Ultramicronized Palmitoylethanolamide in the Management of Neuropathic Pain Related to Chronic Inflammatory Demyelinating Polyneuropathy: A Proof-of-Concept Study
Abstract
1. Introduction
2. Materials and Methods
2.1. Study Participants
2.2. Study Design
2.3. Outcomes
- (i)
- The presence of NP, evaluated at T0 by the DN4 questionnaire consisting of 10 items grouped into four questions of which seven concern pain description (burning, painful cold, electric shocks) and its associated sensations (tingling, pins and needles, numbness, itching), and the other three relate to a neurological examination in the painful area (touch hypoesthesia or pinprick hypoesthesia and tactile dynamic allodynia, clinically examined using a needle, von Frey filaments, and a standardized brush, respectively). The score of each item is 1 if yes, 0 if no. The resulting final score ranges from 0 to 10, with a cut-off value for diagnosis of neuropathic pain ≥ 4 [40];
- (ii)
- The pain intensity, assessed at T0, T30, T60, T90, T120, T150, and T180 by the 11-point NRS, scored from 0 to 10, where 0 indicates ‘no pain’ and 10 corresponds to ‘the worst pain ever possible’ [41];
- (iii)
- The symptoms and intensity of NP, evaluated at each time point by the Neuropathic Pain Symptoms Inventory (NPSI), consisting of 12 items: ten descriptors of the different symptoms and two elements to evaluate the duration of spontaneous ongoing and paroxysmal pain. For each item, a score of 0 indicates the best situation, while a score of 10 corresponds to the worst condition. NPSI subscores were also evaluated separately to assess burning superficial spontaneous pain (BSSP), pressing deep spontaneous pain (PDSP), paroxysmal pain (PP), evoked pain (EP), and paresthesia/dysesthesia (PD), corresponding to the average scores of the items belonging to each of the five pain factors [42];
- (iv)
- The quality of life, evaluated at each time point by the five-dimension health questionnaire for quality of life (EQ5D) consisting of: (a) five items assessing health aspects such as mobility, self-care, activities, pain/discomfort, and anxiety/depression, with a score of 1 (‘no problems’), 2 (‘some problems’), or 3 (‘extreme problems’), resulting in a health profile; (b) the visual analogue scale (VAS), which allows the patient to describe his general state of health with a score ranging from 0, indicating the ‘worst imaginable health state’, to 100, which represents ‘the best imaginable health state’ [43].
2.4. Safety Assessments
2.5. Statistical Analysis
3. Results
3.1. Baseline Characteristics of Patients
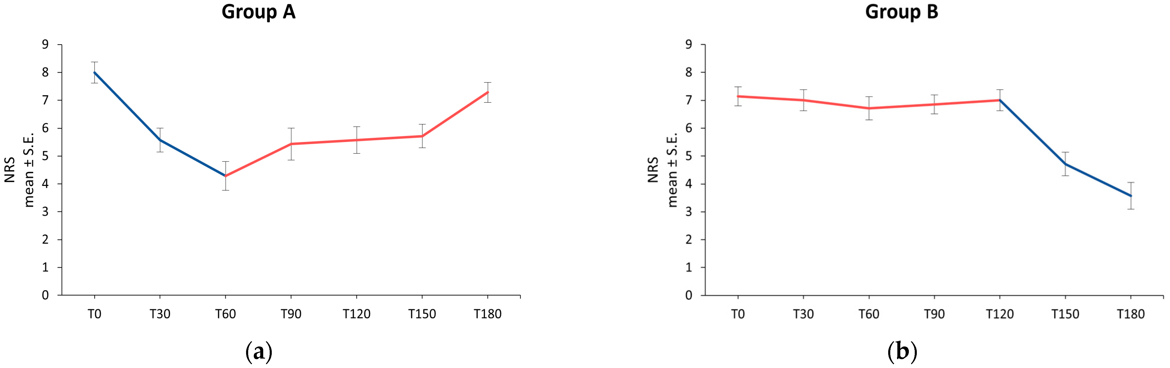
3.2. Pain Intensity (NRS)
3.3. Neuropathic Pain Symptoms and Intensity (NPSI)
