Neurological Complications in Pregnancy and the Puerperium: Methodology for a Clinical Diagnosis
Abstract
1. Introduction
2. Discussion
2.1. Cerebral Venous Sinus Thrombosis (CVST)
2.2. Reversible Cerebral Vasoconstriction Syndrome (RCVS)
2.3. Posterior Reversible Encephalopathy Syndrome (PRES)
2.4. Eclampsia
2.5. HELLP Syndrome
2.6. Cerebral Cavernous Malformations (CCMs)
2.7. Stroke
2.8. Amniotic Fluid Embolism
2.9. Pituitary Apoplexy
3. Relevant Section
3.1. Headache
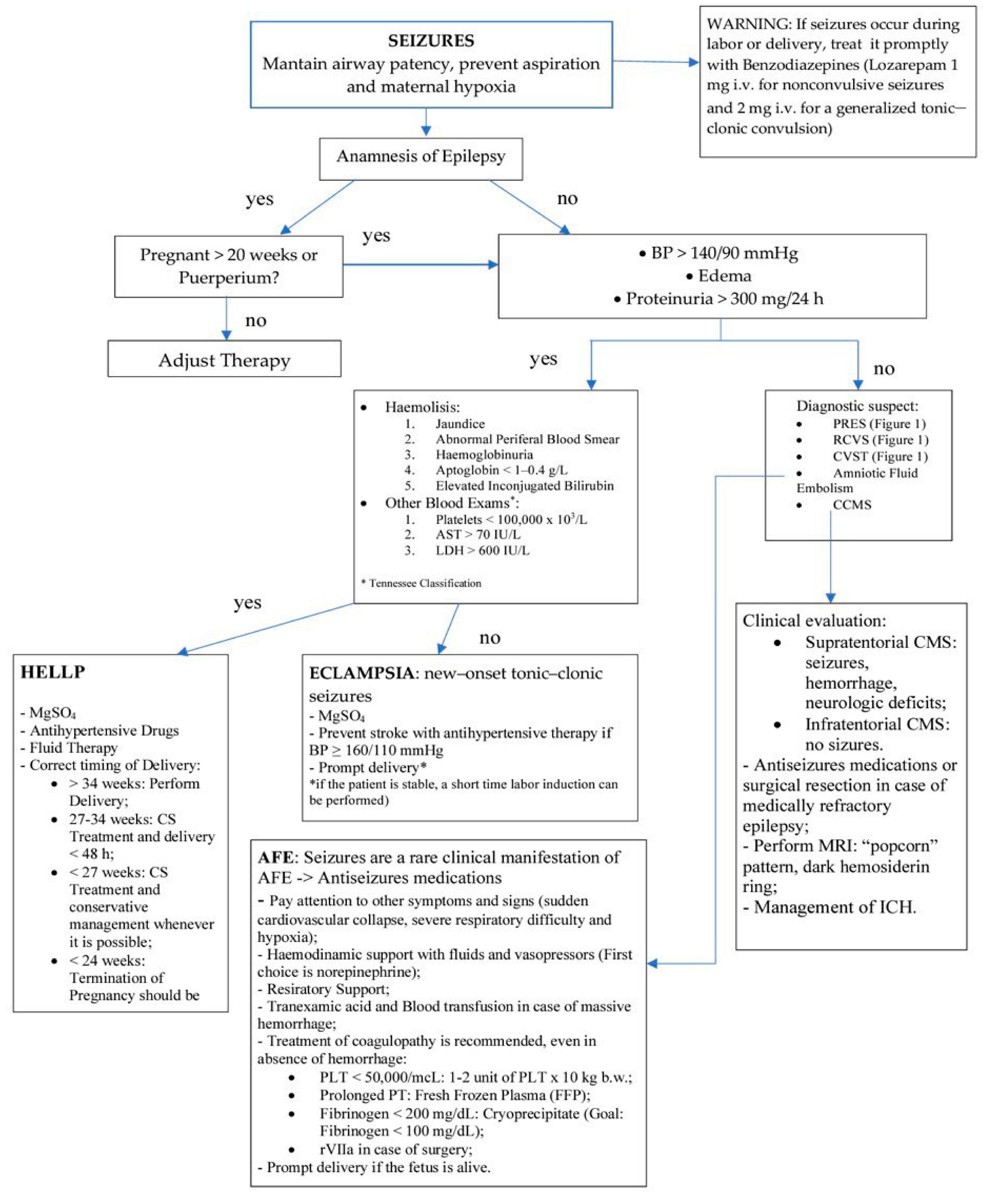
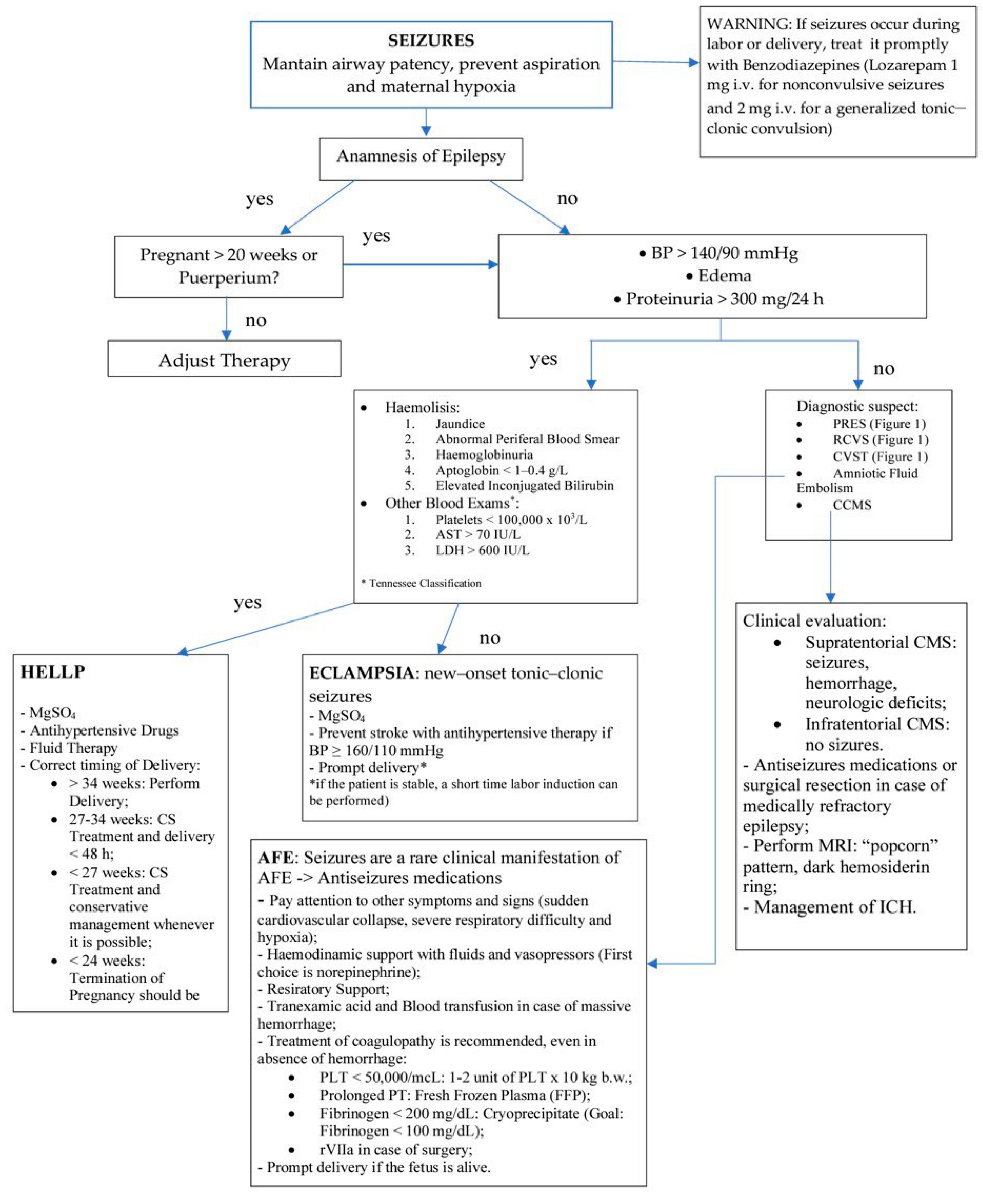
3.2. Seizures
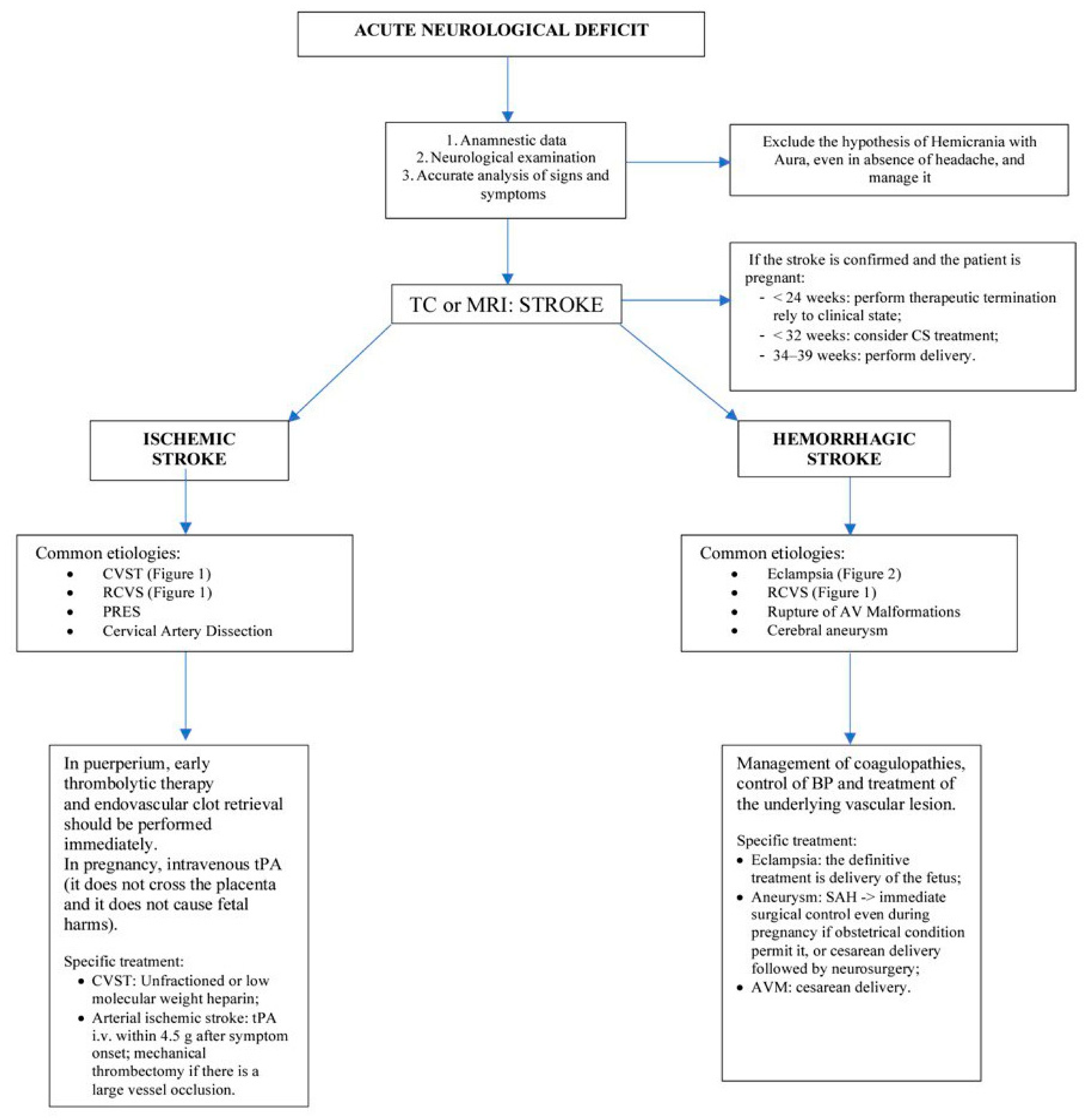
3.3. Acute Neurological Deficit
4. Conclusions and Future Directions
Author Contributions
Funding
Institutional Review Board Statement
Informed Consent Statement
Data Availability Statement
Conflicts of Interest
References
- Abou-Ismail, M.Y.; Sridhar, D.C.; Nayak, L. Estrogen and thrombosis: A bench to bedside review. Thromb Res. 2020, 192, 40–51. [Google Scholar] [CrossRef] [PubMed]
- Ferro, J.M.; Bacelar-Nicolau, H.; Rodrigues, T.; Bacelar-Nicolau, L.; Canhão, P.; Crassard, I.; Bousser, M.G.; Dutra, A.P.; Massaro, A.; Mackowiack-Cordiolani, M.A.; et al. Risk score to predict the outcome of patients with cerebral vein and dural sinus thrombosis. Cerebrovasc. Dis. 2009, 28, 39–44. [Google Scholar] [CrossRef]
- Sanghavi, M.; Rutherford, J.D. Cardiovascular physiology of pregnancy. Circulation 2014, 130, 1003–1008. [Google Scholar] [CrossRef]
- Roeder, H.J.; Lopez, J.R.; Miller, E.C. Ischemic stroke and cerebral venous sinus thrombosis in pregnancy. Handb. Clin. Neurol. 2020, 172, 3–31. [Google Scholar] [CrossRef] [PubMed]
- Bano, S.; Farooq, M.U.; Nazir, S.; Aslam, A.; Tariq, A.; Javed, M.A.; Rehman, H.; Numan, A. Structural imaging characteristic, clinical features and risk factors of cerebral venous sinus thrombosis: A prospective cross-sectional analysis from a tertiary care hospital in Pakistan. Diagnostics 2021, 11, 958. [Google Scholar] [CrossRef]
- Miller, T.R.; Shivashankar, R.; Mossa-Basha, M.; Gandhi, D. Reversible cerebral vasoconstriction syndrome, part 1: Epidemiology, pathogenesis, and clinical course. Am. J. Neuroradiol. 2015, 36, 1392–1399. [Google Scholar] [CrossRef]
- Topcuoglu, M.A.; McKee, K.E.; Singhal, A.B. Gender and hormonal influences in reversible cerebral vasoconstriction syndrome. Eur. Stroke J. 2016, 1, 199–204. [Google Scholar] [CrossRef]
- Katsevman, G.A.; Turner, R.C.; Cheyuo, C.; Rosen, C.L.; Smith, M.S. Post-partum posterior reversible encephalopathy syndrome requiring decompressive craniectomy: Case report and review of the literature. Acta Neurochir. 2019, 161, 217–224. [Google Scholar] [CrossRef] [PubMed]
- Fugate, J.E.; Rabinstein, A.A. Posterior reversible encephalopathy syndrome: Clinical and radiological manifestations, pathophysiology, and outstanding questions. Lancet Neurol. 2015, 14, 914–925. [Google Scholar] [CrossRef]
- Bartal, M.F.; Sibai, B.M. Eclampsia in the 21st century. Am. J. Obstet. Gynecol. 2020, 226, S1237–S1253. [Google Scholar] [CrossRef]
- Paul, B.S.; Juneja, S.K.; Paul, G.; Gupta, S. Spectrum of neurological complications in HELLP syndrome. Neurol. India 2013, 61, 467–471. [Google Scholar] [CrossRef] [PubMed]
- Lanska, D.J.; Kryscio, R.J. Risk factors for peripartum and postpartum stroke and intracranial venous thrombosis. Stroke 2000, 31, 1274–1282. [Google Scholar] [CrossRef] [PubMed]
