Does Atrial Fibrillation at Diagnosis Change Prognosis in Patients with Aortic Stenosis?
Abstract
1. Introduction
2. Materials and Methods
2.1. Study Population
2.2. Data Collection and Study Definitions
2.3. Study Outcomes
2.4. Statistical Analysis
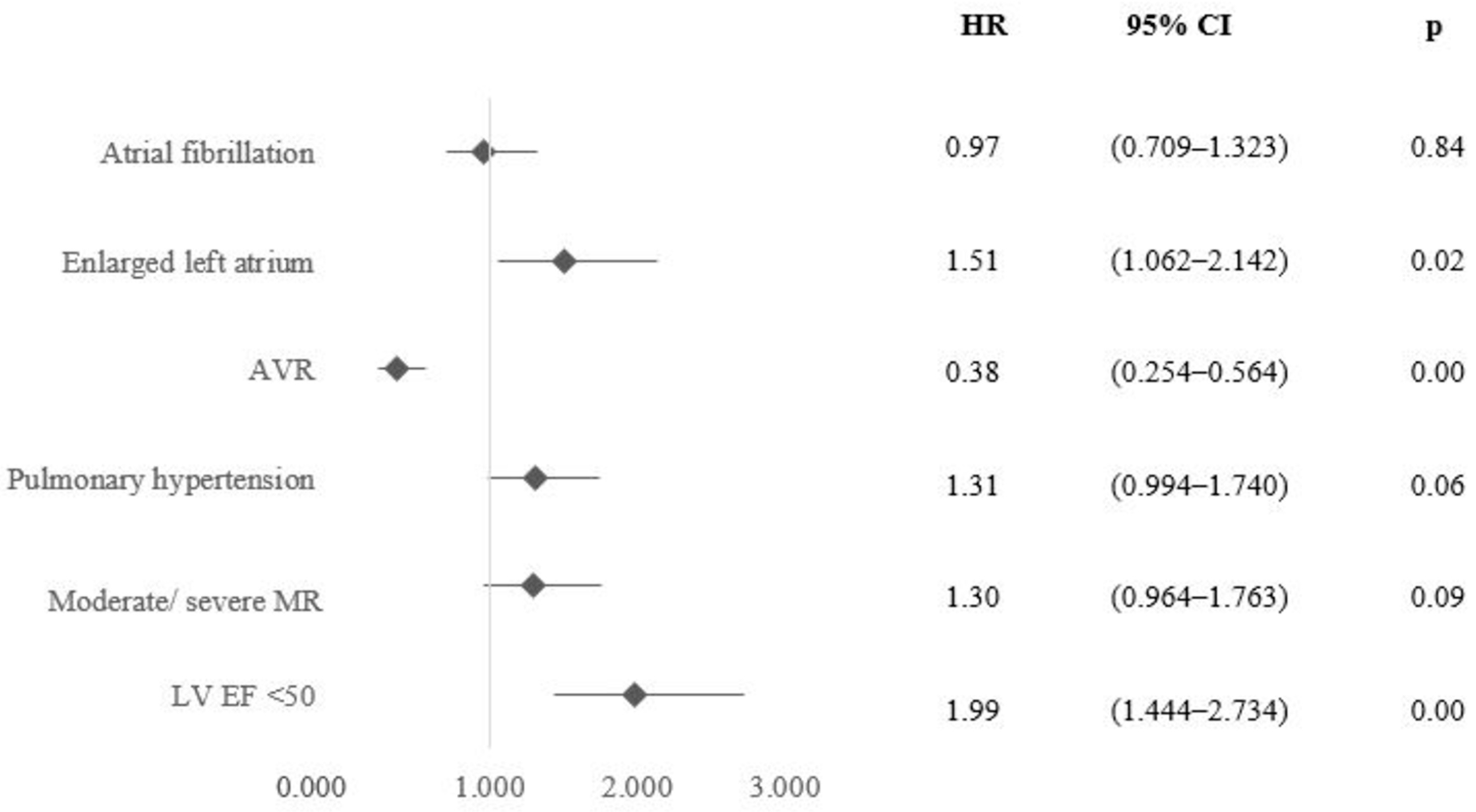
3. Results
3.1. Baseline Characteristics
3.2. Follow-Up
4. Discussion
5. Limitations
6. Conclusions
Author Contributions
Funding
Institutional Review Board Statement
Informed Consent Statement
Data Availability Statement
Acknowledgments
Conflicts of Interest
References
- Nkomo, V.T.; Gardin, J.M.; Skelton, T.N.; Gottdiener, J.S.; Scott, C.G.; Enriquez-Sarano, M. Burden of valvular heart diseases: A population-based study. Lancet 2006, 368, 1005–1011. [Google Scholar] [CrossRef] [PubMed]
- Wyndham, C.R. Atrial fibrillation: The most common arrhythmia. Tex. Heart Inst. J. 2000, 27, 257–267. [Google Scholar] [PubMed]
- Zebhi, B.; Lazkani, M.; Bark, D., Jr. Calcific Aortic Stenosis-A Review on Acquired Mechanisms of the Disease and Treatments. Front. Cardiovasc. Med. 2021, 8, 734175. [Google Scholar] [CrossRef] [PubMed]
- Otto, C.M.; Prendergast, B. Aortic-Valve Stenosis—From Patients at Risk to Severe Valve Obstruction. N. Engl. J. Med. 2014, 371, 744–756. [Google Scholar] [CrossRef]
- Vahanian, A.; Beyersdorf, F.; Praz, F.; Milojevic, M.; Baldus, S.; Bauersachs, J.; Capodanno, D.; Conradi, L.; De Bonis, M.; De Paulis, R.; et al. 2021 ESC/EACTS Guidelines for the management of valvular heart disease. Eur. Heart J. 2022, 43, 561–632. [Google Scholar] [CrossRef]
- Strange, G.; Stewart, S.; Celermajer, D.; Prior, D.; Scalia, G.M.; Marwick, T.; Ilton, M.; Joseph, M.; Codde, J.; Playford, D. Poor Long-Term Survival in Patients With Moderate Aortic Stenosis. J. Am. Coll. Cardiol. 2019, 74, 1851–1863. [Google Scholar] [CrossRef] [PubMed]
- Palta, S.; Pai, A.M.; Gill, K.S.; Pai, R.G. New Insights Into the Progression of Aortic Stenosis. Circulation 2000, 101, 2497–2502. [Google Scholar] [CrossRef] [PubMed]
- Carabello, B.A. How Does the Heart Respond to Aortic Stenosis. Circ. Cardiovasc. Imaging 2013, 6, 858–860. [Google Scholar] [CrossRef] [PubMed]
- Benjamin, E.J.; Wolf, P.A.; D’Agostino, R.B.; Silbershatz, H.; Kannel, W.B.; Levy, D. Impact of atrial fibrillation on the risk of death: The Framingham Heart Study. Circulation 1998, 98, 946–952. [Google Scholar] [CrossRef]
- Baumgartner, H.; Hung, J.; Bermejo, J.; Chambers, J.B.; Edvardsen, T.; Goldstein, S.; Lancellotti, P.; LeFevre, M.; Miller, F., Jr.; Otto, C.M. Recommendations on the echocardiographic assessment of aortic valve stenosis: A focused update from the European Association of Cardiovascular Imaging and the American Society of Echocardiography. Eur. Heart J.—Cardiovasc. Imaging 2016, 18, 254–275. [Google Scholar] [CrossRef]