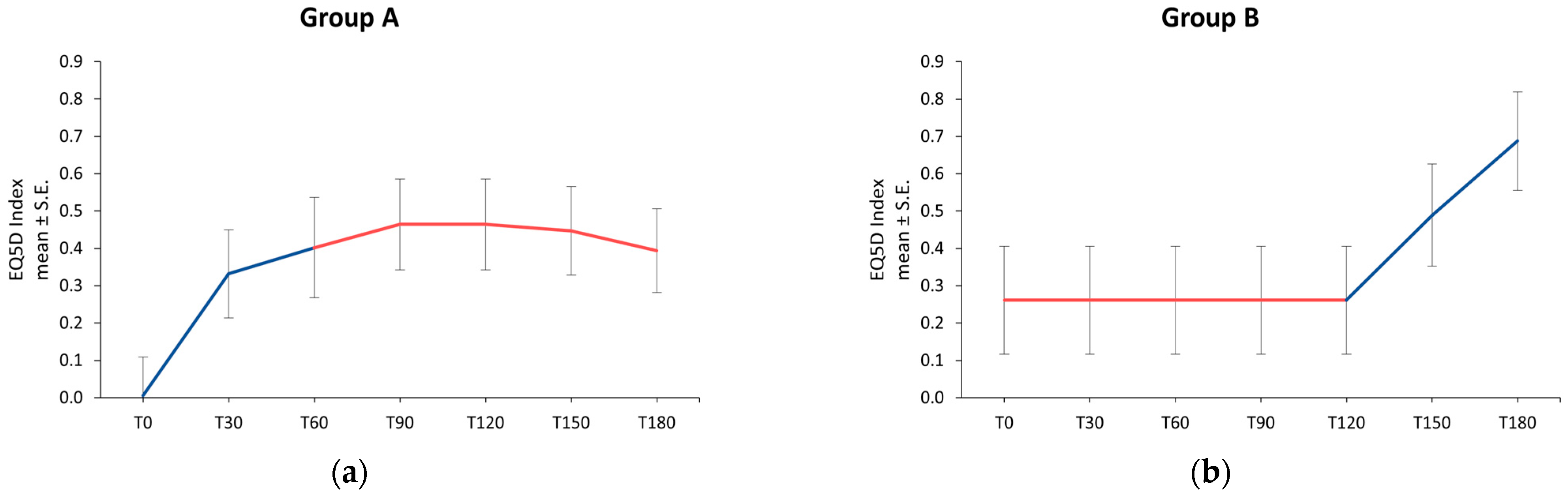
3.4. Quality of Life (EQ5D)
3.5. Treatment Safety and Tolerability
3.6. Results Summary
4. Discussion
5. Conclusions
Author Contributions
Funding
Institutional Review Board Statement
Informed Consent Statement
Data Availability Statement
Conflicts of Interest
References
- Athanasopoulos, D.; Motte, J.; Grüter, T.; Köse, N.; Yoon, M.S.; Otto, S.; Schneider-Gold, C.; Gold, R.; Fisse, A.L.; Pitarokoili, K. Evaluation of the EFNS/PNS Diagnostic Criteria in a Cohort of CIDP Patients. Ann. Clin. Transl. Neurol. 2021, 8, 1110–1121. [Google Scholar] [CrossRef] [PubMed]
- Gorson, K.C. An Update on the Management of Chronic Inflammatory Demyelinating Polyneuropathy. Ther. Adv. Neurol. Disord. 2012, 5, 359–373. [Google Scholar] [CrossRef]
- Sanvito, L.; Makowska, A.; Mahdi-Rogers, M.; Hadden, R.D.; Peakman, M.; Gregson, N.; Nemni, R.; Hughes, R.A.C. Humoral and cellular immune responses to myelin protein peptides in chronic inflammatory demyelinating polyradiculoneuropathy. J. Neurol. Neurosurg. Psychiatry 2009, 80, 333–338. [Google Scholar] [CrossRef] [PubMed]
- Koike Masahisa Katsuno, H. Pathophysiology of Chronic Inflammatory Demyelinating Polyneuropathy: Insights into Classification and Therapeutic Strategy. Neurol. Ther. 2020, 9, 213–227. [Google Scholar] [CrossRef] [PubMed]
- Köller, H.; Kieseier, B.C.; Jander, S.; Hartung, H.P. Chronic inflammatory demyelinating polyneuropathy. N. Engl. J. Med. 2005, 352, 1343–1356. [Google Scholar] [CrossRef] [PubMed]
- Ryan, M.; Ryan, S. Chronic Inflammatory Demyelinating: Considerations for Diagnosis, Management, and Population Health. Am. J. Manag. Care 2018, 24, S371–S379. [Google Scholar] [PubMed]
- Querol, L.; Crabtree, M.; Herepath, M.; Priedane, E.; Viejo Viejo, I.; Agush, S.; Sommerer, P. Systematic Literature Review of Burden of Illness in Chronic Inflammatory Demyelinating Polyneuropathy (CIDP). J. Neurol. 2021, 268, 3706–3716. [Google Scholar] [CrossRef] [PubMed]
- Lehmann, H.C.; Burke, D.; Kuwabara, S. Chronic Inflammatory Demyelinating Polyneuropathy: Update on Diagnosis, Immunopathogenesis and Treatment. J. Neurol. Neurosurg. Psychiatry 2019, 90, 981–987. [Google Scholar] [CrossRef]
- Anderson-Smits, C.; Ritchey, M.E.; Huang, Z.; Chavan, S.; Souayah, N.; Ay, H.; Layton, J.B. Intravenous Immunoglobulin Treatment Patterns and Outcomes in Patients with Chronic Inflammatory Demyelinating Polyradiculoneuropathy: A US Claims Database Analysis. Neurol. Ther. 2023, 12, 1119–1132. [Google Scholar] [CrossRef]