- Liang, Z.W.; Gao, W.L.; Feng, L.M. Clinical characteristics and prognosis of cerebral venous thrombosis in Chinese women during pregnancy and puerperium. Sci. Rep. 2017, 7, 43866. [Google Scholar] [CrossRef]
- Edlow, J.A.; Caplan, L.R.; O’Brien, K.; Tibbles, C.D. Diagnosis of acute neurological emergencies in pregnant and post-partum women. Lancet Neurol. 2013, 12, 175–185. [Google Scholar] [CrossRef] [PubMed]
- Bousser, M.G.; Ferro, J.M. Cerebral venous thrombosis: An update. Lancet Neurol. 2007, 6, 162–170. [Google Scholar] [CrossRef]
- Perelli, F.; Turrini, I.; Giorgi, M.G.; Renda, I.; Vidiri, A.; Straface, G.; Scatena, E.; D’Indinosante, M.; Marchi, L.; Giusti, M.; et al. Contrast Agents during Pregnancy: Pros and Cons When Really Needed. Int. J. Environ. Res. Public Health 2022, 19, 16699. [Google Scholar] [CrossRef]
- Cantú, C.; Barinagarrementeria, F. Cerebral venous thrombosis associated with pregnancy and puerperium. Review of 67 cases. Stroke 1993, 24, 1880–1884. [Google Scholar] [CrossRef] [PubMed]
- Cantú, C.; Barinagarrementeria, F. American Heart Association Stroke Council and the Council on Epidemiology and Prevention. Diagnosis and management of cerebral venous thrombosis: A statement for healthcare professionals from the American Heart Association/American Stroke Association. Stroke 2011, 42, 1158–1192. [Google Scholar] [CrossRef]
- Linhardt, R.J.; Liu, J. Synthetic heparin. Curr. Opin. Pharmacol. 2012, 12, 217–219. [Google Scholar] [CrossRef]
- Ferro, J.M.; Bousser, M.G.; Canhão, P.; Coutinho, J.M.; Crassard, I.; Dentali, F.; di Minno, M.; Maino, A.; Martinelli, I.; Masuhr, F.; et al. European Stroke Organization. European Stroke Organization guideline for the diagnosis and treatment of cerebral venous thrombosis—Endorsed by the European Academy of Neurology. Eur. Stroke J. 2017, 24, 1203–1213. [Google Scholar] [CrossRef]
- Field, T.S.; Hill, M.D. Cerebral Venous Thrombosis. Stroke 2019, 50, 1598–1604. [Google Scholar] [CrossRef]
- Axelerad, A.D.; Zlotea, L.A.; Sirbu, C.A.; Stroe, A.Z.; Axelerad, S.D.; Cambrea, S.C.; Muja, L.F. Case Reports of Pregnancy-Related Cerebral Venous Thrombosis in the Neurology Department of the Emergency Clinical Hospital in Constanta. Life 2022, 12, 90. [Google Scholar] [CrossRef]
- Anzola, G.P.; Brighenti, R.; Cobelli, M.; Giossi, A.; Mazzucco, S.; Olivato, S.; Pari, E.; Piras, M.P.; Padovani, A.; Rinaldi, F.; et al. Reversible cerebral vasoconstriction syndrome in puerperium: A prospective study. J. Neurol. Sci. 2017, 375, 130–136. [Google Scholar] [CrossRef] [PubMed]
- Pilato, F.; Distefano, M.; Calandrelli, R. Posterior Reversible Encephalopathy Syndrome and Reversible Cerebral Vasoconstriction Syndrome: Clinical and Radiological Considerations. Front. Neurol. 2020, 11, 34. [Google Scholar] [CrossRef]
- Cappelen-Smith, C.; Calic, Z.; Cordato, D. Reversible Cerebral Vasoconstriction Syndrome: Recognition and Treatment. Curr. Treat. Options Neurol. 2017, 19, 1–15. [Google Scholar] [CrossRef] [PubMed]
- Dodick, D.W. Thunderclap Headache. Headache 2002, 42, 309–315. [Google Scholar] [CrossRef] [PubMed]
- Ducros, A.; Bousser, M.G. Reversible cerebral vasoconstriction syndrome. Pract. Neurol. 2009, 9, 256–267. [Google Scholar] [CrossRef] [PubMed]
- Singhal, A.B.; Hajj-Ali, R.A.; Topcuoglu, M.A.; Fok, J.; Bena, J.; Yang, D.; Calabrese, L.H. Reversible cerebral vasoconstriction syndromes: Analysis of 139 cases. Arch. Neurol. 2011, 68, 1005–1012. [Google Scholar] [CrossRef]