- Lang, R.M.; Badano, L.P.; Mor-Avi, V.; Afilalo, J.; Armstrong, A.; Ernande, L.; Flachskampf, F.A.; Foster, E.; Goldstein, S.A.; Kuznetsova, T.; et al. Recommendations for Cardiac Chamber Quantification by Echocardiography in Adults: An Update from the American Society of Echocardiography and the European Association of Cardiovascular Imaging. Eur. Heart J.—Cardiovasc. Imaging 2015, 16, 233–271. [Google Scholar] [CrossRef] [PubMed]
- Hindricks, G.; Potpara, T.; Dagres, N.; Arbelo, E.; Bax, J.J.; Blomström-Lundqvist, C.; Boriani, G.; Castella, M.; Dan, G.-A.; Dilaveris, P.E.; et al. 2020 ESC Guidelines for the diagnosis and management of atrial fibrillation developed in collaboration with the European Association for Cardio-Thoracic Surgery (EACTS): The Task Force for the diagnosis and management of atrial fibrillation of the European Society of Cardiology (ESC) Developed with the special contribution of the European Heart Rhythm Association (EHRA) of the ESC. Eur. Heart J. 2020, 42, 373–498. [Google Scholar] [CrossRef]
- Généreux, P.; Sharma Rahul, P.; Cubeddu Robert, J.; Aaron, L.; Abdelfattah Omar, M.; Koulogiannis Konstantinos, P.; Marcoff, L.; Naguib, M.; Kapadia Samir, R.; Makkar Rajendra, R.; et al. The Mortality Burden of Untreated Aortic Stenosis. J. Am. Coll. Cardiol. 2023, 82, 2101–2109. [Google Scholar] [CrossRef] [PubMed]
- Linhartová, K.; Filipovský, J.; Cerbák, R.; Sterbáková, G.; Hanisová, I.; Beránek, V. Severe aortic stenosis and its association with hypertension: Analysis of clinical and echocardiographic parameters. Blood Press. 2007, 16, 122–128. [Google Scholar] [CrossRef] [PubMed]
- Wang, A.; Green, J.B.; Halperin, J.L.; Piccini, J.P. Atrial Fibrillation and Diabetes Mellitus: JACC Review Topic of the Week. J. Am. Coll. Cardiol. 2019, 74, 1107–1115. [Google Scholar] [CrossRef] [PubMed]
- Ugowe, F.E.; Jackson, L.R.; Thomas, K.L. Atrial Fibrillation and Diabetes Mellitus. Circ. Arrhythmia Electrophysiol. 2019, 12, e007351. [Google Scholar] [CrossRef] [PubMed]
- Stortecky, S.; Buellesfeld, L.; Wenaweser, P.; Heg, D.; Pilgrim, T.; Khattab, A.A.; Gloekler, S.; Huber, C.; Nietlispach, F.; Meier, B.; et al. Atrial Fibrillation and Aortic Stenosis. Circ. Cardiovasc. Interv. 2013, 6, 77–84. [Google Scholar] [CrossRef] [PubMed]
- Kubala, M.; Bohbot, Y.; Rusinaru, D.; Maréchaux, S.; Diouf, M.; Tribouilloy, C. Atrial fibrillation in severe aortic stenosis: Prognostic value and results of aortic valve replacement. J. Thorac. Cardiovasc. Surg. 2023, 166, 771–779. [Google Scholar] [CrossRef] [PubMed]