- Van den Bergh, P.Y.K.; van Doorn, P.A.; Hadden, R.D.M.; Avau, B.; Vankrunkelsven, P.; Allen, J.A.; Attarian, S.; Blomkwist-Markens, P.H.; Cornblath, D.R.; Eftimov, F.; et al. European Academy of Neurology/Peripheral Nerve Society guideline on diagnosis and treatment of chronic inflammatory demyelinating polyradiculoneuropathy: Report of a joint Task Force-Second revision. Eur. J. Neurol. 2021, 28, 3556–3583. [Google Scholar] [CrossRef]
- Cocito, D.; Peci, E.; Torrieri, M.C.; Clerico, M. Subcutaneous Immunoglobulin in Chronic Inflammatory Demyelinating Polyneuropathy: A Historical Perspective. J. Clin. Med. 2023, 12, 6961. [Google Scholar] [CrossRef] [PubMed]
- Goyal, N.A.; Karam, C.; Sheikh, K.A.; Dimachkie, M.M. Subcutaneous immunoglobulin treatment for chronic inflammatory demyelinating polyneuropathy. Muscle Nerve 2021, 64, 243–254. [Google Scholar] [CrossRef] [PubMed]
- Michaelides, A.; Hadden, R.D.M.; Sarrigiannis, P.G.; Hadjivassiliou, M.; Zis, P. Pain in Chronic Inflammatory Demyelinating Polyradiculoneuropathy: A Systematic Review and Meta-Analysis. Pain Ther. 2019, 8, 177–185. [Google Scholar] [CrossRef]
- Fehmi, J.; Bellanti, R.; Misbah, S.A.; Bhattacharjee, A.; Rinaldi, S. Treatment of CIDP. Pract. Neurol. 2023, 23, 46–53. [Google Scholar] [CrossRef] [PubMed]
- Esposito, E.; Cuzzocrea, S. Palmitoylethanolamide Is a New Possible Pharmacological Treatment for the Inflammation Associated with Trauma. Med. Chem. 2013, 13, 237–255. [Google Scholar]
- D’amico, R.; Impellizzeri, D.; Cuzzocrea, S.; Di Paola, R. Aliamides Update: Palmitoylethanolamide and Its Formulations on Management of Peripheral Neuropathic Pain. Int. J. Mol. Sci. 2020, 21, 5330. [Google Scholar] [CrossRef] [PubMed]
- Esposito, E.; Cuzzocrea, S. Palmitoylethanolamide in Homeostatic and Traumatic Central Nervous System Injuries. CNS Neurol. Disord. 2013, 12, 55–61. [Google Scholar] [CrossRef]
- Petrosino, S.; Di Marzo, V. The Pharmacology of Palmitoylethanolamide and First Data on the Therapeutic Efficacy of Some of Its New Formulations. Br. J. Pharmacol. 2017, 174, 1349–1365. [Google Scholar] [CrossRef]
- Bettoni, I.; Comelli, F.; Colombo, A.; Bonfanti, P.; Costa, B. Non-Neuronal Cell Modulation Relieves Neuropathic Pain: Efficacy of the Endogenous Lipid Palmitoylethanolamide. CNS Neurol. Disord. Drug Targets 2013, 12, 34–44. [Google Scholar] [CrossRef]
- Petrosino, S.; Iuvone, T.; Di Marzo, V. N-palmitoyl-ethanolamine: Biochemistry and new therapeutic opportunities. Biochimie 2010, 92, 724–727. [Google Scholar] [CrossRef]
- Skaper, S.D.; Facci, L.; Fusco, M.; Della Valle, M.F.; Zusso, M.; Costa, B.; Giusti, P. Palmitoylethanolamide, a Naturally Occurring Disease-Modifying Agent in Neuropathic Pain. Inflammopharmacology 2014, 22, 79–94. [Google Scholar] [CrossRef]
- LoVerme, J.; La Rana, G.; Russo, R.; Calignano, A.; Piomelli, D. The search for the palmitoylethanolamide receptor. Life Sci. 2005, 77, 1685–1698. [Google Scholar] [CrossRef] [PubMed]