- Calabrese, L.H.; Dodick, D.W.; Schwedt, T.J.; Singhal, A.B. Narrative review: Reversible cerebral vasoconstriction syndromes. Ann. Intern. Med. 2007, 146, 34–44. [Google Scholar] [CrossRef]
- Yancy, H.; Lee-Iannotti, J.K.; Schwedt, T.J.; Dodick, D.W. Reversible cerebral vasoconstriction syndrome. J. Head Face Pain 2013, 53, 570–576. [Google Scholar] [CrossRef]
- Hedjoudje, A.; Darcourt, J.; Bonneville, F.; Edjlali, M. The Use of Intracranial Vessel Wall Imaging in Clinical Practice. Radiol. Clin. N. Am. 2023, 61, 521–533. [Google Scholar] [CrossRef] [PubMed]
- Katz, B.S.; Fugate, J.E.; Ameriso, S.F.; Pujol-Lereis, V.A.; Mandrekar, J.; Flemming, K.D.; Kallmes, D.F.; Rabinstein, A.A. Clinical worsening in reversible cerebral vasoconstriction syndrome. JAMA Neurol. 2014, 71, 68–73. [Google Scholar] [CrossRef]
- Singhal, A.B.; Topcuoglu, M.A. Glucocorticoid-associated worsening in reversible cerebral vasoconstriction syndrome. Neurology 2017, 88, 228–236. [Google Scholar] [CrossRef] [PubMed]
- Meschia, J.F.; Malkoff, M.D.; Biller, J. Reversible segmental cerebral arterial vasospasm and cerebral infarction: Possible association with excessive use of sumatriptan and Midrin. Arch. Neurol. 1998, 55, 712–714. [Google Scholar] [CrossRef] [PubMed]
- Ducros, A. Reversible cerebral vasoconstriction syndrome. Lancet Neurol. 2012, 11, 906–917. [Google Scholar] [CrossRef]
- Hinchey, J.; Chaves, C.; Appignani, B.; Breen, J.; Pao, L.; Wang, A.; Pessin, M.S.; Lamy, C.; Mas, J.L.; Caplan, L.R. A reversible posterior leukoencephalopathy syndrome. N. Engl. J. Med. 1996, 334, 494–500. [Google Scholar] [CrossRef]
- Parasher, A.; Jhamb, R. Posterior reversible encephalopathy syndrome (PRES): Presentation, diagnosis and treatment. Postgrad. Med. J. 2020, 96, 623–628. [Google Scholar] [CrossRef]
- Casey, S.O.; Sampaio, R.C.; Michel, E.; Truwit, C.L. Posterior reversible encephalopathy syndrome: Utility of fluid-attenuated inversion recovery MR imaging in the detection of cortical and subcortical lesions. Am. J. Neuroradiol. 2000, 21, 1199–1206. [Google Scholar]
- Acar, H.; Acar, K. Posterior reversible encephalopathy syndrome in a pregnant patient without eclampsia or preeclampsia. Am. J. Emerg. Med. 2018, 36, 1721.e3–1721.e4. [Google Scholar] [CrossRef]
- Mayama, M.; Uno, K.; Tano, S.; Yoshihara, M.; Ukai, M.; Kishigami, Y.; Ito, Y.; Oguchi, H. Incidence of posterior reversible encephalopathy syndrome in eclamptic and patients with preeclampsia with neurologic symptoms. Am. J. Obstet. Gynecol. 2016, 215, 239.e1–239.e5. [Google Scholar] [CrossRef]
- Shaikh, N.; Nawaz, S.; Ummunisa, F.; Shahzad, A.; Hussain, J.; Ahmad, K.; Almohannadi, H.S.; Sharara, H.A. Eclampsia and posterior reversible encephalopathy syndrome (PRES): A retrospective review of risk factors and outcomes. Qatar Med. J. 2021, 2021, 4. [Google Scholar] [CrossRef] [PubMed]
- Cozzolino, M.; Bianchi, C.; Mariani, G.; Marchi, L.; Fambrini, M.; Mecacci, F. Therapy and differential diagnosis of posterior reversible encephalopathy syndrome (PRES) during pregnancy and postpartum. Arch. Gynecol. Obstet. 2015, 292, 1217–1223. [Google Scholar] [CrossRef] [PubMed]
- Servillo, G.; Striano, P.; Striano, S.; Tortora, F.; Boccella, P.; De Robertis, E.; Rossano, F.; Briganti, F.; Tufano, R. Posterior reversible encephalopathy syndrome (PRES) in critically ill obstetric patients. Intensive Care Med. 2003, 29, 2323–2326. [Google Scholar] [CrossRef] [PubMed]