- Murphy, K.R.; Khan, O.A.; Rassa, A.C.; Elman, M.R.; Chadderdon, S.M.; Song, H.K.; Golwala, H.; Cigarroa, J.E.; Zahr, F.E. Clinical and Echocardiographic Predictors of Outcomes in Patients With Moderate (Mean Transvalvular Gradient 20 to 40 mm Hg) Aortic Stenosis. Am. J. Cardiol. 2019, 124, 1924–1931. [Google Scholar] [CrossRef]
- Matsuda, S.; Kato, T.; Morimoto, T.; Taniguchi, T.; Minamino-Muta, E.; Matsuda, M.; Shiomi, H.; Ando, K.; Shirai, S.; Kanamori, N.; et al. Atrial fibrillation in patients with severe aortic stenosis. J. Cardiol. 2023, 81, 144–153. [Google Scholar] [CrossRef]
- Tarantini, G.; Mojoli, M.; Windecker, S.; Wendler, O.; Lefèvre, T.; Saia, F.; Walther, T.; Rubino, P.; Bartorelli, A.L.; Napodano, M.; et al. Prevalence and Impact of Atrial Fibrillation in Patients With Severe Aortic Stenosis Undergoing Transcatheter Aortic Valve Replacement: An Analysis From the SOURCE XT Prospective Multicenter Registry. JACC Cardiovasc. Interv. 2016, 9, 937–946. [Google Scholar] [CrossRef] [PubMed]
- Delesalle, G.; Bohbot, Y.; Rusinaru, D.; Delpierre, Q.; Maréchaux, S.; Tribouilloy, C. Characteristics and Prognosis of Patients With Moderate Aortic Stenosis and Preserved Left Ventricular Ejection Fraction. J. Am. Heart Assoc. 2019, 8, e011036. [Google Scholar] [CrossRef] [PubMed]
- Zhang, H.; El-Am, E.A.; Thaden, J.J.; Pislaru, S.V.; Scott, C.G.; Krittanawong, C.; Chahal, A.A.; Breen, T.J.; Eleid, M.F.; Melduni, R.M.; et al. Atrial fibrillation is not an independent predictor of outcome in patients with aortic stenosis. Heart 2020, 106, 280–286. [Google Scholar] [CrossRef]
- Laenens, D.; Stassen, J.; Galloo, X.; Ewe, S.H.; Singh, G.K.; Ammanullah, M.R.; Hirasawa, K.; Sia, C.-H.; Butcher, S.C.; Chew, N.W.S.; et al. The impact of atrial fibrillation on prognosis in aortic stenosis. Eur. Heart J.—Qual. Care Clin. Outcomes 2023, 9, 778–784. [Google Scholar] [CrossRef] [PubMed]



| Atrial Fibrillation | Sinus Rhythm | p Value | |
|---|---|---|---|
| Male (%) | 166 (59.28) | 442 (55.95) | 0.369 |
| Age | 71.52 ± 10.47 | 68.97 ± 10.38 | <0.001 |
| Myocardial infarction (%) | 26 (9.3) | 63 (7.9) | 0.725 |
| Hipertension (%) | 155 (55.3) | 392 (46.6) | 0,1 |
| Diabetes melitus (%) | 69 (24.6) | 143 (18.1) | 0.02 |
| Hyperlipidemia (%) | 43 (15.3) | 154 (19.5) | 0.148 |
| Pulmonary comorbidities (%) | 21 (7.5) | 48 (6) | 0.489 |
| Nephrological comorbidities (%) | 26 (9.3) | 45 (5.7) | 0.053 |
| Stroke (%) | 16 (5.7) | 34 (4.3) | 0.327 |
| AVR | 76 (7.1) | 194 (18) | 0.337 |
| Atrial Fibrillation | Sinus Rhythm | p Value | |
|---|---|---|---|