- Lo Verme, J.; Fu, J.; Astarita, G.; La Rana, G.; Russo, R.; Calignano, A.; Piomelli, D. The nuclear receptor peroxisome proliferator-activated receptor-alpha mediates the anti-inflammatory actions of palmitoylethanolamide. Mol. Pharmacol. 2005, 67, 15–19. [Google Scholar] [CrossRef] [PubMed]
- Pertwee, R.G. GPR55: A new member of the cannabinoid receptor clan? Br. J. Pharmacol. 2007, 152, 984–986. [Google Scholar] [CrossRef] [PubMed]
- Costa, B.; Comelli, F.; Bettoni, I.; Colleoni, M.; Giagnoni, G. The endogenous fatty acid amide, palmitoylethanolamide, has anti-allodynic and anti-hyperalgesic effects in a murine model of neuropathic pain: Involvement of CB(1), TRPV1 and PPARgamma receptors and neurotrophic factors. Pain 2008, 139, 541–550. [Google Scholar] [CrossRef]
- Petrosino, S.; Schiano Moriello, A.; Verde, R.; Allarà, M.; Imperatore, R.; Ligresti, A.; Mahmoud, A.M.; Peritore, A.F.; Iannotti, F.A.; Di Marzo, V. Palmitoylethanolamide counteracts substance P-induced mast cell activation in vitro by stimulating diacylglycerol lipase activity. J. Neuroinflamm. 2019, 16, 274. [Google Scholar] [CrossRef] [PubMed]
- Impellizzeri, D.; Bruschetta, G.; Cordaro, M.; Crupi, R.; Siracusa, R.; Esposito, E.; Cuzzocrea, S. Micronized/Ultramicronized Palmitoylethanolamide Displays Superior Oral Efficacy Compared to Nonmicronized Palmitoylethanolamide in a Rat Model of Inflammatory Pain. J. Neuroinflamm. 2014, 11, 136. [Google Scholar] [CrossRef] [PubMed]
- Petrosino, S.; Cordaro, M.; Verde, R.; Moriello, A.S.; Marcolongo, G.; Schievano, C.; Siracusa, R.; Piscitelli, F.; Peritore, A.F.; Crupi, R.; et al. Oral Ultramicronized Palmitoylethanolamide: Plasma and Tissue Levels and Spinal Anti-Hyperalgesic Effect. Front. Pharmacol. 2018, 9, 249. [Google Scholar] [CrossRef] [PubMed]
- Gatti, A.; Lazzari, M.; Gianfelice, V.; Di Paolo, A.; Sabato, E.; Sabato, A.F. Palmitoylethanolamide in the Treatment of Chronic Pain Caused by Different Etiopathogenesis. Pain Med. 2012, 13, 1121–1130. [Google Scholar] [CrossRef]
- Cruccu, G.; Di Stefano, G.; Marchettini, P.; Truini, A. Micronized Palmitoylethanolamide: A Post Hoc Analysis of a Controlled in Patients with Low Back Pain—Sciatica. CNS Neurol. Disord. Drug Targets 2019, 18, 491–495. [Google Scholar] [CrossRef]
- Truini, A.; Biasiotta, A.; Di Stefano, G.; La Cesa, S.; Leone, C.; Cartoni, C.; Federico, V.; Petrucci, M.; Cruccu, G. Palmitoylethanolamide Restores Myelinated-Fibre Function in Patients with Chemotherapy-Induced Painful Neuropathy. CNS Neurol. Disord. Drug Targets 2011, 10, 916–920. [Google Scholar] [CrossRef]