- Tsukimori, K.; Ochi, H.; Yumoto, Y.; Iwasaki, S.; Hojo, S.; Noguchi, T.; Wake, N. Reversible posterior encephalopathy syndrome followed by MR angiography-documented cerebral vasospasm in preeclampsia-eclampsia: Report of 2 cases. Cerebrovasc. Dis. 2008, 25, 377–380. [Google Scholar] [CrossRef] [PubMed]
- Demir, B.C.; Ozerkan, K.; Ozbek, S.E.; Yıldırım Eryılmaz, N.; Ocakoglu, G. Comparison of magnesium sulfate and mannitol in treatment of eclamptic women with posterior reversible encephalopathy syndrome. Arch. Gynecol. Obstet. 2012, 286, 287–293. [Google Scholar] [CrossRef]
- Altman, D.; Carroli, G.; Duley, L.; Farrell, B.; Moodley, J.; Neilson, J.; Smith, D. Magpie Trial Collaboration Group. Do women with pre-eclampsia, and their babies, benefit from magnesium sulphate? The Magpie Trial: A randomised placebo-controlled trial. Lancet 2002, 359, 1877–1890. [Google Scholar] [CrossRef]
- Esakoff, T.F.; Rad, S.; Burwick, R.M.; Caughey, A.B. Predictors of eclampsia in California. J. Matern.-Fetal Neonatal Med. 2016, 29, 1531–1535. [Google Scholar] [CrossRef] [PubMed]
- Sibai, B.M. Diagnosis, prevention, and management of eclampsia. Obstet. Gynecol. 2005, 105, 402–410. [Google Scholar] [CrossRef]
- Sibai, B.M.; Stella, C.L. Diagnosis and management of atypical preeclampsia-eclampsia. Am. J. Obstet. Gynecol. 2009, 200, 481.e1–481.e7. [Google Scholar] [CrossRef]
- Di, X.; Mai, H.; Zheng, Z.; Guo, K.; Morse, A.N.; Liu, H. Neuroimaging findings in women who develop neurologic symptoms in severe preeclampsia with or without eclampsia. Hypertens. Res. 2018, 41, 598–604. [Google Scholar] [CrossRef]
- Eclampsia Trial Collaborative Group. Which anticonvulsant for women with eclampsia? Evidence from the Collaborative Eclampsia Trial. Lancet 1995, 345, 1455–1463. [Google Scholar] [CrossRef]
- Weinstein, L. Syndrome of hemolysis, elevated liver enzymes, and low platelet count: A severe consequence of hypertension in pregnancy. Am. J. Obstet. Gynecol. 1982, 142, 159–167. [Google Scholar] [CrossRef]
- Haram, K.; Svendsen, E.; Abildgaard, U. The HELLP syndrome: Clinical issues and management. A Review. BMC Pregnancy Childbirth 2009, 9, 8. [Google Scholar] [CrossRef] [PubMed]
- Curtin, W.M.; Weinstein, L. A review of HELLP syndrome. J. Perinatol. 1999, 19, 138–143. [Google Scholar] [CrossRef] [PubMed]
- Geary, M. The HELLP syndrome. BJOG Int. J. Obstet. Gynaecol. 1997, 104, 887–891. [Google Scholar] [CrossRef]
- Sibai, B.M. Diagnosis, controversies, and management of the syndrome of hemolysis, elevated liver enzymes, and low platelet count. Obstet. Gynecol. 2004, 103, 981–991. [Google Scholar] [CrossRef]
- Rimaitis, K.; Grauslyte, L.; Zavackiene, A.; Baliuliene, V.; Nadisauskiene, R.; Macas, A. Diagnosis of HELLP Syndrome: A 10-Year Survey in a Perinatology Centre. Int. J. Environ. Res. Public Health 2019, 16, 109. [Google Scholar] [CrossRef] [PubMed]
- Mao, M.; Chen, C. Corticosteroid Therapy for Management of Hemolysis, Elevated Liver Enzymes, and Low Platelet Count (HELLP) Syndrome: A Meta-Analysis. Med. Sci. Monit. Int. Med. J. Exp. Clin. Res. 2015, 21, 3777–3783. [Google Scholar] [CrossRef]
- Lokki, A.I.; Haapio, M.; Heikkinen-Eloranta, J. Treatment for Postpartum HELLP Syndrome and aHUS-Case Report. Front. Immunol. 2020, 11, 548. [Google Scholar] [CrossRef]
