polypropylene |
| sphere | brown | polypropylene | ||||
| BM033 | 23 | 12.0 | 1 | irregular fragment | brown | polyethylene |
| BM034 | 43 | 10.3 | 1 | irregular fragment | brown | polypropylene |
| BM035 | 22 | 11.5 | 1 | irregular fragment | green | polyethylene |
| BM037 | 41 | 11.0 | 2 | sphere | dark brown | polystyrene |
| irregular fragment | blue | polyvinyl chloride | ||||
| BM041 | 36 | 10.0 | 2 | irregular fragment | green | polyethylene |
| irregular fragment | gray | polypropylene | ||||
| BM043 | 36 | 10.0 | 3 | irregular fragment | brown | polypropylene |
| sphere | dark brown | polystyrene | ||||
| irregular fragment | brown | polyethylene | ||||
| BM044 | 32 | 10.0 | 1 | irregular fragment | brown | polypropylene |
| BM046 | 19 | 15.0 | 1 | irregular fragment | red | polyvinyl chloride |
| BM049 | 21 | 15.0 | 3 | irregular fragment | green | polyethylene |
| irregular fragment | brown | polypropylene | ||||
| irregular fragment | gray | polypropylene | ||||
| BM051 | 23 | 12.0 | 2 | irregular fragment | brown | polypropylene |
| irregular fragment | brown | polyethylene | ||||
| BM053 | 34 | 12.0 | 1 | irregular fragment | brown | polypropylene |
| Maternal Characteristics | Group 1 (n = 23) MPs Present (Percentage) | Group 2 (n = 36) MPs Absent (Percentage) | p-Value |
|---|---|---|---|
| Hygiene behaviors | |||
| Usually drink sterilized milk or beverages | 47.83 | 52.78 | 0.711 |
| Pay attention to hygiene and wash your hands regularly | 52.17 | 88.89 | 0.002 * |
| Wash hands before feeding regularly | 78.26 | 91.67 | 0.142 |
| Wash hands after feeding regularly | 30.43 | 83.33 | <0.001 * |
| Clean breasts with soap regularly | 56.52 | 69.44 | 0.312 |
| Always dry your breast thoroughly after washing | 21.74 | 41.67 | 0.141 |
| Use underwear washing products specifically for mothers and baby | 17.39 | 72.22 | <0.001 * |
| Complications | |||
| Clogged milk ducts | 21.74 | 8.33 | 0.926 |
| Mastitis | 21.74 | 0.00 | 0.003 * |
| Abscess | 8.70 | 0.00 | 0.072 |
| Breast engorgement | 47.83 | 11.11 | 0.002 * |
| Low breast milk supply | 21.74 | 0.00 | 0.003 * |
| Maternal Behavior | Group 1 (n = 23) MPs Present (Percentage) | Group 2 (n = 36) MPs Absent (Percentage) | p-Value |
|---|---|---|---|
| Smoking during pregnancy or breastfeeding | 0.00 | 0.00 | - |
| Work in a profession or place related to regular exposure to chemicals | 52.17 | 33.33 | 0.151 |
| Regular contact with chemicals in the residence | 69.57 | 44.44 | 0.059 |
| Stay in bad air ventilation during work with chemicals | 26.09 | 80.56 | <0.001 * |
| How to contact the chemicals | |||
| Inhalation | 65.22 | 30.56 | 0.009 |
| Licking or swallowing | 21.74 | 5.56 | 0.061 |
| Skin contact | 91.30 | 63.89 | 0.003 * |
| Exposure to car soot, combustion, and air pollution | 82.61 | 41.67 | 0.012 |
| Use cosmetics or hair spray | 60.87 | 30.56 | 0.022 |
| Get nails manicured at a salon or use manicure products | 26.09 | 11.11 | 0.135 |
| Use a breast pump | 39.13 | 33.33 | 0.650 |
| Frequently use plastic packaging for food | 91.30 | 69.44 | 0.048 * |
| Usually have seafood or shellfish | 73.91 | 27.78 | 0.001 * |
Disclaimer/Publisher’s Note: The statements, opinions and data contained in all publications are solely those of the individual author(s) and contributor(s) and not of MDPI and/or the editor(s). MDPI and/or the editor(s) disclaim responsibility for any injury to people or property resulting from any ideas, methods, instructions or products referred to in the content. |
© 2024 by the authors. Licensee MDPI, Basel, Switzerland. This article is an open access article distributed under the terms and conditions of the Creative Commons Attribution (CC BY) license (https://creativecommons.org/licenses/by/4.0/).
Share and Cite
Saraluck, A.; Techarang, T.; Bunyapipat, P.; Boonchuwong, K.; Pullaput, Y.; Mordmuang, A. Detection of Microplastics in Human Breast Milk and Its Association with Changes in Human Milk Bacterial Microbiota. J. Clin. Med. 2024, 13, 4029. https://doi.org/10.3390/jcm13144029
Saraluck A, Techarang T, Bunyapipat P, Boonchuwong K, Pullaput Y, Mordmuang A. Detection of Microplastics in Human Breast Milk and Its Association with Changes in Human Milk Bacterial Microbiota. Journal of Clinical Medicine. 2024; 13(14):4029. https://doi.org/10.3390/jcm13144029
Chicago/Turabian StyleSaraluck, Apisith, Tachpon Techarang, Phattarika Bunyapipat, Khununya Boonchuwong, Yupparase Pullaput, and Auemphon Mordmuang. 2024. "Detection of Microplastics in Human Breast Milk and Its Association with Changes in Human Milk Bacterial Microbiota" Journal of Clinical Medicine 13, no. 14: 4029. https://doi.org/10.3390/jcm13144029
APA StyleSaraluck, A., Techarang, T., Bunyapipat, P., Boonchuwong, K., Pullaput, Y., & Mordmuang, A. (2024). Detection of Microplastics in Human Breast Milk and Its Association with Changes in Human Milk Bacterial Microbiota. Journal of Clinical Medicine, 13(14), 4029. https://doi.org/10.3390/jcm13144029