- Schifilliti, C.; Cucinotta, L.; Fedele, V.; Ingegnosi, C.; Luca, S.; Leotta, C. Micronized Palmitoylethanolamide Reduces the Symptoms of Neuropathic Pain in Diabetic Patients. Pain Res. Treat. 2014, 2014, 849623. [Google Scholar] [CrossRef] [PubMed]
- Cocito, D.; Peci, E.; Ciaramitaro, P.; Merola, A.; Lopiano, L. Short-Term Efficacy of Ultramicronized Palmitoylethanolamide in Peripheral Neuropathic Pain. Pain Res. Treat. 2014, 2014, 854560. [Google Scholar] [CrossRef] [PubMed]
- Paladini, A.; Fusco, M.; Cenacchi, T.; Schievano, C.; Piroli, A.; Varrassi, G. Palmitoylethanolamide, a Special Food for Medical Purposes, in the Treatment of Chronic Pain: A Pooled Data Meta-Analysis. Pain Physician 2016, 19, 11–24. [Google Scholar] [PubMed]
- Nobili, S.; Micheli, L.; Lucarini, E.; Toti, A.; Ghelardini, C.; Mannelli, L.D.C. Ultramicronized N-palmitoylethanolamine associated with analgesics: Effects against persistent pain. Pharmacol. Ther. 2024, 108649. [Google Scholar] [CrossRef] [PubMed]
- Zucker, D.R.; Schmid, C.H.; Mcintosh, M.W.; D’agostino, R.B.; Selker, H.P.; Lad, J. Combining Single Patient (N-of-1) Trials to Estimate Population Treatment Effects and to Evaluate Individual Patient Responses to Treatment. J. Clin. Epidemiol. 1997, 50, 401–410. [Google Scholar] [CrossRef] [PubMed]
- Eric Larson, D.B. N-of-1 Clinical Trials. A Technique for Improving Medical Therapeutics. West. J. Med. 1990, 152, 52–56. [Google Scholar]
- Lillie, E.O.; Patay, B.; Diamant, J.; Issell, B.; Topol, E.J.; Schork, N.J. The N-of-1 Clinical Trial: The Ultimate Strategy for Individualizing Medicine? Pers. Med. 2011, 8, 161–173. [Google Scholar] [CrossRef] [PubMed]
- Evangelista, M.; Cilli, V.; De Vitis, R.; Militerno, A.; Fanfani, F. Ultra-micronized Palmitoylethanolamide Effects on Sleep-wake Rhythm and Neuropathic Pain Phenotypes in Patients with Carpal Tunnel Syndrome: An Open-label, Randomized Controlled Study. CNS Neurol. Disord. Drug Targets 2018, 17, 291–298. [Google Scholar] [CrossRef]
- Spallone, V.; Morganti, R.; D’Amato, C.; Greco, C.; Cacciotti, L.; Marfia, G.A. Validation of DN4 as a Screening Tool for Neuropathic Pain in Painful Diabetic Polyneuropathy. Diabet. Med. 2012, 29, 578–585. [Google Scholar] [CrossRef]
- Haefeli, M.; Elfering, A. Pain Assessment. Eur. Spine J. 2006, 15, 17–24. [Google Scholar] [CrossRef] [PubMed]
- Padua, L.; Briani, C.; Jann, S.; Nobile-Orazio, E.; Pazzaglia, C.; Morini, A.; Mondelli, M.; Ciaramitaro, P.; Cavaletti, G.; Cocito, D.; et al. Validation of the Italian Version of the Neuropathic Pain Symptom Inventory in Peripheral Nervous System Diseases. Neurol. Sci. 2009, 30, 99–106. [Google Scholar] [CrossRef]