- Merlino, L.; Del Prete, F.; Titi, L.; Piccioni, M.G. Cerebral cavernous malformation: Management and outcome during pregnancy and puerperium. A systematic review of literature. J. Gynecol. Obstet. Hum. Reprod. 2020, 50, 101927. [Google Scholar] [CrossRef]
- Taslimi, S.; Modabbernia, A.; Amin-Hanjani, S.; Barker, F.G., 2nd; Macdonald, R.L. Natural history of cavernous malformation: Systematic review and meta-analysis of 25 studies. Neurology 2016, 86, 1984–1991. [Google Scholar] [CrossRef] [PubMed]
- Simard, J.M.; Garcia-Bengochea, F.; Ballinger, W.E., Jr.; Mickle, J.P.; Quisling, R.G. Cavernous angioma: A review of 126 collected and 12 new clinical cases. Neurosurgery 1986, 18, 162–172. [Google Scholar] [CrossRef]
- Robinson, J.R.; Awad, I.A.; Little, J.R. Natural history of the cavernous angioma. J. Neurosurg. 1991, 75, 709–714. [Google Scholar] [CrossRef] [PubMed]
- Snellings, D.A.; Hong, C.C.; Ren, A.A.; Lopez-Ramirez, M.A.; Girard, R.; Srinath, A.; Marchuk, D.A.; Ginsberg, M.H.; Awad, I.A.; Kahn, M.L. Cerebral Cavernous Malformation: From Mechanism to Therapy. Circ. Res. 2021, 129, 195–215. [Google Scholar] [CrossRef] [PubMed]
- Denier, C.; Labauge, P.; Bergametti, F.; Marchelli, F.; Riant, F.; Arnoult, M.; Maciazek, J.; Vicaut, E.; Brunereau, L.; Tournier-Lasserve, E. Société Française de Neurochirurgie. Genotype-phenotype correlations in cerebral cavernous malformations patients. Ann. Neurol. 2006, 60, 550–556. [Google Scholar] [CrossRef] [PubMed]
- Choquet, H.; Pawlikowska, L.; Nelson, J.; McCulloch, C.E.; Akers, A.; Baca, B.; Khan, Y.; Hart, B.; Morrison, L.; Kim, H. Brain Vascular Malformation Consortium (BVMC) Study. Polymorphisms in inflammatory and immune response genes associated with cerebral cavernous malformation type 1 severity. Cerebrovasc. Dis. 2014, 38, 433–440. [Google Scholar] [CrossRef]
- Polster, S.P.; Sharma, A.; Tanes, C.; Tang, A.T.; Mericko, P.; Cao, Y.; Carrión-Penagos, J.; Girard, R.; Koskimäki, J.; Zhang, D.; et al. Permissive microbiome characterizes human subjects with a neurovascular disease cavernous angioma. Nat. Commun. 2020, 11, 1–11. [Google Scholar] [CrossRef]
- Salman, R.A.-S.; Hall, J.M.; A Horne, M.; Moultrie, F.; Josephson, C.B.; Bhattacharya, J.J.; E Counsell, C.; Murray, G.D.; Papanastassiou, V.; Ritchie, V.; et al. Scottish Audit of Intracranial Vascular Malformations (SAIVMs) collaborators. Untreated clinical course of cerebral cavernous malformations: A prospective, population-based cohort study. Lancet Neurol. 2012, 11, 217–224. [Google Scholar] [CrossRef]
- Al-Shahi Salman, R.; Berg, M.J.; Morrison, L.; Awad, I.A. Angioma Alliance Scientific Advisory Board. Hemorrhage from cavernous malformations of the brain: Definition and reporting standards. Angioma Alliance Scientific Advisory Board. Stroke 2008, 39, 3222–3230. [Google Scholar] [CrossRef]
- Flemming, K.D.; Goodman, B.P.; Meyer, F.B. Successful brainstem cavernous malformation resection after repeated hemorrhages during pregnancy. Surg. Neurol. 2003, 60, 545–547. [Google Scholar] [CrossRef]
- Shimizu, Y.; Nagamine, Y.; Fujiwara, S.; Suzuki, J.; Yamamoto, T.; Iwasaki, Y. An experimental study of vascular damage in estrogen-induced embolization. Surg. Neurol. 1987, 28, 23–30. [Google Scholar] [CrossRef]
- Joseph, N.K.; Kumar, S.; Brown RDJr Lanzino, G.; Flemming, K.D. Influence of Pregnancy on Hemorrhage Risk in Women With Cerebral and Spinal Cavernous Malformations. Stroke 2021, 52, 434–441. [Google Scholar] [CrossRef] [PubMed]