| LAD (cm) | 4.77 ± 0.86 | 4.23 ± 0.59 | <0.001 |
| LVEF (%) | 56.15 ± 13.23 | 61.20 ± 11.13 | <0.001 |
| PV (m/s) | 3.9 (1.8–58) | 3.97 ± 0.7 | 0.156 |
| MPG (mmHg) | 36 (7–93) | 37 (2.3–111) | 0.982 |
| AVA (cm2) | 0.79 (0.25–1.8) | 0.8 (0.12–2.1) | 0.087 |
| MR grade | 2 (1–3.5) | 1 (1–3.5) | <0.001 |
| RVSP (mmHg) | 43.19 ± 12.62 | 39.33 ± 11.5 | <0.001 |
| Atrial Fibrillation | Sinus Rhythm | p-Value | ||
|---|---|---|---|---|
| Type of stenosis | Moderate AS | 220 (26.53) | 609 (73.46) | 0.67 |
| Severe AS | 60 (24.89) | 181 (75.1) | ||
| Treatment strategy | Conservative | 194 (24.6) | 596 (75.4) | 0.218 |
| AVR | 76 (27.1) | 60 (72.9) |
Disclaimer/Publisher’s Note: The statements, opinions and data contained in all publications are solely those of the individual author(s) and contributor(s) and not of MDPI and/or the editor(s). MDPI and/or the editor(s) disclaim responsibility for any injury to people or property resulting from any ideas, methods, instructions or products referred to in the content. |
© 2024 by the authors. Licensee MDPI, Basel, Switzerland. This article is an open access article distributed under the terms and conditions of the Creative Commons Attribution (CC BY) license (https://creativecommons.org/licenses/by/4.0/).
Share and Cite
Petrovic, O.; Vidanovic, S.; Jovanovic, I.; Paunovic, I.; Rakocevic, I.; Milasinovic, D.; Tesic, M.; Boskovic, N.; Dukic, D.; Ostojic, M.; et al. Does Atrial Fibrillation at Diagnosis Change Prognosis in Patients with Aortic Stenosis? J. Clin. Med. 2024, 13, 3917. https://doi.org/10.3390/jcm13133917
Petrovic O, Vidanovic S, Jovanovic I, Paunovic I, Rakocevic I, Milasinovic D, Tesic M, Boskovic N, Dukic D, Ostojic M, et al. Does Atrial Fibrillation at Diagnosis Change Prognosis in Patients with Aortic Stenosis? Journal of Clinical Medicine. 2024; 13(13):3917. https://doi.org/10.3390/jcm13133917
Chicago/Turabian StylePetrovic, Olga, Stasa Vidanovic, Ivana Jovanovic, Ivana Paunovic, Ivana Rakocevic, Dejan Milasinovic, Milorad Tesic, Nikola Boskovic, Djordje Dukic, Marina Ostojic, and et al. 2024. "Does Atrial Fibrillation at Diagnosis Change Prognosis in Patients with Aortic Stenosis?" Journal of Clinical Medicine 13, no. 13: 3917. https://doi.org/10.3390/jcm13133917
APA StylePetrovic, O., Vidanovic, S., Jovanovic, I., Paunovic, I., Rakocevic, I., Milasinovic, D., Tesic, M., Boskovic, N., Dukic, D., Ostojic, M., Vratonjic, J., Mladenovic, A., & Trifunovic-Zamaklar, D. (2024). Does Atrial Fibrillation at Diagnosis Change Prognosis in Patients with Aortic Stenosis? Journal of Clinical Medicine, 13(13), 3917. https://doi.org/10.3390/jcm13133917