- Savoia, E.; Fantini, M.P.; Pandolfi, P.P.; Dallolio, L.; Collina, N. Assessing the Construct Validity of the Italian Version of the EQ-5D: Preliminary Results from a Cross-Sectional Study in North Italy. Health Qual. Life Outcomes 2006, 4, 47. [Google Scholar] [CrossRef]
- Sommer, C.; Geber, C.; Young, P.; Forst, R.; Birklein, F.; Schoser, B. Polyneuropathies Etiology, Diagnosis, and Treatment Options. Dtsch. Arztebl. Int. 2018, 115, 83–90. [Google Scholar]
- Westblad, M.E.; Forsberg, A.; Press, R. Disability and Health Status in Patients with Chronic Inflammatory Demyelinating Polyneuropathy. Disabil. Rehabil. 2009, 31, 720–725. [Google Scholar] [CrossRef] [PubMed]
- Oaklander, A.L.; Lunn, M.P.T.; Hughes, R.A.; van Schaik, I.N.; Frost, C.; Chalk, C.H. Treatments for Chronic Inflammatory Demyelinating Polyradiculoneuropathy (CIDP): An Overview of Systematic Reviews. Cochrane Database Syst. Rev. 2017, 1, CD010369. [Google Scholar] [CrossRef]
- Oh, S.J.; Joy, J.L.; Kuruoglu, R. “Chronic sensory demyelinating neuropathy”: Chronic inflammatory demyelinating polyneuropathy presenting as a pure sensory neuropathy. J. Neurol. Neurosurg. Psychiatry 1992, 55, 677–680. [Google Scholar] [CrossRef]
- Shah, S.; Chandrashekar, H.; Manji, H.; Davagnanam, I. Cranial nerve, spinal root and plexus hypertrophy in chronic inflammatory demyelinating polyneuropathy. Pract. Neurol. 2012, 12, 68–69. [Google Scholar] [CrossRef]
- Skaper, S.D.; Facci, L.; Giusti, P. Mast Cells, Glia and Neuroinflammation: Partners in Crime? Immunology 2013, 141, 314–327. [Google Scholar] [CrossRef] [PubMed]
- Zhao, H.; Alam, A.; Chen, Q.; Eusman, M.A.; Pal, A.; Eguchi, S.; Wu, L.; Ma, D. The Role of Microglia in the Pathobiology of Neuropathic Pain Development: What Do We Know? Br. J. Anaesth. 2017, 118, 504–516. [Google Scholar] [CrossRef] [PubMed]
- Skaper, S.D.; Facci, L. Mast cell-glia axis in neuroinflammation and therapeutic potential of the anandamide congener palmitoylethanolamide. Philos. Trans. R Soc. Lond B Biol. Sci. 2012, 367, 3312–3325. [Google Scholar] [CrossRef] [PubMed]
- Petrosino, S.; Moriello, A.S. Palmitoylethanolamide: A Nutritional Approach to Keep Neuroinflammation within Physiological Boundaries—A Systematic Review. Int. J. Mol. Sci. 2020, 21, 9526. [Google Scholar] [CrossRef] [PubMed]
- Skaper, S.D.; Facci, L.; Giusti, P. Glia and mast cells as targets for palmitoylethanolamide, an anti-inflammatory and neuroprotective lipid mediator. Mol. Neurobiol. 2013, 48, 340–352. [Google Scholar] [CrossRef]
- Clayton, P.; Hill, M.; Bogoda, N.; Subah, S.; Venkatesh, R. Palmitoylethanolamide: A Natural Compound for Health Management. Int. J. Mol. Sci. 2021, 22, 5305. [Google Scholar] [CrossRef]
- De Filippis, D.; Luongo, L.; Cipriano, M.; Palazzo, E.; Cinelli, M.P.; de Novellis, V.; Maione, S.; Iuvone, T. Palmitoylethanolamide Reduces Granuloma-Induced Hyperalgesia by Modulation of Mast Cell Activation in Rats. Mol. Pain 2011, 7, 3. [Google Scholar] [CrossRef]