- Zabramski, J.M.; Wascher, T.M.; Spetzler, R.F.; Johnson, B.; Golfinos, J.; Drayer, B.P.; Brown, B.; Rigamonti, D.; Brown, G. The natural history of familial cavernous malformations: Results of an ongoing study. J. Neurosurg. 1994, 80, 422–432. [Google Scholar] [CrossRef]
- Kaplan, P.W.; Norwitz, E.R.; Ben-Menachem, E.; Pennell, P.B.; Druzin, M.; Robinson, J.N.; Gordon, J.C. Obstetric risks for women with epilepsy during pregnancy. Epilepsy Behav. 2007, 11, 283–291. [Google Scholar] [CrossRef] [PubMed]
- Sabers, A. Influences on seizure activity in pregnant women with epilepsy. Epilepsy Behav. 2009, 15, 230–234. [Google Scholar] [CrossRef]
- Kalani, M.Y.S.; Zabramski, J.M. Risk for symptomatic hemorrhage of cerebral cavernous malformations during pregnancy. J. Neurosurg. 2013, 118, 50–55. [Google Scholar] [CrossRef] [PubMed]
- Merlino, L.; Del Prete, F.; Titi, L.; Piccioni, M.G. Hemorrhage of cerebral cavernous malformation in third trimester of pregnancy: A case report. Obstet. Med. 2023. [Google Scholar] [CrossRef]
- Swartz, R.H.; Cayley, M.L.; Foley, N.; Ladhani, N.N.N.; Leffert, L.; Bushnell, C.; McClure, J.A.; Lindsay, M.P. The incidence of pregnancy-related stroke: A systematic review and meta-analysis. Int. J. Stroke 2017, 12, 687–697. [Google Scholar] [CrossRef]
- Ban, L.; Sprigg, N.; Sultan, A.A.; Nelson-Piercy, C.; Bath, P.M.; Ludvigsson, J.F.; Stephansson, O.; Tata, L. Incidence of First Stroke in Pregnant and Nonpregnant Women of Childbearing Age: A Population-Based Cohort Study From England. J. Am. Hear. Assoc. 2017, 6, e004601. [Google Scholar] [CrossRef] [PubMed]
- Elgendy, I.Y.; Gad, M.M.; Mahmoud, A.N.; Keeley, E.C.; Pepine, C.J. Acute Stroke During Pregnancy and Puerperium. J. Am. Coll. Cardiol. 2020, 75, 180–190. [Google Scholar] [CrossRef]
- Kuklina, E.V.; Tong, X.; Bansil, P.; George, M.G.; Callaghan, W.M. Trends in pregnancy hospitalizations that included a stroke in the United States from 1994 to 2007: Reasons for concern? Stroke 2011, 42, 2564–2570. [Google Scholar] [CrossRef]
- James, A.H.; Bushnell, C.D.; Jamison, M.G.; Myers, E.R. Incidence and risk factors for stroke in pregnancy and the puerperium. Obstet. Gynecol. 2005, 106, 509–516. [Google Scholar] [CrossRef] [PubMed]
- Qureshi, A.I.; Saeed, O.; Malik, A.A.; Suri, M.F. Pregnancy in advanced age and the risk of stroke in postmenopausal women: Analysis of Women’s Health Initiative Study. J. Obstet. Gynecol. 2017, 216, 409.e1–409.e6. [Google Scholar] [CrossRef] [PubMed]
- Yew, K.S.; Cheng, E.M. Diagnosis of acute stroke. Am. Fam. Physician 2015, 91, 528–536. [Google Scholar] [PubMed]
- Committee on Obstetric Practice Committee Opinion, No. 723: Guidelines for Diagnostic Imaging During Pregnancy and Lactation. Obstet. Gynecol. 2017, 130, e210–e216. [CrossRef]
- Zambrano, M.D.; Miller, E.C. Maternal Stroke: An Update. Curr. Atheroscler. Rep. 2019, 21, 33. [Google Scholar] [CrossRef]
- Powers, W.J.; Rabinstein, A.A.; Ackerson, T.; Adeoye, O.M.; Bambakidis, N.C.; Becker, K.; Biller, J.; Brown, M.; Demaerschalk, B.M.; Hoh, B.; et al. American Heart Association Stroke Council. 2018 Guidelines for the Early Management of Patients With Acute Ischemic Stroke: A Guideline for Healthcare Professionals From the American Heart Association/American Stroke Association. Stroke 2018, 49, e46–e99. [Google Scholar] [CrossRef]