- Di Cesare Mannelli, L.; D’Agostino, G.; Pacini, A.; Russo, R.; Zanardelli, M.; Ghelardini, C.; Calignano, A. Palmitoylethanolamide Is a Disease-Modifying Agent in Peripheral Neuropathy: Pain Relief and Neuroprotection Share a PPAR-Alpha-Mediated Mechanism. Mediat. Inflamm. 2013, 2013, 328797. [Google Scholar] [CrossRef]
- Bozovic, I.; Kacar, A.; Peric, S.; Nikolic, A.; Bjelica, B.; Cobeljic, M.; Petrovic, M.; Stojanov, A.; Djuric, V.; Stojanovic, M.; et al. Quality of Life Predictors in Patients with Chronic Inflammatory Demyelinating Polyradiculoneuropathy. J. Neurol. 2017, 264, 2481–2486. [Google Scholar] [CrossRef] [PubMed]
- Bozovic, I.; Peric, M.; Arsic Azanjac, A.; Palibrk, A.; Bulatovic, I.; Aleksic, D.; Peric, S.; Basta, I. Prospective analysis of disability and quality of life in patients with chronic inflammatory demyelinating polyradiculoneuropathy. Qual. Life Res. 2021, 30, 2573–2579. [Google Scholar] [CrossRef]
- Girach, A.; Julian, T.H.; Varrassi, G.; Paladini, A.; Vadalouka, A.; Zis, P. Quality of Life in Painful Peripheral Neuropathies: A Systematic Review. Pain Res. Manag. 2019, 2019, 2091960. [Google Scholar] [CrossRef]
- Cocito, D.; Paolasso, I.; Pazzaglia, C.; Tavella, A.; Poglio, F.; Ciaramitaro, P.; Scarmozzino, A.; Cossa, F.M.; Bergamasco, B.; Padua, L. Pain affects the quality of life of neuropathic patients. Neurol. Sci. 2006, 27, 155–160. [Google Scholar] [CrossRef] [PubMed]




| Group A | Group B | All | p | |
|---|---|---|---|---|
| Gender | 1.0000 | |||
| Female, n | 3 | 4 | 7 | |
| Male, n | 4 | 3 | 7 | |
| Age, mean years ± SD | 58.0 ± 16.3 | 54.6 ± 17.8 | 56.3 ± 16.5 | 0.7140 | 
| DN4, mean score ± SD | 6.1 ± 1.21 | 6.6 ± 1.27 | 6.4 ± 1.22 | 0.5314 | 
| NRS, mean score ± SD | 8.0 ± 1.00 | 7.1 ± 0.90 | 7.6 ± 1.02 | 0.1176 | 
| NPSI, mean score ± SD | 57.9 ± 15.35 | 69.1 ± 8.25 | 63.5 ± 13.21 | 0.1123 | 
| NPSI Subscores | Group | T0 | T30 | T60 | T90 | T120 | T150 | T180 | p umPEA + Ig vs. Ig | 
|---|---|---|---|---|---|---|---|---|---|
| BSSP | Group A | 7.3 ± 1.38 | 4.7 ± 1.08 | 4.4 ± 1.04 | 4.6 ± 1.04 | 4.6 ± 1.04 | 4.6± 1.04 | 4.6 ± 1.04 | 0.0010 * | 
| Group B | 8.3 ± 0.42 | 8.0 ± 0.44 | 7.7 ± 0.29 | 7.9 ± 0.34 | 8.1 ± 0.26 | 5.4 ± 0.72 | 4.6 ± 0.78 | ||
| PDSP | Group A | 4.4 ± 1.24 | 3.7 ± 1.07 | 3.6 ± 1.04 | 3.7 ± 1.04 | 3.7 ± 1.04 | 3.7 ± 1.04 | 3.7 ± 1.04 | 0.0138 * | 
| Group B | 6.8 ± 0.82 | 6.6 ± 0.80 | 6.7 ± 0.82 | 6.7 ± 0.81 | 6.8 ± 0.84 | 6.1 ± 0.88 | 5.8 ± 0.87 | ||
| PP | Group A | 6.6 ± 1.01 | 5.1 ± 0.90 | 4.9 ± 0.95 | 5.1 ± 0.94 | 5.1 ± 0.94 | 5.1 ± 0.94 | 5.1 ± 0.94 | 0.0011 * | 
| Group B | 5.8 ± 0.86 | 5.6 ± 0.82 | 5.8 ± 0.86 | 5.7 ± 0.84 | 5.8 ± 0.86 | 4.2 ± 0.66 | 3.9 ± 0.67 | ||
| EP | Group A | 5.1 ± 0.74 | 3.6 ± 0.50 | 3.5 ± 0.44 | 3.5 ± 0.47 | 3.5 ± 0.47 | 3.5 ± 0.47 | 3.5 ± 0.47 | 0.0045 * | 
| Group B | 6.2 ± 0.53 | 6.1 ± 0.57 | 6.0 ± 0.45 | 6.2 ± 0.41 | 6.2 ± 0.50 | 4.3 ± 0.45 | 4.1 ± 0.49 | ||
| PD | Group A | 6.6 ± 1.02 | 4.3 ± 0.87 | 4.2 ± 0.84 | 4.1 ± 0.78 | 4.1 ± 0.78 | 4.1 ± 0.78 | 4.1 ± 0.78 | 0.0008 * | 
| Group B | 8.5 ± 0.29 | 8.5 ± 0.29 | 8.1± 0.21 | 8.0 ± 0.24 | 8.2 ± 0.18 | 5.6 ± 0.54 | 4.8 ± 0.72 | 
| T0 | T30 | T60 | T90 | T120 | T150 | T180 | |
|---|---|---|---|---|---|---|---|
| Group A | 56.4 ± 5.2 | 62.9 ± 3.1 | 66.4 ± 3.4 | 65.0 ± 3.5 | 65.0 ± 3.5 | 64.3 ± 3.2 | 61.4 ± 3.6 | 
| Group B | 60.7 ± 6.2 | 60.7 ± 6.8 | 60.7 ± 6.2 | 60.7 ± 6.2 | 60.7 ± 6.2 | 65.0 ± 6.1 | 67.9 ± 5.7 | 
| Disclaimer/Publisher’s Note: The statements, opinions and data contained in all publications are solely those of the individual author(s) and contributor(s) and not of MDPI and/or the editor(s). MDPI and/or the editor(s) disclaim responsibility for any injury to people or property resulting from any ideas, methods, instructions or products referred to in the content. | 
© 2024 by the authors. Licensee MDPI, Basel, Switzerland. This article is an open access article distributed under the terms and conditions of the Creative Commons Attribution (CC BY) license (https://creativecommons.org/licenses/by/4.0/).
Share and Cite
Cocito, D.; Peci, E.; Torrieri, M.C.; Clerico, M. Ultramicronized Palmitoylethanolamide in the Management of Neuropathic Pain Related to Chronic Inflammatory Demyelinating Polyneuropathy: A Proof-of-Concept Study. J. Clin. Med. 2024, 13, 2787. https://doi.org/10.3390/jcm13102787
Cocito D, Peci E, Torrieri MC, Clerico M. Ultramicronized Palmitoylethanolamide in the Management of Neuropathic Pain Related to Chronic Inflammatory Demyelinating Polyneuropathy: A Proof-of-Concept Study. Journal of Clinical Medicine. 2024; 13(10):2787. https://doi.org/10.3390/jcm13102787
Chicago/Turabian StyleCocito, Dario, Erdita Peci, Maria Claudia Torrieri, and Marinella Clerico. 2024. "Ultramicronized Palmitoylethanolamide in the Management of Neuropathic Pain Related to Chronic Inflammatory Demyelinating Polyneuropathy: A Proof-of-Concept Study" Journal of Clinical Medicine 13, no. 10: 2787. https://doi.org/10.3390/jcm13102787
APA StyleCocito, D., Peci, E., Torrieri, M. C., & Clerico, M. (2024). Ultramicronized Palmitoylethanolamide in the Management of Neuropathic Pain Related to Chronic Inflammatory Demyelinating Polyneuropathy: A Proof-of-Concept Study. Journal of Clinical Medicine, 13(10), 2787. https://doi.org/10.3390/jcm13102787
 
        


 
       