- Ladhani, N.N.N.; Swartz, R.H.; Foley, N.; Nerenberg, K.; E Smith, E.; Gubitz, G.; Dowlatshahi, D.; Potts, J.; Ray, J.G.; Barrett, J.; et al. Canadian Stroke Best Practice Consensus Statement: Acute Stroke Management during pregnancy. Int. J. Stroke 2018, 13, 743–758. [Google Scholar] [CrossRef]
- Cumurciuc, R.; Crassard, I.; Sarov, M.; Valade, D.; Bousser, M.G. Headache as the only neurological sign of cerebral venous thrombosis: A series of 17 cases. J. Neurol. Neurosurg. Psychiatry 2005, 76, 1084–1087. [Google Scholar] [CrossRef]
- Clark, S.L.; Romero, R.; Dildy, G.A.; Callaghan, W.M.; Smiley, R.M.; Bracey, A.W.; Hankins, G.D.; D’alton, M.E.; Foley, M.; Pacheco, L.D.; et al. Proposed diagnostic criteria for the case definition of amniotic fluid embolism in research studies. Am. J. Obstet. Gynecol. 2016, 215, 408–412. [Google Scholar] [CrossRef]
- Toh, C.H.; Hoots, W.K. The scoring system of the Scientific and Standardisation Committee on Disseminated Intravascular Coagulation of the International Society on Thrombosis and Haemostasis: A 5-year overview. J. Thromb. Haemost. 2007, 5, 604–606. [Google Scholar] [CrossRef] [PubMed]
- Simard, C.; Yang, S.; Koolian, M.; Shear, R.; Rudski, L.; Lipes, J. The role of echocardiography in amniotic fluid embolism: A case series and review of the literature. Can. J. Anaesth. 2021, 68, 1541–1548. [Google Scholar] [CrossRef] [PubMed]
- Rajasekaran, S.; Vanderpump, M.; Baldeweg, S.; Drake, W.; Reddy, N.; Lanyon, M.; Markey, A.; Plant, G.; Powell, M.; Sinha, S.; et al. UK guidelines for the management of pituitary apoplexy. Clin. Endocrinol. 2010, 74, 9–20. [Google Scholar] [CrossRef] [PubMed]
- Grand’Maison, S.; Weber, F.; Bédard, M.-J.; Mahone, M.; Godbout, A. Pituitary apoplexy in pregnancy: A case series and literature review. Obstet. Med. 2015, 8, 177–183. [Google Scholar] [CrossRef] [PubMed]
- Abdulbaki, A.; Kanaan, I. The impact of surgical timing on visual outcome in pituitary apoplexy: Literature review and case illustration. Surg. Neurol. Int. 2017, 8, 16. [Google Scholar] [CrossRef] [PubMed]
- Abanoz, Y.; Abanoz, Y.G.; Gündüz, A.; Uludüz, D.; Ince, B.; Yavuz, B.; Göksan, B. Migraine as a risk factor for young patients with ischemic stroke: A case-control study. Neurol. Sci. 2017, 38, 611–617. [Google Scholar] [CrossRef]
- Headache Classification Committee of the International Headache Society (IHS). The International Classification of Headache Disorders, 3rd edition. Cephalalgia 2018, 38, 1–211. [Google Scholar] [CrossRef]
- Sader, E.; Rayhill, M. Headache in Pregnancy, the Puerperium, and menopause. Semin. Neurol. 2018, 38, 627–633. [Google Scholar] [CrossRef]
- Chen, C.-Y.; Fuh, J.-L. Evaluating thunderclap headache. Curr. Opin. Neurol. 2021, 34, 356–362. [Google Scholar] [CrossRef]
- Tremblay, E.; Thérasse, E.; Thomassin-Naggara, I.; Trop, I. Quality initiatives: Guidelines for use of medical imaging during pregnancy and lactation. Radiographics 2012, 32, 897–911. [Google Scholar] [CrossRef]
- Ray, J.G.; Schull, M.J.; Urquia, M.L.; You, J.J.; Guttmann, A.; Vermeulen, M.J. Major radiodiagnostic imaging in pregnancy and the risk of childhood malignancy: A population-based cohort study in Ontario. PLoS Med. 2010, 7, e1000337. [Google Scholar] [CrossRef]
- Al-Mufti, F.; Claassen, J. Neurocritical care: Status epilepticus review. Crit. Care Clin. 2014, 30, 751–764. [Google Scholar] [CrossRef] [PubMed]
- Harden, C.L.; Hopp, J.; Ting, T.Y.; Pennell, P.B.; French, J.; Hauser, W.A.; Wiebe, S.; Gronseth, G.S.; Thurman, D.; Meador, K.J.; et al. American Academy of Neurology; American Epilepsy Society. Practice parameter update: Management issues for women with epilepsy--focus on pregnancy (an evidence-based review): Obstetrical complications and change in seizure frequency: Report of the Quality Standards Subcommittee and Therapeutics and Technology Assessment Subcommittee of the American Academy of Neurology and American Epilepsy Society. Neurology 2009, 73, 126–132. [Google Scholar] [CrossRef] [PubMed]
- Rajiv, K.R.; Radhakrishnan, A. Status epilepticus in pregnancy: Etiology, management, and clinical outcomes. Epilepsy Behav. 2017, 76, 114–119. [Google Scholar] [CrossRef] [PubMed]
- Rajiv, K.R.; Radhakrishnan, A. Status epilepticus associated with pregnancy: A cohort study. Epilepsy Behav. 2016, 59, 92–97. [Google Scholar] [CrossRef]
- Camargo, E.C.; Singhal, A.B. Stroke in Pregnancy: A Multidisciplinary Approach. Obstet. Gynecol. Clin. N. Am. 2021, 48, 75–96. [Google Scholar] [CrossRef]
- Shanmugalingam, R.; Pour, N.R.; Chuah, S.C.; Vo, T.M.; Beran, R.; Hennessy, A.; Makris, A. Vertebral artery dissection in hypertensive disorders of pregnancy: A case series and literature review. BMC Pregnancy Childbirth 2016, 16, 164. [Google Scholar] [CrossRef]
- Morton, A. Pregnancy complicated by neurological and neurosurgical conditions—The evidence regarding mode of delivery. Obstet. Med. 2021, 15, 11–18. [Google Scholar] [CrossRef]



Disclaimer/Publisher’s Note: The statements, opinions and data contained in all publications are solely those of the individual author(s) and contributor(s) and not of MDPI and/or the editor(s). MDPI and/or the editor(s) disclaim responsibility for any injury to people or property resulting from any ideas, methods, instructions or products referred to in the content. |
© 2023 by the authors. Licensee MDPI, Basel, Switzerland. This article is an open access article distributed under the terms and conditions of the Creative Commons Attribution (CC BY) license (https://creativecommons.org/licenses/by/4.0/).
Share and Cite
Merlino, L.; Matys, V.; Crognale, A.; D’Ovidio, G.; Della Rocca, C.; Porpora, M.G.; Titi, L.; Viscardi, M.F.; Volpicelli, A.I.; Piccioni, M.G. Neurological Complications in Pregnancy and the Puerperium: Methodology for a Clinical Diagnosis. J. Clin. Med. 2023, 12, 2994. https://doi.org/10.3390/jcm12082994
Merlino L, Matys V, Crognale A, D’Ovidio G, Della Rocca C, Porpora MG, Titi L, Viscardi MF, Volpicelli AI, Piccioni MG. Neurological Complications in Pregnancy and the Puerperium: Methodology for a Clinical Diagnosis. Journal of Clinical Medicine. 2023; 12(8):2994. https://doi.org/10.3390/jcm12082994
Chicago/Turabian StyleMerlino, Lucia, Viviana Matys, Alba Crognale, Giulia D’Ovidio, Carlo Della Rocca, Maria Grazia Porpora, Luca Titi, Maria Federica Viscardi, Agnese Immacolata Volpicelli, and Maria Grazia Piccioni. 2023. "Neurological Complications in Pregnancy and the Puerperium: Methodology for a Clinical Diagnosis" Journal of Clinical Medicine 12, no. 8: 2994. https://doi.org/10.3390/jcm12082994
APA StyleMerlino, L., Matys, V., Crognale, A., D’Ovidio, G., Della Rocca, C., Porpora, M. G., Titi, L., Viscardi, M. F., Volpicelli, A. I., & Piccioni, M. G. (2023). Neurological Complications in Pregnancy and the Puerperium: Methodology for a Clinical Diagnosis. Journal of Clinical Medicine, 12(8), 2994. https://doi.org/10.3390/jcm12082994

